Abstract
Extreme weather disasters (EWDs) can jeopardize domestic food supply and disrupt commodity markets. However, historical impacts on European crop production associated with droughts, heatwaves, floods, and cold waves are not well understood—especially in view of potential adverse trends in the severity of impacts due to climate change. Here, we combine observational agricultural data (FAOSTAT) with an extreme weather disaster database (EM-DAT) between 1961 and 2018 to evaluate European crop production responses to EWD. Using a compositing approach (superposed epoch analysis), we show that historical droughts and heatwaves reduced European cereal yields on average by 9% and 7.3%, respectively, associated with a wide range of responses (inter-quartile range +2% to −23%; +2% to −17%). Non-cereal yields declined by 3.8% and 3.1% during the same set of events. Cold waves led to cereal and non-cereal yield declines by 1.3% and 2.6%, while flood impacts were marginal and not statistically significant. Production losses are largely driven by yield declines, with no significant changes in harvested area. While all four event frequencies significantly increased over time, the severity of heatwave and drought impacts on crop production roughly tripled over the last 50 years, from −2.2% (1964–1990) to −7.3% (1991–2015). Drought-related cereal production losses are shown to intensify by more than 3% yr−1. Both the trend in frequency and severity can possibly be explained by changes in the vulnerability of the exposed system and underlying climate change impacts.
Export citation and abstract BibTeX RIS

Original content from this work may be used under the terms of the Creative Commons Attribution 4.0 license. Any further distribution of this work must maintain attribution to the author(s) and the title of the work, journal citation and DOI.
1. Introduction
The European Union with 28 Member States (EU) is one of the world's major food producers and exporters. EU cropland expands across four main bioclimatic zones (Kottek et al 2006) (table S1 (available online at stacks.iop.org/ERL/16/065012/mmedia)), from the hot-summer Mediterranean climate (Csa) to the Subarctic climate (Dfc). About 65% of the 173 million hectares of agricultural area (i.e. 39% of the EU's total land area) is allocated to cereals (mostly wheat, rye, barley, maize, millet and sorghum, followed by oil crops, olives, vegetables and grapes, roots and tubers, sugar and orchards) (figure S1(a)) (FAO 2019a). Cereals and vegetables are food commodities with the highest production by weight (FAO 2019b) accounting for nearly 30% (26 billion EUR) of the total EU food exports, while maintaining domestic staple food supply.
The EU food system has been disrupted by a number of extreme weather disasters (EWDs; figure S1(b)), which caused significant crop production losses (Russo et al 2015, EM-DAT 2018, Hanel et al 2018). Most recently, the 2018 heatwave and drought led to overall cereal production 8% lower than the previous five year average (Agr 2018), which caused fodder shortages for livestock and triggered sharp commodity price increases. Soft wheat (Triticum aestivum) and barley (Hordeum vulgare) prices jumped by 34% and 48%, respectively (Agr 2018, EC 2018).
Climate change is expected to further increase the frequency, intensity, spatial extent, and duration of EWDs (IPCC 2012, Russo et al 2015, Diffenbaugh et al 2017). Future agriculture adaptation challenges are therefore not only linked to changes in the long-term average climate, but particularly to changing weather extremes and interannual fluctuations (Hov et al 2013, Christidis et al 2015, Glotter and Elliott 2016). However, the magnitude of historical EWD impacts on the agriculture sector remain insufficiently understood.
Being the EU a major player in the global food market, and a world leader in the fight against climate change (Tai et al 2014, Bas-Defossez et al 2018, Berkhout et al 2018, Ciscar 2018), the way it addresses the challenges of agriculture has implications at the global level. Quantitative evidence of historical extreme weather impacts and observed trends are critically important for disaster risk reduction and adaptation efforts. Yet defining extreme weather events for impact analyses is challenging. A common approach is to link impacts to climatological and/or hydrological threshold-based events (Lobell et al 2013, Troy et al 2015, Powell and Reinhard 2016, Lüttger and Feike 2018, Ajaz et al 2019, Vogel et al 2019). However, this approach can underestimate impacts, as these not only depend on the severity of the weather anomaly but also on the sensitivity of the exposed human and natural systems (Lesk et al 2016, Jägermeyr and Frieler 2018).
Here we base event selection on impact criteria by using the EM-DAT record of EWDs, which are reported if an extreme weather event causes standardized human or capital losses. The UNDRR/CRED (2020) report a sharp increase in the frequency of EWDs in recent decades, but agriculture impacts of these events are generally not associated. From the best observational data records currently available, we expand the work initiated by Lesk et al (2016) to derive evidence on how historical EWD have affected agricultural production systems in the EU. In particular, we address the following questions: (a) What is the magnitude and trend of historical crop losses associated with different EWD types in Europe? (b) In what climatic regions are the impacts most severe? (c) How are different crop groups affected?
2. Methods
2.1. Crop and extreme weather disaster data
We use national crop data obtained from FAO (2019a), the most consistent source of production, yield and harvested area information that date back to the 1960s. A total of 129 crops currently grown in the EU according to the UN's Food and Agricultural Organization (FAO) are considered, we analyse them mainly in groups of cereals (CER; wheat, barley, maize and other cereals) and non-cereals (non-CER; oil crops, olives, vegetables, grapes, roots and tubers, sugar beet, sugar cane, orchards, treenuts, citrus, soft fruits and others), but also in 12 subgroups (table S2). FAO data contain sporadic zero values, which we interpret as missing values, and in these cases all corresponding variables (i.e. yield, harvested area, or production for the same crop and year) are replaced with missing values as well to ensure the same number of records for each variable. Countries with reported crop data of less than ten years, are excluded from the analysis.
EWD occurrence is taken from the EM-DAT International Disaster Database (EM-DAT 2018), the most comprehensive standardized global database of EWD records. EM-DAT events have caused a specific level of pre-defined impacts on human lives and infrastructures (see supplement for more details). We consider all droughts (32), heatwaves (61), floods (399) and cold waves (99) from 1961 to 2018 across 28 EU countries (table S3). The number of events evaluated for crop impacts is slightly smaller, because (a) FAO data are not available in all countries and years included in EM-DAT, (b) consecutive EWD years are averaged to a single event year.
2.2. Superposed epoch analysis
Mean EWD impacts on crop production, yield and harvested area are estimated with a superposed epoch analysis (SEA), or compositing. SEA is a common statistical method to isolate an average event response signal, while reducing background noise due to extraneous factors, such as agronomic management (Lesk et al 2016, Jägermeyr and Frieler 2018, Brás et al 2019).
It has been used to evaluate climate responses to volcanic eruptions (Mass and Portman 1989), to the El Niño Southern Oscillation (Sinclair et al 1985), and to quantify impacts of EWD on nutrient supply (Park et al 2019) and crop production (e.g. Lesk et al (2016), Jägermeyr and Frieler (2018), Brás et al (2019)).
From national crop data time series, we extract seven year windows centred on years in which an EWD occurred, with three years preceding and following the event. If an EWD of the same type occurred in a subsequent year, we average the data across all years with successive EWD occurrence (e.g. multi-year drought) to produce a single disaster year datum, which is then surrounded by the six adjacent years. This procedure results in a reduction in the total number of events since the average of sequential EWD years of same type is considered as one event. Each seven year window is normalised to the average of those six adjacent years while excluding any year coinciding with another EWD of the same type. This means the SEA isolates the average event impact compared to the mean of the surrounding six adjacent years without EWD occurrence. Thus, the SEA quantifies crop yield response attributed to an EWD type based on normalized yields without a registered event. In order to have always a complete seven year window, we disregard all events between 1961–1963 and 2016–2018. For calculating the composite signal for two distinct time periods, we consider EWDs between 1964–1990 (crop data 1961–1993) and 1991–2015 (crop data 1988–2018).
After normalisation, we calculate the composite vector, which is the column-based mean of all seven year windows for a specific EWD type, crop category or climate zone. The composite vector thus always consists of seven elements. We detrend the composite vector by subtracting the linear regression and adding the composite vector mean (Jägermeyr and Frieler 2018). The fourth element of the detrended composite vector is the event signal: the average normalised EWD impact, or the mean event impact (i.e. the deviation of the detrended composite signal from 1 in year 0). To calculate the detrended composite signal across different crops—and for droughts and heatwaves together, as pointed out below—seven year windows are grouped together to calculate the mean composite signal.
The statistical significance of the EWD composite signal is assessed based on bootstrap replicates, obtained by resampling with replacement of all seven year windows (column-based) 1000 times. We therefore create 1000 composite signals, which represent an empirical bootstrap distribution of the mean impact during EWD years. This distribution is used to test the normality hypothesis and to derive confidence intervals (CIs). The Kolmogorov–Smirnov test with a significance level of 0.05 (Öner and Deveci Kocakoç 2017) is used to test if the empirical bootstrap distribution is statistically different from the normal distribution. If it approximates a normal distribution, we assess the statistical significance of the mean event impact. To test the null hypotheses (i.e. the detrended composite signal equals 1), we first calculate the CI of the empirical bootstrap distribution for different significance levels. If both end points of the CI are smaller (or larger) than 1 and if the composite signal lies within the CI, it is considered statistically significant at the respective significance level, i.e. 5%, 10% and 20%, and not significant if ⩾20%. For further details, see Wong and Easton (1980), Leng and Huang (2017) and Brás et al (2019).
We first calculate the composite signal of EWD impact for the entire time series from 1964 to 2015, separating the two main crop categories cereals and non-cereals. In a second step, we calculate the composite signal for two time periods (i.e. 1964–1990, 1991–2015). To improve statistical significance, droughts and heatwaves are grouped to evaluate the composite signal (a) separately for the first and second time periods, (b) for the 12 crop categories individually, and (c) in each Koeppen–Geiger climate zone. The analysis by climate zone is done by aggregating all countries according to its dominant Koeppen–Geiger classification (Kottek et al 2006) (table S1).
Since the FAO crop data contain many more non-cereal crop categories than cereal categories, we calculate the average cereal and non-cereal signal, respectively, in each country for each EWD, before aggregating both. This way, cereals and non-cereals receive the same weight when combined in the overall composite signal.
2.3. Trends of extreme weather disaster's severity and frequency
In addition to the composite signal, we evaluate the trend in EWD frequency, and the trend across normalised crop production anomalies during EWD years (1961–2018) for each event type. The latter is done by first calculating the sum of national annual cereal and non-cereal production, respectively. Normalised anomalies are calculated by detrending each country-level cereal/non-cereal production time series through subtracting its second order polynomial (Lu et al 2017, Jägermeyr and Frieler 2018), and then dividing by its standard deviation. Normalised production anomalies are calculated separately for cereal and non-cereal crops, and also stratified by individual climate zone, and are analysed only during EWD years. The statistical significance of time trends (for both event frequency and production anomalies) is assessed by fitting a linear regression and testing its slope parameter for significance using the t-test with the following significance levels: *** if p-value< 0.05, ** if p-value< 0.1, * if p-value < 0.20, and n.s. (not significant) if p-value ⩾ 0.20.
3. Results
3.1. EU crop response to extreme weather disasters
Between 1964 and 2015, droughts and heatwaves reduced EU cereal yields on average by 9% (inter-quartile range: +2% to −23%, 28 events) and 7.3% (+2% to −17%, 47 events), respectively (figure 1), and non-cereal yields by 3.8% (+6% to −13%) and 3.1% (+4% to −12%), respectively. Cold waves led to cereal and non-cereal yield declines by 1.3% (+7% to −9%, 60 events) and 2.6% (+6% to −11%), while flood impacts on yields were not statistically significant for cereals, and marginal (−0.4%) for non-cereal crops. Yield observations are not indicating a lagged response in the year following the reported EWD, except for heatwaves, which are followed by a year with increased cereal yield levels (figure 1).
Figure 1. Impacts of extreme weather disasters (EWDs) on European crops. Composite impacts in terms of crop production (first column), yield (second column) and harvested area (third column) are shown for cereal (CER, first row) and non-cereal crops (non-CER, second row), individually for: droughts (red); heatwaves (orange); floods (blue); and cold waves (grey). The composite analysis includes all EWDs in the EM-DAT record between 1964 and 2015, based on seven year time windows of country-level data centred on the respective event. The mean event impact (%) is the deviation of the composite signal from 1 in year 0, highlighted in the legend box underneath each plot, along with its significance level (*** if alpha < 0.05, ** if alpha < 0.10, * if alpha < 0.20, n.s. for not significant if alpha ⩾ 0.2) and the number of events included (n). Dashes along the y-axis indicate the 25th and 75th percentile of the observations. Statistical significance is based on 1000 bootstrap samples (see section 2).
Download figure:
Standard image High-resolution imageChanges in crop production are largely driven by yield declines, with comparatively small and not statistically significant changes in harvested area (figure 1). During flood and cold wave years, non-cereal harvested area decreased by 1.8%, which generally indicates the abandoning of areas hardest hit (Iizumi and Ramankutty 2015).
Overall, cereals—covering two thirds of European cropland—show consistently larger losses associated with droughts and heatwaves compared to non-cereal crops. This can be explained by generally widespread irrigation among non-cereal crops. Combined drought and heatwave production responses for cereals include wheat (−11.3%), barley (−12.1%) and maize (−12.5%), and for non-cereals: oil crops (−8.4%), olives (−6.2%), vegetables (−3.5%), roots and tubers (−4.5%), sugar beet (−8.8%), among others (table 1).
Table 1. Composite drought and heatwave impacts by crops and climate region. Observed production, yield and harvested area impacts (%) associated with droughts and heatwaves (combined to overcome limitations due to sample size) are separated for the EU level and for each Koeppen–Geiger (KG) region (Kottek et al 2006) between 1964 and 2015. Results are shown for major crop categories, ordered by the respective fraction of the total EU cropping area (%). Average event impacts are shown if statistically significant (*** if alpha < 0.05, ** if alpha < 0.10, * if alpha < 0.2, n.s. for not significant if alpha ⩾ 0.2); n.n. if empirical bootstrapped distribution of the normalised mean is not normal. Statistical significance is based on 1000 bootstrap samples (see section 2). Column n indicates the number of events. Blank cells mean that a crop is not grown in the respective KG region. Impacts for floods and cold waves are shown in tables S4 and S5.
| European Union-28 | Cfb—temperate oceanic climate | Csa—hot-summer Mediterranean climate | Dfb—warm-summer humid continental climate | ||||||||||||||
|---|---|---|---|---|---|---|---|---|---|---|---|---|---|---|---|---|---|
| Crops | % cropping area | Production | Yield | Harvested area | n | Production | Yield | Harvested area | n | Production | Yield | Harvested area | n | Production | Yield | Harvested area | n |
| CEREALS | 65.0 | −8.3 *** | −7.9 *** | −0.3 n.s. | 75 | −6.4 *** | −6.6 *** | 1.1 n.s. | 33 | −6.8 *** | −6.9 *** | −0.3 n.s. | 28 | −15.6 *** | −12.8 *** | −3.8 * | 14 |
| Wheat | 29.5 | −11.3 *** | −9.6 *** | −2 *** | 75 | −10.5 *** | −7.3 *** | −3.3 *** | 33 | −9.5 *** | −11 *** | 1.4 n.s. | 28 | −17 *** | −12 *** | −5.8 *** | 14 |
| Barley | 14.1 | −12.1 *** | −11.6 *** | −0.7 n.s. | 75 | −5.7 *** | −7.4 *** | 1.7 * | 33 | −19.2 *** | −15.5 *** | −4.5 ** | 28 | −13.2 *** | −13.7 *** | 1.3 n.s. | 14 |
| Maize | 10.2 | −12.5 *** | −12.2 *** | −0.6 n.s. | 67 | −17.2 *** | −16.4 *** | −0.8 n.s. | 30 | −2.5 n.s. | −3.4 *** | 1 n.s. | 23 | −18.6 *** | −17.6 *** | −2.5 n.n. | 14 |
| Other cereals | 11.2 | −6.4 *** | −6.3 *** | 0.1 n.s. | 75 | −4.2 *** | −4.9 *** | 2 * | 33 | −4.5 ** | −5 *** | 0 n.s. | 28 | −15.2 *** | −12 *** | −4.5 n.s. | 14 |
| NON-CEREALS | 35.0 | −3.9 *** | −3.4 *** | −0.7 * | 75 | −5.4 *** | −4.5 *** | −1.3 ** | 33 | −1.4 *** | −1.6 *** | 0.1 n.s. | 28 | −7.4 *** | −5.9 *** | −1.5 n.s. | 14 |
| Oil crops | 13.4 | −8.4 *** | −5.7 *** | −1 n.s. | 75 | −8.2 *** | −7.6 *** | −1.9 n.s. | 33 | −5.5 n.s. | −2.9 n.s. | 1.7 n.s. | 28 | −13 *** | −6 * | −3.1 n.s. | 14 |
| Olives | 5.5 | −6.2 ** | −3.6 n.s. | −2.4 *** | 39 | −13.2 ** | −11.3 * | −2.8 *** | 12 | −3 n.s. | −0.2 n.s. | −2.3 *** | 27 | ||||
| Vegetables | 4.5 | −3.5 *** | −3.9 *** | 0 n.s. | 75 | −4.1 *** | −3.5 *** | −0.9 n.s. | 33 | −1.3 *** | −2.6 *** | 0.5 n.s. | 28 | −7.7 *** | −8.4 *** | 1.1 n.s. | 14 |
| Grapes | 3.7 | −0.3 n.s. | −0.2 n.s. | −0.2 n.s. | 71 | −0.9 n.s. | −0.4 n.s. | −0.7 n.n. | 32 | −1.6 n.s. | −1.8 n.s. | 0.3 n.s. | 28 | 4.7 n.s. | 4.5 n.s. | 0.1 n.n. | 11 |
| Roots and tubers | 2.3 | −4.5 *** | −4.8 *** | 0.1 n.s. | 75 | −11 *** | −11.1 *** | 0.8 n.s. | 33 | 2.4 n.s. | 1.3 * | 0.2 n.s. | 28 | −10.6 *** | −9.2 *** | −2.4 * | 14 |
| Sugar | 1.7 | −8.8 *** | −8.2 *** | −1 n.s. | 69 | −14.2 *** | −11.8 *** | −3.4 *** | 32 | −2.5 n.s. | −3.4 *** | 1.9 n.s. | 23 | −11.6 *** | −11.4 *** | −2.5 n.s. | 14 |
| Orchards | 1.6 | 0.9 n.s. | −0.6 n.s. | 0.8 n.s. | 74 | −3.8 *** | −1.8 n.s. | −2.2 *** | 33 | 0.9 n.s. | −1.1 n.s. | 2.1 *** | 28 | 15.1 n.n. | 5.5 ** | 4.9 *** | 13 |
| Treenuts | 1.1 | −1 n.s. | −0.4 n.s. | −1.1 n.s. | 62 | −4.2 * | −2.8 * | −2.1 n.s. | 26 | 0.6 n.s. | 1.8 n.s. | −1.8 ** | 28 | 1.8 n.s. | −7.5 *** | 9.8 *** | 8 |
| Citrus | 0.6 | −5.1 *** | −3.4 *** | −2.6 *** | 39 | −11.4 *** | −8.7 *** | −3.1 n.s. | 11 | −3.2 ** | −1.7 n.s. | −2.4 *** | 28 | ||||
| Soft fruits | 0.4 | −6.9 *** | −4 *** | −3 *** | 74 | −5.3 *** | −4.9 *** | 0.2 n.s. | 33 | −4.2 n.n. | −2.9 *** | −2.1 * | 28 | −14.2 *** | −4.2 *** | −10.5 *** | 13 |
| Other crops | 0.2 | −8.2 *** | −3.1 ** | −5.5 *** | 74 | −5.5 n.n. | −4.4 ** | −3.5 ** | 32 | −4 n.n. | 0.9 n.s. | −2.8 n.n. | 28 | −21.2 *** | −8.7 *** | −14.6 *** | 14 |
3.2. Crop impact and frequency of extreme weather disasters over time
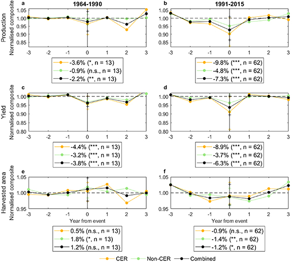
Total crop production losses related to droughts and heatwaves in Europe roughly tripled between the first (1964–1990) and second (1991–2015) observation period: from −2.2% to −7.3% (figure 2). While cereals show larger absolute losses in both time periods (increasing from −3.6% to −9.8%), impacts in non-cereals increase more than fivefold from −0.9% to −4.8%. For cereals, this trend is largely driven by increasingly severe yield losses, doubling from −4.4% to −8.9%. For non-cereal crops, yield declines changed less substantially (from −3.2% to −3.7%), but additional harvested area declines (1.8% to −1.4%) cause steep losses in overall production (figures 2(e) and (f)). While these numbers reflect the average impact across all EWD events, figure 2 also illustrates that the most severe events become disproportionally more severe. For example, the 25% percentile of impacts in production decreased from −8.1% to −13.5%, whereas the 75% percentile only changed from 4.1% to 0.7% (figures 2(a) and (b)). Crops are combined based on a production-weighted average, and there is a robust pattern of more severe impacts due to droughts and heatwaves in recent years across crop groups (i.e. cereals and non-cereals) and individual crops (table S6).
Figure 2. Drought and heatwave crop responses in the first and second half of the observation record. The composite impact of cereal (CER), non-cereal (non-CER) and both categories aggregated (combined) is shown for production (1st row), yield (2nd row) and harvested area (3rd row), and is separated for the time slices 1964–1990 (1st column) and 1991–2015 (2nd column). Droughts and heatwaves are aggregated to avoid limitations due to sample size. Significance levels are as in figure 1. Similar plots for floods and cold waves are shown in figures S2 and S3.
Download figure:
Standard image High-resolution imageFor floods (figure S2) and cold waves (figure S3), the results draw a somewhat more complex picture. While we find slightly less severe production declines for both event types among more recent observations, for cold waves this signal is driven by much less affected harvested area despite increasing yield losses (figures S3(d) and (f)). For floods, the production signal is driven by less severe yield impacts in the second time period (figures S2(c) and (d)), which is in line with an overall positive trend across flooding yield declines presented next.
Observations show a consistent negative trend in normalised anomalies of cereal production over time, and across regions, for all event types except floods (figure 3). Even though the drought category comes with the lowest number of cases, the trend is statistically significant at the 0.05 level and indicates increasing annual cereal production losses by more than 3%, the steepest decline among the four EWD types. For heatwaves and floods, the trend line is not statistically significant. Cold waves on the other hand show a surprisingly steep and significant negative trend. No significant trends are found for non-cereal crops (figure S4).
Figure 3. Cereal production anomalies during years of reported EWDs. Normalised anomalies are shown for all years with droughts (a), heatwaves (b), floods (c), and cold waves (d) listed in the EMDAT record (EM-DAT 2018) until 2018 (currently the last year with FAO yield statistics available). Cereal production is shown as the sum of all cereal production in a specific country. Countries are coloured according to the Koeppen–Geiger climate zone: Cfb—temperate oceanic, Csa—hot-summer Mediterranean, Dfb—warm-summer humid continental, and Dfc—subarctic (see table S1). The straight line indicates the regression line; its slope parameter and significance level are shown in the top-left corner (** if p-value < 0.1; n.s. for not significant if ⩾0.2). The number of events (n) is indicated in the title. A similar plot for non-cereal production is shown in figure S4.
Download figure:
Standard image High-resolution imageOver the last five decades, we find a substantial and statistically significant increase in event frequency for droughts (annual increase 1%), heatwaves (6%), floods (29%), and cold waves (10%) (figure 4). The number of reported droughts and heatwaves increased from 13 in the first observation period to 62 in the second (figure 2). Similarly, there were 38 floods and 4 cold waves on record in the first period, and 103 and 56 in the second, respectively (figures S2 and S3).
Figure 4. Number of annually reported EWDs in Europe. The number (n) of country-level droughts (a), heatwaves (b), floods (c) and cold waves (d) in the EM-DAT record (EM-DAT 2018) are shown between 1961 and 2018. The solid line indicates the regression line, its slope parameter and significance level are shown in the top-left corner (*** if p-value < 0.05; ** if p-value < 0.1). The dashed line represents the 20 year moving average.
Download figure:
Standard image High-resolution image3.3. Severity of extreme weather disasters across different climate regions
The average cereal yield response to both droughts and heatwaves combined, shows largest relative losses (−12.8%) in warm-summer humid continental climates (Köppen–Geiger zone Dfb, see table S1 for countries) covering eastern European countries (table 1; 1964–2015). The response in temperate oceanic climates (Cfb) is −6.6% and in hot-summer Mediterranean climates (Csa) cereal yield declines by −6.9%. Overall, production declines are predominantly driven by yield changes (small and mostly not significant changes in harvested area). While countries in the Csa climate zone show smallest average production losses for wheat and not significant impact for maize, they show largest losses for barley (as well in yield and harvested area) (table 1).
Non-cereal crops also show largest yield and production losses in the Cfb and Dfb climate zones, namely staple crops such as vegetables, sugar, soft fruits, roots and tubers (table 1). Olives, a relevant cash crop in the EU, also show production losses in the Cfb region (−13.2%), driven by declines in yield (−11.3%) and harvested area (−2.8%). We did not find significant signals among countries in the subarctic climate zone (Dfc).
While floods do not show a significant effect on cereal yield at overall European level (figure 1), in Cfb countries, barley (largely grown in central and northern EU countries) exhibit significant yield declines by 3.4% which is offset by a positive response in maize (largely grown in Mediterranean countries) by 5.3% (table S4). Years with flood events are likely to have a generally wetter growing season, which might benefit overall maize growth especially in more semi-arid climates. Cold waves have a negative effect on crop production, especially across continental Dfb climates: wheat −11.1%; barley −15.4%; maize −7.8%; oil crops −15.9%; vegetables −4.6%; grapes −9%; treenuts −26.6%, largely associated with yield declines (table S5). But the response in Cfb countries is largely positive for cereals, which could be explained by faster achievement of vernalization requirements of winter crops in colder years (Jägermeyr et al 2020).
4. Discussion
Here we use observational data to systematically evaluate European crop responses to historical EWDs. While the frequency of reported droughts, heatwaves, floods, and cold waves substantially increased over the last five decades, supporting findings of a recent UNDRR report (UNDRR/CRED 2020), our results suggest that impacts associated with droughts and heatwaves on European crop production roughly tripled. Even though there are limitations linked to the use of disaster events as a metric for analysing extreme weather responses, it provides an alternative, impact-based approach that helps reveal important new information regarding the trend of EWD impacts in the agriculture sector. European crop yields increased by 146% over the past 50 years (107% in cereal yields) (FAO 2019a), which does not affect the calculation of EWD impacts as the SEA approach removed such management trends. However, higher-yielding systems are often associated with larger yield variability (e.g. Müller et al (2018)), which can be a contributing factor to increased EWD impacts in recent decades. While the number of drought-related disasters is lower than other EWD types resulting in lower statistical significance levels for drought impacts, consistent pattern in the observational data suggest that drought-related cereal production losses have seen sharp increases, with additional 3% losses per year. While this finding will benefit from additional data points and refined follow-up studies, it already provides important evidence for adaptation planning and disaster risk reduction. Higher future climate-related yield variability and global market volatility is often a larger concern than potential long-term gradual impacts (e.g. Tigchelaar et al (2018)).
The results suggest that climate change is among the factors driving increased crop losses associated with extreme weather events, even though our approach does not allow for robust climate change attribution without modelling counterfactual scenarios. The findings are in line with evidence reported by the Intergovernmental Panel on Climate Change (IPCC), showing that Southern Europe is experiencing more intense and longer droughts (Bocchiola et al 2013). Lesk et al (2016) also found increasing EWD-related crop losses for cereals between 1964 and 2007 at the global level. IPCC (2012) and others (e.g. Coumou and Rahmstorf (2012), Christidis et al (2015), Stott (2016), Pfleiderer et al (2019)) found that heatwaves are becoming more severe in most parts of Europe. Our results indicate only a marginal negative and not significant trend in the crop response to heatwaves, which might be explained by the expansion of irrigation, especially among central and Mediterranean countries. Irrigation can largely mitigate adverse heatwave impacts by cooling surface temperatures and thus reducing direct heat damage, but also resulting water stress impacts through maintaining increased soil moisture requirements (Troy et al 2015, Leng 2017, Jägermeyr and Frieler 2018, Leng and Hall 2019, Vogel et al 2019). According to AQUASTAT (FAO 2016), nearly 28% of European cereal area is under irrigation, predominantly in Cfb and Csa regions. Moreover, EM-DAT time series is substantially shorter for heatwaves (starting in 1985) than for the other events (droughts start in 1976, floods in 1965, cold waves in 1971), which may explain the non-significant heatwave trend line.
We evaluate the impact of each event individually, meaning an increase in event frequency does not affect the composite severity signal in this analysis (multi-year events are averaged into one event signal). Observational evidence shows an increase in the frequency of extreme weather events in Europe, especially heatwaves, and most strongly in Mediterranean regions (IPCC 2012). The UNDRR/CRED (2020) supports our findings showing a sharp increase in worldwide heatwaves (+232%), droughts (+29%), and floods (+134%) over the last 20 years. While the mortality rate of these events decreased, they are associated with a significant increase in economic damage and number of people affected. The increase in event frequency may partially be explained by the increased exposure and vulnerability of the affected systems, and by better recording and reporting, yet much of the increase has been attributed to a significant rise in the number of climate change-related extreme weather events (UNDRR/CRED 2020). The severity of individual events, however, is expected to be largely independent from reporting biases (yet a more frequent reporting bias can result in reporting less severe climatological events, which is not in line with our findings showing consistently more severe impacts in recent decades).
An extreme weather event can become an EWD if a specific human or economic damage occurs. The EM-DAT data base is a unique record, providing the longest standardised timeseries of EWD. It is therefore used as a central metric to select extreme weather events for advancing the understanding of their impact. However, linking the event definition to human and economic losses weakens the correlation to the climatological signal (e.g. not all drought EWDs show similar drought index anomalies), but it allows to study events based on responses of the underlying human and natural system. Climatological threshold-based approaches (e.g. Lobell et al (2013), Lüttger and Feike (2018), Vogel et al (2019)) may underestimate impacts of EWDs in the agriculture sector, because similar weather anomalies result in differing effects depending on the vulnerability of the exposed system (Lesk et al 2016). While mechanistic crop modelling can help improve the understanding of the complex drivers of crop responses to extreme weather anomalies, using a disaster record based on human impact provides a top-down, and equally important approach to quantifying impacts across larger spatial scales. Associating quantitative information to EWD impacts can help inform efforts in effective international disaster risk management and adaptive interventions more generally (EEA 2019). Initial large-scale data are critical for raising awareness, mobilize resources and, importantly, to incentivize follow up assessments. In particular, this study identifies crop categories that are more resilient to EWD at the EU level and across its bioclimatic regions. Such information may add to the discussion about the allocation of governmental agricultural subsidies. Since the EU food system is deeply connected with other world regions, continuous assessments of the main crop production impacts and food system vulnerabilities can contribute to revisions of the EU food trade flows. This study contributes to the debate highlighted by the European Environmental Agency regarding quantifications of EWD impacts for disaster risk reduction and adaptation efforts, and to understanding how trade policies can support climate adaptation strategies (EEA 2019).
Climate change is leading to fewer extremely cold days and nights on average (EASAC 2013). On the other hand, climate change is also expected to increase general weather variability, for example through more stationary atmospheric wave pattern that can cause intensified heatwaves, but also cold snaps (Mann et al 2018, Kornhuber et al 2019). We expect that the increasing trend in cold wave events found in the EM-DAT record (figure 4(d)) is likely a combination of increased event reporting and underlying climate change. The increasing frequency of flooding events is in line with other studies (e.g. Kundzewicz et al (2017)).
Additional limitations associated with the use of national EWD record for agricultural impact analysis include the following: (a) affected areas in a specific country accounting for the EWD damage might not coincide with the crop production areas and, therefore, is not always representative for the agriculture sector, which is especially important in large countries such the U.S. or Russia; (b) not all extreme weather events causing crop production losses are reported in EM-DAT, therefore, the number of extreme weather events will be higher than the associated EWD reported; (c) reported EWDs are not necessarily occurring during the crop growing period, but anytime within the calendar year, which likely contributes to an underestimation of the overall impact signal; (d) no weights are attributed to individual EWD accounting for the magnitude or duration of events. These points are reflected in the wide range of impacts shown in the 25th and 75th percentiles (figures 1 and 2) and discussed in Brás et al (2019).
The aggregation of data to the European level can mask more severe regional impacts as losses in one region can be offset by gains in others, as seen for cold waves in table S5. Nevertheless, the limited number of events and countries currently on record hamper finer-grained analyses in many cases as the composite impact signal is statistically insignificant without a sufficient number of cases (tables S4 and S5).
Subnational EWD analyses are constrained by finer resolution crop yield data. Observational subnational datasets in Europe (e.g. EUROSTAT NUTS2, and Ray et al (2012) and Iizumi and Sakai (2020)) have limitations due to consistency, and are mostly available for the four staple crops only. In follow-up studies complementary information could be derived by using spatially explicit and index-based event metrics focused in combination with process-based crop modelling.
Different agricultural systems are associated with distinct EWD impacts. Smaller EWD-related crop losses in Southern Europe (i.e. Csa and Cfb regions) can be explained by the share of cropping area under irrigation, 87% and 9% of the area for maize and wheat production, respectively in Csa countries, and 19% for maize in Cfb region and 2% in Dfb to 2%, while wheat is generally not irrigated (FAO 2016). Olives are irrigated to 20% in Csa regions, and only to 4% in Cfb regions (FAO 2016). In theory, the area under irrigation could be expanded in Europe to alleviate exposure to extreme weather events, but financial investment and sustainability burdens are substantial (Daccache et al 2014, Elliott et al 2014, Jägermeyr et al 2017), with potential consequences for food prices. Traditional and sustainable water management practices, including conservation tillage, organic mulching, and water harvesting offer synergistic opportunities to buffer impacts of extreme weather events (Rosa et al 2018, Jägermeyr 2020).
This study highlights that droughts and heatwaves are particularly harmful for cereal production, with losses twice as high as for non-cereal crops, especially in Mediterranean and eastern European countries, but also in central Europe with similar relative losses in both crop categories. Production losses of wheat in central and eastern Europe, as well as of barley in the Mediterranean region, are largely associated to yield declines but also to a reduction in harvested area, which is an indicator for partial crop failure (Iizumi and Ramankutty 2015). Barley production in Cfb is associate to yield declines but also to an increase in the harvested area, suggesting that farmers may have offset production losses by expanding the harvested area. This is an observed behaviour incentivised by crop insurances and governmental subsidies (Iizumi and Ramankutty 2015).
Cereals are especially relevant in terms of caloric food consumption (providing >60% of the energy intake (FAO 1997)), but also for providing feed to maintain the livestock sector. In 2014, the EU represented 13% of global cereal production (Knox et al 2016), contributing 24% of global cereal exports (FAO 2019a) (mainly originated from Dfb and Cfb climate zones, while countries in the Csa zone only produce 81% of their cereal demand, resulting in a net import of cereals (FAO 2019a)). The EU contributes almost 50% of the global sugar production (Knox et al 2016), 70% of the world olive oil exports (International Olive Council 2018), but also to nearly 50% of the world's wine (Wine Institute 2017). The size and trend of extreme event impacts on both cereal and non-cereal production is of concern as it can cause ripple effects in the global food trade system and affect food prices and availability worldwide (e.g. Puma et al (2015), Jägermeyr et al (2020)). Such cascading effects are particularly relevant in already food insecure regions.
Future projections suggest an increase in summer dryness in most parts of Europe, with longer and more intense heatwaves and droughts (IPCC 2012, EASAC 2013, Christidis et al 2015). Especially the Mediterranean region is likely to experience severe multi-year droughts (Guerreiro et al 2017). The historical agricultural losses associated to EWD illustrated in this study, especially for droughts, are therefore expected to further increase in the future.
5. Conclusion
Agricultural impacts associated with droughts, heatwaves, floods, and cold waves are not well understood across larger spatial scales, especially in view of potential adverse trends due to climate change. Here, we use an SEA to estimate average observed crop losses at national level associated with the four EWD types reported between 1964 and 2015. While the frequency of all four event types significantly increases over time, our results suggest that the average crop production impact of droughts and heatwaves has tripled over the last fifty years. In particular, drought-related cereal production losses are increasing by more than 3% yr−1. Even though using a weather disaster record for crop impact analyses has limitations, it offers a unique and standardized metric suggesting that climate change is already driving increasing crop losses in observational records. Our study contributes to the discussion of strategies and priorities in view of improving food system resilience.
Acknowledgments
T B is supported by Fundação para a Ciência e a Tecnologia through the grant PD/BD/114570/2016. T B, J S and N C are supported by CENSE - Center for Environmental and Sustainability Research (UIDB/04085/2020). J J is supported by the Open Philanthropy Project and NASA GISS Climate Impacts Group funding from the NASA Earth Sciences Division.
Data availability statement
The data that support the findings of this study are openly available at the following URL: www.emdat.be/database (EM-DAT 2018).
Author contributions
T B and J J conceived the study with contributions from N C and J S; T B and J J performed the analysis with valuable contributions from N C; T B and J J wrote the manuscript. All authors discussed and commented on the manuscript.



