Abstract
The 2015 Paris Agreement sets out that rapid reductions in greenhouse gas (GHG) emissions are needed to keep global warming to safe levels. A new approach (known as GWP*) has been suggested to compare contributions of long- and short-lived GHGs, providing a close link between cumulative CO2-equivalent emissions and total warming. However, comparison factors for non-CO2 GHGs under the GWP* metric depend on past emissions, and hence raise questions of equity and fairness when applied at any but the global level. The use of GWP* would put most developing countries at a disadvantage compared to developed countries, because when using GWP* countries with high historical emissions of short-lived GHGs are exempted from accounting for avoidable future warming that is caused by sustaining these emissions. We show that when various established equity or fairness criteria are applied to GWP* (defined here as eGWP*), perceived national non-CO2 emissions vary by more than an order of magnitude, particularly in countries with high methane emissions like New Zealand. We show that national emission estimates that use GWP* are very sensitive to arbitrary choices made by countries and therewith facilitate the creation of loopholes when CO2-equivalent emissions based on the GWP* concept are traded between countries that use different approaches. In light of such equity-dependent accounting differences, GHG metrics like GWP* should only be used at the global level. A common, transparent and equity-neutral accounting metric is vital for the Paris Agreement’s effectiveness and its environmental integrity.

Original content from this work may be used under the terms of the Creative Commons Attribution 3.0 licence. Any further distribution of this work must maintain attribution to the author(s) and the title of the work, journal citation and DOI.
Main text
With the adoption of the 2015 Paris Agreement, governments have set stringent global goals that aim to limit the impacts of climate change to safe levels (UNFCCC 2015). This includes a long-term temperature goal in Article 2 of the Paris Agreement (to ‘[hold] the increase in the global average temperature to well below 2 °C above pre-industrial levels and pursu[e] efforts to limit the temperature increase to 1.5 °C above pre-industrial levels’) as well as an emissions reduction target defined in its Article 4:
‘In order to achieve the long-term temperature goal set out in Article 2, Parties aim to reach global peaking of greenhouse gas (GHG) emissions as soon as possible, recognizing that peaking will take longer for developing country Parties, and to undertake rapid reductions thereafter in accordance with best available science, so as to achieve a balance between anthropogenic emissions by sources and removals by sinks of GHGs in the second half of this century, on the basis of equity, and in the context of sustainable development and efforts to eradicate poverty.’
The mitigation target defined here refers to emissions reductions at the global as well as at the national scale, and further paragraphs of Article 4 mandate that countries’ mid-century, long-term low GHG emission development strategies should be in line with this overall global emissions reduction goal and reflect countries’ highest possible ambition (UNFCCC 2015). The reductions should be implemented ‘on the basis of equity’, which means that they should consider different concepts of how the global mitigation effort can be distributed to the country level (Rajamani and Werksman 2018). Concepts of equity, burden sharing or fair shares, can be informed by science, but are in essence reflecting value and ethical judgements (Stavins et al 2014, Robiou du Pont et al 2016, Klinsky and Winkler 2018). It is thus essential to transparently reflect upon such concepts when considering new scientific approaches towards achieving the agreement’s goals.
Achieving a ‘balance between anthropogenic emissions by sources and removals by sinks of GHGs in the second half of this century’ is equivalent to achieving net-zero GHG emissions (Fuglestvedt et al 2018). The GHG metric which determines how different GHGs are accounted for in pathways (and hence how the achievement of net-zero GHG emissions is measured) is not explicitly specified, but it can be inferred based on information and reports that fed into the development of the Paris Agreement. The Paris Agreement was informed by the IPCC’s fifth assessment report (AR5) that used Global Warming Potentials (GWPs) of different GHGs over a time frame of 100 years (GWP-100) as the standard emission metric to aggregate GHG emissions for its assessment and presentation of emissions pathways (IPCC 2014). Similarly, also the United Nations Framework Convention on Climate Change (UNFCCC) uses GWP-100 as the common GHG accounting metric (UNFCCC 2016). For context, it is thus important to realize that all the key scientific and analytical inputs on emissions pathways that were available during the preparations and adoption of the Paris Agreement used the GWP-100 metric.
A range of alternative emission metric concepts and time frames have been discussed for some time (Myhre et al 2013, Fuglestvedt et al 2018). Recently, a metric has been proposed (named GWP*) to assess the almost direct temperature effect of non-CO2 GHGs, rather than their integrated long-term forcing effect (Allen et al 2016). GWP* has scientific merits when assessing global emissions and warming trajectories: cumulated global GHG emissions expressed in the GWP* metric are broadly proportional to global mean temperature increase (Allen et al 2018). A recent advancement of the methodological approach achieves even better outcomes of linking GHG emissions to global mean temperature increase by introducing scenario specific correction factors for carbon cycle and other feedbacks (Cain et al 2019). However, applying novel metrics to a pre-defined policy context is problematic if no appropriate measures are taken to ensure internal consistency with the earlier use of other metrics in that same policy context. In absence of such appropriate measures, policy targets can be re-interpreted without clear scientific or moral reasoning (Pfleiderer et al 2018). Being aware of value judgements that are embedded in physically argued methods and approaches is hence of the essence when operating at the science-policy interface (Rogelj et al 2017).
GWP* assesses the warming effect of short-lived climate forcers (SLCFs) such as methane (CH4) by relating the level of present-day emissions to emissions in the (recent) past. Such an approach is unproblematic at the global scale, but when applied at a country scale, this introduces a preferential treatment of countries or other emitters that have large historical methane emissions—an unintended feature which we illustrate further in the body of this paper. An assessment of the use of the new GWP* metric in the context of fairness and equity is hence useful (Klinsky et al 2017).
Several equity or fairness principles are important for climate policy discussions and the fair distribution of mitigation action across countries (Stavins et al 2014). These include both burden sharing and resource-sharing principles (Rao 2011), that is, principles that emphasize the need for efforts to reduce global emissions (i.e. the ‘burden’) to be shared, and those that start from equal rights to access to the global commons of our planetary atmosphere, respectively. Emissions of short- or long-lived climate forcers are interpreted differently in this context.
Any amount of long-lived climate forcer emissions, and CO2 in particular, will continue to contribute to warming over timescales well beyond centuries (Solomon et al 2010). Net-zero CO2 emissions hence have to be reached to halt global warming and total cumulative emissions have to be kept to within a certain budget in order to achieve warming targets that aim to cap global warming at a given level (Knutti and Rogelj 2015). Resource-sharing principles applied to CO2 and other long-lived climate forcers intend to inform the question of how a remaining carbon budget should be distributed while taking into account historical emissions or responsibility. Burden-sharing principles applied to this context intend to inform the question of how emissions reductions of CO2 should be distributed globally taking into account the cost and potential of emissions reductions in each country.
For SLCFs like methane, however, warming is not irreversible and declining SLCF emissions would allow to reduce the warming impact of these species (Solomon et al 2010). This is sometimes misunderstood or misrepresented by suggesting that reducing methane emissions would result in global cooling (Cain 2019). However, when correctly considering historical emissions, lower future methane emissions simply result in less warming, not in cooling. Only when historical warming is ignored, reducing SLCFs are perceived to lead to cooling. In a world in which a precautionary principle is applied and warming is to be limited to very low levels (United Nations Framework Convention on Climate Change 1992, UNFCCC 2015), this physical characteristic of SLCFs implies that SLCF emissions arguably have to be reduced to as low a level as possible in order to minimize their contribution to global warming—a logical consequence supported by scenario modeling (Rogelj et al 2018b). When looked at from a burden-sharing perspective as defined above (Rao 2011, Stavins et al 2014), SLCF reductions and their resulting global emission levels should be the result of the highest ambition of SLCF mitigation within and between countries. Reflecting upon this from a resource-sharing equity perspective suggests that access to this lowest level has to be distributed equally (or at least equitably) across countries. In no case seems a mere stabilization of national and global SLCF emissions (and hence also their warming) at current levels consistent with the equity and other climate policy principles agreed upon internationally (United Nations Framework Convention on Climate Change 1992), in particular as mitigation options for SLCFs are readily available (Gernaat et al 2015).
In the following, we assess some of the equity implications that occur when applying the GWP* metric to the national level, and propose alternative approaches that account for historical emissions as well as future emission levels in line with the 1.5 °C limit. We refer to these approaches as eGWP*. Finally, we will outline the implications for the applicability of GWP*-based approaches in the context of national climate policy and global climate targets.
Methods
We contrast the use of GWP-100 and GWP* in terms of the perceived GHG emissions of various countries. We use GWPs for different GHGs as reported in AR5 (Myhre et al 2013) and use the PRIMAP-hist database (Version 2.0) (Gütschow et al 2016) for historical emissions, noting that more recent updates of GWP-100 values (Gasser et al 2017) would not affect the qualitative insights of this analysis that focus on the relative difference between the GWP-100 and GWP* metrics.
Using the standard GWP-100 metric, CO2-equivalent (CO2e) emissions of SLCFs in any given year are derived directly from annual SLCF emissions (with GWP specified over a time horizon, here H = 100 years):

where
is the annual emission of a certain SLCF in metric tons of the specific SLCF and
the standard GWP over time horizon H.
In contrast to this ‘flow’ based approach, GWP* translates short-lived flow pollutants to a ‘stock’ of a certain SLCF-caused CO2-equivalent warming in the atmosphere. Following Allen et al (2018), the CO2-equivalent emissions of non-CO2 short-lived GHGs using GWP* is defined as

where
is the change in emissions of an SLCF over a preceding time interval
Unless changes in emissions are highly nonlinear, the choice of the interval length is of little influence. As in Allen et al (2018), we set
Following an emissions pulse, the abundance of SLCFs in the atmosphere decays rapidly over time. Concentrations of SLCFs hence track annual emissions quite closely. A change in SLCF emissions and the resulting change in atmospheric concentrations matter for the SLCF radiative forcing and its temperature change contribution. This is reflected in GWP*-weighted emissions being computed relative to historical emissions.
However, when applying equation (2) at the level of a specific country this is equivalent to implementing a ‘grandfathering’ principle because GWP* takes a country’s historic emissions level as its starting point. The grandfathering principle is often regarded as being inequitable and strongly criticized (Caney 2009, Peters et al 2015, Kartha et al 2018), because it reflects the view that a continuation of present-day emissions shares across countries is a fair distribution key for emissions in the future. Under this GWP* approach the highest historically polluting countries are thus rewarded for their past GHG pollution by receiving the right to continue to emit similar shares in the future.
Alternative equity concepts exist to distribute emissions, and are moreover more widely accepted as adequate representations of fairness (Stavins et al 2014, Robiou du Pont et al 2016). For example, future emissions can be assigned on a per-capita basis. We here introduce several equity approaches and highlight how their application quite radically changes the perception of GWP*-weighted SLCF emissions at the national level. CO2-equivalent emissions are derived for various countries over the historical period using GWP* and also using GWP* adjusted with different equity concepts for distributing emissions. It is important to note that not all equity concepts are considered equally fair, or fair at all (Kartha et al 2018). They can simply describe different approaches that can be followed either implicitly or explicitly when distributing future emissions contributions amongst countries. These adjusted GWP*-based CO2-equivalent emissions are referred to as eGWP* and listed in table 1.
Table 1. Overview of GWP* and eGWP* GHG metrics for methane (CH4), the underlying equity principle, respective properties, and implicit logic of the concept.
| Metric | Equity concept (policy objective) | Properties | Implicit logic of concept |
|---|---|---|---|
| GWP* | ‘Grandfathering’ | Derive GWP* relative to countries’ historical emissions using equation (2) | Countries with high current SLCF emissions are rewarded for their past GHG pollution by receiving the right to continue to emit similar shares in the future, and the opposite is true for countries with current low SLCF emissions |
| eGWP*-CE | ‘Constant emissions’ per capita | Keep global CH4 emissions constant at their 2015 levels, and distribute emissions using a per capita ‘fair share’ as the reference point | Each country receives an equal-per-capita share of current global CH4 emissions for the future and actual emissions in a country are compared to this reference level |
| eGWP*-CW | ‘Constant warming’ per capita | Keep global CH4 warming contribution constant by reducing global emissions CH4 emissions by 10% over a 20 year time frame distributed per capita | Each country receives an equal-per-capita share of the global CH4 emissions that would not result in further warming and actual emissions in a country are compared to this reference level |
| eGWP*-MW | ‘Minimal methane induced warming’ per capita | Achieve minimal future warming contribution from CH4 emissions based on most stringent mitigation scenarios (50% below 2015 levels) distributed per capita | Each country receives an equal-per-capita share of the global CH4 emissions that correspond to the most stringent emissions reductions identified in integrated emissions pathways and actual emissions in a country are compared to this reference level |
| eGWP*-ZR | ‘Zero reference’ per capita | Zero CH4 emissions as the reference point. Countries account for their full historical CH4 warming contribution up to 2015 | Each country’s CH4 emissions are compared to a zero emissions case |
We derive an illustrative fair share of the global SLCF emissions for a country C by

With
the level of global SLCF emissions that is consistent with a specific policy objective, and
and
the global and country population, respectively, as provided by the World Bank at https://data.worldbank.org/indicator/sp.pop.totl.
Using this per capita reference approach to derive annual emissions, equation (2) and the newly defined eGWP*-weighted emissions hence become

We look at three different levels of global emissions as illustrative policy reference levels
to distribute per capita emissions: constant emissions (eGWP*-CE), emissions resulting in a constant warming contribution (eGWP*-CW), and an emission level resulting in a minimal warming contribution (eGWP*-MW, see table 1). These approaches hence differ in their global reference level
only. For ease of implementation,
is explored by linearly scaling present global emission with different factors:

For the constant emissions case
simply equals 1 and the reference period is constant with
For the constant warming contribution, we set
an empirically determined value for the
= 20 year time frame and a
moving reference period. If CH4 emissions declined by about 10% over 20 years, they would lead to close to no change in the CH4 warming contribution in our MAGICC6 (Meinshausen et al 2011) configuration. For the minimal future warming case, we determine
(for
) as a rough median from a range of 1.5 °C compatible emissions reduction pathways assuming that options for mitigating CH4 emissions have been fully implemented (Huppmann et al 2018a, Huppmann et al 2018b, Rogelj et al 2018a, Rogelj et al 2018b). Future advances in mitigation measures for CH4 might further reduce this value (Gernaat et al 2015). This approach is also based on a time-invariant reference period.
Finally, although continued emissions of SLCF do not result in strong additional future warming, they are responsible for a significant share of past warming. To account for this when using the GWP* metric at a national level, we also take ‘zero’ as one of the reference levels explored here (eGWP*-ZR with
). This is diametrical opposite to the grandfathering approach of the original GWP* metric which takes present-day SLCF emissions as the baseline and thereby ignores the warming already caused by historical emissions. In the ‘zero reference’ approach that is applied in eGWP*-ZR, this historical warming is explicitly accounted for. It implies that before any distribution of ‘fair shares’ of emissions can take place, the warming that current SLCF emissions are causing needs to be accounted for, at least once. Therefore, the ‘zero reference’ approach eGWP*-ZR becomes equivalent to estimating CO2e emissions with

Results
CH4 emissions per capita vary widely between countries and are particularly high for economies with either substantial agricultural or fossil fuel related CH4 emissions (see figure 1, panel (a)). In absolute terms, the developing countries in our illustrative set rank high in absolute CH4 emissions due to their main economic sectors and the size of their economies, while they rank low through the lens of per capita emissions. When applying the original grandfathering GWP* metric (see figure 1, panel (b)) the picture looks entirely different. As many developed countries have not expanded or even reduced their emissions from CH4 in the past couple of decades, their CO2e GWP* emissions are generally lower than when accounted for with GWP-100, despite continued high levels of actual per capita CH4 emissions. For several countries, including some with CH4 per capita emissions well above the global average such as the USA, Ireland and Australia, expressing current CH4 emissions through the default grandfathering CO2e GWP* metric even results in a perceived negative contribution, which in principle could be accounted against (i.e. used to offset) other GHG emissions including long-lived gases such as CO2.
Figure 1. Implications of different CH4 accounting methods for selected countries. (a) Country level CH4 and CO2 per capita emissions for the year 2015. The world average is indicated by the gray line. (b) Absolute country level CO2e emissions in 2015 derived using grandfathering GWP* versus GWP-100. Countries above (below) the symmetry line (in gray, note the symlog-scaling of the y-axis) have higher (lower) 2015 CO2e emissions from CH4 when using grandfathering GWP* compared to GWP-100. (c) Same as (b), but for per capita emissions. Country labels are defined in table 2.
Download figure:
Standard image High-resolution imageAs illustrated in figure 1, panel (c), and summarized in table 2, the choice of metric (either the traditional GWP-100 or grandfathering GWP*) fundamentally alters the ranking of countries in terms of their accounted (perceived) per capita CH4 emissions. Major developing country emitters such as China and Brazil that have comparably lower historic per capita emissions have seen increases over the recent decades. Applying grandfathering GWP* leads here to an increase in these countries’ perceived CO2e per capita emissions so that they are now ranked third and second, respectively, in our list of illustrative country emitters. Quite the contrary is true for Australia, which is the third highest per capita emitter of the countries considered here in terms of its actual per capita CH4 emissions or GWP-100-weighted CO2e per capita emissions. Due to emission reductions over recent years, the grandfathering GWP* accounting metric would suggest Australia to have the lowest (and negative) CO2e per capita emissions across our set of illustrative countries, together with the EU28, although the latter has only about 20% of Australia’s per capita CH4 emissions when expressed in annual CH4 emissions per capita.
Table 2. Ranking of countries according to the per capita CH4 emissions accounted for using GWP-100 (left) and GWP* (right). Developed countries are marked in bold and with a gray shading, Russia as a major oil and gas producer in italics and major developing economies in normal font.
| GWP-100 2015 per cap CH4 emissions ranking | Tonne CO2e per cap | GWP* 2015 per cap CH4 emissions ranking | Tonne CO2e* per cap |
|---|---|---|---|
| New Zealand (NZL) | 8.3 | RUS | 8.0 |
| Russian Federation (RUS) | 6.5 | BRA | 2.8 |
| Australia (AUS) | 4.8 | CHN | 2.2 |
| Republic of Ireland (IRL) | 3.2 | SEN | 1.2 |
| United States of America (USA) | 2.3 | NZL | 0.9 |
| Brazil (BRA) | 2.2 | IND | 0.1 |
| China (CHN) | 1.2 | FJI | −0.3 |
| Fiji (FJI) | 1.1 | USA | −1.8 |
| European Union (EU28) | 1.0 | IRL | −2.1 |
| Senegal (SEN) | 0.8 | EU28 | −2.2 |
| India (IND) | 0.4 | AUS | −2.2 |
With the grandfathering GWP* approach, countries with high historic SLCF emissions are thus rewarded for these high historical emissions and the climate change they caused, because reducing emissions from these high historical levels would allow them to reach ‘negative’ CO2-equivalent emissions or CO2-equivalent emissions credits for other GHGs. When grandfathering is perversely presented as an appropriate fairness principle, this feature can be used to argue emissions reductions result in global cooling (Cain 2019). In contrast, countries with very low historic SLCF emissions—typically developing countries—will receive penalties from increasing their emissions, even if these are the result of responding to basic development needs.
The application of the grandfathering GWP* metric at a national level is hence raising concerns about equity and fairness. These concerns are explored further below, using the different equity approaches to derive alternative eGWP* metrics.
The implications of applying either GWP* or a per-capita based eGWP*-CE approach (equivalent to the Grandfathering and per capita distributed constant emissions approaches, see table 1) are illustrated in figure 2 for a developed country with high historical emissions (New Zealand, panel (a)), and a developing country with rapidly increasing methane emissions over recent decades (China, panel (b)). Although New Zealand’s CH4 emissions are far above the global per-capita fair share, the small emissions reductions between 1996 and 2016 would lead to a perceived negative CO2e contribution under the grandfathering GWP* approach. To the contrary, China’s rising CH4 emissions over the same period would lead to substantial additional CO2e grandfathering GWP* emissions. When looked at through the lens of a constant emission per-capita approach, China’s 2016 CO2e eGWP*-CE emissions are close to the global equitable per capita share for constant global CH4 emissions. New Zealand, on the contrary, sees an increase of its accountable CH4 emissions in 2016 by a factor of about 6. The outcomes of the emission accounting using metrics such as grandfathering GWP* or eGWP* variations are thus not scientifically neutral, but the result of value judgements and considerations of equity and fairness that need to be made explicit.
Figure 2. Illustration of the implications of different equity (or inequitable) approaches on New Zealand’s (panel (a)), and China’s (panel (b)) CH4 emissions accounting. The countries’ current CH4 emissions are interpreted in terms of grandfather GWP* relative to the country’s historical emissions over the last 20 years (Grandfathering) and relative to constant global equal per capita CH4 emissions (eGWP*-CE, marked with Constant global per capita). For GWP* calculations for the year 2016 this illustration uses
Purple and green arrows mark the accounted CH4 emissions difference including sign for the Grandfathering and Constant global per capita approach, respectively.
Download figure:
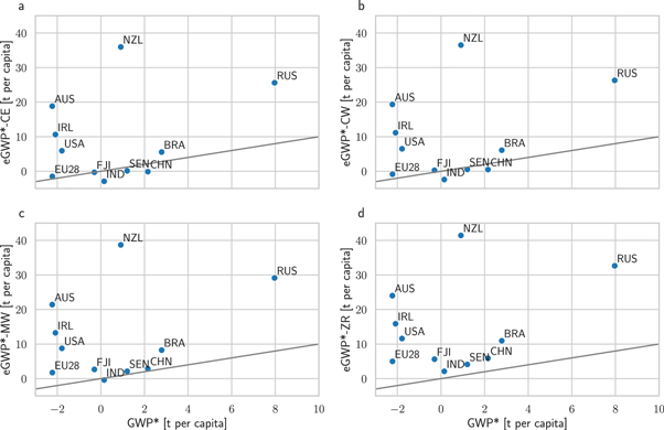
Standard image High-resolution imageThis is further illustrated in figure 3, which displays the differences in per capita accounting of GWP* versus different eGWP* approaches. When using eGWP* approaches (figure 3, panels (a)–(c)), CO2e emissions for developed countries are changing sign and are generally much higher than when estimated with the default application of the grandfathering GWP* metric. While the choice of the accounting metric leads to differences in absolute terms, the general patterns are similar between all alternative eGWP* metrics that we apply here.
Figure 3. Implications of different equity approaches to distribute CH4 emissions reflected in eGWP*s (see table 1) and the corresponding GWP* CO2e emissions based on the standard grandfathering GWP* approach. (a) 2015 constant CH4 emissions per capita eGWP*-CE; (b) 2015 constant warming eGWP*-CW; (c) minimal future CH4 induced warming eGWP*-MW; (d) zero reference (historical warming) eGWP*-ZR. The gray lines indicate whether emissions in alternative equity adjusted eGWP* metrics are higher or lower than the standard grandfathering GWP* approach. Country labels are defined in table 2.
Download figure:
Standard image High-resolution imageFor individual developed countries such as Ireland and Australia, the CO2e per capita emissions of CH4 accounted using alternative equity-based eGWP* metrics are consistently higher than their per capita CO2 emissions (compare all panels of figure 3 with figure 1, panel (a)). For New Zealand, the country with the highest per capita CH4 emissions in our analysis, annual per capita CO2e values using eGWP* can reach up to and exceed 40 tons of CO2-equivalent emissions per capita, five times the per capita CO2 emissions of the country.
Discussion
The existing literature on GWP* approaches is relative young. The GWP* concept was introduced in 2016 with a study highlighting the important differences in the temperature effect of a pulse of short versus long-lived climate forcers (Allen et al 2016), which in turn was building on more broader work on emissions metrics of a decade earlier (Shine et al 2005). The grandfathering GWP* approach was then formally presented in the literature in a follow-up study (Allen et al 2018) and several derivative concepts have been published since, for example, using the GWP* concept to derive CO2 forcing-equivalent (Jenkins et al 2018) or CO2 warming-equivalent (Cain et al 2019) emissions. Each of these approaches suffers from the same limitation as the original. Applied at the global level they provide clear scientific merit with a more direct link between the representation of CO2-equivalent emissions and their warming impact. However, when applied at a national level they all suffer from the same implicit grandfathering bias, and hence disadvantage developing countries who might want to expand certain economic activities for their development but which at present come with a given amount of unmitigatable short-lived GHG emissions, for example, methane emissions from the agricultural sector. Here, our study provides a critique as well as new insights.
We have shown in our analysis that a grandfathering GWP*-based approach developed for global applications for a well-mixed atmosphere cannot be simply applied to a context of national emissions because the proposed GWP* metric only reflects the additional warming effect of emissions relative to today (or the recent past), not the historical responsibilities for warming already caused due to past emissions. Doing so is hence not a neutral scientific exercise but comes with strong assumptions about equity and countries’ ‘rights’ to emit. If not accounted for, a direct GWP* application (Allen et al 2016, Allen et al 2018) equals a ‘grandfathering’ approach that favors countries with high historical emissions and which is commonly rejected as being morally unacceptable (Caney 2009, Peters et al 2015, Robiou du Pont et al 2016, Kartha et al 2018).
We have shown that the application of eGWP* methods that more directly reflect on the equity dimension of emissions metrics, like approaches that start from a per capita equity baseline instead of historical national emissions, lead to a strongly altered picture, with changes in sign of the perceived CO2e emissions for most developed countries. In the case of New Zealand, methane CO2e emissions per capita are even up to 40 times larger when taking into account an equity and fairness-based reference compared to the CO2e emissions estimated with the grandfathering GWP* approach (Allen et al 2016, Allen et al 2018).
Applications of per capita approaches also raise methodological questions in relation to GWP* or eGWP* approaches. When using the grandfathering GWP* approach, the choice of
might only lead to minor modifications in the level of accounted emissions, but for the per capita and zero reference approaches this choice will strongly alter results. For the sake of intercomparability, we have used
in our analysis. However, there is no reason why other values, e.g. even
should be ruled out. Such a choice would then simply lead to 20 times higher CO2e emissions in the zero reference case and substantially increased values for the other fairness-based per capita approaches. The arbitrariness of this choice is a profound disadvantage for a broad application of eGWP* metrics in the light of equity.
In addition to the issues related to equity and grandfathering, the potential for ‘negative CO2e emissions’ for declining emissions of CH4 is also a troubling implication that can be the result of an imprudent application of the GWP* concept. In order to achieve the long-term temperature goal of the Paris Agreement, urgent emission reductions are required for all GHGs—CH4 as well as CO2 (IPCC 2018, Rogelj et al 2018b). As illustrated in figure 3, applying either GWP* or eGWP* could lead to negative emissions. In the case of the EU28, this would amount to about 2 Gt CO2e per capita using the grandfathering GWP*, which is about 25% of EU28 per capita CO2 emissions. This means that individual countries would create additional CO2 allowances either for themselves or to a market mechanism by reducing CH4.
Such ‘negative CO2e emissions’ created through the application of GWP* or eGWP* could have inequitable spill-over effects into national CO2 emission budgets. For example, if New Zealand decreases its CH4 emissions by 50% in 2035 relative to 2015, this would equate to a perceived ‘additional’ CO2 budget of about 2.5 times New Zealand’s annual CO2 emissions in the year 2015. The application of grandfathering GWP* at the country level would thereby be prone to opening accounting loopholes that critically undermine the need for stringent mitigation of all GHGs.
In our analysis, we have focused on CH4 as the most common non-CO2 SLCF. The implications for other SLCFs would be qualitatively similar, although smaller in magnitude. Any non-CO2 GHGs with an atmospheric lifetime larger than 20 years is modeled precisely the same by GWP* as by GWP-100. For long-lived non-CO2 GHGs like nitrous oxide, hence no unintended issues exist.
In summary, we have illustrated that the application of the grandfathering GWP* metric proposed in the literature (Allen et al 2016, Allen et al 2018), irrespective of its scientific merits for applications at the global scale, introduces substantive bias and concerns related to the equitable and fair share of emissions at the national scale. Applying the grandfathering GWP* metric in national accounting would lead to substantial and inequitable biases in favor of countries with historically high emissions. Introducing various equity concepts as part of a GWP* logic, i.e. applying the eGWP*-like metrics presented in this paper, illustrates how numeric values obtained by this class of metrics depend on chosen reference levels that reflect implicit or explicit moral/ethical value judgments. If more equitable per-capita-based accounting approaches are applied, annual CO2-equivalent methane emissions of many developed countries would be of similar magnitude to, or even exceed, their annual CO2 emissions.
The choice of which equity approach is applied in a national context is at the discretion of individual national governments. Because concepts of equity vary strongly across countries, introducing a GWP* logic into national accounting would inevitably lead to different GWP* or eGWP* approaches being applied by different countries. This, in turn, results in the potential creation of substantial perceived ‘allowances’ of CO2e emissions if GWP*-based emissions of SLCFs turn negative, because GWP* fails to account for historical warming contributions. If such allowances would enter a global market mechanism under the Paris Agreement for which the target was set in GWP-100, they would undermine both the scientific integrity of the Paris Agreement and the global efforts to reduce GHG emissions. In order to achieve the required stringent emission reductions of all GHGs, transparent and robust national accounting is key. As a fundamental principle to achieve this, each tonne of GHGs of any kind in any country needs to be accounted for in the same way—or alternatively, a full scientifically robust translation between country approaches should be readily available and agreed upon as part of the market mechanism. As GWP*-based approaches at present cannot guarantee to fulfill that criterion, they are not suited for application in the efforts to achieve transparent and effective GHG emission reductions under the Paris Agreement.
Acknowledgments
CFS acknowledges support by the German Federal Ministry for the Environment, Nature Conservation and Nuclear Safety (11_II_093_Global_A_SIDS and LDCs). JR and CFS acknowledge support from the European Union’s Horizon 2020 Research and Innovation Programme under grant agreement number 820829 (CONSTRAIN).
Data availability statement
Data sharing is not applicable to this article as no new data were created or analysed in this study. Emissions data that was analysed is available under DOI: https://doi.org/10.5880/PIK.2019.001.





