This site uses cookies. By continuing to use this site you agree to our use of cookies. To find out more, see our Privacy and Cookies policy. Close this notification
Skip to content

The following article is Open access

A Large Catalog of Multiwavelength GRB Afterglows. I. Color Evolution and Its Physical Implication

, , , , , , , and

Published 2018 February 1 © 2018. The American Astronomical Society.
, , Citation Liang Li et al 2018 ApJS 234 26 DOI 10.3847/1538-4365/aaa02a

Download Article PDF
DownloadArticle ePub

You need an eReader or compatible software to experience the benefits of the ePub3 file format.

0067-0049/234/2/26

Abstract

The spectrum of gamma-ray burst (GRB) afterglows can be studied with color indices. Here, we present a large comprehensive catalog of 70 GRBs with multiwavelength optical transient data on which we perform a systematic study to find the temporal evolution of color indices. We categorize them into two samples based on how well the color indices are evaluated. The Golden sample includes 25 bursts mostly observed by GROND, and the Silver sample includes 45 bursts observed by other telescopes. For the Golden sample, we find that 96% of the color indices do not vary over time. However, the color indices do vary during short periods in most bursts. The observed variations are consistent with effects of (i) the cooling frequency crossing the studied energy bands in a wind medium (43%) and in a constant-density medium (30%), (ii) early dust extinction (12%), (iii) transition from reverse-shock to forward-shock emission (5%), or (iv) an emergent SN emission (10%). We also study the evolutionary properties of the mean color indices for different emission episodes. We find that 86% of the color indices in the 70 bursts show constancy between consecutive ones. The color index variations occur mainly during the late GRB–SN bump, the flare, and early reverse-shock emission components. We further perform a statistical analysis of various observational properties and model parameters (spectral index ${\beta }_{o}^{\mathrm{CI}}$, electron spectral indices pCI, etc.) using color indices. Overall, we conclude that ∼90% of colors are constant in time and can be accounted for by the simplest external forward-shock model, while the varying color indices call for more detailed modeling.

Export citation and abstract BibTeX RIS

Original content from this work may be used under the terms of the Creative Commons Attribution 3.0 licence. Any further distribution of this work must maintain attribution to the author(s) and the title of the work, journal citation and DOI.

1. Introduction

The first observation of gamma-ray burst (GRB) optical afterglow was that of the BeppoSAX-detected GRB 970228 (van Paradijs et al. 1997). Since the launch of the Swift satellite more than 10 yr ago (Gehrels et al. 2004), many ground-based optical telescopes with increasing sensitivity have accumulated a rich collection of optical afterglows. In recent years, optical afterglows have been studied extensively in terms of either their multiband light curves (e.g., Panaitescu & Kumar 2002; Huang et al. 2006; Zeh et al. 2006; Kann et al. 2010, 2011; Li et al. 2012; Liang et al. 2013; Wang et al. 2015; Roming et al. 2017 and references therein) or their spectral energy distributions (SEDs) derived from simultaneous multiband photometry (e.g., Stratta et al. 2004; Kann et al. 2006, 2010, 2011; Starling et al. 2007; Roming et al. 2017). The latter, if studied in a broad bandpass, provides tight constraints on the radiation mechanism and circumburst environment of GRBs. Given the rapid progress made in the detection of afterglows in the Swift era, unforeseen temporal and spectral features were discovered, which challenge our understanding of GRB afterglow physics (Zhang 2007; Gehrels et al. 2009, and references therein).

The temporal and spectral properties of optical transients can be studied by color indices (hereinafter CIs), defined as the magnitude difference between two filters. They can be used to study the SED with a good temporal resolution, even when high-resolution spectra are not available. For instance, CIs can resolve small variations in the spectral profiles of optical transients (Šimon et al. 2001, 2013). They are also helpful in identifying different radiation mechanisms or progenitors in a single burst. As an example, CIs were used as an indicator of the underlying Type Ib/c supernovae (SNe; Šimon et al. 2004).

Theoretically, the conventional afterglow model has been discussed by many authors (e.g., Mészáros & Rees 1997; Sari et al. 1998; Huang & Cheng 2003), and the relationship between temporal and spectral indices (the so-called closure relation) has been extensively reviewed in Zhang & Mészáros (2004) and Gao et al. (2013). According to this model, which assumes that synchrotron radiation dominates the afterglow emission, the color index should not change with time. Instead, if a change is observed, there may be several possible reasons (Melandri et al. 2017): (i) the cooling frequency crosses the studied energy bands (e.g., Filgas et al. 2011a); (ii) an additional emission component emerges, e.g., the SN counterpart observed in some GRBs, or the mixture of different emission stages, such as forward and reverse shock (Kobayashi & Zhang 2003) in the context of the fireball model (Piran 2004); (iii) after being destroyed by the initial intense radiation, host extinction could be changed owing to dust photodestruction (Perna & Lazzati 2002; Morgan et al. 2014). Some other possible reasons, such as a structured jet, could also produce the change in the CIs.

In this paper, we have made an extensive effort to collect publicly available optical and near-infrared photometric data. We restricted the study to 70 bursts with high-quality multiband observations, which were detected during both the pre-Swift and Swift eras. Our goal is to study the temporal variability of CIs and explore its physical implications. In a following paper, we will present a detailed time-resolved analysis of afterglow spectra using X-ray and optical data, which will be used to study the extinction curve and explore the physics in the circumburst medium in the host galaxy (Li et al. 2017, in preparation).

This paper is organized as follows. The sample selection and data analysis are presented in Section 2. The statistical properties of CIs are summarized in Section 3. The evolution of the CIs is presented in Section 4. The theoretical implications are discussed in Section 5. Finally, conclusions are provided in Section 6.

2. Sample Selection, Corrections, and Scaling

We extensively compiled as many optical/near-IR (NIR) photometric data as possible, detected by ground-based telescopes from both pre-Swift- and Swift-era afterglows. The bursts in our sample were observed before 2016.12 We collected observational data from published papers and the Gamma-ray Burst Coordinates Networks Circular Service (GCN).13 We initially selected GRBs with known redshift that have high-quality data in at least three optical bands. We then restricted the study to the GRBs that were observed in optical wavelength for at least 1 hr, facilitating the study of CIs' temporal evolution. A total of 70 bursts satisfy these criteria (from 1997 February 28 to 2015 December). To obtain a trustworthy data set, the data sources should be well calibrated. We made corrections to the data as follows.

We studied the temporal properties of the CIs in the rest frame, trest = tobs/(1 + z). For some specific cases (GRB 970508, GRB 990510, GRB 060614, GRB 060908, GRB 090426, GRB 091127, GRB 100621A, GRB 100814A, GRB 110918A, GRB 120729A, GRB 130702A), we subtracted the flux contribution at very late epochs that we interpret as coming from the host galaxy. This contribution is determined by identifying constant flux values at a late time, ∼106 s after the GRB trigger.

We calculated the Galactic extinction correction from the reddening map presented in Schlafly & Finkbeiner (2011) for optical and NIR magnitudes, and we assume14 Rv = 3.1.

The observed spectra are k-corrected, where k is defined as mT = mO − k (e.g., Oke & Sandage 1968; Peterson 1997), with k = 2.5(βo − 1)log(1 + z). Here mO and mT are the observed and true magnitudes, respectively. βo is the spectral index15 of the optical afterglow, and z is the redshift.

2.1. Corrections for Host Dust Extinction

The extinction due to dust from the host galaxy can significantly affect the observations. For wavelength λi, the dust extinction is defined as

Equation (1)

The observed SED of the optical afterglow is modeled by an absorbed power law in frequency (Kann et al. 2006)

Equation (2)

where

Equation (3)

in which βo is the intrinsic power-law slope of the SED, F0 is the normalization constant, $\eta ({\nu }_{\mathrm{host}})={A}_{\lambda }^{\mathrm{host}}/{A}_{{\rm{V}}}^{\mathrm{host}}$ is given by the extinction model assumed for the GRB host galaxy, and ${A}_{\lambda }^{\mathrm{host}}$ is the host galaxy extinction correction (known only with large uncertainties). We do not carry out spectral fitting in this paper. Instead, the host galaxy extinction ${A}_{{\rm{V}}}^{\mathrm{host}}$, the spectral index βo, and the redshift z are acquired from the literature, and their values are given in Table 1.

Table 1.  Properties of the GRB Sample with Multicolor Light Curves

GRB Filters ${E}_{B-V}^{G}$ βo ${A}_{{\rm{v}}}^{\mathrm{host}}$ z References
    (Galaxy) (Spectral Index) (Host Galaxy) (Redshift) (for Data Sources)
970508 UBVRcIc 0.034 1.11 0.38 ± 0.11 0.8349 1, 2, 3, 4, 5, 6
980425 UBVRcIc 0.059 0.17 ± 0.02 0.0085 7, 8, 9, 10
990510 BVRIJHKs 0.226 0.55 0.22 ± 0.07 1.6187 11, 12, 13, 14
990712 VRI 0.035 0.99 ± 0.02 0 0.4331 15, 16, 17
000301C UBVRIJK 0.053 0.70 0.12 ± 0.06 2.0404 18, 19, 20, 21, 22, 23
000926 UBVRI 0.025 1.00 ± 0.18 0.15 ± 0.07 2.0387 24, 25, 26
021004 UBVRIJHK 0.074 0.14 0.05 2.3304 27, 28, 29, 30, 31
030226 UBVRIJHK 0.023 0.70 ± 0.03 0.06 ± 0.06 1.98691 32, 33, 34
030328 UBVRI 0.075 0.36 ± 0.45 0.05 ± 0.15 1.5216 35
030329 UBVRIJH 0.029 0.54 ± 0.02 0.39 ± 0.15 0.16867 36, 37, 38, 39
050525A UVW2UVM2UVW1UBVRIJH 0.117 0.97 ± 0.10 0.36 ± 0.05 0.606 40, 41, 42, 43, 44
050801 UVW2UVM2UVW1UBVRIcJK 0.081 1.00 ± 0.16 0.30 ± 0.18 1.56 43, 45, 46
050820A UBVRIJHKg'z' 0.054 0.72 ± 0.03 0.07 ± 0.01 2.61469 43, 47
050922C UBVRI 0.093 0.51 ± 0.05 0.01 ± 0.01 2.198 43, 48
051111 BVRI 0.146 0.76 ± 0.07 0.20 ± 0.10 1.54948 49, 50, 51, 52
060218 UVW2UVM2UVW1UBVRIJHK 0.124 0.13 ± 0.01 0.03342 53, 54, 55, 56
060418 BVRIJHKz' 0.319 0.78 ± 0.09 0.20 ± 0.06 1.49000 43, 57, 58
060526 whiteBVRIJHKs 0.078 0.51 ± 0.32 0.05 ± 0.11 3.221 59, 60
060607A whiteUBVgriH 0.027 0.72 ± 0.27 0.08 ± 0.08 3.0749 58, 61, 62, 63
060614 whiteUVW2UVM2UVW1UBVRIJK 0.017 0.47 ± 0.04 0.28 ± 0.07 0.1254 64, 65, 66, 67, 68
060729 whiteUVW2UVM2UVW1UBVCR 0.05 0.78 ± 0.03 0 0.5428 69, 70
060906 g'Rci'z' 0.087 0.56 ± 0.02 <0.09 3.6856 71
060908 whiteUBVRIJHKgriz 0.027 0.30 0.05 ± 0.03 1.8836 72
061007 BVRi 0.019 0.78 ± 0.02 0.48 ± 0.10 1.2622 73
061126 UVM2UVW1UBVRIJKHgri 0.187 0.95 0.10 ± 0.06 1.1588 74, 75
070125 UVW2UVM2UVW1UBVRIJHKsgriz 0.052 0.55 ± 0.04 0.11 ± 0.04 1.54705 76, 77
071010A clearUBVRIJHK 0.114 0.68 0.64 ± 0.09 0.985 78
071025 JHKs 0.059 0.42 ± 0.08 0.12 ± 20.6 5.2 79
071031 g'r'i'z'JHKs 0.008 0.64 ± 0.01 0.14 ± 0.13 2.692 80
080109 uvw2uvm2uvw1UBVRIJHKri 0.02 0.007 81
080310 clearBVRIJHKwhiteubv 0.043 0.42 ± 0.12 0.19 ± 0.05 2.42743 43, 82, 83
080319B whiteclearUVW2UVM2UVW1UBVRIJHKsgriz 0.011 0.66 0.06 ± 0.03 0.9371 84, 85, 86
080330 UVW1UBVRIJHKgrizwhiteclear 0.016 0.49 0.19 ± 0.08 1.5115 43, 87
080413B g'r'i'z' 0.032 0.25 ± 0.07 0 1.1014 88
080603A clearg'r'i'BVRIJHK 0.044 0.98 ± 0.04 0.90 ± 0.19 1.67842 89
080607 g'r'i'z'clearVRIJHKs 0.023 1.32 ± 0.07 3.3 ± 0.4 3.306 90
080710 g'r'i'z'JHKs 0.046 0.80 ± 0.09 0.11 ± 0.04 0.845 91
080810 whiteBVRIunfitbvir 0.031 0.44 ± 0 0.16 ± 0.02 3.35104 43, 92
081007 g'r'i'z'JHK 0.015 0.47 ± 0.09 0.31 ± 0.25 0.5295 93
081008 UVW1UBVwhiteRcCRIcJHKg'r'i'z' 0.095 1.10 ± 0.04 0.17 ± 0.11 1.9683 43, 94
081029 g'r'i'z'JHKs 0.028 1.00 ± 0.01 0.03 ± 0.02 3.8479 95
090102 g'i'z'RJHKs 0.045 0.74 0.12 ± 0.11 1.548 96
090426 g'r'i'z'R 0.015 0.76 ± 0.14 0 2.609 97, 98, 99
090510 g'r'i'z' 0.02 0.85 ± 0.05 0.17 ± 0.21 0.903 100
090618 uvw2uvm2uvw1uBVwhiteRc 0.085 0.5 0.3 ± 0.1 0.54 101, 102
090926A g'r'i'z' 0.023 0.72 ± 0.17 0.13 ± 0.06 2.1071 103, 104
091018 g'r'i'z'JHKs 0.034 0.57 ± 0.01 0.09 0.9710 105
091024 BVRI 0.98 1.0924 106
091029 g'r'i'z' 0.013 0.49 ± 0.12 0 2.752 107
091127 g'r'i'z' 0.037 0.43 ± 0.10 0.17 ± 0.15 0.49044 108
100316D BVRIg'r'i'z'JH 0.117 0.94 ± 0.05 0.43 ± 0.03 0.0592 109
100621A g'r'i'z'JHKs 0.028 0.80 ± 0.10 3.65 ± 0.06 0.542 110
100814A g'r'i'z'JHKs 0.02 0.47 ± 0.05 <0.04 1.44 111
101219B g'r'i'z'JHK 0.02 0.62 ± 0.01 <0.1 0.55185 112
110205A whiteubvgrizRJHK 0.098 0.35 ± 0.03 2.21442 113
110213A whiteclearubvgrizBVRI 0.432 1.22 ± 0.18 1.4607 110, 114, 115, 116, 117
110918A g'r'i'z'JHKs 0.015 0.70 ± 0.02 0.16 ± 0.06 0.984 118
111209A UVW2UVM2UVW1UBVWhiteg'r'i'z'JHK 0.02 1.07 ± 0.15 0.3-1.5 0.677 119, 120, 121
120119A clearBVRIJHK 0.109 0.92 ± 0.02 0.62 ± 0.06 1.728 122
120404A g'r'i'z'UBVRIJH 0.052 1.04 ± 0.02 0.07 ± 0.02 2.8767 123
120422A g'r'i'BVRI 0.068 0.50 0 0.28253 124, 125
120711A g'r'i'z'JHKs 0.075 0.53 ± 0.02 0.85 ± 0.06 1.405 126
120729A g'r'i'z'VR 0.162 1.00 ± 0.10 0.15 0.80 127
120815A g'r'i'z' 0.096 0.78 ± 0.01 0.15 ± 0.02 2.3586 128
121024A g'r'i'z'JHKs 0.128 0.86 ± 0.01 0.18 ± 0.04 2.3010 129
121217A g'r'i'z' 0.392 0.87 ± 0.04 0 ± 0.03 3.08 130
130215A g'r'i'z'JHK 0.137 0.90 ± 0.20 0 0.597 127
130427A g'r'i'z' 0.022 0.92 ± 0.10 0.13 ± 0.06 0.3399 131, 132
130702A clearu'g'r'i'z'UBVRJH 0.031 0.52 ± 0.19 0.30 ± 0.07 133, 134, 135
130831A g'r'i'z'BRcIc 0.054 0.85 ± 0.01 0.06 ± 0.04 0.4791 123, 136, 137
130925A g'r'i'z'JHK 0.018 0.32 ± 0.03 5.00 ± 0.70 0.3479 138

References. References for z: GRB 970508: Bloom et al. (1998); GRB 980425: Galama et al. (1998); GRB 990510, GRB 990712: all from Vreeswijk et al. (2001); GRB 000301C: Jensen et al. (2001); GRB 000926: Castro et al. (2003); GRB 021004: Castro-Tirado et al. (2010); GRB 030226: Shin et al. (2006); GRB 030228: Maiorano et al. (2006); GRB 030329: Thöne et al. (2007); GRB 050525A: Della Valle et al. (2006b); GRB 050801: de Pasquale et al. (2007); GRB 050820A, GRB 060607A, GRB 060729, GRB 060906, GRB 060908, GRB 061007, GRB 071025, GRB 071031, GRB 080413B, GRB 080710: all from Fynbo et al. (2009); GRB 050922C: Piranomonte et al. (2008); GRB 051111: Penprase et al. (2006); GRB 060218: Pian et al. (2006); GRB 060418: Vreeswijk et al. (2007); GRB 060526: Jakobsson et al. (2006); GRB 060614: Della Valle et al. (2006a); GRB 061126: Perley et al. (2008); GRB 070125: De Cia et al. (2011); GRB 071010A: Covino et al. (2008); GRB 080109: Modjaz et al. (2009); GRB 080310: De Cia et al. (2012); GRB 080319B: D'Elia et al. (2009b); GRB 080330: D'Elia et al. (2009a); GRB 080603A: Guidorzi et al. (2011); GRB 080607: Prochaska et al. (2008); GRB 080810: Page et al. (2009); GRB 081007: Berger et al. (2008); GRB 081008: D'Avanzo et al. (2008); GRB 081029: Holland et al. (2012); GRB 090102: de Ugarte Postigo et al. (2012); GRB 090426: Levesque et al. (2010); GRB 090510: McBreen et al. (2010); GRB 090618: Cano et al. (2011b); GRB 090926A: D'Elia et al. (2010); GRB 091018: Wiersema et al. (2012); GRB 091024, GRB 091029: all from Virgili et al. (2013); GRB 091127: Vergani et al. (2011); GRB 100316D: Bufano et al. (2012); GRB 100621A: Milvang-Jensen et al. (2010); GRB 100814A: O'Meara et al. (2010); GRB 101219B: Sparre et al. (2011); GRB 110205A, GRB 110213A: all from Cucchiara et al. (2011); GRB 110918A: Elliott et al. (2013); GRB 111219A: Vreeswijk et al. (2011); GRB 120119A: Cucchiara & Prochaska (2012); GRB 120404A: Guidorzi et al. (2014); GRB 120422A: Schulze et al. (2014); GRB 120711A: Tanvir et al. (2012); GRB 120729A: Tanvir & Ball (2012); GRB 120815A: Krühler et al. (2013); GRB 121024A: Friis et al. (2015); GRB 121217A: Elliott et al. (2014); GRB 130215A: Cucchiara & Fumagalli (2013); GRB 130427A: Flores et al. (2013); GRB 130702A: Kelly et al. (2013); GRB 130831A: Cucchiara & Perley (2013); GRB 130925A: Schady et al. (2015). References for ${A}_{v}^{\mathrm{host}}$: GRB 970508, GRB 000301C, GRB 000926, GBR 021004, GRB 030226, GRB 030328, GRB 030329: all from Kann et al. (2006); GRB 990712: Kann et al. (2016); GRB 980425, GRB 990510, GRB 050525A, GRB 050801, GRB 050820A, GRB 050922C, GRB 060418, GRB 060526, GRB 060607A, GRB 061007, GRB 061126, GRB 070125, GRB 071010A, GRB 071031, GRB 080310, GRB 080330, GRB 080710, GRB 080810, GRB 081008, GRB 090102, GRB 090926A: all from Kann et al. (2010); GRB 051111: Guidorzi et al. (2006); GRB 060218: Guenther et al. (2006); GRB 060614, GRB 060729, GRB 080413B, GRB 080603A: all from Kann et al. (2011); GRB 060906: Zafar et al. (2011); GRB 060908: de Ugarte Postigo et al. (2011); GRB 071025: Perley et al. (2010); GRB 080319B: Woźniak et al. (2009); GRB 081007: Covino et al. (2013); GRB 081029: Holland et al. (2012); GRB 090426: Nicuesa Guelbenzu et al. (2011); GRB 090510: Nicuesa Guelbenzu et al. (2012); GRB 090618: Cano et al. (2011b); GRB 091018: Wiersema et al. (2012); GRB 091029: Filgas et al. (2012); GRB 091127, GRB 130702A: all from Kann et al. (2016); GRB 100316D: Bufano et al. (2012); GRB 100621A: Greiner et al. (2013); GRB 100814A: Nardini et al. (2014); GRB 101219B: Sparre et al. (2011); GRB 110205A, GRB 110213A: all from Cucchiara et al. (2011); GRB 110918A: Elliott et al. (2013); GRB 111209A: Stratta et al. (2013); GRB 120119A: Morgan et al. (2014); GRB 120404A: Guidorzi et al. (2014); GRB 120422A: Schulze et al. (2014); GRB 120711A: Martin-Carrillo et al. (2014); GRB 120729A, GRB 130215A: all from Cano et al. (2014); GRB 120815A: Krühler et al. (2013); GRB 121024A: Varela et al. (2016); GRB 121217A: Elliott et al. (2014); GRB 130427A: Perley et al. (2014); GRB 130831A: De Pasquale et al. (2016); GRB 130925A: Greiner et al. (2014). References for data sources: (1) Sokolov et al. 1998; (2) Bloom et al. 1998; (3) Castro-Tirado et al. 1998; (4) Galama et al. 1998; (5) Zharikov et al. 1998; (6) Sokolov et al. 1999; (7) Galama et al. 1998; (8) Galama et al. 1999; (9) McKenzie & Schaefer 1999; (10) Clocchiatti et al. 2011; (11) Harrison et al. 1999; (12) Israel et al. 1999; (13) Beuermann et al. 1999; (14) Curran et al. 2008; (15) Sahu et al. 2000; (16) Björnsson et al. 2001; (17) Christensen et al. 2004; (18) Bhargavi & Cowsik 2000; (19) Sagar et al. 2000; (20) Masetti et al. 2000; (21) Rhoads & Fruchter 2001; (22) Jensen et al. 2001; (23) Gaudi 2001; (24) Price et al. 2001; (25) Fynbo et al. 2001; (26) Fynbo et al. 2002; (27) Holland et al. 2003; (28) Mirabal et al. 2003; (29) Pandey et al. 2003; (30) Uemura et al. 2003; (31) de Ugarte Postigo et al. 2005; (32) Fatkhullin et al. 2003; (33) Klose et al. 2004; (34) Pandey et al. 2004; (35) Maiorano et al. 2006; (36) Torii et al. 2003; (37) Bloom et al. 2004; (38) Resmi et al. 2005; (39) Thöne et al. 2007; (40) Klotz et al. 2005; (41) Blustin et al. 2006; (42) Holland et al. 2006; (43) Kann et al. 2010; (44) Resmi et al. 2012; (45) Rykoff et al. 2006; (46) de Pasquale et al. 2007; (47) Cenko et al. 2006; (48) Li et al. 2005; (49) Butler et al. 2006; (50) Guidorzi et al. 2007; (51) Yost et al. 2007; (52) Guidorzi et al. 2006; (53) Ferrero et al. 2006; (54) Sollerman et al. 2006; (55) Mirabal et al. 2006; (56) Brown et al. 2009; (57) Cobb 2006; (58) Molinari et al. 2007; (59) Dai et al. 2007; (60) Thöne et al. 2010; (61) Ziaeepour et al. 2008; (62) Bernardini et al. 2009; (63) Nysewander et al. 2009; (64) Cobb et al. 2006; (65) Della Valle et al. 2006a; (66) Mangano et al. 2007; (67) Xu et al. 2009; (68) Yang et al. 2015; (69) Grupe et al. 2007; (70) Rykoff et al. 2009; (71) Cenko et al. 2009; (72) Covino et al. 2010; (73) Mundell et al. 2007; (74) Gomboc et al. 2008; (75) Perley et al. 2008; (76) Chandra et al. 2008; (77) Updike et al. 2008; (78) Covino et al. 2008; (79) Perley et al. 2010; (80) Krühler et al. 2009b; (81) Modjaz et al. 2009; (82) Littlejohns et al. 2012; (83) Vreeswijk et al. 2013; (84) Bloom et al. 2009; (85) Pandey et al. 2009; (86) Woźniak et al. 2009; (87) Guidorzi et al. 2009; (88) Filgas et al. 2011b; (89) Guidorzi et al. 2011; (90) Perley et al. 2011; (91) Krühler et al. 2009a; (92) Page et al. 2009; (93) Olivares et al. 2015; (94) Yuan et al. 2010; (95) Nardini et al. 2011; (96) Gendre et al. 2010; (97) Nicuesa Guelbenzu et al. 2011; (98) Xin et al. 2011; (99) Thöne et al. 2011; (100) Nicuesa Guelbenzu et al. 2012; (101) Cano et al. 2011b; (102) Page et al. 2011; (103) Rau et al. 2010; (104) Cenko et al. 2011; (105) Wiersema et al. 2012; (106) Virgili et al. 2013; (107) Filgas et al. 2012; (108) Cobb et al. 2010; (109) Olivares et al. 2012; (110) Greiner et al. 2013; (111) Nardini et al. 2014; (112) Sparre et al. 2011; (113) Cucchiara et al. 2011; (114) Ukwatta et al. 2011; (115) Kuroda et al. 2011; (116) Zhao et al. 2011; (117) Volnova et al. 2011; (118) Elliott et al. 2013; (119) Stratta et al. 2013; (120) Kann et al. 2016; (121) Levan et al. 2014; (122) Morgan et al. 2014; (123) Guidorzi et al. 2014; (124) Melandri et al. 2012; (125) Schulze et al. 2014; (126) Martin-Carrillo et al. 2014; (127) Cano et al. 2014; (128) Krühler et al. 2013; (129) Varela et al. 2016; (130) Elliott et al. 2014; (131) Maselli et al. 2014; (132) Becerra et al. 2017; (133) D'Elia et al. 2015; (134) Toy et al. 2016; (135) Volnova et al. 2017; (136) De Pasquale et al. 2016; (137) Gorbovskoy et al. 2015; (138) Greiner et al. 2014.

Download table as:  ASCIITypeset images: 1 2

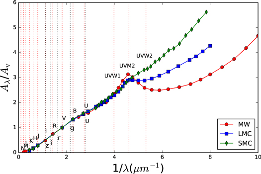
Specifically, ${A}_{{\rm{V}}}^{\mathrm{host}}$ is chosen by the following three steps. First, we selected the values obtained by Kann et al. (2006) and Kann et al. (2010) corresponding to the Small Magellanic Cloud (SMC) dust model. Second, when they are not available in Kann et al. (2006) and Kann et al. (2010), the extinction parameters are retrieved from other papers (given as a reference in Table 1) from the SMC dust model. This model is our first choice since it is shown to best describe dust in GRB environments (Kann et al. 2010). When the information is not available for this model, the value of ${A}_{{\rm{V}}}^{\mathrm{host}}$ is obtained from either the Milky Way (MW) or the large Magellanic Cloud (LMC) models. Finally, for a few cases, when the value of ${A}_{{\rm{V}}}^{\mathrm{host}}$ is unavailable for any model, we use the value obtained by fitting a Gaussian to the extinction distribution (see Figure 1), log10(${A}_{{\rm{V}}}^{\mathrm{host}}$) = −0.82 ± 0.41; here −0.82 and 0.41 are the mean value and standard deviation of the Gaussian fit,16 respectively. After obtaining the value of ${A}_{{\rm{V}}}^{\mathrm{host}}$, we derived the extinction values in any optical band, ${A}_{\lambda }^{\mathrm{host}}$, in the GRB host galaxies following Pei (1992). Figure 2 illustrates the spectral behavior of ${A}_{\lambda }^{\mathrm{host}}/{A}_{{\rm{V}}}^{\mathrm{host}}$ for the three dust models and displays the position of the filters considered in this paper.

Figure 1.

Figure 1. Distribution of the host galaxy extinction in the V band, ${A}_{{\rm{v}}}^{\mathrm{host}}$, obtained from published papers. The best Gaussian fit gives the mean ${A}_{{\rm{v}}}^{\mathrm{host}}$ and the standard deviation such that log10$({A}_{{\rm{v}}}^{\mathrm{host}})$ = −0.82 ± 0.41.

Standard image High-resolution image
Figure 2.

Figure 2. Dust models for the host extinction reproduced from Pei (1992). The solid lines of different colors are for different models, while the red dashed lines correspond to the energy bands considered in this work.

Standard image High-resolution image

2.2. Light-curve Fitting

In this section, we describe the fits to the GRB light curves in our 70 bursts. The purpose of this procedure is twofold. First, it allows us to identify different emission phases. Second, the results are used to interpolate the magnitude, in order to compute the CIs, when there are no simultaneous multiwavelength observations available.

The observed magnitude m is obtained from the flux F as

Equation (4)

where F0 is the flux of an object with magnitude zero. Note that in this paper we adopt the AB magnitude system.

After taking into account all the correction factors (our Galaxy and the host galaxy extinction corrections, and the spectral k-correction), we fit the light curves in each band separately with a model of multiple components (Li et al. 2012). The basic model is either a single power law (SPL) or a smoothly broken power law (BKPL) for the flux, resulting in17

Equation (5)

Equation (6)

Here α, α1, and α2 are the temporal slopes, ${t}_{{{\rm{b}}}_{1}}$ is the break time, and ω1 describes the sharpness of the break (the smaller the value, the smoother the break). For most GRBs, we fix this last parameter to ω1 = 3. For a few cases (GRB 030226, GRB 050922C, GRB 061007, GRB 080603A) that have a smoother break, we fix it to ω1 = 1, which improves the fit. Equation (5) can be used for both the light curves with a break and those that exhibit an increasing behavior (e.g., afterglow onset indicated by the dashed line in Figure 3(b)). In addition, mc is the magnitude constant value, mG is the extinction magnitude for our Galaxy, mK is the spectral k-correction, mhost is the extinction magnitude for the host galaxy, and mGF is the possible contribution from the host galaxy at late time (if identified). Note that mG, mK, and mhost are known before fitting.

Figure 3.

Figure 3. Cartoons of the light-curve models. From top left to bottom right, the figure presents in turn a single power-law model, a smoothly broken power law with positive ω, which can be adopted to fit a break (solid line)/bump (dash line), and negative ω, and finally a triple power law.

Standard image High-resolution image

We notice that for two bursts (GRB 061126 and GRB 080319B) the optical-afterglow light curves have a steeper decay slope α1 in the pre-break segment (which might originate from the reverse-shock emission) than the decay slope α2 in the post-break segment (possibly from the normal decay dominated by the external forward shock). However, due to the limitation of the BKPL model, it is impossible to fit the light curves whose pre-break slope is steeper than the post-break slope. In this case, we adopted the BKPL model function with a negative sharpness of the break ω = −3 (Figure 3(c)).

A double-BKPL light curve (Figure 3(d)) is also expected in some afterglow models. For example, it is theoretically expected that the afterglow light curves may have a shallow segment owing to energy injection at an early time, which then changes into a normal-decay segment when the energy injection is over, and finally steepens owing to a jet break (Zhang et al. 2006). We therefore consider a smooth triple-power-law function (TPL) to fit the light curves (e.g., Liang et al. 2008; Li et al. 2012):

Equation (7)

where ω2 is the sharpness parameter at the second break time tb,2.

The fits are performed with the IDL routine "mpfitfun.pro"18 (Markwardt 2009), which uses the Levenberg–Marquardt algorithm to achieve minimization. To select the best model, we compare the reduced χ2 values and choose the one that has a more reasonable value (close to 1). For example, the ${\chi }_{{\rm{r}}}^{2}$ of GRB 990510 (R band) is 31/39 (a little less than 1) for the BKPL model and 169/36 (much larger than 1) for the SPL model. Therefore, we adopt the BKPL as the best model for GRB 990510. Second, if both models have a ${\chi }_{{\rm{r}}}^{2}$ close to 1, our principle is to choose the simpler one (fewer parameters). For instance, for GRB 060908, ${\chi }_{{\rm{r}}}^{2}$ is equal to 38/49 (∼1) for the BKPL model and 52/46 (∼1) for the SPL model. In this case, we choose the SPL model.

For multicomponent light curves (see Section 2.3), we introduce the minimum number of components by eye inspection of the temporal features. If the ${\chi }_{{\rm{r}}}^{2}$ is still much larger than 1, we continue to add more components and redo the fit, until the ${\chi }_{{\rm{r}}}^{2}$ becomes close to 1 (Li et al. 2012). For instance, the value of the ${\chi }_{{\rm{r}}}^{2}$ of GRB 071025 (J band) for the BKPL is 474/39 (much larger than 1), while it is 58/34 (close to 1) for the double-BKPL model. As a result, the double-BKPL model is selected as the best model for this burst. Examples of light-curve fitting with various models or their composition are shown in Figure 4.

Figure 4.

Figure 4. Some examples of the best fitting of the multiband data for the optical-afterglow light curves.

Standard image High-resolution image

2.3. Component Identification

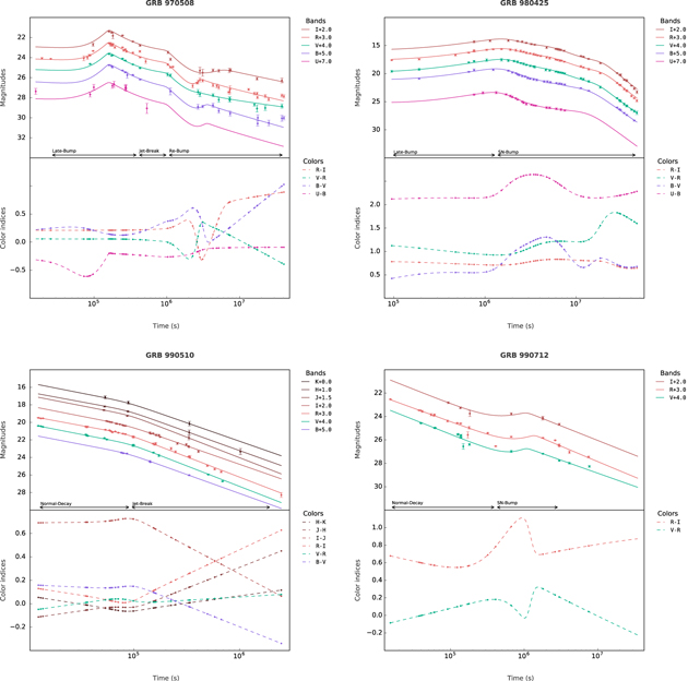
Optical afterglows have complicated light curves with up to eight emission episodes (Kann et al. 2006, 2010; Liang et al. 2006, 2013; Kann et al. 2011; Nardini et al. 2006; Panaitescu & Vestrand 2008, 2011; Li et al. 2012, 2015). A synthetic optical-afterglow light curve is presented in Li et al. (2012). To study the spectral behaviors in these different emission phases, we investigate the temporal evolution of their mean CIs. Here we explain which components are considered and how they are identified based on their temporal and spectral features.

Ia: the prompt optical flares (Prompt Optical); in the very early time of some bursts when the prompt GRB emission is still going on, a highly variable optical emission component may be observed as in GRB 080319B.19 They are selected such that the observation time is smaller than T90 and the temporal slope20 α > 2.0.

Ib: the early optical flares (Reverse Shock); in a few cases, the early light curves have steep slopes, which likely indicate an early reverse-shock emission component, such as the early phase of GRB 061126. They were selected such that their typical temporal index α ∼ 1.7 and the peak time tp is a few hundred seconds.

II: an early shallow-decay component (Energy Injection); the afterglow light curve might show an initial shallow-decay segment followed by a normal-decay/post-jet-break segment, which is likely due to energy injection from a long-lasting spinning-down central engine or piling up of flare materials into the blast wave (Liang et al. 2007; Li et al. 2012, 2015). This component is described as the energy injection phase. They are identified by their temporal index αShallow < αNormal with a typical value αShallow ∼ 0.5 and with a typical value of break time tb ∼ 104 s. Here αShallow is the temporal index during the shallow-decay segment and αNormal is the temporal index during the normal-decay phase.

III: the standard afterglow component (Onset/Normal Decay); the light curves sometimes have an early onset rising segment followed by a normal decay. In most of the cases, a lack of observations in the early time lead to only a single normal decay. Afterglow onsets are identified with an early smooth bump with a typical value of peak time tp of several hundreds of seconds, coupled to the following normal decay with α ∼ 1.2.

IV: the jet-break component (Jet Break); the light curves break into a steeper decay. They are identified with α ∼ −p ∼ 2.5 (Zhang et al. 2006) and a break time ∼105 s. Here p is the electron index.

V: the late optical flares (Flare); the light curves have prompt-like flares during the afterglow phase when the prompt emission is turned off. They indicate the late-time activities of the central engine. The late optical flares are characterized by a very sharp temporal index α < 2.0.

VI: the late re-brightening bumps (Re Bump); the late bumps would emerge at late times, which is distinguished from the onset bump of the early afterglow. Both are likely involved in the jet component that produces the re-brightening bump, which seems to be on-axis and independent of the prompt emission jet component (Liang et al. 2013). They are described by a smooth bump around tp ∼ 105 s.

VII: the late SN bumps (SN Bump); in some cases, the optical transient light curves at late time show an SN bump. They form a late smooth bump at tp ∼ 106 s. In addition, we checked that the GRB-SN associations were confirmed in the literature (see Section 5.2.3).

All the assigned emission components in our 70 bursts are presented in Tables 2 and 3 and are marked with arrows in Figures 5 and 6.

Figure 5.

Figure 5. Best multiband optical-afterglow light-curve fits and the time evolution of color indices and spectral indices for each burst for the Golden sample, in magnitude (linear)–time(logarithmic) scale space. The spectral indices are derived from the CI–βo correlation assuming a power-law spectral decay.

(An extended version of this figure is available.)

Standard image High-resolution image

    Table 2.  Color Indices of the Golden Sample

    GRB Componenta Epochb Modelc $g-r$ ri iz JH HKs
             
        (ks)   $\overline{\mathrm{mag}}$ $\overline{\mathrm{mag}}$ $\overline{\mathrm{mag}}$ $\overline{\mathrm{mag}}$ $\overline{\mathrm{mag}}$
    071025(0)d Global 0.17–14.9 0.19 ± 0.14 0.51 ± 0.15
    071025(1) Onset 0.17–0.6 BKPL 0.19 ± 0.25 0.64 ± 0.24
    071025(2) Normal Decay 0.55–1.0 BKPL 0.22 ± 0.10 0.49 ± 0.11
    071025(3) Re Bump 0.99–14.9 BKPL 0.18 ± 0.11 0.45 ± 0.13
    071031(0) Global 0.29–25.7 0.56 ± 0.03 0.13 ± 0.03 0.09 ± 0.04 0.20 ± 0.06 0.28 ± 0.07
    071031(1) Onset 0.29–1.2 BKPL 0.63 ± 0.02 0.17 ± 0.02 0.09 ± 0.03 0.21 ± 0.05 0.33 ± 0.06
    071031(2) Normal Decay 1.23–4.0 BKPL 0.58 ± 0.04 0.14 ± 0.03 0.08 ± 0.04 0.21 ± 0.05 0.27 ± 0.07
    071031(3) Re Bump 4.05–25.7 BKPL 0.55 ± 0.03 0.12 ± 0.03 0.09 ± 0.04 0.19 ± 0.07 0.22 ± 0.08
    080413B(0) Global 0.34–780.5 0.14 ± 0.06 0.02 ± 0.06 0.14 ± 0.07
    080413B(1) Normal Decay 0.34–90.3 BKPL 0.12 ± 0.06 0.00 ± 0.06 0.15 ± 0.06
    080413B(2) Jet Break 90.3–780.5 BKPL 0.30 ± 0.12 0.19 ± 0.10 0.06 ± 0.12
    080710(0) Global 0.42–353.1 0.33 ± 0.01 0.18 ± 0.01 0.19 ± 0.02 0.28 ± 0.02 0.28 ± 0.02
    080710(1) Onset 0.41–2.8 TPL 0.34 ± 0.01 0.19 ± 0.01 0.20 ± 0.01
    080710(2) Normal Decay 2.83–7.6 TPL 0.32 ± 0.01 0.17 ± 0.01 0.19 ± 0.01 0.26 ± 0.02 0.31 ± 0.03
    080710(3) Jet Break 7.63–353.1 TPL 0.32 ± 0.01 0.17 ± 0.02 0.18 ± 0.02 0.28 ± 0.02 0.28 ± 0.02
    081007(0) Global 1.12–2500.0 −0.09 ± 0.22 0.05 ± 0.24 0.02 ± 0.22 0.46 ± 0.07 0.17 ± 0.07
    081007(1) Jet Break 1.12–500.0 BKPL −0.09 ± 0.22 0.03 ± 0.17 0.02 ± 0.15 0.46 ± 0.07 0.17 ± 0.07
    081007(2) SN Bump 500.0–2500.0 BKPL 0.08 ± 0.39 0.02 ± 0.44
    081008(0) Global 13.65–187.8 BKPL 0.19 ± 0.03 0.32 ± 0.04 0.20 ± 0.04 0.15 ± 0.04 0.00 ± 0.05
    081008(1) Normal Decay 13.65–187.8 BKPL 0.19 ± 0.03 0.32 ± 0.04 0.20 ± 0.04 0.15 ± 0.04 0.00 ± 0.05
    081029(0) Global 0.52–438.7 1.03 ± 0.03 0.30 ± 0.04 0.19 ± 0.04 0.26 ± 0.09 0.16 ± 0.09
    081029(1) Energy Break 0.52–0.9 BKPL 1.02 ± 0.02 0.28 ± 0.03 0.18 ± 0.03 0.19 ± 0.09 0.11 ± 0.10
    081029(2) Normal Decay 0.94–3.5 BKPL 1.00 ± 0.02 0.27 ± 0.03 0.18 ± 0.03 0.22 ± 0.09 0.14 ± 0.10
    081029(3) Re Bump 3.55–16.3 TPL 1.04 ± 0.03 0.32 ± 0.03 0.20 ± 0.03 0.29 ± 0.07 0.16 ± 0.09
    081029(4) Jet Break 16.26–438.7 TPL 1.04 ± 0.06 0.28 ± 0.07 0.17 ± 0.05 0.22 ± 0.11 0.18 ± 0.07
    090426(0) Global 44.73–139.8 0.35 ± 0.06 0.05 ± 0.08 0.09 ± 0.12 0.08 ± 0.18
    090426(1) Energy Break 0.1–0.5 BKPL
    090426(2) Normal Decay 0.5–10.0 BKPL
    090426(3) Jet Break 10.0–139.8 BKPL 0.36 ± 0.06 0.04 ± 0.09 0.09 ± 0.12 0.08 ± 0.18
    090510(0) Global 23.13–34.4 0.33 ± 0.49 0.19 ± 0.41 0.05 ± 0.46
    090510(1) Normal Decay 23.13–34.4 PL 0.33 ± 0.49 0.19 ± 0.41 0.05 ± 0.46
    090926A(0) Global 73.16–2070.8 0.19 ± 0.04 0.13 ± 0.04 0.13 ± 0.05
    090926A(1) Normal Decay 73.16–200.0 BKPL 0.18 ± 0.04 0.12 ± 0.04 0.13 ± 0.04
    090926A(2) Re Bump 200.0–2070.8 BKPL 0.23 ± 0.08 0.18 ± 0.05 0.17 ± 0.07
    091018(0) Global 10.97–272.8 0.12 ± 0.03 0.11 ± 0.04 0.10 ± 0.05 0.09 ± 0.05 0.12 ± 0.08
    091018(1) Energy Break 10.97–19.9 BKPL 0.12 ± 0.03 0.10 ± 0.03 0.10 ± 0.04 0.10 ± 0.05 0.12 ± 0.07
    091018(2) Normal Decay 19.95–272.8 BKPL 0.11 ± 0.05 0.13 ± 0.06 0.08 ± 0.08 0.07 ± 0.08 0.11 ± 0.10
    091029(0) Global 0.31–344.9 0.25 ± 0.03 0.02 ± 0.03 0.14 ± 0.06
    091029(0) Onset 0.31–0.5 BKPL 0.30 ± 0.04 0.09 ± 0.03 0.19 ± 0.05
    091029(1) Normal Decay 0.52–4.7 BKPL 0.26 ± 0.03 0.03 ± 0.03 0.15 ± 0.05
    091029(2) Re Bump 4.66–344.9 BKPL 0.23 ± 0.03 0.01 ± 0.04 0.13 ± 0.06
    091127(0) Global 3.3–4673.7 0.03 ± 0.02 0.04 ± 0.02 0.02 ± 0.02
    091127(1) Energy Break 3.3–27.5 BKPL 0.01 ± 0.01 0.02 ± 0.01 0.01 ± 0.01
    091127(2) Normal Decay 27.47–959.0 BKPL 0.19 ± 0.05 0.10 ± 0.05 0.00 ± 0.07
    091127(3) SN Bump 959.04–4673.7 BKPL 0.67 ± 0.11 0.43 ± 0.10 0.29 ± 0.16
    100316D(0) Global 42.55–7000.0 0.31 ± 0.06 −0.05 ± 0.06 0.40 ± 0.06 −0.35 ± 0.28
    100316D(1) Late Bump 42.55–300.0 BKPL −0.16 ± 0.05 −0.01 ± 0.06 0.03 ± 0.07 −0.27 ± 0.40
    100316D(2) SN Bump 300.0–7000.0 BKPL 0.51 ± 0.06 −0.07 ± 0.06 0.54 ± 0.06 −0.36 ± 0.27
    100621A(0) Global 0.26–100.9 0.98 ± 0.24 0.32 ± 0.17 −0.20 ± 0.15 0.52 ± 0.15 0.67 ± 0.14
    100621A(0) Onset 0.22–0.6 BKPL 0.15 ± 0.17 0.07 ± 0.13 0.65 ± 0.14 0.49 ± 0.13
    100621A(1) Normal Decay 0.62–2.1 BKPL 0.24 ± 0.25 0.39 ± 0.24 0.11 ± 0.13 0.51 ± 0.16 0.48 ± 0.16
    100621A(2) Re Bump 2.13–100.9 BKPL 1.35 ± 0.24 0.33 ± 0.17 −0.28 ± 0.16 0.48 ± 0.15 0.83 ± 0.13
    100814A(0) Global 0.67–2264.3 0.08 ± 0.03 0.12 ± 0.04 0.29 ± 0.06 0.15 ± 0.10 0.02 ± 0.16
    100814A(1) Normal Decay 0.67–23.2 BKPL 0.00 ± 0.02 0.07 ± 0.03 0.25 ± 0.05 0.13 ± 0.10 −0.04 ± 0.14
    100814A(2) Re Bump 23.21–2264.3 BKPL 0.19 ± 0.04 0.20 ± 0.05 0.34 ± 0.07 0.22 ± 0.12 0.13 ± 0.20
    101219B(0) Global 29.55–3070.0 0.29 ± 0.11 0.13 ± 0.12 −0.27 ± 0.19 0.26 ± 0.23 0.34 ± 0.28
    101219B(1) Normal Decay 29.55–500.0 BKPL 0.05 ± 0.09 0.01 ± 0.07 −0.10 ± 0.10 0.24 ± 0.16 0.34 ± 0.28
    101219B(2) SN Bump 500.0–3070.0 BKPL 0.61 ± 0.14 0.25 ± 0.16 −0.41 ± 0.26 0.35 ± 0.59
    110918A(0) Global 126.39–553.4 0.18 ± 0.04 0.04 ± 0.04 0.09 ± 0.07 0.33 ± 0.15 0.00 ± 0.20
    110918A(1) Normal Decay 126.39–553.4 BKPL 0.18 ± 0.04 0.04 ± 0.04 0.09 ± 0.07 0.33 ± 0.15 0.00 ± 0.20
    111209A(0) Global 64.49–6241.9 BKPL −0.03 ± 0.08 −0.04 ± 0.05 −0.10 ± 0.06 0.24 ± 0.21 0.30 ± 0.28
    111209A(1) Late Bump 64.49–1000.0 BKPL −0.05 ± 0.06 −0.05 ± 0.04 −0.09 ± 0.06 0.22 ± 0.20 0.28 ± 0.26
    111209A(2) SN Bump 1000.0–6241.9 BKPL 0.12 ± 0.20 0.13 ± 0.10 −0.22 ± 0.13 0.48 ± 0.40 0.59 ± 0.68
    120711A(0) Global 21.16–370.1 0.33 ± 0.15 0.33 ± 0.10 0.08 ± 0.11 0.40 ± 0.19 0.32 ± 0.23
    120711A(1) Normal Decay 21.16–370.1 BKPL 0.33 ± 0.15 0.33 ± 0.10 0.08 ± 0.11 0.40 ± 0.19 0.32 ± 0.23
    120815A(0) Global 0.17–11.1 0.71 ± 0.03 0.33 ± 0.03 0.17 ± 0.04
    120815A(0) Onset 0.17–0.5 BKPL 0.73 ± 0.03 0.32 ± 0.02 0.19 ± 0.03
    120815A(1) Normal Decay 0.48–11.1 BKPL 0.71 ± 0.03 0.33 ± 0.03 0.17 ± 0.04
    121024A(0) Global 11.09–107.0 0.72 ± 0.15 0.23 ± 0.09 0.15 ± 0.11 0.34 ± 0.24 0.28 ± 0.26
    121024A(1) Normal Decay 11.09–30.0 BKPL 0.74 ± 0.13 0.22 ± 0.08 0.15 ± 0.08 0.37 ± 0.15 0.21 ± 0.17
    121024A(2) Jet Break 30.0–107.0 BKPL 0.68 ± 0.20 0.23 ± 0.13 0.16 ± 0.16 0.29 ± 0.43 0.43 ± 0.46
    121217A(0) Global 1.12–347.2 0.54 ± 0.07 0.11 ± 0.06 0.02 ± 0.08
    121217A(1) Onset 1.12–1.6 BKPL 0.53 ± 0.06 0.13 ± 0.06 0.09 ± 0.06
    121217A(2) Normal Decay 1.59–347.2 BKPL 0.54 ± 0.07 0.11 ± 0.06 0.01 ± 0.08
    130427A(0) Global 0.14–3480.0 0.15 ± 0.02
    130427A(1) Normal Decay 0.14–500.0 BKPL 0.14 ± 0.01
    130427A(2) SN Bump 500.0–3480.0 BKPL 0.17 ± 0.14
    130925A(0) Global 0.94–284.4 BKPL −0.48 ± 2.17 −0.06 ± 0.78 0.62 ± 0.34 0.40 ± 0.26
    130925A(1) Flare 0.94–10.0 BKPL 0.06 ± 2.29 0.13 ± 0.51 0.62 ± 0.26 0.44 ± 0.18
    130925A(2) Normal Decay 10.0–284.4 BKPL −1.01 ± 2.05 −0.80 ± 1.82 0.60 ± 1.98 0.18 ± 0.72

    Notes.

    aThe identifications of various optical-afterglow emission components. bThe time intervals for each component in the observer frame. cThe models of the light-curve fits for each component. dThe serial number, 0, is denoted as global, and other numbers are the components with time sequence.

    Download table as:  ASCIITypeset images: 1 2

    Table 3.  Color Indices of the Silver Sample

    GRB Component Epoch Model       Color Indices  
               
        (ks)   $\overline{{UVW}2-{UVM}2}$ $\overline{{UVM}2-{UVW}1}$ $\overline{{UVW}1-U}$ $\overline{U-B}$ $\overline{B-V}$ $\overline{V-R}$ $\overline{R-I}$ $\overline{I-J}$ $\overline{J-H}$ $\overline{H-K}$
    970508(0) Global 25.57–40594.2 −0.23 ± 0.38 0.32 ± 0.28 0.02 ± 0.23 0.34 ± 0.23
    970508(1) Late Bump 25.57–400.0 BKPL −0.33 ± 0.38 0.17 ± 0.28 0.05 ± 0.23 0.21 ± 0.23
    970508(2) Jet Break 400.0–1030.0 BKPL −0.24 ± 0.38 0.19 ± 0.28 0.04 ± 0.23 0.22 ± 0.23
    970508(3) Re Bump 1030.0–40594.2 BKPL −0.14 ± 0.38 0.48 ± 0.28 −0.01 ± 0.23 0.48 ± 0.23
    980425(0) Global 94.85–46400.0 2.35 ± 0.21 0.87 ± 0.23 1.25 ± 0.23 0.75 ± 0.21
    980425(1) Late Bump 94.85–1330.0 BKPL 2.15 ± 0.21 0.54 ± 0.23 0.99 ± 0.23 0.73 ± 0.21
    980425(2) SN Bump 1330.0–46400.0 BKPL 2.40 ± 0.21 0.96 ± 0.23 1.32 ± 0.23 0.75 ± 0.21
    990510(0) Global 12.44–2000.0 0.09 ± 0.09 0.64 ± 0.17 −0.02 ± 0.31
    990510(1) Normal Decay 12.44–92.6 BKPL 0.14 ± 0.09 0.71 ± 0.17 −0.02 ± 0.31
    990510(2) Jet Break 92.64–2000.0 BKPL 0.03 ± 0.09 0.56 ± 0.17 −0.01 ± 0.31
    990712(0) Global 15.25–2990.0 BKPL 0.09 ± 0.11 0.63 ± 0.18
    990712(1) Normal Decay 15.25–410.3 BKPL 0.07 ± 0.11 0.59 ± 0.18
    990712(2) SN Bump 410.3–2990.0 BKPL 0.21 ± 0.11 0.81 ± 0.18
    000301C(0) Global 116.76–992.5 0.28 ± 0.19 0.11 ± 0.17 0.23 ± 0.15 0.27 ± 0.18 0.41 ± 0.15
    000301C(1) Energy Break 116.76–170.1 BKPL 0.33 ± 0.19 0.11 ± 0.17 0.21 ± 0.15 0.29 ± 0.18 0.40 ± 0.15
    000301C(2) Flare 170.12–239.7 BKPL 0.26 ± 0.19 0.11 ± 0.17 0.23 ± 0.15 0.21 ± 0.18 0.43 ± 0.15
    000301C(3) Normal Decay 239.7–992.5 BKPL 0.27 ± 0.19 0.11 ± 0.17 0.24 ± 0.15 0.31 ± 0.18 0.40 ± 0.15
    000926(0) Global 74.48–505.2 0.70 ± 0.17 0.36 ± 0.15 2.90 ± 0.39 1.10 ± 0.17
    000926(1) Normal Decay 74.48–179.3 BKPL 0.64 ± 0.17 0.38 ± 0.15 3.06 ± 0.39 1.10 ± 0.17
    000926(2) Jet Break 179.28–505.2 BKPL 0.78 ± 0.17 0.34 ± 0.15 2.68 ± 0.39 1.10 ± 0.17
    021004(0) Global 2.09–4550.0 0.20 ± 0.08 0.17 ± 0.12 0.04 ± 0.19
    021004(1) Energy Break 2.09–10.6 BKPL 0.15 ± 0.08 0.14 ± 0.12 0.25 ± 0.19
    021004(2) Flare 10.64–350.0 BKPL 0.20 ± 0.08 0.16 ± 0.12 0.03 ± 0.19
    021004(3) Normal Decay 350.0–4550.0 BKPL 0.21 ± 0.08 0.25 ± 0.12 0.06 ± 0.19
    030226(0) Global 16.14–353.7 0.74 ± 0.12 0.02 ± 0.12 0.41 ± 0.17 0.13 ± 0.11
    030226(1) Normal Decay 16.14–87.5 BKPL 0.78 ± 0.12 0.02 ± 0.12 0.44 ± 0.17 0.16 ± 0.11
    030226(2) Jet Break 87.53–353.7 BKPL 0.68 ± 0.12 0.03 ± 0.12 0.38 ± 0.17 0.10 ± 0.11
    030328(0) Global 4.9–227.5 0.30 ± 0.13 0.09 ± 0.19 0.03 ± 0.18 0.16 ± 0.25
    030328(1) Energy Break 4.9–21.1 BKPL 0.29 ± 0.13 0.09 ± 0.19 −0.04 ± 0.18 0.34 ± 0.25
    030328(2) Normal Decay 21.05–227.5 BKPL 0.30 ± 0.13 0.10 ± 0.19 0.04 ± 0.18 0.14 ± 0.25
    030329(0) Global 11.17–2860.0 0.08 ± 0.07 0.10 ± 0.06 0.25 ± 0.19
    030329(1) Energy Break 4.52–28.6 BKPL 0.23 ± 0.07 −0.04 ± 0.06 0.19 ± 0.19
    030329(2) Normal Decay 28.55–106.8 BKPL 0.13 ± 0.07 0.00 ± 0.06 0.23 ± 0.19
    030329(3) Re Bump 106.8–2860.0 BKPL 0.02 ± 0.07 0.18 ± 0.06 0.27 ± 0.19
    050525A(0) Global 0.07–200.0 0.24 ± 0.31 −0.41 ± 0.31 0.69 ± 0.31 −0.22 ± 0.34 −0.24 ± 0.29 0.19 ± 0.10
    050525A(1) Normal Decay 0.07–3.0 BKPL 0.15 ± 0.31 −0.37 ± 0.31 0.62 ± 0.31 −0.27 ± 0.34 −0.05 ± 0.29 0.19 ± 0.10
    050525A(2) Jet Break 3.0–200.0 BKPL 0.33 ± 0.31 −0.45 ± 0.31 0.78 ± 0.31 −0.15 ± 0.34 −0.47 ± 0.29 0.19 ± 0.10
    050801(0) Global 0.03–107.3 1.42 ± 0.46 −0.42 ± 0.36 0.69 ± 0.21 −0.14 ± 0.13 −0.02 ± 0.13 −0.32 ± 0.23 −0.27 ± 0.22 0.85 ± 0.14
    050801(1) Energy Break 0.03–0.4 BKPL 1.29 ± 0.46 −0.49 ± 0.36 0.82 ± 0.21 −0.21 ± 0.13 −0.09 ± 0.13 −0.25 ± 0.23 −0.34 ± 0.22 0.85 ± 0.14
    050801(2) Normal Decay 0.4–107.3 BKPL 1.49 ± 0.46 −0.38 ± 0.36 0.60 ± 0.21 −0.10 ± 0.13 0.02 ± 0.13 −0.36 ± 0.23 −0.23 ± 0.22 0.85 ± 0.14
    050820A(0) Global 0.08–663.3 0.42 ± 0.18 0.58 ± 0.20 0.17 ± 0.13 0.10 ± 0.15
    050820A(1) Onset 0.08–1.0 BKPL 0.59 ± 0.18 0.98 ± 0.20 0.08 ± 0.13 0.15 ± 0.15
    050820A(2) Normal Decay 1.0–8.9 BKPL 0.61 ± 0.18 0.75 ± 0.20 0.20 ± 0.13 0.14 ± 0.15
    050820A(3) Re Bump 8.9–663.3 BKPL 0.39 ± 0.18 0.53 ± 0.20 0.17 ± 0.13 0.10 ± 0.15
    050922C(0) Global 0.14–606.0 0.08 ± 0.23 0.15 ± 0.25 0.14 ± 0.25 0.21 ± 0.17
    050922C(1) Energy Break 0.14–8.5 BKPL 0.14 ± 0.23 0.18 ± 0.25 0.12 ± 0.25 0.19 ± 0.17
    050922C(2) Normal Decay 8.51–606.0 BKPL −0.14 ± 0.23 0.04 ± 0.25 0.21 ± 0.25 0.27 ± 0.17
    051111(0) Global 0.03–89.7 0.30 ± 0.13 0.21 ± 0.23 0.20 ± 0.23
    051111(1) Normal Decay 0.03–2.69 BKPL 0.30 ± 0.13 0.22 ± 0.23 0.18 ± 0.23
    051111(2) Jet Break 2.69–89.7 BKPL 0.30 ± 0.13 0.18 ± 0.23 0.25 ± 0.23
    060218(0) Global 0.26–2870.0 −0.49 ± 0.11 0.00 ± 0.13 1.21 ± 0.13 0.49 ± 0.12 −0.21 ± 0.16 −0.78 ± 0.10 0.06 ± 0.30
    060218(1) Late Bump 0.26–171.9 BKPL −0.26 ± 0.11 −1.10 ± 0.13 0.17 ± 0.13 −0.28 ± 0.12 −0.73 ± 0.16 −0.84 ± 0.10 −0.31 ± 0.30
    060218(2) SN Bump 171.94–7870.0 BKPL −0.51 ± 0.11 0.02 ± 0.13 1.22 ± 0.13 0.51 ± 0.12 −0.14 ± 0.16 −0.78 ± 0.10 0.06 ± 0.30
    060418(0) Global 0.08–101.4 −0.07 ± 0.21 −0.05 ± 0.16 0.34 ± 0.14
    060418(1) Onset 0.08–1.0 BKPL −0.07 ± 0.21 −0.14 ± 0.16 0.38 ± 0.14
    060418(2) Normal Decay 0.2–101.4 BKPL −0.07 ± 0.21 0.00 ± 0.16 0.32 ± 0.14
    060526(0) Global 0.06–893.5 0.66 ± 0.15 0.14 ± 0.13 0.27 ± 0.27
    060526(1) Normal Decay 0.06–96.6 BKPL 0.64 ± 0.15 0.17 ± 0.13 0.24 ± 0.27
    060526(2) Jet Break 96.63–893.5 BKPL 0.70 ± 0.15 0.09 ± 0.13 0.34 ± 0.27
    060607A(0) Global 0.07–25.5 0.62 ± 0.26
    060607A(1) Onset 0.07–0.3 BKPL 0.67 ± 0.26
    060607A(2) Normal Decay 0.3–2.8 BKPL 0.62 ± 0.26
    060607A(3) Flare 1.42–25.5 BKPL 0.58 ± 0.26
    060614(0) Global 1.55–1280.0 0.39 ± 0.64 −0.59 ± 0.57 0.87 ± 0.33 0.09 ± 0.28 0.03 ± 0.28 −0.17 ± 0.32 −0.04 ± 0.26 0.32 ± 0.17
    060614(1) Late Bump 1.55–1280.0 BKPL 0.39 ± 0.64 −0.59 ± 0.57 0.87 ± 0.33 0.09 ± 0.28 0.03 ± 0.28 −0.17 ± 0.32 −0.04 ± 0.26 0.32 ± 0.17
    060729(0) Global 0.12–2576.8 BKPL 0.26 ± 0.22 −0.05 ± 0.24 0.50 ± 0.31
    060729(1) Energy Break 0.12–60.0 BKPL 0.19 ± 0.22 −0.25 ± 0.24 0.40 ± 0.31
    060729(2) Normal Decay 50.04–2576.8 BKPL 0.29 ± 0.22 0.06 ± 0.24 0.55 ± 0.31
    060908(0) Global 0.06–34343.9 0.22 ± 0.27 0.10 ± 0.33 0.19 ± 0.31 0.01 ± 0.09
    060908(1) Normal Decay 0.06–34343.9 PL 0.22 ± 0.27 0.10 ± 0.33 0.19 ± 0.31 0.01 ± 0.09
    061007(0) Global 0.03–149.7 0.14 ± 0.26 0.67 ± 0.26
    061007(1) Onset 0.03–0.1 BKPL 0.15 ± 0.26 0.69 ± 0.26
    061007(2) Normal Decay 0.14–149.7 BKPL 0.14 ± 0.26 0.67 ± 0.26
    061126(0) Global 0.04–1300.0 −0.13 ± 0.87 0.47 ± 0.64 0.18 ± 0.19 −0.04 ± 0.16 0.46 ± 0.18 0.48 ± 0.12
    061126(1) Reverse Shock 0.04–1.0 BKPL −0.13 ± 0.87 0.47 ± 0.64 0.33 ± 0.19 0.03 ± 0.16 0.32 ± 0.18 0.30 ± 0.12
    061126(2) Normal Decay 1.06–1300.0 BKPL −0.13 ± 0.87 0.47 ± 0.64 0.16 ± 0.19 −0.05 ± 0.16 0.47 ± 0.18 0.50 ± 0.12
    070125(0) Global 2.06–106.7 0.30 ± 0.29 −0.40 ± 0.29 0.77 ± 0.20 −0.09 ± 0.14 0.40 ± 0.10 0.11 ± 0.21 −0.09 ± 0.35
    070125(1) Normal Decay 2.06–5.2 PL 0.33 ± 0.29 −0.44 ± 0.29 0.76 ± 0.20 −0.09 ± 0.14 0.40 ± 0.10 0.11 ± 0.21 −0.09 ± 0.35
    070125(2) Re Bump 5.2–106.7 BKPL 0.11 ± 0.29 −0.21 ± 0.29 0.86 ± 0.20 −0.06 ± 0.14 0.40 ± 0.10 0.11 ± 0.21 −0.07 ± 0.35
    071010A(0) Global 0.12–3523.2 0.12 ± 0.11 0.42 ± 0.06 0.65 ± 0.19 0.30 ± 0.14
    071010A(1) Onset 0.12–1.0 BKPL 0.14 ± 0.11 0.65 ± 0.06 0.65 ± 0.19 0.23 ± 0.14
    071010A(2) Normal Decay 1.0–36.9 BKPL 0.18 ± 0.11 0.47 ± 0.06 0.65 ± 0.19 0.43 ± 0.14
    071010A(3) Flare 36.91–3523.2 BKPL 0.05 ± 0.11 0.30 ± 0.06 0.65 ± 0.19 0.16 ± 0.14
    080109(0) Global 70.0–2780.0 1.12 ± 0.15 0.80 ± 0.09 0.37 ± 0.15 −0.08 ± 0.19
    080109(1) Late Bump 70.0–541.1 BKPL 0.71 ± 0.15 0.63 ± 0.09 0.26 ± 0.15 −0.08 ± 0.19
    080109(2) SN Bump 541.09–2780.0 BKPL 1.34 ± 0.15 0.90 ± 0.09 0.43 ± 0.15 −0.07 ± 0.19
    080310(0) Global 0.08–300.0 0.34 ± 0.11 0.23 ± 0.10 0.24 ± 0.15
    080310(1) Onset 0.08–0.8 BKPL 0.26 ± 0.11 0.15 ± 0.10 0.29 ± 0.15
    080310(2) Normal Decay 0.74–2.0 BKPL 0.36 ± 0.11 0.11 ± 0.10 0.29 ± 0.15
    080310(3) Re Bump 2.0–300.0 BKPL 0.35 ± 0.11 0.29 ± 0.10 0.21 ± 0.15
    080319B(0) Global 0.71–209.8 0.50 ± 0.15 −0.63 ± 0.15 0.78 ± 0.14 −0.01 ± 0.11 −0.05 ± 0.12 0.07 ± 0.15 0.13 ± 0.13 0.07 ± 0.05 0.09 ± 0.09 0.04 ± 0.09
    080319B(1) Revese Shock 0.01–1.7 BKPL 0.59 ± 0.15 −0.92 ± 0.15 1.05 ± 0.14 0.02 ± 0.11 0.09 ± 0.12 0.43 ± 0.15 −0.12 ± 0.13 −0.02 ± 0.05 0.13 ± 0.09 0.15 ± 0.09
    080319B(2) Normal Decay 1.68–209.8 BKPL 0.48 ± 0.15 −0.55 ± 0.15 0.73 ± 0.14 0.01 ± 0.11 −0.09 ± 0.12 −0.05 ± 0.15 0.22 ± 0.13 0.12 ± 0.05 0.06 ± 0.09 0.02 ± 0.09
    080330(0) Global 0.09–116.6 1.65 ± 0.34 −0.28 ± 0.26 −0.04 ± 0.29 0.17 ± 0.28 −0.31 ± 0.14
    080330(1) Onset 0.09–0.46 BKPL 1.64 ± 0.34 −0.25 ± 0.26 −0.11 ± 0.29 0.29 ± 0.28 −0.34 ± 0.14
    080330(2) Normal Decay 0.46–116.6 BKPL 1.66 ± 0.34 −0.29 ± 0.26 −0.01 ± 0.29 0.12 ± 0.28 −0.30 ± 0.14
    080603A(0) Global 0.11–350.4 0.39 ± 0.45 1.50 ± 0.42 0.30 ± 0.23
    080603A(1) Onset 0.11–2.0 BKPL 0.91 ± 0.45 1.53 ± 0.42 0.17 ± 0.23
    080603A(2) Normal Decay 2.0–350.4 BKPL 0.25 ± 0.45 1.50 ± 0.42 0.34 ± 0.23
    080607(0) Global 0.04–7.5 1.82 ± 0.29 1.32 ± 0.14
    080607(1) Onset 0.04–0.2 BKPL 1.56 ± 0.29 1.04 ± 0.14
    080607(2) Normal Decay 0.2–1.0 BKPL 1.95 ± 0.29 1.53 ± 0.14
    080607(3) Re Bump 1.0–7.5 BKPL 1.92 ± 0.29 1.28 ± 0.14
    080810(0) Global 0.04–497.9 0.38 ± 0.29 0.45 ± 0.19 0.19 ± 0.14
    080810(1) Onset 0.04–0.3 BKPL 0.32 ± 0.29 0.54 ± 0.19 0.21 ± 0.14
    080810(2) Normal Decay 0.3–497.9 BKPL 0.39 ± 0.29 0.45 ± 0.19 0.19 ± 0.14
    090102(0) Global 0.04–264.6 0.66 ± 0.09
    090102(1) Onset 0.04–0.1 BKPL 0.48 ± 0.09
    090102(2) Normal Decay 0.1–2.3 BKPL 0.75 ± 0.09
    090102(3) Re Bump 2.28–264.6 BKPL 0.71 ± 0.09
    090618(0) Global 0.12–155.5 BKPL 0.00 ± 0.40 −0.17 ± 0.45 1.28 ± 0.37 −0.34 ± 0.14 0.21 ± 0.20 −0.20 ± 0.17
    090618(1) Energy Break 0.12–10.0 BKPL 0.12 ± 0.40 −0.17 ± 0.45 1.16 ± 0.37 −0.46 ± 0.14 0.31 ± 0.20 −0.10 ± 0.17
    090618(2) Normal Decay 10.0–155.5 BKPL −0.01 ± 0.40 −0.17 ± 0.45 1.29 ± 0.37 −0.32 ± 0.14 0.20 ± 0.20 −0.21 ± 0.17
    091024(0) Global 0.1–246.0 −0.44 ± 0.26 −0.40 ± 0.22 −0.43 ± 0.13
    091024(1) Onset 0.1–1.2 BKPL −0.38 ± 0.26 −0.43 ± 0.22 −0.40 ± 0.13
    091024(2) Normal Decay 1.41–5.0 BKPL −0.78 ± 0.26 −0.14 ± 0.22 −0.45 ± 0.13
    091024(3) Re Bump 5.0–246.0 BKPL −0.19 ± 0.26 −0.67 ± 0.22 −0.51 ± 0.13
    110205A(0) Global 0.54–384.2 0.19 ± 0.23
    110205A(1) Onset 0.54–2.0 BKPL 0.19 ± 0.23
    110205A(2) Normal Decay 2.0–384.2 BKPL 0.19 ± 0.23
    110213A(0) Global 0.16–384.2 −0.37 ± 0.08 −0.18 ± 0.08
    110213A(1) Onset 0.16–0.7 BKPL
    110213A(2) Normal Decay 0.3–2.0 BKPL −0.51 ± 0.08 −0.55 ± 0.08
    110213A(3) Re Bump 2.0–384.2 BKPL −0.30 ± 0.08 0.00 ± 0.08
    120119A(0) Global 0.04–26.9 BKPL 0.37 ± 0.27 0.47 ± 0.14 0.11 ± 0.12
    120119A(1) Normal Decay 0.04–0.3 BKPL 0.31 ± 0.27 0.55 ± 0.14 0.15 ± 0.12
    120119A(2) Re Bump 0.3–26.9 BKPL 0.39 ± 0.27 0.44 ± 0.14 0.10 ± 0.12
    120404A(0) Global 0.25–257.3 1.10 ± 0.31 0.54 ± 0.28 0.61 ± 0.22
    120404A(1) Onset 0.25–2.9 BKPL 1.46 ± 0.31 0.18 ± 0.28 0.61 ± 0.22
    120404A(2) Normal Decay 2.87–257.3 BKPL 0.93 ± 0.31 0.70 ± 0.28 0.61 ± 0.22
    120422A(0) Global 407.1–2650.0 BKPL −1.26 ± 0.26 1.46 ± 0.20
    120422A(1) Onset 0.39–2.0 BKPL −1.24 ± 0.26 1.45 ± 0.20
    120422A(2) Normal Decay 2.0–407.1 BKPL −1.55 ± 0.26 1.39 ± 0.20
    120422A(3) SN Bump 407.1–2650.0 BKPL −1.26 ± 0.26 1.46 ± 0.20
    120729A(0) Global 0.29–65.5 0.24 ± 0.37
    120729A(1) Energy Break 0.29–2.0 BKPL 0.14 ± 0.37
    120729A(2) Normal Decay 2.0–65.5 BKPL 0.29 ± 0.37
    130215A(0) Global 0.7–1517.9 −0.02 ± 0.29
    130215A(1) Normal Decay 0.7–500.0 PL −0.06 ± 0.29
    130215A(2) SN Bump 499.96–1517.9 BKPL 0.93 ± 0.29
    130702A(0) Global 15.11–54600.0 1.20 ± 0.17 −0.62 ± 0.12 −0.35 ± 0.18
    130702A(1) Normal Decay 15.11–362.0 PL 0.54 ± 0.17 −0.54 ± 0.12 0.00 ± 0.18
    130702A(2) SN Bump 362.02–54600.0 BKPL 1.30 ± 0.17 −0.63 ± 0.12 −0.40 ± 0.18
    130831A(0) Global 33.76–13500.0 BKPL −0.18 ± 1.13 0.27 ± 2.82 1.31 ± 2.92 −0.42 ± 1.04 0.25 ± 0.57 −0.21 ± 0.41 0.74 ± 0.79
    130831A(1) Onset 0.13–1.0 BKPL 0.40 ± 1.13 −0.15 ± 2.82 1.97 ± 2.92 −0.71 ± 1.04 0.34 ± 0.57 1.35 ± 0.41 0.24 ± 0.79
    130831A(2) Normal Decay 1.0–800.0 BKPL 0.09 ± 1.13 0.01 ± 2.82 1.05 ± 2.92 0.13 ± 1.04 0.23 ± 0.57 0.17 ± 0.41 0.25 ± 0.79
    130831A(3) SN Bump 800.0–13500.0 BKPL −0.31 ± 1.13 0.60 ± 2.82 1.29 ± 2.92 −0.77 ± 1.04 0.33 ± 0.57 −0.52 ± 0.41 1.39 ± 0.79

    Download table as:  ASCIITypeset images: 1 2 3

    2.4. Definition of Color Index Variation

    Once the fits are obtained, one can derive the CIs. They are defined as the magnitude difference between two filters,

    Equation (8)

    where λ2 < λ1 is required so that the smaller the CI, the bluer (or hotter) the optical afterglow. In this paper, we uniquely focus on the CI between two adjacent bands.21 CI can be affected by optical extinction, which can be characterized by the color excess (CE), defined by the difference between the observed color index (CIO) and the intrinsic color index (CIT)

    Equation (9)

    2.4.1. Definition of the Golden and Silver Samples

    To compute the CIs, simultaneous observations or interpolated values are required. We also note that different telescopes have different photometric systems (i.e., different light filters and spectral response functions), which are either the common Johnson–Cousins UBVRI photometry system22 or the Sloan Digital Sky Survey (SDSS) ugriz photometry system.23 Instead of converting one system into another with empirical correlations (e.g., Jordi et al. 2006), we group the bursts by photometric systems, which are studied separately.

    Therefore, we sort all GRBs into two samples based on the photometric system used for the observation. This also naturally separates bursts for which interpolation is required from those for which it is not.

    1. Golden sample: The 25 bursts have simultaneous observations in multiple filters in the optical/IR bands (g, r, i, z, J, H, Ks) for a wide time window. They are mostly observed by the Gamma-Ray Burst Optical/NIR Detector (GROND; Greiner et al. 2008), with some events contributed from observations of the RAPid Telescopes for Optical Response (RAPTOR; Wren et al. 2010) and the Peters Automated IR Imaging Telescope (PAIRITEL; Bloom et al. 2006). These define our Golden sample. Obtaining the CI24 for these bursts is straightforward. The afterglow multicolor light curves and the time evolution of CIs are displayed in Figure 5.

    2. Silver sample: The 45 remaining bursts in our sample do not have simultaneous observations in multiple filters but have instead multiple observations in different filters from different optical instruments at different times. For those bursts, we use the light-curve fits (Section 2.3) and interpolate the missing data points to obtain concurrent values in different filters (UVW2, UVM2, UVW1, U, B, V, R, I, J, H and K). This group of bursts defines the Silver sample. It has wider observed energy bands than the Golden sample. We try to include a maximum number of possible multiple data to represent the whole light curve. The multicolor light curves25 and the time evolution of CIs for each burst are shown in Figure 6.

    The most accurate CIs are obtained in cases where there are simultaneous observations in multiple filters. This is the case for the bursts in the Golden sample. For many of these bursts there are additional nonsimultaneous data as well, which are discarded in order to keep the sample pure. Three criteria are applied to consider whether to add the additional data sources into the Golden sample: (i) there is at least an order-of-magnitude extension in the duration of observation; (ii) the number of data points should be greater than (or at least equal to) that in the original data source; (iii) at least three new bands have good observational data. Most cases do not satisfy these criteria. However, in two particular cases, GRB 090426 and GRB 130427A, there is a significant amount of additional data. We therefore use these cases to compare the results from the Golden and Silver samples.

    For example, we add the R-band data to the multicolor light curves in the Golden sample for GRB 090426 (Figure 5). It provides a much earlier observation that can be compared to the GROND griz observation.

    Figure 6.

    Figure 6. Same as Figure 5, but for the Silver sample.

    (An extended version of this figure is available.)

    Standard image High-resolution image

      2.4.2. Methods to Determine the Temporal Behavior of Color Indices

      We further define sets of CIs. The first one contains time-resolved data (Data Set I). The second set is made of component-wise averaged CIs (Data Set II). Finally, the mean CIs over the entire burst duration give Data Set III. Hereinafter all the analysis (such as the figures and the tables) will be marked with which sets of data are used.

      According to Šimon et al. (2001), CIs should not be derived from fits to the light curve. They claimed that any fits to the data would distort the CIs. The Golden sample gives CIs directly, while the Silver sample CIs are obtained with a fit to the light curve. Studying the difference between Golden and Silver samples allows us to check the consistency between our results and that of Šimon et al. (2001).

      To account for the missing data points, two methods can be employed: (i) interpolation of the light curve from the fits (applied to the Silver sample), and (ii) averaging of existing data points as in Šimon et al. (2001). Interpolating missing data points results in large uncertainties but has the advantage of preserving a maximum number of simultaneous CIs. If the afterglow emission is smooth enough, the uncertainties should not be too large. On the other hand, averaging data results in more accurate estimation of the CIs but strongly reduces their number. As pointed out by Šimon et al. (2001), averaging is also not reliable when light curves have rapid changes. Interestingly, after comparing both methods, we find that the results are consistent. We note that our Set II, which is obtained by averaging the CIs on each afterglow component, is similar to averages in arbitrary time intervals, as in Šimon et al. (2001), except that, in our paper, the time intervals are imposed by expected physical variations of the light curves.

      We investigate the correlation of the CIs from GRB 130427A using these two methods. This burst has a well-observed afterglow with a great number of data points. In Figure 7, we compare the CIs in the same observation duration between the Golden and the Silver samples. The CIs from the Golden sample are derived directly from RAPTOR (Vestrand et al. 2014) with simultaneous observations in multiple filters, while the CIs from the Silver sample are obtained by an interpolation method from the RATIR (Becerra et al. 2017), which in general do not have simultaneous observation, compared with the GROND observation in the corresponding period. We find that the data cluster around the equal line, which indicates that the results of both methods are consistent with each other.

      Figure 7.

      Figure 7. Correlation of the CI between two different methods: Golden (CI is derived directly by simultaneous multiband observations) and Silver (interpolation method); data are derived from GRB 130427A. The equal line (solid line) is represented by the solid curve.

      Standard image High-resolution image

      2.4.3. Determination of Time Evolution

      To determine whether the CI changes with time, we consider the following quantitative analysis. First, we calculate the mean color index $\overline{m}$ and the standard deviation σs for each CI. We do this for Data Sets I and II defined in Section 2.4.2. If a significant variation exists for the ith CIs, the criteria $| {m}_{i}-\overline{m}| \gt {\sigma }_{{m}_{i}}+{\sigma }_{{\rm{s}}}$ should be met; here ${\sigma }_{{m}_{i}}$ is the error on the ith CI. Note that both ${\sigma }_{{m}_{i}}$ and σs are positive. Therefore, we define two grades for the CI:

      • 1.  
        Constant: the CI is consistent with the overall mean value.
      • 2.  
        Variable: the CI presents a significant variation.

      3. Statistical Properties of Color Indices

      Table 4 summarizes the statistical properties of the CIs in our sample, which include the total number of data points, the distributed ranges, and their mean values. In Figure 8, we present all CIs as functions of time in one panel to show the global behavior. We find that more than 90% of the CIs distribute within [−1.0, 1.0] in the observed time intervals.

      Figure 8.

      Figure 8. Temporal evolution of all CIs for all bursts (Data Set I). The Silver sample is in gray, while each color represents a different combination of bands for the Golden sample. Two horizontal black lines show CI = −1 and 1.

      Standard image High-resolution image

      Table 4.  Statistics of Color Indices

      Color Range Mean Correlation ${\beta }_{o}^{\mathrm{CI}}$ ${\beta }_{o}^{\mathrm{CI}}$
        (Total) (Gaussian Fitting) (CI–βo) (CI = Mean) (CI = 0.2)
        Data Set I/Golden/Color Indicesa
      g–r (−0.29,2.51) 0.15 ± 0.14 0.30βo 0.50 ± 0.47 0.67
      r–i (−1.01,1.04) 0.09 ± 0.10 0.21βo 0.43 ± 0.48 0.95
      i–z (−2.10,1.44) 0.13 ± 0.11 0.19βo 0.68 ± 0.58 1.05
      J–H (−0.68,1.03) 0.23 ± 0.10 0.30βo 0.77 ± 0.33 0.67
      H–Ks (−0.42,3.00) 0.25 ± 0.17 0.32βo 0.78 ± 0.53 0.63
        Data Set I/Silver/Color Indicesa
      UVW2UVM2 (−0.88,1.65) 0.16 ± 0.27 0.16βo 1.00 ± 1.69 1.25
      UVM2UVW1 (−1.26,0.72) −0.19 ± 0.24 0.16βo −1.19 ± 1.50 1.25
      UVW1U (−0.11,3.02) 0.93 ± 0.39 0.41βo 2.27 ± 0.95 0.49
      UB (−1.83,2.65) 0.09 ± 0.23 0.20βo 0.45 ± 1.15 1.00
      BV (−1.50,2.14) 0.23 ± 0.23 0.24βo 0.96 ± 0.96 0.83
      VR (−1.23,2.9) 0.15 ± 0.16 0.26βo 0.58 ± 0.62 0.77
      RI (−0.82,2.85) 0.22 ± 0.07 0.28βo 0.79 ± 0.25 0.71
      IJ (−1.86,3.15) 0.17 ± 0.08 0.36βo 0.47 ± 0.22 0.56
      JH (−0.63,2.11) 0.28 ± 0.14 0.30βo 0.93 ± 0.47 0.67
      HK (−0.47, 1.61) 0.13 ± 0.22 0.32βo 0.41 ± 0.69 0.63

      Note.

      aStatistics of color indices regardless of GRBs and components.

      Download table as:  ASCIITypeset image

      We analyze the distributions of the CIs (Data Set I) for both the Golden and Silver samples. They are all well fitted with Gaussian functions. Figure 9 displays the distributions together with the best Gaussian fits and the mean CI values, as well as their standard deviations. For the Golden sample (Figure 9(a)), we have g–r = 0.15 ± 0.14, r–i = 0.09 ± 0.10, i–z = 0.13 ±0.11, J–H = 0.23 ± 0.10, and H–Ks = 0.25 ± 0.17, respectively. We find that the distributions26 are consistent with each other with a mean value around 0.2. We note the presence of a tail at large values for the CI gr. For the Silver sample (Figure 9(b)), we obtained UVM2–UVW1 = 0.16 ± 0.27, UVM2–UVW1 = −0.19 ± 0.24, UVW1–U = 0.93 ± 0.39, U–B = 0.09 ± 0.23, B–V = 0.23 ± 0.23, V–R = 0.15 ±0.16, R–I = 0.22 ± 0.07, I–J = 0.17 ± 0.08, J–H = 0.28 ±0.14, and H–Ks = 0.14 ± 0.22, respectively. We find that the distributions are still consistent with each other with a mean value also around 0.2 for most of the CIs. This indicates that most of the CIs could be explained by the standard afterglow model with a single power-law spectral slope.

      Figure 9.

      Figure 9. Distributions of the color indices (Data Set I) for the (a) Golden and (b) Silver sample. The red lines are the best Gaussian fits, whose results can be found in Table 4. The vertical blue dashed lines represent CIs equal to 0.2.

      Standard image High-resolution image

      Note, however, that there are two inconsistent peaks in the ultraviolet (UV) bands, with the UVM2–UVW1 CIs at −0.19 and UVW1–U CIs at 0.93. The difference between the distributions could originate from the method that the CIs are obtained for the Silver sample. Because of the fitting and interpolation procedures, they carry large uncertainties, not taken into account by the histograms. A second reason for this difference could be underestimation of the extinction corrections. This is because the extinction curve in the host galaxy is largely uncertain27 and therefore the corrected data could deviate from the actual values. This implies that after making the correction to the data, there could also be an additional reddening. Further investigation of the extinction property for each individual burst will be presented in a following paper (Li et al. 2017, in preparation). Stronger deviations are expected in high-energy bands in the Silver sample, tentatively explaining the possible reddening in those bands (Figure 9(b)). Also, very few GRB host galaxies show MW/LMC-like 2175 Å features. However, the redshifts are distributed over a wide range of values, so even if such features exist, they would appear in different observer-frame bands. Therefore, the effect would be completely diluted.

      To test whether there exists an additional reddening, we analyze the SED, using the average CIs (Data Set III, regardless GRBs) and assuming a typical magnitude for the r band (Golden sample)/R band (Silver sample). In Figure 10, we show the SED of the afterglow from wide-band observations. We note that the difference in the distributions between the Golden and Silver samples is negligible in the SED; thus, it is reasonable to analyze the SED of the Silver sample. However, we find that the SED is still not completely consistent with the theoretical expectations (a single power-law spectral slope). This implies that the traditional extinction models (LMC, SMC, MK, etc.) are not precise in fully describing the extinction character for some GRBs.

      Figure 10.

      Figure 10. SED of the afterglow, which derives from average values of CIs (Data Set III) and assumes typical observation magnitudes for r band (Golden sample)/R band (Silver sample). Different colors represent different energy bands. The stars represent the Golden sample (SDSS griz system), while the circles represent the Silver sample (common UBVRI photometry system).

      Standard image High-resolution image

      We conclude by estimating the influence of redshift on the CI. The redshifts of our bursts lie between z = 0.007 and 5.2. In Figure 11, we plot the CIs against the redshifts. We obtain a Spearman correlation coefficient r = 0.21, corresponding to a chance probability $\hat{p}$ ≤ 10−4. This indicates that the possible dependence of the CIs on the redshift is very weak.

      Figure 11.

      Figure 11. Color indices (based on Data Set III) as a function of redshift. Different colors represent different bands.

      Standard image High-resolution image

      4. Temporal Evolution of the Color Indices

      4.1. Time Evolution for Data Set I (Full Resolution Data)

      Following the definition of time evolution outlined in Section 2.4.3, we find that there are 20 out of 25 GRBs in the Golden sample that have at least more than two data points that are variable CIs. This indicates that the evolution of the CIs in the afterglow is very common. GRB 080413B is taken as an example, and its CIs as functions of time are displayed in Figure 12(a). The variable CIs are indicated by arrows. We note that the evolution of CIs tends to appear at a late time. In Figure 12(b), we compare the distributions of constant and variable CIs. We see that the nonvarying CIs are distributed similarly from one color to the others. Fitting the histograms by a Gaussian function, one has g–r = 0.15 ± 0.14 (mean ± standard deviations), r–i = 0.08 ± 0.09, i–z = 0.13 ± 0.10, J–H = 0.23 ± 0.11, and H–Ks = 0.25 ± 0.17, respectively.

      Figure 12.

      Figure 12. Left: multiband light curves together with the color indices of GRB 080413B. Variable CIs are labeled with the arrow. Right: distribution of variable (in red) and constant (in gray) CIs. The best Gaussian fit of the constant CI is represented by the gray curve; one has gr = 0.15 ± 0.14, ri = 0.08 ± 0.09, iz = 0.13 ± 0.10, JH = 0.23 ± 0.11, and HKs = 0.25 ± 0.17, respectively.

      Standard image High-resolution image

      Instead, the group of varying CIs shows a broad distribution for different colors, possibly indicating different underlying phenomena. Table 5 summarizes the total number of constant/variable CIs. In the 25 GRBs of the Golden sample, 4039 out of 4212 (95.9%) values for all five CIs in all the time bins are constant, while only 173 (4.1%) are variable. This indicates that during most of the observed intervals, the CIs are constant, even for the 20 bursts that have a change (a small number of data points) in them.

      Table 5.  Constant versus Variable Color Indices

      GRB/Color/Component Number/Fraction Number/Fraction Number
        (Constant) (Variation) (Total)
        Data Set I/Golden/Color Indicesa
      g–r 1135/94.9% 61/5.1% 1196
      r–i 1135/95.9% 48/4.1% 1183
      i–z 984/96.3% 38/3.7% 1022
      J–H 408/96.7% 14/3.3% 422
      H–K 377/96.9% 12/3.1% 389
      Total Colors 4039/95.9% 173/4.1% 4212
        Data Set I/Golden/Componentsb
      Onset 172/92.5% 14/7.5% 186
      Normal Decay 1924/97.8% 43/2.2% 1967
      Flare 36/87.8% 5/12.2% 41
      Energy Break 613/99.5% 3/0.5% 616
      Jet Break 319/91.9% 28/8.1% 347
      Late Bump 204/96.7% 7/3.3% 211
      Re Bump 668/93.0% 50/7.0% 718
      SN Bump 103/81.7% 23/18.3% 126
      Total Components 4039/95.9% 173/4.1% 4212
        Data Set I/Golden/GRBsc
      071025 78/100.0% 0/0.0% 78
      071031 268/94.0% 17/6.0% 285
      080413B 147/96.1% 6/3.9% 153
      080710 249/91.9% 22/8.1% 271
      081007 50/100.0% 0/0.0% 50
      081008 95/96.9% 3/3.1% 98
      081029 357/98.3% 6/1.7% 363
      090426 44/95.7% 2/4.3% 46
      090510 49/100.0% 0/0.0% 49
      090926A 244/97.2% 7/2.8% 251
      091018 205/99.0% 2/1.0% 207
      091029 125/96.9% 4/3.1% 129
      091127 450/96.8% 15/3.2% 465
      100316D 52/81.3% 12/18.8% 64
      100621A 56/93.3% 4/6.7% 60
      100814A 505/92.0% 44/8.0% 549
      101219B 54/91.5% 5/8.5% 59
      110918A 50/94.3% 3/5.7% 53
      111209A 208/98.1% 4/1.9% 212
      120711A 117/97.5% 3/2.5% 120
      120815A 93/96.9% 3/3.1% 96
      121024A 30/100.0% 0/0.0% 30
      121217A 86/97.7% 2/2.3% 88
      130427A 380/97.7% 9/2.3% 389
      130925A 47/100.0% 0/0.0% 47
      Total GRBs 4039/95.9% 173/4.1% 4212
        Data Set II/Golden+Silver/Pair Componentsb
      Onset-to-Normal 63/92.6% 5/7.4% 68
      Reverse-to-Normal 11/68.8% 5/31.3% 16
      Energy-to-Normal 40/95.2% 2/4.8% 42
      Flare-to-Normal 10/83.3% 2/16.7% 12
      Normal-to-Flare 4/80.0% 1/20.0% 5
      Energy-to-Flare 6/75.0% 2/25.0% 8
      Normal-to-Re 49/87.5% 7/12.5% 56
      Normal-to-Jet 35/97.2% 1/2.8% 36
      Late-to-Jet 4/100.0% 0/0.0% 4
      Re-to-Jet 5/100.0% 0/0.0% 5
      Jet-to-Re 4/100.0% 0/0.0% 4
      Normal-to-SN 16/66.7% 8/33.3% 24
      Late-to-SN 14/58.3% 10/41.7% 24
      Jet-to-SN 2/100.0% 0/0.0% 2
      Total Pari Components 263/85.9% 43/14.1% 306

      Notes.

      aStatistics regardless of GRBs and components. bStatistics regardless of GRBs and colors. cStatistics regardless of colors and components.

      Download table as:  ASCIITypeset images: 1 2

      4.2. Time Evolution for Data Set II (Component-wise Average)

      We investigate the connection between the values of CIs and the afterglow light-curve components to determine their temporal evolution from one component to another. The components were identified in Section 2.4. We calculate the mean value of CIs for each emission component.28 The results are presented in Table 2 for the Golden sample and in Table 3 for the Silver sample.

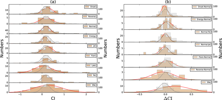
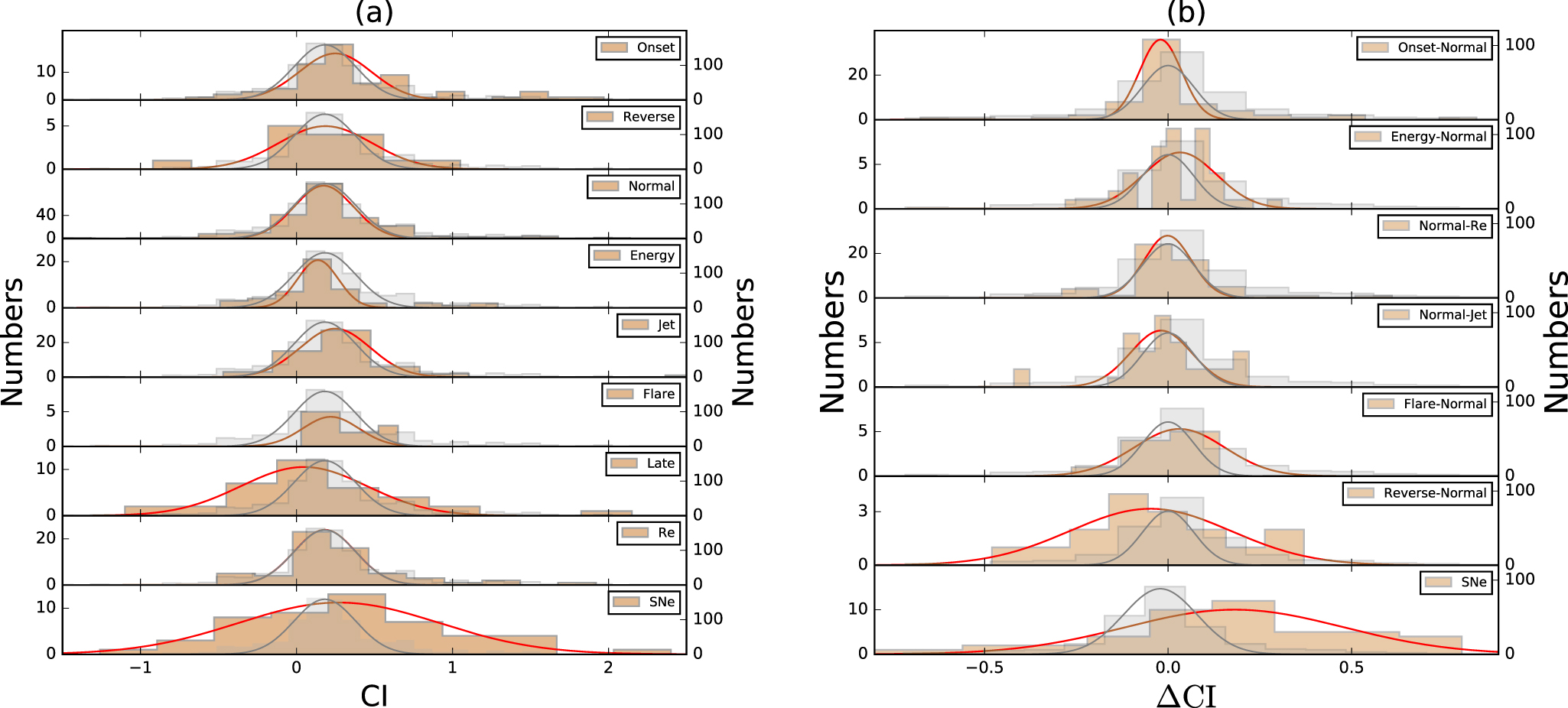
      In Figure 13(a), we show the distribution of CIs among various optical emission components (Data Set II, regardless of the bursts and CIs) and the distribution of ΔCI (results from Gaussian fits are summarized in Table 6) between one component and the following one (Figures 13(b)). ΔCI is defined by

      Equation (10)

      where t2 > t1. This means that an increasing CI, with a red-to-blue color change, corresponds to ΔCI > 0; in contrast, ΔCI < 0 represents a decrease in CI with a blue-to-red color change.

      Figure 13.

      Figure 13. Distributions of CI and ΔCI for various emission components (in red), while the total distribution of CI or ΔCI appears in gray. (a) Distributions of CI (Data Set II, regardless of the color and GRBs), together with the best Gaussian fits with Onset = 0.25 ± 0.23, Reverse = 0.18 ± 0.30, Normal = 0.17 ± 0.19, Energy = 0.14 ± 0.13, Jet = 0.25 ± 0.23, Flare = 0.22 ± 0.18, Late = 0.05 ± 0.40, Re = 0.18 ± 0.20, SNe = 0.27 ± 0.64, while the gray histograms are comparing with their global behaviors, and the gray lines are the best Guassian fits with Global = 0.18 ± 0.20. (b) Distributions of ΔCI (Data Set II, regardless of the color and of GRBs) between one component and its following one, together with the best Gaussian fit, whose results are given by Table 6.

      Standard image High-resolution image

      Table 6.  Results of Linear Correlation Analysis for Data Set II

      Component-to-Component Number ΔCI ΔCI r p
      (Previous-to-Following) (Total) (range) (Gaussian fits) (Spearman) (Spearman)
      Onset-to-Normal 68 [−1.18, 0.84] −0.02 ± 0.06 0.85 <10−4
      Reverse-to-Normal 16 [−0.48, 0.37] −0.04 ± 0.22 0.68 3.9 × 10−3
      Energy-to-Normal 42 [−0.28, 0.31] 0.03 ± 0.10 0.87 <10−4
      Flare-to-Normal 12 [−1.07, 0.14] 0.03 ± 0.12 0.77 3.6 × 10−3
      Normal-to-Flare 5 [−0.27, 0.00] a 0.80 <10−4
      Energy-to-Flare 8 [−0.22, 0.05] 0.60 0.12
      Late-to-Jet 4 [−0.01, 0.09] 1.00 <10−4
      Normal-to-Re 56 [−0.39, 1.11] 0.00 ± 0.06 0.88 <10−4
      Normal-to-Jet 36 [−0.42, 0.22] −0.02 ± 0.08 0.89 <10−4
      Re-to-Jet 5 [−0.07, 0.02] 0.90 0.04
      Jet-to-Re 4 [−0.05, 0.29] 0.95 0.05
      Normal-to-SN 24 [−0.90, 1.14] 0.13 ± 0.33 0.57 3.7 × 10−3
      Late-to-SN 24 [−0.24, 1.13] 0.25 ± 0.48 0.82 <10−4
      Jet-to-SN 2 [0.00, 0.05]
      Total 306 [−1.18, 1.14] −0.01 ± 0.04 0.86 <10−4

      Note.

      aSmall number of data points leading to unreliable fits.

      Download table as:  ASCIITypeset image

      We defined the global sample as the set of all CIs from both the Golden and Silver samples. We find that various emission components generally have similar distributions, with typical values ∼0.2, except the SN component, which presents a different ΔCI distribution. Comparing the CIs, we find that the distributions are consistent, though the number of data points is small. Note, however, that the distribution is very broad.

      We present in Figure 14 the CI–CI correlations between consecutive components, regardless of the CIs. We compute the correlation index r in all cases and find that it is systematically close to 1. The two smallest values are the transition to an SN component with r = 0.57 and a flare component with r = 0.60. In addition, a linear fit to the slope for most correlations is also close to 1. This indicates that the CIs do not have a significant change between consecutive components. The fit results, along with the Spearman correlation coefficient r and the chance probability $\hat{p}$, are reported in Table 6. This table also gives the number of CIs per emission component and the distribution range of ΔCI.

      Figure 14.

      Figure 14. CI correlation between one component and its following one (Data Set II for both the Golden and Silver samples). The equal line is represented by the continuous curve.

      Standard image High-resolution image

      We find that 263 of 306 (85.9%) pair components satisfy the criterion that the CI does not change. The large fraction of CI without significant time variation for both the Golden and Silver samples suggests that the emission mechanism of the various components in the optical transient may stay the same. This is consistent with the prediction of the external shock afterglow model, for which the emission is dominated by synchrotron radiation, provided that the observation bands do not cover the spectral breaks.

      Only 43 of the 306 (14.1%) pair components have a significant difference. For these pairs, we found that 18 include SN components, 5 include revese-shock components, and 5 include flares (see Table 5). The Golden and Silver samples show similar results. In those pair components that include an SN, 36% show variation. Likewise, 20% of the pair components including flares show variation. This makes the SN and flare components the ones that exhibit the most common variations. This is consistent with the observational evidence that the optical transient spectrum typically changes during the associated SN and flares (e.g., Šimon et al. 2001, 2004; Zhang et al. 2006; Mu et al. 2016; Geng et al. 2016 2017, and references therein). We also found a few cases of CI variation for the jet-break components. This is noteworthy since a jet break is believed to be purely dynamical. Therefore, CI evolution is not expected. Here, one should bare in mind the possibility that we could have identified the wrong component. For example, we could have identified a flare as a re-brightening bump if the flare is weak (GRB 021004, GRB 000301C, GRB 060707A). This is because they have similar light curves. Another possibility is that the interpolation procedure for the Silver sample introduces uncertainties affecting the determination of the CI.

      5. Physical Implication

      5.1. Constant Color Indices in the External Shock Model

      There is a natural connection between the CIs and the spectral indices. Assuming that the SED of the afterglow in the considered bands is well described by an intrinsically single power law, the spectral flux density (erg cm−2 s−1 Hz−1) for the afterglow is described by Equation (2). The relation between the flux and the observed magnitude is given by Equation (4), so we can write the CI, which is expressed from the flux density as

      Equation (11)

      where C = ZP2–ZP1, and ZPi = 2.5log10(${F}_{{\nu }_{i},0}$) is the zero-point of various bands i. Therefore, the spectral index βo can be connected to the CI as

      Equation (12)

      According to Equation (12), there exists a linear relation between CIs and spectral indices. Therefore, CIs provide a probe to investigate the spectral properties of the optical afterglow.

      Using Equation (12), we derive the index ${\beta }_{o}^{\mathrm{CI}}$ using constant CIs of Data Set I of the Golden sample (see Table 7 in the Appendix) and Data Set II of both the Golden and Silver samples during the normal-decay phase. We show the distribution of ${\beta }_{o}^{\mathrm{CI}}$ in Figure 15. The distribution is well fitted by a Gaussian function, and ${\beta }_{o}^{\mathrm{CI}}$ = 0.68 ± 0.60 for constant CIs of Data Set I and ${\beta }_{o}^{\mathrm{CI}}$ = 0.68 ± 0.68 for the Data Set II during the normal-decay phase, which are consistent with each other.

      Figure 15.

      Figure 15. Distributions of spectral indices ${\beta }_{o}^{\mathrm{CI}}$ and their best Gaussian fits (dashed line). ${\beta }_{o}^{\mathrm{CI}}$ are derived from the CI–βo relation (Equation 12) using the constant color indices of Data Set I for the Golden sample and Data Set II during the normal-decay phase for both the Golden and Silver samples. We find ${\beta }_{o}^{\mathrm{CI}}$ = 0.68 ± 0.60 for Data Set I and ${\beta }_{o}^{\mathrm{CI}}$ = 0.68 ± 0.68 for Data Set II.

      Standard image High-resolution image

      The distributions are consistent with the predictions of the external shock model, with typical βo around 0.75 (Mészáros & Rees 1997; Sari et al. 1998; Zhang et al. 2006). The spectral indices inconsistent with the external shock model are obtained from the high-energy bands, which could point toward a stronger reddening. We note that according to the external shock model, ${\beta }_{o}^{\mathrm{CI}}$ should cluster between 0.5 and 1.0. However, we found that a small fraction of data deviate from this range, which have large error bars, and thus they cannot accurately constrain the calculation of CI. Then this uncertainty propagates to the calculation of spectral index.

      According to the standard synchrotron afterglow model, radiation is produced by electrons distributed with a power-law index p. Therefore, the CIs can be derived from the following equations for both a constant-density interstellar medium (ISM) and a wind-like medium (wind):

      • (i)  
        Fast cooling:
        Equation (13)
      • (ii)  
        Slow cooling:
        Equation (14)
        Here νc is the cooling frequency, νm is the minimum frequency, and ν2 and ν1 are the frequencies of adjacent bands. In the fast cooling regime, electrons at the injection Lorentz factor have time to lose their energy by emitting synchrotron radiation, while they do not in the slow cooling regime.

      Next, we use the observed CIs (Data Set I of the Golden sample) to derive the electron power-law indices pCI using Equations (13)–(14). In Figure 16, we present the distribution of pCI, fit by a Gaussian. The mean values with their standard deviations are pCI = 2.43 ± 1.06 for slow cooling (νc > ν2 > ν1 > νm) and pCI = 1.43 ± 1.06 for fast/slow cooling (ν2 > ν1 > max(νc, νm)). We find that the slow cooling scenario is consistent with the theoretical predictions for relativistic shocks, p ∼ 2.5. A wide range of the electron index is obtained, which is consistent with previous studies (Shen et al. 2006; Liang et al. 2008).

      Figure 16.

      Figure 16. Distributions of observed electron spectral indices pCI, derived from the constant CI of the Golden sample (Data Set I). The dashed lines are the best Gaussian fits giving pCI = 2.43 ± 1.06 for the slow cooling case (νc > ν2 > ν1 > νm) and pCI = 1.43 ± 1.06 for the fast/slow cooling case (ν2 > ν1 >max(νc, νm)).

      Standard image High-resolution image

      Next, we use the closure relations to compute the electron index p from the temporal index α of the normal decay, which was obtained by fitting the light curve, or the spectral index βo. We then further estimate the expected value of the color indices CIth (Data Set III of the Golden sample) using Equations (13)–(14). Figure 17 displays the correlation between the CI and CIth for these spectral regimes. Their distributions are also shown with the best Gaussian fits CIobs = 0.16 ± 0.14 for observed CI and CIth = 0.13 ± 0.07 for theoretical CI.

      Figure 17.

      Figure 17. Correlation with their distributions between theoretical and observed CI for all GRBs in the three different spectral regimes (Data Set III). The red dashed line is the equal line, and the red lines are the best Gaussian fits giving CIobs = 0.16 ± 0.14 for observed CI and CIth = 0.13 ± 0.07 for theoretical CI.

      Standard image High-resolution image

      We find that the data smoothly cluster around the equal line, and both observed CI and theoretical CIth have similar distributions, consistent with the afterglow synchrotron radiation model with an intrinsic power-law decay.

      We also find that a small part of CIs are far away from the equal line, which implies that these data are inconsistent with the model. These CIs are mainly derived from GRB 081029 and GRB 100621A (Figure 17). It is interesting that both GRB 081029 and GRB 100621A present a light curve with re-brightening bumps (see Figure 5). The late re-brightening bumps could come from different emission components. Overlapping bumps could alter the CIs' estimation. However, we also find that CIs preceding the bump are still inconsistent with the model. To investigate this further, we searched all the bursts in the Golden sample to find more cases presenting clear late re-brightening bumps in the light curves. We find that GRB 071025, GRB 091029, and GRB 100814A are consistent with the theoretical values and present a late re-brightening. The results show that the afterglow emission for both GRB 081029 and GRB 100621A is likely different from other bursts.

      In Figure 18, we show color–color diagrams using the Golden sample (Data Set I) to investigate the evolution of CI shift. We calculate the distance of data points to the equal line and the difference value between the two CIs. We find that most of the CIs cluster around the equal line and the typical difference value between two CIs is close to 0. For the distances, one has (g–r)–(r–i) = −0.03 ± 0.07, (r–i)–(i–z) = 0.00 ± 0.06, and (J–H)–(H–Ks) = 0.00 ± 0.14, respectively. For their differences, one has (g–r)–(r–i) = −0.04 ± 0.10, (r–i)–(i–z) = 0.01 ± 0.09, and (J–H)–(H–Ks) = 0.00 ± 0.20, respectively.

      Figure 18.

      Figure 18. Color–color diagrams with the distributions of distances between the data points to the equal line and the distributions of differences between two colors (Data Set I of the Golden sample). The red dashed lines are the equal lines, and the red solid lines are the best Gaussian fits.

      Standard image High-resolution image

      This result indicates that the CI shift is not significant, and the intrinsic reddening inside their host galaxies must be quite similar and relatively small for these events. This is also expected from the narrow distributions in wavelength of the ugriz filters. This result also implies that the afterglow spectral shapes are similar from one to another and can be described by a smooth power-law spectral decay, with no bumps or strong lines for these bands. These results are consistent with the finding of Šimon et al. (2004).

      5.2. Possible Explanations for the Color Index Variation

      Below we outline three possible explanations for the CI variation, and in Section 5.2.4 we compare the prediction to the data.

      5.2.1. The Cooling Frequency Crosses the Studied Energy Bands

      In the external shock synchrotron model, the cooling frequency, νc, is likely to cross the optical bands at a time later than approximately 1 hr (Uhm & Zhang 2014). This will cause a change in the spectral indices and thereby in the observed CIs.

      According to Equations (13)–(14), if the cooling frequency crosses all the optical bands and the spectral regime from a stable phase transition to another stable phase, then the change in the CIs, ΔCI, is given by

      • (i)  
        Fast cooling:
        Equation (15)
      • (ii)  
        Slow cooling:
        Equation (16)

      In the constant environment model (the ISM model), the νc decreases with time (Sari et al. 1998). The optical band is initially below νc (bluer spectrum). As νc decreases in time, the optical band becomes above νc, and the spectrum becomes redder. This gives rise to a negative ΔCI. On the other hand, in the wind model, νc increases with time (Chevalier & Li 1999). The optical band is initially above νc (redder spectrum). As νc increases in time, the optical band becomes below νc (the spectrum becomes bluer). This gives a positive ΔCI.

      We note that the cooling break in the afterglow spectra may not be sharp (Uhm & Zhang 2014). The transition from one regime to another is rather smooth and requires a very long time, especially in the optical bands. For most of the cases analyzed in this paper the transition has not finished during the period investigated, so what we have tested is an upper limit of ΔCI.

      5.2.2. Effects of Host Extinction

      The host extinction may also cause the CI change (e.g., Waxman & Draine 2000; Morgan et al. 2014). After being eventually destroyed by the initial intense radiation, dust could reform at an early time near the burst region, changing the host extinction (Perna & Lazzati 2002). This leads to two temporal changes in the CI. During the early afterglow phase (Phase I), dust might be destroyed, and the CI can be described by a red-to-blue change, implying an increase in the CI with ΔCI > 0. On the contrary, at a late time (Phase II), dust could reform and reddening will reappear, and the CI presents a blue-to-red change, which provides a decrease in the CI with ΔCI < 0. We note that Phase II might not occur, since the photodestruction could be irreversible (Perna & Lazzati 2002; Lazzati & Perna 2003; Perna et al. 2003).

      The true magnitudes in the optical bands are estimated through considerations of extinctions (in both our Galaxy and the host galaxy) and the spectral k-correction. We display the distributions of all correction factors in Figure 19. The factor that affects the achromatic energy band is given by (−AG–K–AH). This quantity is distributed in [−4.29, 0.22], and, as seen in Figure 19(b), it is negligible compared to the brightness (Data Set III).

      Figure 19.

      Figure 19. Top: distributions of extinction and spectral k-correction factors (Data Set III). Bottom left: total correction factors compared against the magnitude in a given band. Bottom right: comparison between CI and CE. The dashed line is the equal line.

      Standard image High-resolution image

      The factor affecting the CIs can be characterized by the color excess, CE, such that

      Equation (17)

      where AH is the magnitude of the host dust extinction and AG is the magnitude of our Galaxy dust extinction. Here the CE includes contributions from our Galaxy and the host galaxy, while the k-correction factor is the same for both bands. Therefore, CE = {AG(λ1) − AG(λ2) + AH(λ1) − AH(λ2)} is the total correction, ranging from 0.00 to 0.99. Figure 19(c) presents the CE as a function of CI. Since both the CI and CE have similar magnitudes, uncertainties on the corrections have large effects on the value of the CIs.

      5.2.3. Effects of the Supernova Emission Component

      GRB-associated SNe in some long bursts (Hjorth et al. 2003; Woosley & Bloom 2006; Cano et al. 2017) could produce an additional emission component embedded in the late afterglow synchrotron emission. This results in a CI variation (e.g., Gal-Yam et al. 2004; Šimon et al. 2004), described as a red afterglow bump. From the literature, 13 cases29 of GRB-SN associations in our sample were reported. We compare the CIs between the GRB-SN emission and their previous components, regardless of the nature of this previous component. We are only concerned here with the variation of the CI (Data Set II). The results displayed by Figure 14 show that a very high fraction (see Table 5) of CIs exhibit a significant variation, indicating a spectral change as expected.

      5.2.4. Statistical Analysis

      We perform a statistical analysis considering only variable CIs to explore possible physical origins. Figure 20(a) shows the distribution of variable CIs. If the observed variation is due to the crossing of the cooling spectral break, then either positive or negative values of ΔCIs are expected, depending on the density profile of the circumburst medium. As discussed above, a positive value of ΔCIs is expected in the early afterglow phase (earlier than 1 hr) owing to dust destruction. Variable CIs for the SN are defined as the identification of a GRB-SN bump at a later time, which is confirmed in published papers (see Section 5.2.3).

      Figure 20.

      Figure 20. (a) Distribution of ΔCI for the Golden sample (Data Set I). The blue line separates positive and negative ΔCI. (b) Ratios of variable CIs associated with a given phenomenon to the total number of variable CIs in each time interval (see the text for detailed explanations). Different colors represent different phenomena.

      Standard image High-resolution image

      Figure 20(b) presents the temporal evolution of the ratio of varying CIs to the total number of varying CIs in a given time interval. We group the ratios depending, in turn, on (i) the identification of the SN component and whether the ΔCIs are part of it and (ii) the sign of the ΔCIs.

      Among the positive ΔCIs (64% of all cases, labeled II in Figure 20(a)) we find two peaks, at around 500 s and ∼106 s. The early peak is consistent with being due to dust extinction, corresponding to 12% of the ΔCIs. These cases are marked by the red line in the figure. The peak at 106 s is consistent with effects of νc crossing the observed band in a wind environment, causing a red-to-blue change, i.e., a shallowing of the spectrum (yellow line in the figure), including 43% of the variable CIs.

      Likewise, among the negative ΔCIs (36% of all cases, labeled I in Figure 20(a)), there are two peaks, one at around 100 s and one at ∼105–106 s. The latter peak contains ΔCIs that are consistent with effects of νc crossing the observed band in an ISM environment, causing a blue-to-red change, i.e., a steepening of the spectrum (green line in the figure), corresponding to 30% of the cases. For the bursts that exhibit a color change at around 100 s (blue curve in the figure), the most natural explanation is the transition from reverse-shock (RS) emission to forward-shock (FS) emission. Early on, the emission is likely dominated by the RS component and the optical band is below νc,r (bluer spectrum). At around 100 s, there is likely a transition from the RS to the FS emission (Type II light curve reported in Zhang et al. 2003). At this time, the FS may be already above νc,f. This gives a redder color. For the wind model (Kobayashi & Zhang 2003; Wu et al. 2003), a similar situation is expected. This case includes ∼5% of ΔCIs.

      Finally, the SN cases dominate the late-time variations (purple curve in the figure), the last one corresponding to 10% of the variable CIs.

      6. Conclusion

      We compiled a sample of multiband observations of optical transients to investigate the temporal evolution of the CIs. The variable CIs are clues to unveiling the origin and details of the optical transient and of GRBs in general, prompting more prolonged and simultaneous observations.

      We studied the multiband optical afterglows of 70 bursts with their CIs. The optical/NIR photometric data are not only based on Swift/UVOT but also obtained from ground-based instruments, especially the GROND. This catalog of multiwavelength GRB afterglow data provides an opportunity for a statistical study. We corrected the data with the Galactic and host galaxy extinctions. After performing a spectral k-correction, we divided the bursts into two samples depending on whether the different optical bands have a simultaneous observation. Our main results are summarized as follows:

      • 1.  
        A Golden sample includes 25 out of 70 GRBs with five CIs. The distributions of these CIs are approximately the same. There is no color shift between CIs, and in general they satisfy the afterglow model prediction of a single power-law spectral slope.
      • 2.  
        A Silver sample includes 45 out of 70 GRBs with 10 CIs with wider energy ranges. The distributions of these CIs are consistent with the Golden sample in the corresponding energy bands. For most of these CIs, the typical value is around 0.2, and they also, in general, satisfy the afterglow model prediction of a single power-law spectral slope. There are two significantly inconsistent peaks, mainly distributed in the UV bands, with UVM2–UVW1 = −0.19 and UVW1–U = 0.93. This is consistent with the theoretical prediction that the intrinsic reddening is more significant in the high-energy bands.
      • 3.  
        After performing all the corrections for the data, the SED of the optical transient, which is derived from the average CI, presents a deviated single power-law spectral slope. This implies that the traditional extinction models could be not accurate enough to describe the extinction characteristics for some GRBs.
      • 4.  
        Most CIs (95.9%) are constant in the Golden sample (Data Set I). They are tightly distributed with standard deviations of ∼0.2. The variable CIs (4.1%) are widely distributed, presenting evidence for several different emission mechanisms. We determined that around 30% are due to the crossing of the cooling spectral break in an ISM medium, while 43% are due to a wind-like medium, 10% due to the SN emission, 12% due to early dust extinction, and 5% due to the transition from RS to FS emissions.
      • 5.  
        Component-wise, we found that most cases of the varying CIs (Data Set II) are in the transition during the SNe, the Reversed Shock, or the Flare components.
      • 6.  
        We derived the correlations between CIs and spectral indices based on the standard afterglow synchrotron model and obtained ${\beta }_{o}^{\mathrm{CI}}$ (using the constant CI of Data Set I and data Set II during the normal-decay phase) and pCI (using the constant CI of Data Set I). The typical values are ${\beta }_{o}^{\mathrm{CI}}$ = 0.68 ± 0.60 (Data Set I) and ${\beta }_{o}^{\mathrm{CI}}$ = 0.68 ± 0.68 (Data Set II). We found that these two distributions are consistent with each other. Moreover, pCI = 2.43 ± 1.06 for Slow cooling (νc >ν2 > ν1 > νm) and pCI = 1.43 ± 1.06 for Fast/Slow cooling (ν2 > ν1 > max(νc, νm)), which are consistent with the theoretical predictions for relativistic shocks. A wide range of p values is obtained, which is consistent with previous findings. In turn, we derived the theoretical CIs using the p values derive from the closure relation and compared them to the observed CIs. We found that they still clustered around the equal line.
      • 7.  
        We also investigated the overall behavior of the CIs:
        • (i)  
          The CIs are independent of the redshift.
        • (ii)  
          More that 90% of CIs are distributed between −1.0 and 1.0. They have negligible variations compared to the decline of the brightness with time.
        • (iii)  
          The dust extinction correction and the spectral k-correction can significantly affect the values of CIs and spectral indices.

      We thank Damien Bégué, Yun-Feng Liang, Jin-Jun Geng, Hüsne Dereli, and Remo Ruffini for helpful discussions, and we are greatly indebted to the referee for an extremely careful reading of the manuscript and for helpful and valuable comments that greatly improved this paper. This work is supported by the Swedish National Space Board, the Swedish Research Council, the National Basic Research Program of China (973 Program, grant no. 2014CB845800), the National Natural Science Foundation of China (grant nos. 11725314, 11322328, 11473012, 11673068, and 11103083), the Key Research Program of Frontier Sciences (QYZDB-SSW-SYS005), and the Strategic Priority Research Program "Multi-waveband Gravitational Wave Universe" (grant no. XDB23000000). L.L. acknowledges the support by the Erasmus Mundus Joint Doctorate Program via grant no. 2013-1471 from the EACEA of the European Commission. L.S. acknowledges the support by the Joint NSFC-ISF Research Program (no. 11361140349), jointly funded by the National Natural Science Foundation of China and the Israel Science Foundation. B.Z. acknowledges NASA NNX14AF85G for support.

      : Appendix

       

      Table 7.  Color Indices and Their Relation to Spectral Indices for the Golden Sample

      GRB Time g–r ${\beta }_{o}^{\mathrm{CI}}$ Time r–i ${\beta }_{o}^{\mathrm{CI}}$ Time i–z ${\beta }_{o}^{\mathrm{CI}}$ Time J–H ${\beta }_{o}^{\mathrm{CI}}$ Time H–Ks ${\beta }_{o}^{\mathrm{CI}}$
        (ks)   (g–r) (ks)   (r–i) (ks)   (i–z) (ks)   (J–H) (ks)   (H–Ks)
      071025 0.175 0.21 ± 0.89 0.69 ± 2.97 0.175 1.82 ± 0.87 5.70 ± 2.73
      071025 0.210 0.53 ± 0.25 1.77 ± 0.83 0.210 1.14 ± 0.28 3.55 ± 0.87
      071025 0.246 0.88 ± 0.21 2.93 ± 0.72 0.246 1.18 ± 0.20 3.69 ± 0.62
      071025 0.282 0.98 ± 0.17 3.27 ± 0.58 0.282 1.03 ± 0.16 3.21 ± 0.49
      071025 0.318 0.99 ± 0.19 3.31 ± 0.63 0.318 0.99 ± 0.18 3.09 ± 0.56
      071025 0.355 0.81 ± 0.17 2.69 ± 0.56 0.355 1.07 ± 0.18 3.34 ± 0.55
      071025 0.391 0.82 ± 0.16 2.74 ± 0.54 0.391 1.06 ± 0.16 3.31 ± 0.49
      071025 0.427 0.97 ± 0.17 3.25 ± 0.58 0.427 1.20 ± 0.16 3.75 ± 0.51
      071025 0.463 0.79 ± 0.13 2.63 ± 0.42 0.463 0.97 ± 0.13 3.03 ± 0.41
      071025 0.499 0.77 ± 0.12 2.55 ± 0.39 0.499 1.27 ± 0.11 3.96 ± 0.36
      071025 0.554 0.81 ± 0.09 2.69 ± 0.30 0.554 1.13 ± 0.09 3.54 ± 0.28
      071025 0.626 0.90 ± 0.11 2.99 ± 0.36 0.626 0.95 ± 0.11 2.98 ± 0.33
      071025 0.698 0.83 ± 0.10 2.75 ± 0.33 0.698 1.04 ± 0.10 3.26 ± 0.31
      071025 0.771 0.79 ± 0.08 2.62 ± 0.27 0.771 0.85 ± 0.09 2.66 ± 0.29
      071025 0.844 0.80 ± 0.12 2.68 ± 0.40 0.844 1.09 ± 0.13 3.41 ± 0.39
      071025 0.917 0.67 ± 0.12 2.24 ± 0.39 0.917 1.10 ± 0.12 3.44 ± 0.38
      071025 0.989 0.86 ± 0.11 2.88 ± 0.38 0.989 0.98 ± 0.12 3.05 ± 0.38
      071025 1.08 0.87 ± 0.13 2.91 ± 0.44 1.08 1.04 ± 0.13 3.24 ± 0.40
      071025 1.19 1.00 ± 0.10 3.33 ± 0.33 1.19 0.99 ± 0.10 3.09 ± 0.30
      071025 1.30 0.76 ± 0.11 2.53 ± 0.37 1.30 1.04 ± 0.12 3.26 ± 0.37
      071025 1.41 0.79 ± 0.09 2.62 ± 0.30 1.41 1.12 ± 0.10 3.50 ± 0.31
      071025 1.52 0.81 ± 0.08 2.70 ± 0.25 1.52 0.95 ± 0.09 2.97 ± 0.28
      071025 1.62 0.69 ± 0.08 2.31 ± 0.27 1.62 0.87 ± 0.10 2.73 ± 0.30
      071025 1.73 0.75 ± 0.08 2.51 ± 0.25 1.73 0.96 ± 0.09 2.99 ± 0.29
      071025 1.84 0.72 ± 0.07 2.41 ± 0.25 1.84 0.91 ± 0.09 2.85 ± 0.28
      071025 1.95 0.68 ± 0.08 2.27 ± 0.27 1.95 0.96 ± 0.10 3.00 ± 0.32
      071025 2.06 0.72 ± 0.09 2.40 ± 0.30 2.06 1.03 ± 0.11 3.21 ± 0.33
      071025 2.17 0.84 ± 0.09 2.81 ± 0.30 2.17 0.82 ± 0.11 2.57 ± 0.35
      071025 2.28 0.82 ± 0.10 2.74 ± 0.34 2.28 0.92 ± 0.12 2.86 ± 0.37
      071025 2.39 0.85 ± 0.09 2.85 ± 0.31 2.39 1.04 ± 0.11 3.24 ± 0.34
      071025 2.49 0.70 ± 0.11 2.33 ± 0.35 2.49 1.03 ± 0.13 3.21 ± 0.40
      071025 2.60 0.62 ± 0.12 2.08 ± 0.40 2.60 0.84 ± 0.15 2.61 ± 0.48
      071025 2.71 0.79 ± 0.12 2.63 ± 0.41 2.71 1.02 ± 0.15 3.19 ± 0.46
      071025 2.86 0.87 ± 0.13 2.89 ± 0.42 2.86 1.01 ± 0.14 3.15 ± 0.45
      071025 3.08 0.77 ± 0.10 2.58 ± 0.33 3.08 1.12 ± 0.11 3.50 ± 0.36
      071025 3.35 0.69 ± 0.11 2.31 ± 0.38 3.35 1.04 ± 0.14 3.24 ± 0.44
      071025 3.66 0.88 ± 0.11 2.92 ± 0.37 3.66 0.99 ± 0.13 3.10 ± 0.41
      071025 10.8 0.47 ± 0.27 1.55 ± 0.91 10.8 1.11 ± 0.32 3.47 ± 1.00
      071025 14.9 0.86 ± 0.33 2.88 ± 1.12 14.9 0.89 ± 0.41 2.77 ± 1.27

      Only a portion of this table is shown here to demonstrate its form and content. A machine-readable version of the full table is available.

      Download table as:  DataTypeset image

      Footnotes

      • 12 

        We note that the last burst satisfying our criteria is GRB 130925A.

      • 13 
      • 14 

        RV ≡ AV/EB−V is the total-to-selective extinction ratio, where the color excess EB−V ≡ ABAV is the difference between the extinction in B and V bands.

      • 15 

        We assume a typical value of 0.75 for those bursts whose spectral indices are not available, which are indicated by ellipsis dots in Table 1.

      • 16 

        Hereafter we adopt the same convention for all Gaussian fits.

      • 17 

        We apply these afterglow models to the light-curve fitting in magnitude (linear)–time (log) space.

      • 18 
      • 19 

        We discard the observations of the early optical-afterglow emission of GRB 080319B since it lacks multiband observations.

      • 20 

        Throughout the paper, the convention Fν ∝ ν − βtα is adopted.

      • 21 

        u–g, g–r, r–i, i–z for the SDSS photometric system and UVW2–UVM2, UVM2–UVW1, UVW1–U, U–B, B–V, V–R, R–I, I–J, J–H, H–K for the commonly UBVRI photometric system.

      • 22 

        UVW2(1880 Å), UVM2(2170 Å), UVW1(2510 Å), U(3650 Å), B(4400 Å), V(5500 Å), R(6588 Å), I(8060 Å), J(12350 Å), H(16620 Å), K(22000 Å).

      • 23 

        u(3596 Å), g(4586.9 Å), r(6219.8 Å), i(7640.7 Å), z(8989.6 Å).

      • 24 

        We focus on five color indices (g–r, r–i, i–z, J–H and H–Ks) for our Golden sample and 10 color indices (UVW2–UVM2, UVM2–UVW1, UVW1–U, U–B, B–V, V–R, R–I, I–J, J–H and H–K) for our Silver sample.

      • 25 

        We uniformly added different numbers to make a fixed set of offsets to different bands. For the Golden sample: g: 6, r: 5, i: 4, z: 3, J: 2, H: 1, K: 0; For the Silver sample: UVW2: 12, UVM2: 9, UVW1: 8, UVM1: 7, U: 7, B: 5, V: 4, R: 3, I: 2, J: 1.5, H: 1, K: 0, u: 14, g: 11, r: 10, i: 9, z: 8.

      • 26 

        We note that these results are similar to the ones if only CIs with simultaneous observations for all five CIs are selected.

      • 27 

        The uncertainty of the value stems from the method of obtaining the host extinction. If the extinction value of each energy band is constant, then the derived CIs will also be constant.

      • 28 

        Note that if several similar emission phases exist at different times in a single burst, we merge them together and calculate the mean value. This is applied for GRB 021004 and GRB 071031 (with two late flares).

      • 29 

        GRB 980425/SN 1998bw (Galama et al. 1998), GRB 030329/SN 2003dh (Resmi et al. 2005), GRB 050525A/SN 2005nc (Della Valle et al. 2006b), GRB 060218/SN 2006aj (Campana et al. 2006), GRB 081007/SN 2008hw (Olivares et al. 2015), GRB 091127/SN 2009nz (Cobb et al. 2010), GRB 100316D/SN 2010bh (Cano et al. 2011a), GRB 101219B/SN 2010ma (Olivares et al. 2015), GRB 120422A/SN 2012bz (Melandri et al. 2012), GRB 130215A/SN 2013ez (Cano et al. 2014), GRB 130427A/SN 2013cq (Xu et al. 2013), 130702A/SN 2013dx (D'Elia et al. 2015), GRB 130831A/SN 2013fu (Cano et al. 2014).

      Please wait… references are loading.
      10.3847/1538-4365/aaa02a