ABSTRACT
Fast radio bursts (FRBs) are mysterious transient sources. If extragalactic, as suggested by their relative large dispersion measures, their brightness temperatures must be extremely high. Some FRB models (e.g., young pulsar model, magnetar giant flare model, or supra-massive neutron star collapse model) suggest that they may be associated with a synchrotron nebula. Here we study a synchrotron-heating process by an FRB in a self-absorbed synchrotron nebula. If the FRB frequency is below the synchrotron self-absorption frequency of the nebula, electrons in the nebula would absorb FRB photons, leading to a harder electron spectrum and enhanced self-absorbed synchrotron emission. In the meantime, the FRB flux is absorbed by the nebula electrons. We calculate the spectra of FRB-heated synchrotron nebulae, and show that the nebula spectra would show a significant hump in several decades near the self-absorption frequency. Identifying such a spectral feature would reveal an embedded FRB in a synchrotron nebula.
Export citation and abstract BibTeX RIS
1. INTRODUCTION
Fast radio bursts (FRBs) are mysterious radio transients characterized by short intrinsic durations (≲a few ms), large dispersion measures (DM = 100–2000 pc cm−3, and high Galactic latitudes (
) (Lorimer et al. 2007; Thornton et al. 2013). Their physical origin is not identified, but the observational properties place them at distances of at least extragalactic, or even cosmological (e.g., Thornton et al. 2013; Deng & Zhang 2014; Gao et al. 2014; Kulkarni et al. 2014; Zheng et al. 2014; Zhou et al. 2014). Assuming such large distances, their fluences of ∼1 Jy ms or larger suggest an extremely high brightness temperature up to ∼1037 K (Katz 2014; Luan & Goldreich 2014).
The physical origin of FRBs is unknown. Suggested models include collapses of supra-massive neutron stars to black holes (Falcke & Rezzolla 2014; Zhang 2014), magnetar giant flares (Popov & Postnov 2007; Thornton et al. 2013; Kulkarni et al. 2014), super-giant pulses from young pulsars (Connor et al. 2015; Cordes & Wasserman 2016; Pen & Connor 2015), flaring stars (Loeb et al. 2014), double neutron star mergers (Totani 2013), double white dwarf mergers (Kashiyama et al. 2013), evaporation of mini black holes (Keane et al. 2012), accretion of a comet by a neutron star (Geng & Huang 2015), and so on. Precise localization of FRBs through radio interferometry or by detecting counterparts in other wavelengths hold the key to make the breakthrough.
In some of these proposed scenarios, FRBs are expected to be located in a surrounding nebula (Lyubarsky 2014). According to Cordes & Wasserman (2016), Connor et al. (2015), and Pen & Connor (2015), FRBs may be super-giant pulses from young pulsars, which are probably still within their associated supernova remnants. Magnetars that produce giant flares are usually relatively young, some of which may be associated with supernova remnants (Mereghetti et al. 2015). Within the "blitzar" scenario, Falcke & Rezzolla (2014) suggested that delay between the birth and collapse of the supra-massive neutron stars can be thousands to even millions of years, so that one may not expect a remnant near the FRB site. However, Zhang (2014) suggested that the delay time can be much shorter, even thousands of seconds after the formation, so that a small fraction of these FRBs may be associated with gamma-ray bursts (GRBs), and the FRBs may be surrounded by a bright "nebula," i.e., radio afterglow of a GRB. Considering a continuous distribution of the delay time scale, it is possible that FRBs may be generated inside a synchrotron nebula with various ages. The existence of a (
) scattering tail of many FRBs (Lorimer et al. 2007; Thornton et al. 2013; Champion et al. 2015) as well as Faraday rotation in FRB 110523 (Masui et al. 2015) also suggest that there may exist a dense magnetized plasma screen in the vicinity of at least some FRBs (Williamson 1972; Lee & Jokipii 1975; Rickett 1977; Macquart & Koay 2013).
Whereas the possible existence of a nebula in the vicinity of FRBs apparently did not affect the observed FRBs, in this paper, we consider a hypothesized scenario that some FRBs may have interacted with their nebulae, if the synchrotron self-absorption frequencies of those nebulae are above the characteristic frequency of the FRBs. This process may be named as "synchrotron heating" (for the nebula) or "synchrotron external absorption" (for the FRB). Synchrotron self-absorption (SSA) has been extensively studies by many authors (e.g., Rees 1967; Sari & Esin 2001; Gao et al. 2013). Due to the contribution from the reabsorption of SSA, the electron distribution would deviate from the original (broken) power-law distribution and approach a quasi-Maxwellian distribution in the low-energy regime for a steady equilibrium situation (e.g., McCray 1969; Ghisellini et al. 1988a, 1998b; de Kool et al. 1989). The cross section of synchrotron absorption was calculated by Ghisellini & Svensson (1991).
In this paper, we study synchrotron heating/external absorption physics within the context of FRB/nebula interaction. The theoretical framework is laid out in Section 2. The spectra is presented in Section 3. The results are summarized in Section 4 with some discussion.
2. SYNCHROTRON HEATING/EXTERNAL ABSORPTION
Before the FRB injection, the electron distribution in the nebula is likely steady due to the balance between synchrotron energy loss and electron injection. We assume that the initial differential electron number density in the nebula is a power law:

where γ is the electron Lorentz factor, K and p are constants.6 Before the FRB injection, the SSA intensity is given by (Ghisellini 2013)7


where Γ(x) is the Gamma function. The synchrotron absorption optical depth reads

where

and R is the size of the electron acceleration region. The self-absorption frequency νa is defined by τν = 1, i.e.,

Let us now consider FRB injection. A fraction of low-energy electrons would be heated to higher energies by the FRB. The kinetic equation of the electron distribution is given by (McCray 1969)

The first term on the right hand side describes the effect of the synchrotron energy loss, with

where
is the synchrotron power of a single electron,
is the synchrotron function, and
is the synchrotron characteristic frequency. The second term on the right hand side describes induced emission and reabsorption, with

where
is the total intensity. The last term
represents the electron injection source term.8
Equation (7) is usually used to calculate SSA (McCray 1969; Ghisellini et al. 1988a, 1998b; de Kool et al. 1989), but it can be also used to treat the synchrotron external absorption process discussed in this paper, since the same micro-physical processs of radiative transfer is involved (McCray 1969).
Compared with the broad-band synchrotron spectrum of the nebula, the FRB spectrum is relatively narrow. Observations show that the spectra of FRBs are quite steep (e.g., Thornton et al. 2013; Champion et al. 2015). Theoretical models invoking bunching coherent mechanisms also predict relatively narrow spectra with
(e.g., Katz 2014). For the purpose of easy calculations, we approximate the FRB spectrum as a δ-function, i.e.,
, where ν0 is the characteristic frequency of the FRB, and I0 is the effective integral intensity, which is much larger than the integral synchrotron intensity
of the nebula. Since
, one has
, so that the coefficient C can be approximated as

and the derivative of the function C reads

both are needed to solve Equation (7). Before the FRB injection, the electron distribution is steady due to the balance between the synchrotron energy loss and electron injection. Thus,
is satisfied, i.e., only the second term of the right hand side of Equation (7) presents. After the FRB injection, the nebula electron distribution is suddenly perturbed. The perturbation evolution can be described by

where

Here F(x) is the synchrotron spectral function, and one has
when
,
when
, and
when x = 0.29. One can define a critical Lorentz factor γ0, so that the electron number density N(γ) would decrease for γ < γ0 and increase for γ > γ0. The reason is that the electrons with Lorentz factor
would absorb the FRB's flux and be accelerated to higher energies. One may estimate γ0 by introducing the approximation
, which has an error less than 5% over the range
. The function G(x, p) can be then approximated as
. If G(x, p) = 0, one has
. The critical electron Lorentz factor is therefore given by

Since the power-law distribution would relax to a non-power-law distribution, we need to numerically solve Equation (7), and the total intensity is given by

with the first term contributed by the FRB and the second term contributed by the nebula electrons. Here


is the electron distribution at time t,
and
are the minimum and maximum Lorentz factors, respectively. One can immediately see that when
, Equation (15) becomes
, so that the FRB emission goes through the nebula without significant interaction. The synchrotron heating process is only relevant when
.
For
, the perturbed nebula electron population would eventually relax to a steady state. One may estimate the relaxation time of the electron distribution. After the FRB injection, synchrotron heating from the FRB disappears, and only SSA intensity from electrons contributes to the coefficient C, i.e.,
. For SSA, as pointed out by McCray (1969), the reheating time scale is of the same order of the synchrotron cooling time scale, i.e.,
. On the other hand, before FRB injection, since the electron distribution is steady, the time scale for electron injection is also the same order of tcool. Therefore, the relaxation time depends on the time scale of SSA, synchrotron cooling and electron injection, which is given by
, where γpeak is the peak Lorentz factor of high-energy bump in the electron distribution, and the numerical calculation shows that γpeak ∼ 10γ0.
We may also consider the change of the FRB spectrum. After the FRB injection, the new self-absorption frequency
would be given by
, so that
for the FRB emission, which is significantly attenuated for
. In our calculation, the original FRB spectrum is a δ-function. In reality, it would have a certain bandwidth. The external absorption process becomes important below νa, so that it essentially defines a low frequency cut-off of the FRB emission spectrum. In any case, the chance to have both an FRB and the FRB-heated nebula both observed is very low.
3. NUMERICAL CALCULATION RESULTS
With the above analysis, we numerically solve Equation (7) to calculate the consequence of synchrotron heating of a nebula by an FRB. To make the problem relevant, the nebula should satisfy the following requirements: (1) The self-absorption frequency should be
(2) The FRB should be close enough to the nebula so that its effective intensity is much greater than that of the nebula, i.e.,
, where Is is the source intensity,
is the intrinsic intensity of the FRB,
is the geometrical size of the FRB source, Γ is the Lorentz factor of the FRB emitting plasma, and r is the distance between the FRB source and the nebula. With these parameters, the effective integrated FRB intensity is
. For the nebula, we assume B = 1 mG, which gives a self-absorption frequency νa = 1.3 GHz
(L/1037 erg s−1)2/7
, where L ≃ 4π
is the nebula SSA luminosity. Other parameters are chosen as R = 1013 cm, K = 9 × 1011 cm−3, p = 3, and
. As a result, one has
so that the integrated SSA intensity of the source is
, which is ≪I0.
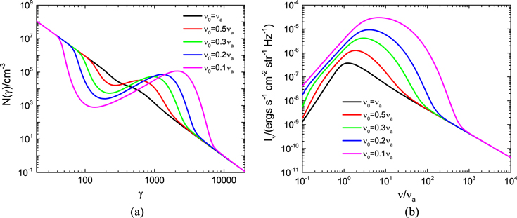
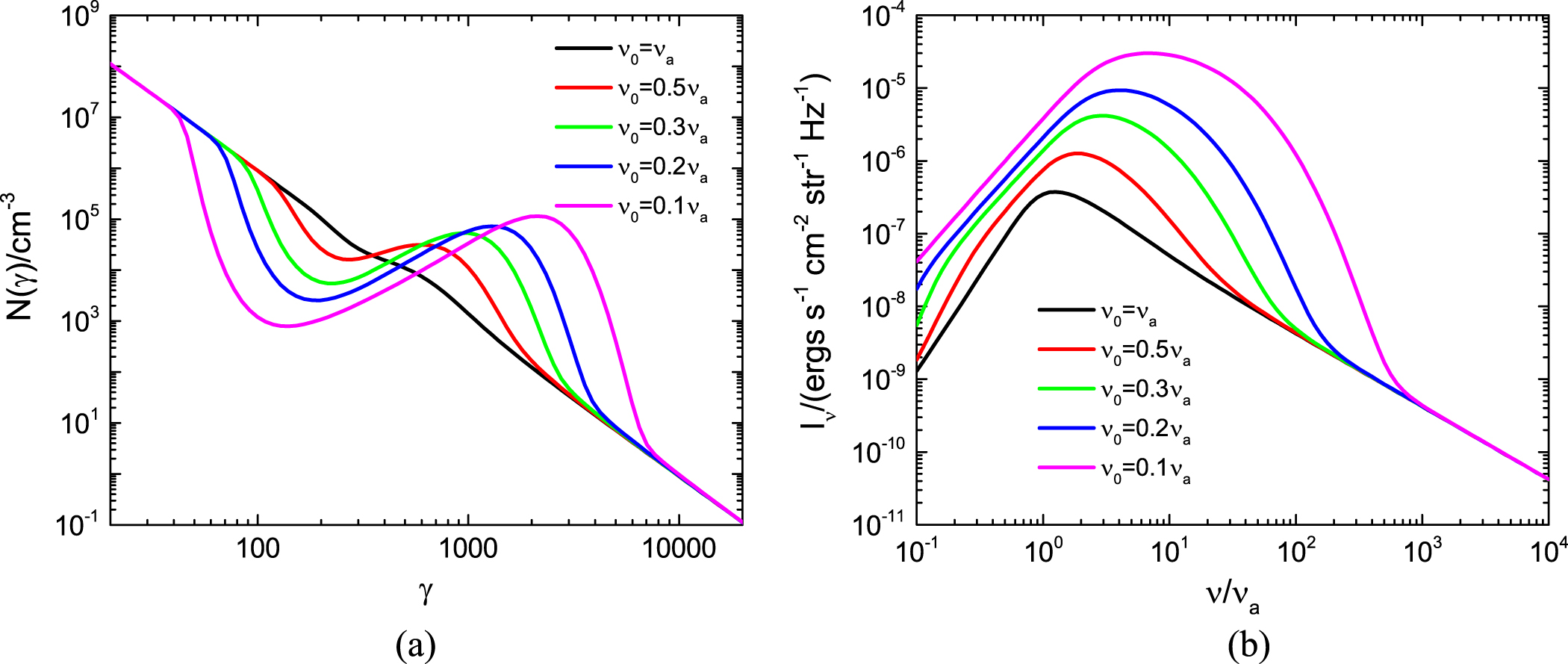
The results depend on ν0/νa and I0/Is. We first fix the latter to 1015 and investigate the effect of the former. Given νa ≃ 1.4 GHz for our parameters, we vary the frequency of the FRB and study the electron spectrum and emission spectrum after the FRB injection as a function of ν0/νa (Figure 1). One can see that as one lowers ν0, more and more nebula electrons are accelerated. Also the self-absorbed spectrum becomes increasingly stronger as ν0/νa decreases. The lower the ν0/νa value, the broader the modified spectral peak, since more high frequency emission is enhanced (Figure 1(b)). It is interesting to note that the enhancement of flux is more significant at relatively higher frequencies (but not too high) above νa. We found that the enhancement reaches a factor of 560 at 10νa for ν0 = 0.1νa.
Figure 1. Consequence of FRB synchrotron heating and its dependence on ν0/νa with I0/Is = 1015 fixed. (a) The electron spectra. (b) The emission spectra. In both cases, different colors denote different ν0/νa ratios.
Download figure:
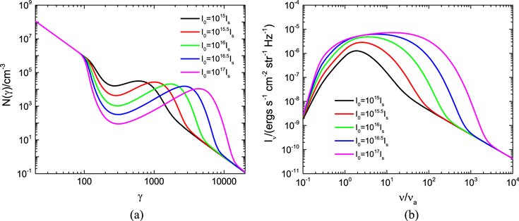
Standard image High-resolution imageNext, we fix the value of the characteristic frequency of the FRB (ν0 = 0.5νa = 700 MHz), and change the intensity ratio I0/Is around 1016. Similar to decreasing ν0/νa, increasing I0/Is would lead to acceleration of more electrons. The self-absorbed emission spectrum also shows a more significant hump feature as I0/Is increases (Figure 2(b)).
Figure 2. Consequence of FRB synchrotron heating and its dependence on
with ν0/νa = 0.5 fixed. (a) The electron spectra. (b) The emission spectra. In both cases, different colors denote different I0/Is ratios.
Download figure:
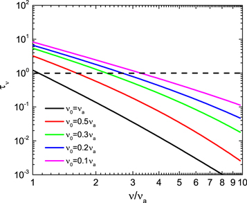
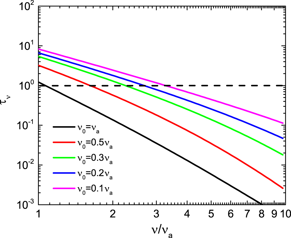
Standard image High-resolution imageFinally, we consider the modification of the FRB spectra due to the absorption of the nebula. As shown in Figure 3, the new nebula self-absorption frequency
after the FRB injection is larger than the original self-absorption frequency νa before the FRB injection. The FRB is subject to such absorption. Only at the high-energy band where
is satisfied can the emission escape the source. The emission at
is absorbed and used to accelerate nebula electrons. Given a steep spectral index for most FRBs (Thornton et al. 2013; Champion et al. 2015), the escaped emission would be a very small fraction of the total FRB flux, and therefore would not be detectable.
Figure 3. Optical depths as a function of
for different FRB characteristic frequency ν0/νa (different colors), where νa is the original SSA frequency of the nebula. The parametets I0/Is = 1015 is adopted. The new self-absorption frequency
is defined by the condition of
(dashed line), which increases with decreasing ν0.
Download figure:
Standard image High-resolution image4. CONCLUSIONS AND DISCUSSION
Motivated by the possibility that FRBs may be physically located in a synchrotron nebula in some progenitor models (e.g., Zhang 2014; Connor et al. 2015; Pen & Connor 2015), in this paper we investigate the physical process of synchrotron heating by the FRB in a self-absorbed synchrotron nebula. We show that if the FRB characteristic frequency ν0 is below the self-absorption frequency νa of the nebula, the nebula would undergo a sudden brightening, leading to a spectral hump signature near νa. The lower the ν0/νa ratio and the larger the I0/Is ratio, the more significant the heating signature. Identifying such a signature would support the origin of FRBs in synchrotron nebulae, such as the super-giant-pulse models for young pulsars (Connor et al. 2015; Cordes & Wasserman 2016; Pen & Connor 2015), magnetar giant flare models (Popov & Postnov 2007; Thornton et al. 2013; Kulkarni et al. 2014), or supra-massive neutron star collapse model (Falcke & Rezzolla 2014) in a relatively young nebula (Zhang 2014).
For typical parameters adopted in this paper, the relaxation time after FRB synchrotron heating is extremely long, reaching a few thousand years for B ∼ 1 mG. Within the observational time scale, this can be regarded as a permanent distortion of the spectrum. Identifying the spectral bump feature would then give a strong evidence of FRB heating in the nebula. Interestingly, if the nebula has a stronger magnetic field (e.g., B ∼ 1 G), such as the case of a GRB afterglow or the afterglow of pre-FRB explosion (e.g., Zhang 2014), our model would predict a type of radio transient lasting for
, which is followed by an exponentially decay to the original nebula flux level due to the relaxation of electrons to the original distribution.
The fraction of FRBs that are absorbed depends on the relative Iν ratio and, more importantly, the distribution of nebula νa with respect to the FRB band (ν1, ν2): an FRB is completely absorbed if ν2 < νa, partially absorbed if ν1 < νa < ν2, and not absorbed if ν1 > νa. For the parameters of our calculation, a large nebula luminosity L is needed to get a high enough νa to make our problem relevant. Observationally FRBs are in the GHz range, suggesting that these FRBs are usually not absorbed. It is possible that some FRBs may have lower peak frequencies, so that they could be absorbed by dimmer nebula. Future surveys of faint, low-frequency synchrotron nebula would constrain whether absorbed low-frequency FRBs indeed exist in nature.
It is interesting to calculate the flux of the nebula. For our parameters, the predicted nebula flux before FRB injection is given by
= 3 μJy (Iν/10−7 erg s−1 cm−2 str−1 Hz−1)
, where Iν is the nebula intensity, r is the nebula radius, and d is the luminosity distance. This flux is low, which is comparable to or even lower than the flux of the radio afterglow of an FRB itself (Yi et al. 2014). After FRB injection, for an FRB and associated nebula with ν0 = 0.1νa at d ≃ 1 Gpc, the SSA flux from the nebula at high frequency (e.g., ν ≃ 10νa) would be significantly increase, Fν ≃ 1 mJy, as shown in Figure 1(b). Such a nebula may be detectable by the current or upcoming radio telescopes such as Australian Square Kilometer Array Pathfinder (ASKAP), Five-hundred-meter Aperture Spherical radio Telescope (FAST), and LOw-Frequency ARrray (LOFAR) and VLA Sky Survey (VLASS).
We thank the anonymous referee for valuable and detailed suggestions that have allowed us to improve this manuscript significantly. B.Z. acknowledges insightful discussion with Shri Kulkarni and Sterl Phinney that stimulated this research. We thank Xue-Feng Wu, Wei-Hua Lei, and Long-Biao Li for helpful discussion. This work is partially supported by National Basic Research Program (973 Program) of China under grant No. 2014CB845800 and the National Natural Science Foundation of China under grant No. 11573014. Y.-P.Y. was supported by China Scholarship Program to conduct research at UNLV.
Footnotes
- 6
The electron distribution should be in principle a broken power law due to synchrotron cooling of the electrons. However, since an FRB only affects electrons with Lorentz factor
, where ν0 is the characteristic frequency of the FRB, and
is the electron cyclotron frequency in a magnetic field B, we only need to consider the electron distribution near
, where a single power law approximation is adequate. - 7
We assume that the pitch angel of synchrotron radiation is π/2.
- 8
We assume that the escape of electrons from the emission region can be neglected.





