Abstract
Direct numerical simulations of three-dimensional compressible magnetohydrodynamic (MHD) turbulence have been performed in order to study the relation between wave modes and coherent structures and the consequent energization of test particles. Moreover, the question of which is the main mechanism of this particle energization is rigorously discussed. In particular, using the same initial conditions, we analyzed the nonlinear and linear evolution of a turbulent state along with the case of randomized phases. Then, the behaviors of the linear and nonlinear simulations were compared through the study of the time evolution of particle kinetic energy and preferential concentration. Also, spatiotemporal spectra were used to identify the presence of wave modes and quantify the fraction of energy around the MHD modes in linear and nonlinear simulations. Finally, the variation of the correlation time of the external forcing is studied in detail along with the effect on the particle energization (and clustering) and the presence of wave modes. More specifically, particle energization tends to decrease when the fraction of linear energy increases, supporting the idea that energization by structures is the dominant mechanism for particle energization instead of resonance with wave modes as suggested by Fermi energization theory.
Export citation and abstract BibTeX RIS

Original content from this work may be used under the terms of the Creative Commons Attribution 4.0 licence. Any further distribution of this work must maintain attribution to the author(s) and the title of the work, journal citation and DOI.
1. Introduction
One of the first and most influential explanations for the origin of cosmic-ray radiation was proposed by Enrico Fermi in 1949 (Fermi 1949). In that work, he argued about particles that could interact and resonate with passing Alfvén waves to achieve high kinetic energy. This explanation was later refined into the quasi-linear theory (QLT), which gave clear conditions for this resonance (Stix 1992). In terms of particle energization, QLT provides an estimation for diffusion coefficients in momentum space. However, these calculations rely on the assumption of weak turbulence (Chandran 2005, 2008), where each field is decomposed into a mean background value plus a small-amplitude fluctuation described as a collection of weakly interacting waves.
For plasmas in a fully developed turbulent regime, such as some astrophysical plasmas, these assumptions are not fulfilled and QLT is no longer adequate. Moreover, in the so-called strong turbulence regime, the main role in particle energization is played by self-consistent structures (Dmitruk et al. 2004; Dmitruk & Matthaeus 2006; González et al. 2017; Lemoine 2021; Balzarini et al. 2022; Pezzi et al. 2022; Pugliese & Dmitruk 2022). Particles are able to exploit the electric fields present in these structures to obtain a net energization during a whole gyroperiod (Dmitruk et al. 2004; Pugliese & Dmitruk 2022). In the presence of a guide field, this energization is mainly perpendicular for protons and other heavy ions. Recent theoretical (Lemoine 2021) and numerical studies (Greco et al. 2014; Pezzi et al. 2022; Pugliese & Dmitruk 2022) have shown that some structures are also able to capture protons, which greatly enhances their energization capabilities.
On larger spatial scales, the magnetohydrodynamic (MHD) model provides a comprehensive explanation of interplanetary space plasmas, including the solar wind and planetary magnetospheres (Goedbloed et al. 2010). Within this framework, two distinct descriptions of the turbulence phenomenon can be considered. On one hand is the wave behavior, which describes field fluctuations as a collection of waves allowed by the MHD approximation, such as Alfvén waves or magnetoacoustic waves in the plain compressible case (see Galtier 2006). On the other hand is the well-known strong turbulence regime, in which a broadband spectrum of fluctuations with coherent structures and the presence of intermittency, including nonpropagating fluctuations, is present in wavenumber and frequency spaces (see Pouquet & Yokoi 2022). To analyze the wave and strong turbulence regimes, a spatiotemporal spectral analysis of the fields can be performed (see Clark di Leoni et al. 2015a; Meyrand et al. 2015). The scenario emerging from this analysis is one in which both the wave and turbulent behaviors of the fluctuations could coexist without contradictions (Dmitruk & Matthaeus 2009). This is supported by in situ observations, such as those of the solar wind, which shows both wave and turbulent behaviors in fluctuations (Barnes 1979; Tu & Marsch 1995; Sahraoui et al. 2020). It is worth mentioning that spatiotemporal analysis has been used to investigate incompressible hydrodynamic and incompressible and compressible MHD turbulence from experimental and numerical data (Clark di Leoni et al. 2014; Lugones et al. 2016, 2019; Andrés et al. 2017; Brodiano et al. 2021; Kawachi et al. 2022).
Charged test particles provide a useful representation of a small fraction of charged particles in a plasma that can be energized by the fields; however, neglecting the feedback of the particles into the electromagnetic field—which would require a kinetic description of the plasma—limits their application. Despite this, charged test particles are commonly used to study the energization of charged particles in different scenarios. In any case, electromagnetic fields need to be prescribed and it is usual to do this in Fourier space (Dalena et al. 2012; Tautz & Dosch 2013). Multiple models are available to provide the amplitudes simulating turbulent spectra such as Slab or 2D (Shalchi 2009), while phases are usually taken as random and uncorrelated. For example, in solar wind a combination of 20% Slab/80% 2D is realistic at a heliocentric distance of 1 au (Bieber et al. 1996). Another approach is to use electromagnetic fields obtained from the evolution of MHD equations (Dmitruk et al. 2004; Dalena et al. 2014; González et al. 2016; Pugliese & Dmitruk 2022).
For example, in the case of protons interacting with MHD fields in the presence of a guide field, energization is mainly perpendicular (Dmitruk et al. 2004), although parallel energization may also be important due to shear flow coming from the viscosity MHD term. This parallel energization could even become dominant with the inclusion of kinetic effects (Drake et al. 2010; Li et al. 2017). Comprehensive nonlinear focused and Parker-type kinetic transport theories have been developed to model the acceleration of statistical test particles due to interaction with dynamic coherent nonpropagating magnetic structures in the form of contracting and merging small-scale flux ropes or magnetic islands. These models, which include compression acceleration, incompressible shear flow acceleration, and acceleration by parallel electric fields, provide a good account of observed small-scale flux-rope acceleration events identified in the inner as well as outer heliosphere (Zank et al. 2014, 2015; le Roux et al. 2015, 2019; Zhao et al. 2018, 2019).
One important question is whether the wave or strong turbulent picture of the background plasma is more pertinent for the energization of the charged particles. In the present work, we concentrate specifically on this issue, analyzing the behavior of charged test particles with different techniques to determine the effect of the full MHD evolution of the field versus an evolution where nonlinearities are artificially suppressed, resulting in only linear (wave) behavior. Our study provides important insights into the behavior of charged particles in plasmas and how they are energized by the surrounding fields.
The paper is organized as follows: in Section 2, we introduce the theoretical compressible magnetohydrodynamic (CMHD) set of equations and we present the linearized and dimensionless version. Then, we show the dispersion relation of the MHD wave modes, with a brief explanation of the spatiotemporal spectral technique. Finally, we present the equations regarding charged test particles and describe the Voronoi tessellation method, used to quantify the concentration of particles in space. In Section 3, we describe the numerical setup for nonlinear and linear simulations along with some details about phase randomization for the linear runs and particle integration. In Section 4, we present our results. Finally, in Section 5 we summarize our main findings.
2. Theory
2.1. Compressible MHD Equations
The three-dimensional CMHD model is given by the mass continuity equation, the induction equation for the magnetic field, the momentum Navier–Stokes equation, and a polytropic state equation (relating pressure and densisty) and involves fluctuations of the velocity field u , density ρ, and magnetic field B = B 0 + b , where B 0 is the mean field and b is the fluctuating part:




Note that changes in the absolute value of the magnetic field B0 involve modifying the relative amplitude between the initial fluctuations b and B0 (with the initial conditions untouched). In addition, P is the scalar isotropic pressure, J = (4π/c) ∇ × B is the electric current, γ = 5/3 is the polytropic index, and μ and η are the dynamic viscosity and magnetic diffusivity, respectively. The main purpose of these last terms is to dissipate energy at scales smaller than MHD scales, while allowing us to study compressible effects at the largest scales with an adequate scale separation.
The set of Equations (1)–(4) can be written in a dimensionless form in terms of a characteristic length scale L0, a mean scalar density ρ0 and pressure P0, and a typical magnitude of magnetic and velocity fields brms and
(i.e., the rms Alfvén velocity), respectively. Then, the unit time is t0 = L0/urms, which for MHD becomes the Alfvén crossing time. The resulting dimensionless equations are




where Ms
= v0/Cs
is the sonic mach number and
is the sound speed. The kinetic and magnetic nominal Reynolds numbers are also defined as Re
= L0
v0/ν and Rm
= L0
v0/η, respectively, with ν = μ/ρ0 the kinematic viscosity.
In this work, we are interested in the weakly compressible case, which we achieve by setting Ms
= 0.25. This ensures small density fluctuations, which in our simulations implies
between 13% and 17%, comparable to solar wind fluctuations (Hadid et al. 2017; Andrés et al. 2021; Brodiano et al. 2023).
Considering a static equilibrium (u0 = 0) with homogeneous external magnetic field
B
0 = B0
a constant density ρ0, and a constant pressure P0, we can linearize Equations (5)–(8):



where the polytropic Equation (4) was used to replace the pressure in the equations.
2.2. Compressible MHD Wave Modes
In order to study the CMHD normal modes, we use Equations (9)–(11) and obtain the dispersion relation ω( k ) of small-amplitude waves propagating in a plasma. It is straightforward to show that there are three independent propagating modes (or waves), which correspond to the so-called Alfvén waves (A) and fast (F) and slow (S) magnetosonic waves (e.g., Fitzpatrick 2014):


where
is the plasma beta, i.e., the ratio of plasma pressure to magnetic pressure, which can expressed as
with
the Alfvén velocity, Cs
as defined above, and
with ∥ and ⊥ the wavenumber components along and perpendicular to the external magnetic field, respectively. It is worth noting that B0 is a parameter and has no relation to the initial fluctuations of the system. On one hand, Alfvén waves are incompressible fluctuations transverse to the external magnetic guide field
B
0. On the other hand, both fast and slow modes, unlike Alfvén modes, carry density fluctuations, and their magnetic field perturbations have longitudinal and transverse components. In the case of fast modes, the magnetic field and the plasma are compressed by the wave motion, such that the restoring force is large and hence the frequency and the propagation speed are high. For slow modes, the magnetic field oscillation and the pressure variation are anticorrelated with each other such that the restoring force acting on the medium is weaker than that for the fast mode. For this reason the frequency and the propagation speed are the lowest among the three MHD wave branches. Note that for the perpendicular propagation (i.e., k∥ = 0 and k⊥ ≠ 0), the Alfvén and slow modes become nonpropagating modes (i.e., ωA,S = 0) and are degenerate, but they can be distinguished using their different polarizations, since δ
B∥A = 0 and δ
B∥S ≠ 0 (Andrés et al. 2017). Finally, it is worth mentioning that we adopt the assumption that energy concentrated close to the linear dispersion relation can be explained by linear and weak turbulence theories, while any spread away from those linear curves is a sign of strong turbulence that requires fully nonlinear theories to be understood (see Andrés et al. 2017; Brodiano et al. 2021).
2.3. Spatiotemporal Spectrum
Determining the spatiotemporal spectrum consists of calculating the complete spectrum in wavenumber and frequency for all available Fourier modes in a numerical simulation or an experiment (Clark di Leoni et al. 2014, 2015a). As a result, it can distinguish modes that satisfy a given dispersion relation (and are thus associated with waves) from those associated with nonlinear structures or turbulent eddies, and quantify the amount of energy carried by each of them at different spatial and temporal scales. It is worth mentioning that this method does not require the preexistence of wave modes or eddies. In the following, the spatiotemporal magnetic energy spectrum is defined as

where
is the Fourier transform in space and time of the i-component of the magnetic field
B
(
x
, t) and the asterisk implies the complex conjugate. The magnetic energy is associated with the trace of Eij
(
k
, ω).
As the external magnetic field
B
0 in the simulations points along
, in practice, we will consider either i = j = y or i = j = z, to identify different waves based on their polarization (either transverse or longitudinal with respect to the guide field). In all cases, the acquisition frequency (the cadence at which the data are saved for analysis) was at least 2 times larger than the frequency of the fastest wave, and the total time of acquisition was longer than the period of the slowest wave in the system. It is worth mentioning that spatiotemporal spectra have been used before in numerical simulations and experiments on rotating turbulence (Clark di Leoni et al. 2014), stratified turbulence (Clark di Leoni & Mininni 2015), quantum turbulence (Clark di Leoni et al. 2015b), and incompressible MHD turbulence simulations (Meyrand et al. 2015, 2016; Lugones et al. 2016), compressible MHD turbulence (Andrés et al. 2017; Brodiano et al. 2021) and in spacecraft observations (Sahraoui et al. 2003, 2010). Quantifying the relative presence of waves and/or nonlinear structures is the main outcome expected from the spatiotemporal analysis. In particular, we use the spatiotemporal spectra to search for the presence of waves and quantify the energy found near their respective dispersion relations in linear and nonlinear MHD turbulence.
2.4. Test Particle Equations
We studied charged particles evolving with the dynamical MHD fields, but those fields are unaffected by the particles (i.e., test particles). The dynamics of a test particle in an electromagnetic field are given by the nonrelativistic equation of motion:

where the electric field E is obtained from Ohm's law, and its dimensionless (using a characteristic electric field E0 = v0 B0/c) expression is

While a more general version of this law includes the electronic pressure (i.e., ∇Pe /ρ) and the Hall term (i.e., J × B /ρ), here we neglect them in order to simplify the analysis and interpretation of the results and to maintain consistency with the compressible MHD equations introduced in the previous sections. Several works have studied the effect of these terms on test particles (Dmitruk & Matthaeus 2006; Balzarini et al. 2022; Pugliese & Dmitruk 2022). As such, density fluctuations will not directly affect particle motion through Equation (16), but could allow the existence of magnetosonic wave modes for the particles to interact with.
The parameter α is related to the charge-to-mass ratio and represents the gyrofrequency ωg in a magnetic field of intensity brms (Pugliese & Dmitruk 2022). Its inverse value 1/α represents the nominal gyroradius rg (in units of L0) for particles with velocity v0 in a magnetic field brms, and gives a measurement of the range of scales involved in the system (from the outer scale of turbulence to the particle gyroradius). For plasmas with a strong magnetic field amplitude B0, we can define an average gyroperiod τp = 2π/ωg = 2π/α B0. In the case of protons, we can relate α to the MHD field parameter through

where
is the proton inertial length, with m and e the proton mass and charge, respectively. Furthermore, in the present paper, we identify the proton inertial length with the dissipation scale di
= ld
, given the solar wind observations supporting di
∼ ld
(e.g., Leamon et al. 1998).
2.5. Particle Energization and Clustering
Recently, Pugliese & Dmitruk (2022) reported a link between high energization of test particles and a preferential concentration (clustering) for test particles. In the present work, to quantify this preferential concentration, we employ the Voronoi tessellation method and compare volume statistics against a random Poisson process (RPP; see Monchaux et al. 2010; Obligado et al. 2014; Reartes & Mininni 2021). In particular, this process provides a cell for each particle, whose volume
can be interpreted as the inverse of the local particle density. Therefore, by studying the statistics of these volumes, we can quantify any preferential concentration that may be present in the system. In addition, we compared against those of a uniform distribution in space, known as RPP (Uhlmann 2020). One statistical tool we use is the standard deviation of the volumes
, which should coincide with σRPP for a uniform distribution and increases as the preferential concentration increases.
In the aforementioned work it was found that particles accumulated in regions where ∇⊥ · u ⊥ = ∂x ux + ∂y uy < 0. Through Equation (16) this also implies (∇ × E )z < 0 and thus a clockwise rotating electric field. Therefore, in these regions the electric force and particle gyration are aligned and there is positive energization after a whole gyroperiod, known as betatron acceleration. This, in combination with the trapping effect of ∇⊥ · u ⊥ < 0, makes this mechanism very effective at energizing particles.
3. Numerical Setup
3.1. Nonlinear Simulations
The nonlinear simulations are performed by numerically solving Equations (1)–(4) using a pseudospectral method with periodic boundary conditions in a cube of size Lbox = 2π. This scheme ensures exact energy conservation for the continuous-time spatially discrete equations (Mininni et al. 2011), where we use a spatial resolution of N3 = 5123 Fourier modes. Time integration is achieved through a second-order Runge–Kutta method. Aliasing is removed using the two-thirds truncation method (Orszag 1971), such that the maximum wavenumber resolved is κ ≡ N/3 = 170. To ensure the resolution of the smallest scales (κ > kd
), we use kinematic and magnetic Reynolds numbers of Re
= Rm
≈ 2400. Here,
is the Kolmogorov dissipation wavenumber (which defines the dissipation scale ld
= 2π/kd
), with ν = μ/ρ0 the kinetic viscosity and
d
the energy dissipation rate.
In order to reach a steady turbulent state, the system is forced using mechanical and electromotive forces
f
and ∇ ×
m
, respectively. These forces are generated with random phases in the Fourier k-shells 2 ≤ ∣
k
∣ ≤ 3 every correlation time τc
, which is also a controlled parameter in the simulations. Forces at intermediate times are obtained by linearly interpolating the previous and next steps. We repeat this procedure for three different values of τc
, yielding the three different stationary states summarized in Table 1. The length scale and timescale are defined individually for each simulation. For the characteristic length scale L0, we use the energy-containing scale L0 = 2π∫(E(k)/k)dk/∫E(k)dk where E(k) is the isotropic energy spectrum. For the velocity scale, we use the Alfvén velocity of the magnetic field fluctuations
. For the timescales, we alternatively use the large eddy turnover time t0 = L0/v0 and the particle gyroperiod τp
= 2π/α
B0, depending on whether we analyze field or particle properties. Finally, as seen in Table 1, we have a ratio of mean magnetic field to magnetic field fluctuation (B0/brms) of 1:9, similar to values reported in the solar wind (Hadid et al. 2017; Andrés et al. 2022).
Table 1. Global Quantities for Nonlinear Simulations
| Run | τc /τp | Lbox/L0 | L0/ld | B0/brms | urms/v0 |
|---|---|---|---|---|---|
| NL1 | 1.146 × 101 | 2.53 | 59.79 | 8.97 | 1.73 |
| NL2 | 1.146 × 100 | 2.43 | 54.69 | 9.16 | 1.71 |
| NL3 | 2.865 × 10−1 | 2.83 | 65.86 | 8.49 | 1.49 |
Note. Quantities shown are energy injection scale, dissipation scale, mean magnetic field, and characteristic velocity obtained with different forcing correlation times. All magnitudes are similar, allowing us to compare the simulations on an equal footing.
Download table as: ASCIITypeset image
3.2. Linear Simulations
The linear simulations are performed in the same way as the nonlinear ones but we cancel all the nonlinear terms in the MHD equations, as shown in Equations (9)–(11). In the absence of nonlinear terms, there is no energy cascade from the injection scale L0 to smaller scales. Therefore, modes with wavenumber k outside the forced shell would quickly vanish in the presence of the dissipation terms in Equations (10) and (11). To counter this, we evolve the fields in Equations (9)–(11) without forcing and without dissipation (i.e., Re , Rm → ∞), thus ensuring a constant energy spectrum. Furthermore, we use a fourth-order Runge–Kutta scheme for temporal integration, as the second-order scheme becomes unstable in the absence of dissipation terms.
The initial conditions for the linear simulations are given by different variations of the initial conditions used in NL1, as summarized in Figure 2. For the L run, we use these initial conditions unchanged, while for the LR run we perform a phase randomization. We achieve this by transforming each Fourier coefficient
for all the scalar fields ρ, uj
, and bj
, where ϕ
k
are random phases independently chosen for each
k
and ψ. We then enforce the necessary conditions on the resulting fields (i.e., hermiticity, Coulomb gauge). These first two runs are built to have the same energy spectra as NL1, but thoroughly destroy any cross-field correlation and structures present in the initial conditions of NL1 for the LR run (Alexakis et al. 2007). This is because phase synchronization is a consequence of nonlinear evolution and plays an essential role in the generation of coherent structures (Kuramoto 1984). In Figure 1 are shown perpendicular slices of Jz
for the initial conditions of both the L and LR runs. The L run displays current sheets as coherent structures, which are destroyed for the LR run after phase randomization.
Figure 1. Perpendicular slices of the current density Jz at t = 0 (initial condition) for the L and LR runs, showing how phase randomization destroys coherent structures (current sheets) generated by the plasma.
Download figure:
Standard image High-resolution imageFigure 2. Schematic diagram showing how the initial conditions of each linear run are constructed from the initial conditions of the NL1 run.
Download figure:
Standard image High-resolution imageThe final two runs LR80 and LR40 use the same Fourier coefficients as LR, but imposing ψ k = 0 for ∣ k ∣ > 80 and ∣ k ∣ > 40, respectively. As this process slightly reduces the total energy, we compensate by uniformly rescaling all the Fourier coefficients, thus preserving any power-law behavior.
3.3. Particle Integration
Initially, particles were uniformly distributed in the box with a Gaussian velocity distribution function, with an rms value of
. As shown in Table 1, this value lies between the Alfvén velocity v0 and the rms value of the velocity field urms. Furthermore, we chose α = 60 for the particles, which is consistent with the values of L0/ld
for all simulations. The numerical integration of Equation (15) was done by a Runge–Kutta method with the same order as that used for field integration (see above). The values of the fields at each particle position are obtained by cubic splines in space from the three-dimensional grid of the MHD simulation. The particle trajectories were integrated for ∼300τp
.
4. Results
4.1. Linear versus Nonlinear
In this section, we compare the dynamics of test particles in the nonlinear run NL1 versus the dynamics in the linear counterparts L, LR, LR80, and LR40. We begin with the evolution of the mean particle energy, showing separately the perpendicular and parallel components to the magnetic guide field in Figures 3(a) and (b), respectively. As is known for protons interacting with MHD fields, energization is much higher in the perpendicular direction (represented here by the x component) than in the parallel direction (represented here by the z direction). For both directions, it is clear that the linear case L has significantly smaller energization than the full nonlinear simulation NL1. However, for the phase-randomizing (LR) run, the energization increases greatly and surpasses that of the NL1 run. Truncating the spectra at ∣
k
∣ = 80 (LR80 run) has very little effect, but truncating at ∣
k
∣ = 40 (LR40 run) greatly reduces the energization, giving values similar to the linear L run. Furthermore, in the perpendicular case shown in Figure 3(a) all the linear runs seem to display a diffusive or subdiffusive behavior (in momentum space)
with α ≲ 1. This fact suggests that the underlying mechanism for energization (in the linear case) is analogous to that of Brownian motion, with delta-correlated energy increments. In this analogy, particles would have a very strong and time-localized interaction with the fields. In the context of QLT, this very strong interaction could be understood as a resonance with some specific wave present in the system. This high energization quickly removes the particle from the resonance condition within a few gyroperiods, thus ensuring that the interaction is localized in time.
Figure 3. Time evolution of the mean kinetic energy for the perpendicular (left) and parallel (right) components, for the nonlinear and linear simulations. For the timescale, we used the particle gyroperiod τp .
Download figure:
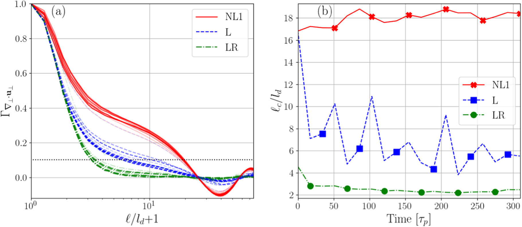
Standard image High-resolution imageOn the other hand, energization in the nonlinear case is superdiffusive, which is related to interaction between particles and self-consistent structures present in the plasma, as discussed in Section 2.5. With this in mind, we could relate the drop in energization as NL1 → L to the disappearance of structures in the plasma due to the linear evolution. In Equations (12) and (13) we see that waves in the CMHD model are indeed dispersive and as such they will destroy any structure initially present in the system. To investigate this, we calculated the radial two-point autocorrelation Γ of ∇⊥ ·
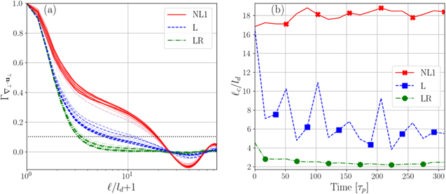
u
⊥ in the plane perpendicular to the magnetic guide field. In Figure 4(a) we show the autocorrelation at multiple times (darker colors represent later times). From these curves, we calculated the correlation length ℓc, defined in this case as the displacement at which the autocorrelation drops below 10% (horizontal dotted black line). In Figure 4(b) we show the autocorrelation length ℓc as a function of time, where we note that in the NL1 run ℓc
≈ 18ld
holds during the whole simulation. On the other hand, the linear run L starts with a similar value to the NL1 run but very quickly drops to ℓc
≈ 8ld
and then slowly decreases toward that of the LR run (ℓc
≈ 2ld
), which by construction should have negligible correlation (see Section 3.2). Therefore, this confirms that the linear evolution eliminates most structures initially present in the field in less than 20τp
, preventing particles from exploiting the energization mechanism described in Section 2.5. To further check this claim, in Figure 5 we show the standard deviations of the Voronoi volumes as a function of time. We see that the NL1 run quickly increases its clustering while all the linear runs remain very close to uniformity. The slight increase in their
could mean that this mechanism still survives in some small-scale regions, but given the diffusive energization of Figure 3 we could consider this effect secondary at best.
Figure 4. (a) Radial two-point autocorrelation Γ of ∇⊥ · u ⊥ in the plane perpendicular to the magnetic guide field at multiple times (later times are represented by darker colors) as a function of the displacement length ℓ normalized by the dissipation scale ℓd, for nonlinear and linear simulations. (b) Correlation length ℓc, normalized by ℓd, as a function of time; the correlation length ℓc is obtained as the displacement length ℓ at which the autocorrelation Γ drops below 10% of its maximum value (indicated by the dotted line in part (a)).
Download figure:
Standard image High-resolution imageFigure 5. Standard deviation of the Voronoi volumes normalized by the standard deviation for a uniform distribution, as a function of time for nonlinear and linear simulations.
Download figure:
Standard image High-resolution imageWe turn now to the comparison of the linear energization runs amongst themselves. Having discarded interaction with structures in the linear cases, we are left only with wave–particle resonant interaction. The first observation is that the phase randomization L → LR seems to vastly increase particle energization. This fact mainly shows the importance of the phase mixing hypothesis in QLT. The L run clearly does not fulfill this hypothesis, as its initial conditions are derived from a fully nonlinear turbulent simulation and as such display high phase correlation. Alternatively, we could visualize the wave–particle interaction as a conjunction of resonance in terms of frequency and an initial alignment between the field and particle velocity. This alignment is more easily achieved under the phase mixing hypothesis, while for a turbulent state phases do not actually fill every possible value at all frequencies.
We can visualize these different energization mechanisms by computing the two-dimensional probability density function (PDF) of particle velocities at the end of each simulation. The clear geometrical difference of each PDF shown in Figure 6 suggests that each mechanism is fundamentally different, as the data are normalized to the unit variance. This normalization removes the blatant anisotropy in energization (as shown in Figure 3) and allows us to concentrate on statistical properties. Close to the origin, all distributions are elliptic (although with different foci). As we move from the origin, each distribution changes significantly. In particular, for the NL1 run, they tend to rhombi reminiscent of a constant 1-norm (i.e., ∣vx
∣ + ∣vz
∣ = const.), suggesting that simultaneously high perpendicular and parallel energization is unlikely, as expected from this structural energization (high-vz
particles are difficult to trap). For the L run, the shapes are clearly circular, corresponding to a constant 2-norm (
const.) or kinetic energy. This is consistent with two independent Gaussian variables, as expected from a diffusive process in momentum space. Finally, the LR run is less clear, with shapes similar to rectangles reminiscent of a constant ∞-norm (
const.).
Figure 6. Two-dimensional PDF of particle velocities normalized by its standard deviation at the end of the simulation for the NL1, L, and LR runs (left to right). The contours display different geometries, implying different underlying mechanisms for energization.
Download figure:
Standard image High-resolution imageBy comparing the LR run with its truncated counterparts LR80 and LR40, we first see that the first truncation (i.e., LR → LR80) has very little effect on particle energy, implying that particles resonate mainly with waves of ∣ k ∣ < 80. Furthermore, the second truncation LR80 → LR40 reduces energization to even lower than the L run, showing that particles resonate mainly with waves of ∣ k ∣ > 40. Two-dimensional velocity distributions for the LR80 and LR40 runs (not shown here) are very similar to those for LR and L in Figure 6, respectively. While the similarity between LR80 and LR is to be expected, that between LR40 and L is not obvious and seems to show that the two runs share the same energization mechanism. This last fact implies that changes in the phase distribution of the waves could be as important as changes in the energy spectrum.
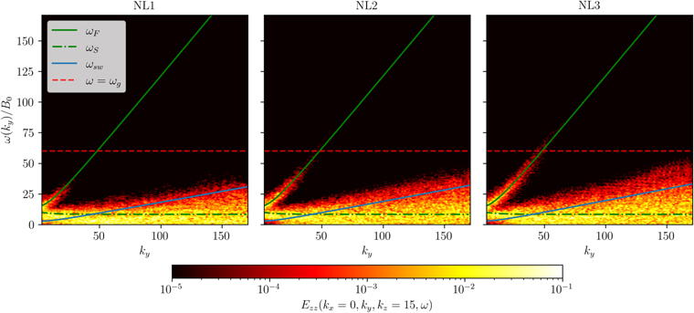
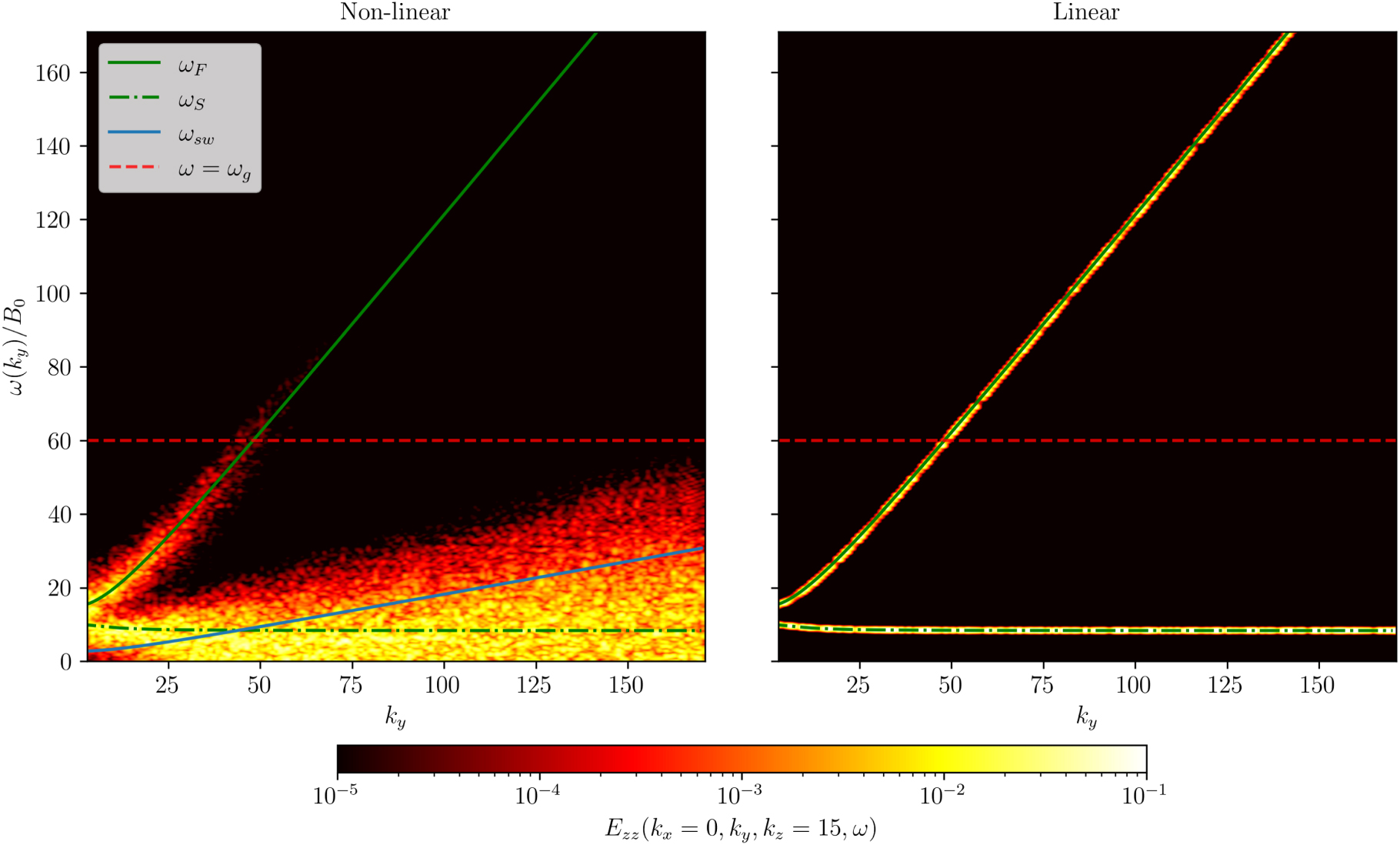
In order to distinguish between the presence of waves and structures in a plasma and to investigate which dominate the dynamics, the spatiotemporal spectra were used (e.g., Clark di Leoni et al. 2015a; Andrés et al. 2017). Therefore, we resolved the waves in time and space by choosing a very high cadence at which to store the magnetic field, in particular we used dt = 2.5 × 10−4 as the temporal sampling rate. It is worth mentioning that we assumed that the energy concentrated around the linear dispersion relation can be explained by linear and weak turbulence theories (Chandran 2005, 2008), while any spread away from the dispersion relation is a sign of strong turbulence that requires fully nonlinear theories to be understood. Figure 7 shows the spatiotemporal spectrum of the parallel magnetic field Ezz
(kx
= 0, ky
, kz
= 0, ω) for the NL1 and L runs (the other linear runs have similar spectra to the L run), i.e., we separate the linear case from the nonlinear one. The dispersion relations for the fast and slow magnetosonic waves given by Equation (13) are shown as green solid and green dashed–dotted lines, respectively. Also, we include the particle gyrofrequency ωg
, which lies in the wavenumber range 40 < ∣
k
∣ < 80, and the characteristic sweeping frequency given by
(see Lugones et al. 2016). As we expected, for the linear run L, the magnetic energy is located around the magnetosonic branches, while for the nonlinear run NL1, the energy accumulates mainly in the slow waves (with ω/B0 = 0 or nonpropagating modes) for all wavenumbers. We also noted a small amount of energy spread along the fast branch for low wavenumbers. However, in the nonlinear case, most of the energy is spread across the spectrum due to its turbulent dynamic.
Figure 7. Spatiotemporal spectrum Ezz (kx = 0, ky , kz = 0) for the magnetic field fluctuations parallel to B0, for the runs NL1 (left) and L (right). The spectrum is shown as a function of ω and ky for fixed kx = k∥ = 0. The green solid and the green dashed–dotted lines correspond to the linear dispersion relations of fast magnetosonic waves (ωF) and slow magnetosonic waves (ωS), respectively. We include the particle gyrofrequency ωg (dashed line) and the sweeping frequency wsw (blue line).
Download figure:
Standard image High-resolution imageFurthermore, the absence of sweeping in the linear case is also useful for understanding the low energization in the L run. As shown in Figure 4, correlation quickly drops during linear evolution but not quite enough to reach the LR case, which implies that some structures may survive longer. The absence of sweeping produced by the linear evolution means these surviving structures are not advected by the flow. However, test particles are advected, thus making trapping more difficult and preventing any surviving structure from effectively energizing particles.
4.2. The Effect of τc on Particle Energization
For this section, we repeated the analysis from the last section with the simulations NL2 and NL3, which differ from the NL1 run in the correlation time of the forcing, τc
(see Table 1). Energization is qualitatively similar to that of NL1 (as shown in Figure 3), but not quantitatively. The same occurs for the correlation length and volume deviation
, as summarized in Table 2 (energization and
are calculated at the end of the simulation). We see that both energization and correlation length decrease along with τc
, while
displays no clear tendency and remains mostly similar. First, the reduction of ℓc
/ld
could be expected, as faster forcing (lower correlation time) prevents structures from being stable, for lack of either size or intensity. Second, we could conclude that particles tend to accumulate similarly in all cases, but their ability to exploit energization mechanism diminishes for lower τc
.
Table 2. Particle-related Quantities in Nonlinear Simulations
| Run | τc /τp | ℓc /ld |
|
|
|
|---|---|---|---|---|---|
| NL1 | 1.146 × 101 | 18.0 | 24.3 | 1.87 | 2.23 |
| NL2 | 1.146 × 100 | 15.2 | 20.3 | 1.98 | 2.13 |
| NL3 | 2.865 × 10−1 | 14.4 | 15.6 | 1.70 | 1.85 |
Note. Quantities shown are forcing correlation time, field correlation length, mean value of the perpendicular energization, volume deviation, and clustered time of the particles for nonlinear simulations. While correlation length, energization, and clustered time decrease with τc , volume deviation remains mostly constant.
Download table as: ASCIITypeset image
Therefore, we need another way to quantify particle interaction with structures, including some dynamical information. For this purpose, we performed Voronoi tessellation for each time step and calculated whether the particle was clustered. We define a particle as clustered when its cell volume
is lower than some threshold value
, which is obtained by comparing the PDF of the cell volume with that of an RPP (see references in Section 2.5 for more details). As seen in Figure 5, clustering takes some time to settle, and as such the label "clustered" may not mean much initially. Toward the end of the simulation, "clustered" is almost equivalent to "trapped inside a structure." Then, we can determine when and where particles are accumulating and therefore calculate the continuous time they spent clustered. We define a streak as an interval of (discrete) time for which the particle is clustered and its duration as
. In particular, we calculated the mean streak time
for each simulation by averaging over all streaks from all particles and display it in the last column of Table 2. Particles are clustered for around two full gyroperiods in all cases, but the mean time decreases with τc
. This shows that while the clustering is very similar instantaneously for all runs, there is more exchange (between clustered and unclustered particles) in low-
τc
simulations, suggesting clusters become more feeble and unstable with shorter correlation time. For smaller values of τc
, the rapidly changing forcing may be experienced by particles as kicks that remove them from the structures trapping them.
To further perform this streak analysis, we related it directly with particle energization. For this, we separated our data into intervals of duration n τp (n = 1, 2, 3) and we selected particles that are clustered during this time (whose streaks contained the interval under study). For these particles, we calculated their mean perpendicular energization during these intervals and display it in Figure 8. We can see that after ∼100τp (long enough for clustering to settle), energization becomes exponential in time.
Figure 8. Mean of the structure function of the perpendicular particle energization for intervals with time duration n τp (where n = 1, 2, 3). We selected particles that are clustered during this time.
Download figure:
Standard image High-resolution imageIn order to understand this, we propose a very simple model for the interaction with these structures. If we write the particle velocity in terms of its parallel and perpendicular components v = v ⊥ + v ∥, we can define the perpendicular energy as ε⊥ = ∣ v ⊥∣2/2. Using Equation (15), we could derive an evolution equation for the perpendicular energy ε⊥,

with α defined in Equation (17). The first term
corresponds to net energization while the second relates to exchange with parallel energy, such as pitch-angle scattering. Averaging over one gyroperiod,

where we have approximated the trajectory on the perpendicular plane as circular and then used Stokes' theorem, with a minus sign accounting for the clockwise circulation. For a strong guide field, we could approximate Equation (16) as
E
⊥ ≈ –
u
⊥ ×
B
0 and therefore the parallel component of its curl is
. Expanding the integral at the lowest order in the gyroradius Rg
, we achieve

Using Rg = ∣ v ⊥∣/α B0 and recalling the definition of ε⊥, we can substitute in Equation (18) to obtain

which for approximately constant ∇⊥ · u ⊥ < 0 predicts an exponential increase for ε⊥. As pointed out in Section 2.5, this is produced by the alignment of electric field and particle velocity and could be understood as betatron-like acceleration (Swann 1933) following the plasma flow, which trapped particles naturally do.
The slopes in Figure 8 represent λ and are very similar, suggesting that clustered particles are energized at the same rate. The difference in energization observed in Table 2 must therefore be related to the time each particle spends clustered, as shown by
. Particles can leave structures in basically three ways: (a) escaping vertically due to high vz
, (b) reaching the maximum allowed gyroradius, or (c) being pushed out by some fluctuation. We disregard option (a) as particles in all simulations have very similar parallel energization (not shown). Option (b) implies that the gyroradius Rg
= v⊥/α
B0 is comparable to the size of the structures, which could be taken as ℓc and would be reasonable considering how it depends on τc
(see Table 2). We can calculate the required kinetic energy as
, which is achieved by practically no particle (less than 1 particle in 104) and as such cannot be the dominant cause. This leaves option (c) as the last and main possibility, suggesting that structures are less robust against fluctuations and thus weaker. In the wave/turbulence dichotomy, we could attribute this weakness to the prevalence of waves over structures in the system, to which we will dedicate the next section.
4.3. The Effect of τc on Spatiotemporal Spectra
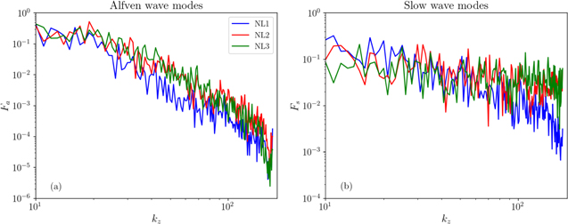
For the study of the relevance of waves in the system for different τc , we quantitatively analyze the spatiotemporal magnetic spectra. Figure 9 shows the spatiotemporal spectrum of the perpendicular magnetic field fluctuation component Exx (kx = 0, ky = 15, kz , ω) for the NL1, NL2, and NL3 runs. For an easy comparison, we show the dispersion relation for the Alfvén, fast, and slow magnetosonic waves as blue dashed, green dashed–dotted, and orange solid lines, respectively. We also added the particle gyrofrequency and the sweeping frequency as red dashed and blue solid lines, respectively. We observed that the energy is mainly located around the slow branch and, to a lesser extent, around Alfvén waves. Moreover, as τc decreases (i.e., as we move from NL1 to NL3), the energy around wave modes increases for lower values of kz . In fact, it is worth noting that as we increase the correlation time the energy tends to spread slightly toward the sweeping frequency. This result is indeed compatible with the behavior of ℓc /ld , as the sweeping energy is mostly related to the nonlinear structures (see Table 2).
Figure 9. Spatiotemporal spectrum Exx (kx = 0, ky = 15, kz ) for the magnetic field fluctuations perpendicular to B0. The spectrum is shown as a function of ω and k∥ (kz ) for fixed kx = 0 and ky = 15. The blue dashed, green dashed–dotted, and orange solid lines correspond to the linear dispersion relations of Alfvén waves (ωA), of slow magnetosonic waves (ωF), and of fast magnetosonic waves (ωS), respectively. We include the particle gyrofrequency ωg and the sweeping frequency as red dashed and blue solid lines, respectively.
Download figure:
Standard image High-resolution imageIn order to analyze the magnetosonic modes, we studied the spatiotemporal spectrum of a parallel magnetic field fluctuation Ezz (kx = 0, ky , kz = 15). Figure 10 shows the same trend that we observed in Figure 9. In fact, the energy around the fast branch decreases noticeably as we increase τc . It is worth mentioning that the slow branch is completely immersed in the sweeping region, therefore we cannot come to a conclusion about the increase (or decrease) in the magnetic energy around the slow mode. However, in the case of NL1, the energy is more concentrated around ω = 0 than for smaller values of the correlation time, and the sweeping frequency correctly delimits this energy.
Figure 10. Spatiotemporal spectrum Ezz (kx = 0, ky , kz = 15) for the magnetic field fluctuations parallel to B0, for the runs L and NL1. The spectrum is shown as a function of ω and ky for fixed kx = 0 and k∥ = 15. The green solid and the green dashed–dotted lines correspond to the linear dispersion relations of fast magnetosonic waves (ωF) and of slow magnetosonic waves (ωS), respectively. We include the particle gyrofrequency ωg and the sweeping frequency as red dashed and blue solid lines, respectively.
Download figure:
Standard image High-resolution imageFor a more precise study, we used an integration method to quantify the amount of energy near the different wave modes in each spatiotemporal spectrum. Clark di Leoni et al. (2015a) calculated the ratio of the energy accumulated near these wave modes to the total energy in the same wavenumber as

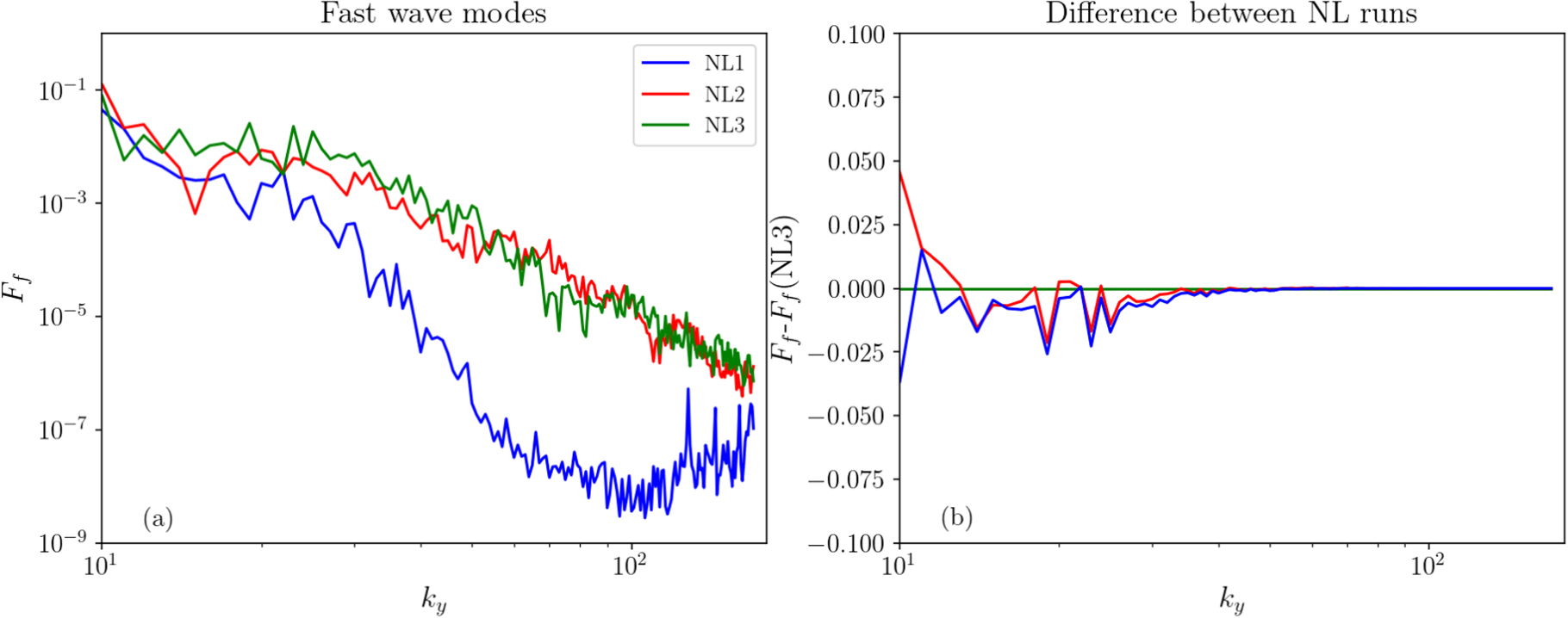
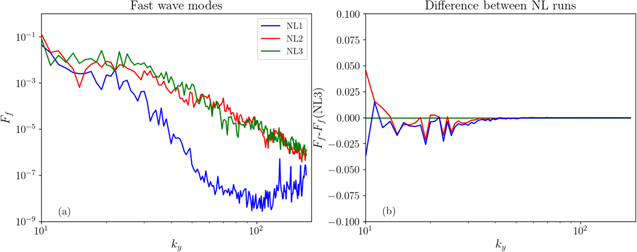
with ωA,F,S the frequencies that satisfy a certain dispersion relation (and the Exx (kz ) component is an illustrative example only). Figure 11 shows the energy around (a) Alfvén and (b) slow magnetosonic waves for runs NL1, NL2, and NL3. In particular, we observe that the amount of energy near the slow branch is similar as we increase the correlation time. However, for small scales (kz ∼ 100), the energy in run NL1 tends to be smaller than in the rest of the simulations as a result of the energy moving toward the sweeping frequency. In the case of Alfvén modes, most of the energy is concentrated around low wavenumbers and it tends to decrease for higher kz . It is worth noting that we are not including the fast branch since most of the energy is not located around this wave mode. Figure 12 shows (a) the energy near fast magnetosonic waves for runs NL1, NL2, and NL3 and (b) the difference between NL3 and the first two nonlinear simulations. We observe that the energy located around the fast branch reaches its maximum value for the smallest wavenumbers. Moreover, we obtained a significant growth of the energy as the correlation time decreases. Finally, the NL1 run differs from the NL3 run by 11%.
Figure 11. Quantification of the amount of energy around (a) Alfvén and (b) slow magnetosonic branches presented in the spatiotemporal spectrum Exx (kx = 0, ky = 15, kz ).
Download figure:
Standard image High-resolution imageFigure 12. (a) Quantification of the amount of energy around the fast magnetosonic branch presented in the spatiotemporal spectrum Ezz (kx = 0, ky , kz = 15). (b) Difference between the NL3 run and the rest of the nonlinear simulations.
Download figure:
Standard image High-resolution image5. Conclusions
In the present work, we investigated the interplay of linear waves and coherent structures in compressible MHD turbulence and how this affects test particle (proton) energization. We compared a nonlinear evolution against a linear evolution of the same initial turbulent state. This initial state is obtained from a fully nonlinear evolution, which is more realistic than the usual spectral models with random phases. We found that for this initial state, energization in the linear case is much lower than in the nonlinear case. However, this situation inverts after the phases of the initial state are randomized, showing the relevance of phase distribution in particle energization. This last numerical result allow us to reinterpret the role of phases in particle energization, which is usually treated as secondary to that of the spectra. Additionally, this result shows that linear evolution, no matter how realistic the spectrum is, cannot faithfully reproduce energization observed from a nonlinear evolution.
We showed that wave–particle interactions are mainly in modes 40 < ∣
k
∣ < 80, which for Alfvén waves is consistent with ωA ≈ ωg
. This could be related to second-order Fermi energization ω ± kz
vz
= ωg
in the reasonable limit ωg
≫ kz
vz
. First-order Fermi energization (ω = ±kz
vz
) requires ∣vz
∣ ≈ vA ≈ 9v0, which we observed from the parallel energization in Figure 3 is not likely, as the mean particle energy is much lower than
. A similar reasoning follows for the fast magnetosonic waves, whose frequency ω and resonant velocity ω/kz
are even higher. On the other hand, first-order Fermi energization is more likely to happen in the slow magnetosonic waves and is the only possible mechanism left for the LR40 run.
The fact that the L and LR40 runs have similar energization mechanisms and rates is striking, as it further reinforces the role of phases in particle energization. If slow magnetosonic waves are responsible for the energization in the LR40 run, they must also be for that in the L run. However, this is unlikely, as their phase and energy distributions are different in each run because phase randomization decorrelates and tends to evenly distribute energy between the different branches. According to our numerical results, it would seem that phase distribution is very important for long-wavelength waves and becomes practically irrelevant for short-wavelength waves. This result suggests that the simple picture of particles resonating with one wave at a time may be misleading and perhaps resonance broadening is enhanced for such complex spectra. The PDFs of Figure 6 seem to imply that the energizations of L/LR40 and LR/LR80 are fundamentally different.
Furthermore, we analyzed the effect of the correlation time of the external forcings τc on the spatiotemporal spectra and the particle energization. Here, we further discussed the trapping and energization mechanism of the structures, showing that clustered particles energize exponentially. As described, these structures could be interpreted as contracting flux ropes (mostly parallel to the guide field) advected by the flow (Kagan et al. 2013; Du et al. 2018). Evolutions with higher τc tend to trap particles for longer periods of time, thus allowing them to better exploit this mechanism. Based on spatiotemporal spectra, we showed that higher values of τc reduce the energy in the fast magnetosonic and Alfvén branches, while also moving energy closer to the sweeping region. This shows that higher-frequency forcings (low τc ) induce relatively more linear waves in the system, taking away energy from nonlinear structures. As a result, trapping is less effective because the fluctuations find it easier to remove particles from coherent structures.
Therefore, we could argue that particle energization decreases as the fraction of linear energy increases. This further confirms that energization by structures is dominant, as the increase in wave energy is not enough to compensate the loss in particle energization due to weaker structures. We also showed strong evidence of the importance of trapping in the particle energization process and in particular the relationship between this effect and the persistence of structures with the correlation time of the forcing. An interesting follow-up could be the study of particles with different charge-to-mass ratios (see previous work in Pugliese & Dmitruk 2022).
Given that resonances can be close to the Larmor scale, the inclusion of the Hall term could be relevant. Regarding the nonlinear case, previous work has shown that this term has little effect on particle energization (Dmitruk & Matthaeus 2006; Balzarini et al. 2022), partly because waves at the Larmor scale experience heavy damping. In the linear case, the addition of the Hall terms splits the Alfvén mode into the ion cyclotron mode (lower frequency) and the whistler mode (higher frequency; e.g., Fitzpatrick 2014). For our current set of parameters, the whistler mode would be faster than the fast magnetosonic mode, so we would similarly expect this mode to have little effect on particle energization. Therefore, the slower ion cyclotron mode would effectively replace the role played by the Alfvén mode in particle energization. Being slower than the Alfvén mode, the resonance condition would require waves with higher wavenumber, whose energy would be smaller for any reasonable power-law spectrum, and thus would lead to less particle energization than displayed here. As such, an important follow-up work could be the comparison of the linear versus nonlinear cases considering the Hall MHD approximation. It is worth noting that, because of the high frequency of whistler waves, much greater computational resources would be required to ensure stable numerical integration. Nevertheless, we believe that the present work can shed light on the understanding of the complex process of particle energization in turbulent scenarios (Marino & Sorriso-Valvo 2023), such as those found in interplanetary space and more general astrophysical contexts (Bruno & Carbone 2013).
Acknowledgments
The authors acknowledge financial support from CNRS/MINCyT ECOS SUD 2022 No. A22U02. N.A. acknowledges financial support from the following grants: UBACyT 20020190200035BA. P.D. acknowledges financial support from PIP grant Nos. 11220150100324 and 11220200101752 and PICT grant No. 2018-4298.














