Abstract
Magnetic fluctuations in the solar wind are often observed to maintain constant magnitude of the magnetic field in a manner consistent with spherically polarized large-amplitude Alfvén waves. We investigate the effect of spherical polarization on the magnetic spectral index through a statistical survey of magnetic fluctuations observed by Parker Solar Probe between 20 R⊙ and 200 R⊙. We find that deviations from spherical polarization, i.e., changes in ∣B∣ (compressive fluctuations) and one-dimensional discontinuities, have a dramatic effect on the scaling behavior of the turbulent fluctuations. We show that shallow k−3/2 spectra are only observed for three-dimensional structures of constant magnetic field strength, which we identify as large-amplitude Alfvén waves. The presence of compressive fluctuations coincides with a steepening of the spectrum up to k−5/3. Steeper power-law scalings approaching k−2 are observed when the fluctuations are dominated by discontinuities. Near-Sun fluctuations are found to be the most spherically polarized, suggesting that this spherical state is fundamental to the generation of the solar wind. With increasing distance from the Sun, fluctuations are found to become less three-dimensional and more compressive, which may indicate the breakdown of the Alfvénic equilibrium state.

Original content from this work may be used under the terms of the Creative Commons Attribution 4.0 licence. Any further distribution of this work must maintain attribution to the author(s) and the title of the work, journal citation and DOI.
1. Introduction
The solar wind is a collisionless magnetized plasma characterized by nonlinear turbulent interactions through which energy cascades from large to small scales (Bruno & Carbone 2013). The energy spectra of solar wind fluctuations typically follow power-law-type distributions; the power-law index, γ, of these fluctuations is an important diagnostic for our understanding of the relevant nonlinear processes that cascade energy from large to small scales. Equivalently, the scale dependence of the fluctuation amplitudes can be described by the scaling exponent of the second-order structure function, αB , with αB = −(1 + γ) for an asymptotically long inertial range. Observations from the Parker Solar Probe (PSP) mission show that the scaling of turbulent magnetic field fluctuations in the inner heliosphere is αB = 1/2 (Chen et al. 2020; Sioulas et al. 2023), which is consistent with three-dimensional, anisotropic turbulence (Boldyrev 2006; Chandran et al. 2015; Mallet & Schekochihin 2017). The αB = 1/2 scaling has often been recovered by simulations (Perez & Boldyrev 2009; Mallet et al. 2016; Chandran & Perez 2019; Meyrand et al. 2019); however, magnetic field fluctuations at 1 au typically have a steeper scaling with αB = 2/3 (Horbury et al. 2008; Podesta et al. 2010; Roberts 2010; Chen et al. 2013; Wicks et al. 2013).
The mode composition of the fluctuations may contribute to the observed spectral index (Podesta & Borovsky 2010; Chen et al. 2013; Bowen et al. 2018; Sioulas et al. 2023). The observed fluctuations in the solar wind exhibit characteristics consistent with large-amplitude Alfvén waves, such as high cross-helicity and constant magnetic field magnitude (Belcher et al. 1969; Goldstein et al. 1974; Lichtenstein & Sonett 1980; Bale et al. 2019; Chaston et al. 2020; Chen et al. 2020; de Wit et al. 2020; McManus et al. 2020). This constant magnitude condition (
) can be described as spherical polarization, in which the magnetic field vector rotates on the surface of a sphere with radius ∣
B
∣. Measurements of the velocity fluctuations in the solar wind also show the signature of spherical polarization, further indicating the presence of large-amplitude Alfvén waves (Wang et al. 2012; Matteini et al. 2015; Raouafi et al. 2023). While strong spherical polarization is present, there are persistent subdominant fluctuations in ∣
B
∣. These compressive fluctuations are relatively poorly understood and have been attributed to a variety of sources. The magnetosonic slow mode, with small contributions from the fast mode, may make up the composition of the compressible fluctuations (Howes et al. 2012; Klein et al. 2012; Verscharen et al. 2017; Chaston et al. 2020). Pressure balance structures, the perpendicular limit of the slow mode, have also been suggested (Tu & Marsch 1995; Yao et al. 2011, 2013). The slow and fast waves may be subject to strong collisionless damping (Barnes 1966), but may be continually produced through various methods, e.g., the parametric decay instability (Derby 1978; Jayanti & Hollweg 1993; Tenerani & Velli 2013) or shearing (Roberts et al. 1992); the damping may also be suppressed in the presence of background turbulence (Meyrand et al. 2019). Chapman & Hnat (2007) suggest that the steepened spectrum at 1 au can be explained by independent scaling for the parallel (compressive) and perpendicular components of the fluctuations, where the compressive component scales with αB
= 2/3 and the perpendicular component scales with αB
= 1/2.
Discontinuities in the solar wind can also cause a deviation from the Alfvénic spherically polarized state (Bruno et al. 2001). One-dimensional discontinuities typically have αB = 1 scaling (Borovsky 2010; Li et al. 2011) and can affect the spectral index of the solar wind: the 2/3 scaling observed at 1 au has been attributed to their presence (Borovsky 2010; Li et al. 2011). Intermittency in the turbulent spectra has also been attributed to discontinuities. Salem et al. (2009) used numerical methods to remove discontinuities, and recovered αB = 2/3, with a scaling exponent of 1/2 for the velocity. Wu et al. (2023b) recovered monofractal scaling with αB = 2/3 for a near-perihelion PSP observation after numerically removing discontinuities, while Wu et al. (2023a) excluded convective structures from PSP observations from one coronal hole to obtain αB = 1/2. Discontinuities in the solar wind have been found to be mostly rotational, with some being tangential (Neugebauer 2006). Tangential discontinuities admit no plasma flow, while rotational ones are characterized by a large deflection of the magnetic field with no change in magnitude. Tangential discontinuities may be plasma barriers between two flux tubes (Bruno et al. 2001). Alternatively, they are the zero-width limit of pressure balance structures, which are nonpropagating structures characterized by a constant total pressure (Tu & Marsch 1995). Rotational discontinuities are typically thought to be steepened Alfvén waves (Neugebauer 2006). The magnetic "switchback" boundaries observed by Parker Solar Probe have also been analyzed as discontinuities, with similar distributions of discontinuity type to those found in the 1 au solar wind (Akhavan-Tafti et al. 2021; Larosa et al. 2021).
This work comprises a statistical survey of the magnetic field's fluctuation geometry in order to examine the effects of deviation from the spherically polarized state on the scaling behavior. We find that steepening from αB ≈ 1/2 to αB ≈ 2/3 can be attributed to the presence of compressive fluctuations, while steeper structure functions up to αB ≈ 1 are observed when fluctuations are dominated by discontinuities. The degree of spherical polarization depends on the solar distance, with fluctuations becoming less three-dimensional and more compressive. The spherical state of those observations closest to the Sun suggests that this state is fundamental to the origins of the wind.
2. Methods
Magnetometer time-series data from Encounters 1 through 8 of the Parker Solar Probe (Fox et al. 2016) Fields Experiment (FIELDS) are used, with a 1 s cadence (Bale et al. 2016). Location data for the spacecraft are from the JPL Horizons database (Giorgini 2015). Solar wind velocity data are unavailable or unreliable in many of the studied intervals and were thus excluded. We plan to analyze a reliable subset of these measurements in a future study.
Data are sorted into intervals that start every 500 s; the duration of the interval is set to equal 10 correlation times. Correlation times, TC (t), where t is the position in the time series of the start of the interval, are determined as the time it takes for the autocorrelation function, C(t, τ), to drop to 1/e. In particular,


where δ represents the deviation from the mean—i.e., δ B (t) = B (t) − 〈 B 〉. The correlation time is estimated to the nearest 50 s. If the correlation time was greater than 5000 s, the interval was discarded, requiring a maximum interval size of 50,000 s. Intervals were on average 10,523 s. Additionally, intervals where more than 5% of data were missing or where the magnitude squared of the magnetic field is less than 5 nT on average were discarded so that observed structures are resolvable within instrument precision. This noise threshold was varied with no significant change to the results. Any remaining NaN values are excluded from calculations. In this way, a total of 115,599 intervals are collected over the studied encounters. Results were affected minimally when nonoverlapping intervals were used—the significant overlap is chosen so that detailed statistics can be obtained at every studied solar distance. Once the correlation times are computed, we compute several parameters over each interval.
We define the compressibility of the magnetic field, CB (Chen et al. 2020), as a ratio squared of the compressible fluctuations to the incompressible fluctuations, in particular

where K
B
is the covariance matrix of the three-component magnetic field,
is the variance of the magnitude of the magnetic field, and angle brackets denote an average over the studied interval.
To distinguish between two- and three-dimensional structures, we develop a measure of the "three-dimensionality" of observations. We use a method similar to that employed by Bruno et al. (2001), in which the power of the variation along the directions of minimum and maximum variance is compared, but we consider only the perpendicular fluctuations because the constraint to the surface of a sphere that is relevant to spherically polarized cases limits variation to two degrees of freedom. This is accomplished by first taking the projection of the magnetic field onto the plane normal to the mean field, and then calculating the eigenvalues of the covariance matrix of the projected points. These eigenvalues represent the power in the variation in the directions of maximum and minimum perpendicular variance. We measure the perpendicular variance isotropy of each interval, Ψ, which is defined as

where λi are the eigenvalues. Thus, when Ψ = 0, variation in the perpendicular plane is in only one direction, and when Ψ = 0.5, variation is equally distributed along two axes. This process is illustrated for two intervals in Figure 1. We compute the Spearman correlation between Ψ and CB as −0.097 to verify that they carry independent information about our fluctuations.
Figure 1. Panels (A) and (C) show hodograms of the magnetic field for a compressible arc-like interval (A) and for an incompressible spherically polarized interval (C). The mean field vector is shown as a black line from the origin. Panel (B) shows the perpendicular magnetic field of the structure in panel (A), with its directions of maximum and minimum variance shown as arrows scaled by the size of the corresponding eigenvalue. Panel (D) likewise shows the perpendicular magnetic field of panel (C).
Download figure:
Standard image High-resolution imageTo calculate the scaling behavior of the magnetic field, the second-order structure function, δ B 2(τ), is used:

The structure function is calculated over the inertial range, using lags 20 s < τ < 180 s, averaged over the whole interval. It is then fitted versus τ in log–log space using a least-squares linear fit; the power-law scaling obtained is αB . For an asymptotically long inertial range, this is related to the magnetic spectral index, γ, by

3. Results
3.1. Global Statistics
Categorization by CB
and Ψ as described above yields a peaked distribution around approximately arc-polarized structures (Ψ ≃ 0.175;
, as estimated with a 400 bin 2D histogram), as seen in Figure 2. The compressibility was found to be uniformly small, which is consistent with past results (e.g., Chen et al. 2020) and the assumption of an Alfvénic solar wind. The mean value of CB
was found to be 0.067, representing that the compressive component was on average 26% of the amplitude of the trace fluctuations. However, the quartiles of CB
were 0.015, 0.038, and 0.085 respectively, reflecting a long-tailed distribution with most observations (68%) lower than the mean. Because CB
≪ 1 almost everywhere, variations in CB
are henceforth analyzed through
, shown in Figure 2(B).
Figure 2. Panel (A): the perpendicular variance isotropy, Ψ, along the x-axis, and compressibility,
, along the y-axis, form a basis to describe the geometry of observed structures. Each depicted structure is the hodogram of an interval of the magnetic field chosen to be as close as possible in Ψ and
values to its marked position. Hodograms are color-coded by the distance into the page, with the lightest points closest to the viewer. Each square is color-coded by the average αB
in the Ψ–CB
space contained. This αB
value is also recorded in white at the top of each square. The white and purple curves, respectively, show contours for observations inside 30 R⊙ and outside 200 R⊙. The solid, dashed, and dotted lines show, respectively, the 90th, 70th, and 50th percentiles of counts in a 100 bin 2D histogram. Panels (B), (C), and (D) show, respectively, the probability densities of
, Ψ, and αB
. The distributions of all studied intervals are shown in blue, for only data inside 30 R⊙ in orange, and for data outside 200 R⊙ in green.
Download figure:
Standard image High-resolution imagePerpendicular fluctuations were also most often mainly along one axis, with a mean Ψ of 0.23, representing that 77% of the power of the variation was in the direction of maximum perpendicular variance. Although the distribution was skewed left as seen in Figure 2(C), there were significant populations of observations exhibiting the full range of Ψ, with quartiles 0.14, 0.23, and 0.32. A total of 2.0% of observations had Ψ > 0.45, representing that the eigenvalue powers in the directions of minimum and maximum variance were within 5% of the total eigenvalue power of each other.
The distribution of αB shows good agreement with previous measurements (Podesta et al. 2010; Chen et al. 2013, 2020; Bowen et al. 2018). Most data points were collected far from the Sun due to the elliptical orbit of the spacecraft, with a median radial distance of 140 R⊙, and the mean observed αB = 0.65 ≈ 2/3, as we expect (Horbury et al. 2008; Podesta et al. 2010; Roberts 2010; Chen et al. 2013; Wicks et al. 2013). If data are selected from when the radial distance of the spacecraft from the Sun is R > 200 R⊙, a slightly steeper mean value of αB = 0.69 is observed. When data from R < 30 R⊙ are selected, we observe a shallow mean of αB = 0.49, in close agreement with previous estimates of 1/2 (Chen et al. 2020; Sioulas et al. 2023).
Figure 2(A) also shows that the scaling behavior is a function of both Ψ and the magnetic compressibility. An αB
≈ 1/2 structure function scaling, matching analytical models of the solar wind (Boldyrev 2006; Chandran et al. 2015; Mallet & Schekochihin 2017), is visible at low compressibility (
) and when Ψ > 0.25. These values match the characteristics of spherically polarized Alfvén waves, where the low magnetic compressibility shows that the constant magnitude condition is met.
The strongly one-dimensional structures we observe show very steep scaling (mean αB = 0.77 when Ψ < 0.05), consistent with observations of strong discontinuities, which have αB = 1 (Borovsky 2010; Li et al. 2011). These discontinuities would show strong variance along one axis, causing a low Ψ. The presence of one-dimensional discontinuities in populations with low Ψ could explain the increase in αB . The generally reported 1 au scaling, 2/3, is observed in those observations that are neither entirely one-dimensional nor of extremely low compressibility. The steeper structure functions of the more compressive observations suggest that the less Alfvénic observations have a different characteristic scaling behavior.
3.2. Correlation with Scaling Behavior
Correlations between Ψ and αB
and between
and αB
are further illustrated in Figure 3. Figure 3(A) shows the correlation between αB
and Ψ. This shows an interesting saturation behavior, where αB
does not significantly decrease for Ψ > 0.25. This suggests that the correlation with Ψ may only be a product of discontinuities, which appear for small Ψ, and that sufficiently isotropic perpendicular fluctuations produce the same scaling exponent. Fluctuations with Ψ ≃ 0.5 do not have αB
distributed around the 1/2 scaling observed in the pristine solar wind (αB
in this case is closer to 2/3, with mean αB
= 0.59 when Ψ > 0.49), suggesting that while discontinuities, or other mechanisms resulting in small Ψ, may steepen the spectrum beyond an αB
= 2/3 scaling, these processes do not determine the evolution from 1/2 to 2/3 scaling observed in the solar wind. The spectral index and the magnetic compressibility are known to depend on the solar distance (Chen et al. 2020; Sioulas et al. 2023), and we will show in Figure 5(A) that Ψ does as well. We therefore consider data constrained to two narrow ranges of radial distances, shown in Figures 3(B) and (C). The trends discussed above were consistent between different radii, although αB
was generally lower for smaller radii, as expected.
Figure 3. Panels (A), (B), and (C) show joint probability distributions of Ψ and αB
, with data column-normalized. Panels (D), (E), and (F) likewise show column-normalized joint probabilities of
and αB
. Panels (A) and (D) show all studied data, while panels (B) and (E) show data only in a 5 R⊙ bin centered around 177.5 R⊙. Panels (C) and (F) similarly show a 5 R⊙ bin at 37.5 R⊙. The dashed black line in each panel marks 2/3 scaling, while the dotted black line marks 1/2 scaling.
Download figure:
Standard image High-resolution imageHowever, we see a more complete range of scaling behavior when including analysis of the magnetic compressibility. Figure 3(D) shows the correlation between the log of the magnetic compressibility and αB
. Extremely incompressible intervals show αB
= 1/2. Higher compressibility trends toward a steeper scaling with a maximum average of about αB
= 2/3, until
, at which point we see a slight negative correlation. Observations of
occur very rarely (302 times—0.3% of observations), so this apparent negative trend may simply be scatter. Figures 3(E) and (F) show the same correlation with data constrained to two narrow ranges of radial distances, confirming that the correlation between CB
and αB
is not a function of radial distance.
3.3. Impact of Discontinuities
To examine whether the trend toward steeper scaling for more one-dimensional variation is due to a changing distribution of discontinuities, we introduce an independent method of selecting and removing discontinuities. This system of "discontinuity conditioning" is employed on the very one-dimensional intervals (Ψ < 0.05) to discern what characteristics they would have if no discontinuities were present. We employ nonoverlapping increments,

where n is an integer, and τ is the length of the increment, which we chose to be 20 s. The distribution of these small-scale increments in each interval is examined. Outliers further than three standard deviations from the mean increment were considered to mark discontinuities. This choice of threshold did not significantly affect the resulting distributions when it was between 2σ and 4σ. These outlier increment values are then subtracted from all subsequent times in the interval, with the intent of removing the effect of each discontinuity on the structure function while preserving most of the other features of the time series. The structure function, Ψ, and CB are then recomputed using the conditioned time series.
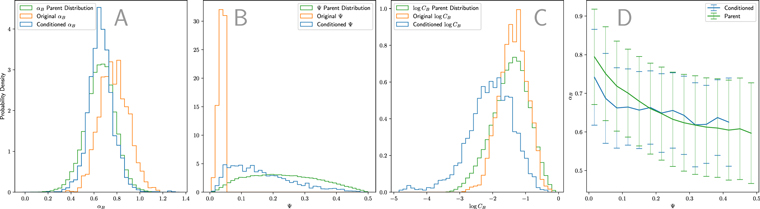
The conditioned distributions, which attempt to represent the background statistics of the 3009 intervals where Ψ < 0.05 in the absence of discontinuities, are shown in Figure 4. We see in Figure 4(A) that the distribution of αB is shifted significantly shallower, returning reasonably closely to the distribution of all intervals (the "parent distribution"). The mean shifts from 0.77 to 0.66, comparable to the mean of 0.65 of the parent distribution. This shift suggests that steep scaling was dominated by the presence of discontinuities, consistent with Borovsky (2010) and Li et al. (2011), and that the "background" scaling for low Ψ values without a dominant discontinuity was not significantly different than the ensemble of observations for all Ψ. Similarly, we see in Figure 4(B) that the conditioned Ψ is also distributed dramatically differently. Almost the full range of Ψ values are represented, although the conditioned distribution is slightly peaked toward low Ψ. Thus, we see that the discontinuities also dominated the observed variation, where strong one-dimensional variance was almost always due primarily to these discontinuities. The remaining peak at low Ψ may indicate that one-dimensional structures also remain in the conditioned distribution. It may also be an artifact of the arbitrary threshold chosen to define discontinuities. Figure 4(D) shows the average αB binned by Ψ for the conditioned and unconditioned data. We see that with the discontinuities removed, the relationship between the variables is less pronounced. This supports the hypothesis that the increase in αB as Ψ decreases (Figure 3(A)) is primarily due to the presence of discontinuities.
Figure 4. The figure shows the effect of the "discontinuity conditioning" described on those extremely one-dimensional observations where Ψ < 0.05. Panels (A), (B), and (C) show the effect on αB
, Ψ, and
, respectively, where orange shows unconditioned values for Ψ < 0.05, blue shows the conditioned distribution, and green shows the distribution for all intervals across the whole range of Ψ (the "parent distribution"). Panel (D) plots the average αB
for Ψ values in each of the 15 bins, with error bars showing the standard deviation. Conditioned αB
is plotted vs. conditioned Ψ in blue, while all unconditioned αB
values are plotted against all unconditioned Ψ values in green.
Download figure:
Standard image High-resolution imageFigure 4(C) shows the change in the magnetic compressibility distribution. Observations are shown to become much less compressive, suggesting that the compressive fluctuations were dominated by these discontinuities. However, the distribution is lowered significantly past the end of the parent distribution. Given that very incompressible nondiscontinuity structures are certainly observed, it is unlikely that this distribution is a realistic representation of the compressibility of the continuous parts of these observations—this change in distribution most likely signals that the conditioning scheme does not preserve the compressive variation well. We avoid a more detailed analysis of these "conditioned" sets because significant uncertainty remains about the effects of this conditioning scheme. However, this result is a compelling confirmation that the one-dimensional fluctuations are dominated by a discontinuity that steepens the scaling.
For each of the discontinuities identified by the method above, it is then of interest what type of discontinuity we observe. The discontinuity normals are computed with minimum and maximum variance analysis (MVA) applied to the 40 s surrounding each discontinuity (Sonnerup & Scheible 1998). To improve the accuracy of MVA and avoid the effects of wave activity near the discontinuities, we only consider cases where the ratio between the intermediate and minimum eigenvalues is greater than 10 (Knetter et al. 2004), which occurred 16.1% of the time, leaving 7519 cases for analysis. Results were not significantly different than those produced using a lower threshold. We then define ∣Δ∣ B ∣∣ as the difference in the magnitude of the field between the 60 s upstream of the discontinuity and the 60 s downstream, and ∣Bn ∣ as the mean magnitude of the magnetic field normal to the discontinuity. Discontinuity types are defined based on Neugebauer et al. (1984)'s classification of discontinuities as rotational, tangential, either, or neither, as listed in Table 1. This classification has also been used to understand the switchbacks observed by PSP (Akhavan-Tafti et al. 2021; Larosa et al. 2021).
Table 1. Discontinuity Type Criteria
| Type | Bn Condition | Δ∣ B ∣ Condition |
|---|---|---|
| Rotational | ∣Bn ∣/∣ B ∣ ≥ 0.4 | ∣Δ∣ B ∣∣/∣ B ∣ < 0.2 |
| Tangential | ∣Bn ∣/∣ B ∣ < 0.4 | ∣Δ∣ B ∣∣/∣ B ∣ ≥ 0.2 |
| Either | ∣Bn ∣/∣ B ∣ < 0.4 | ∣Δ∣ B ∣∣/∣ B ∣ < 0.2 |
| Neither | ∣Bn ∣/∣ B ∣ ≥ 0.4 | ∣Δ∣ B ∣∣/∣ B ∣ ≥ 0.2 |
Download table as: ASCIITypeset image
Categorizing the discontinuities thus, we find 36.4% rotational discontinuities, 9.0% tangential discontinuities, 54.7% either, and 0.0% neither. The strong discontinuities we observe with Ψ < 0.05 are on average at 163 R⊙, and these proportions are similar to previous results at 1 au (see Neugebauer 2006)—past results find between 10% and 15% tangential discontinuities, between 0% and 5% neither, and the rest are split between rotational discontinuities and "either." The high proportion of "either" designations we observe may be due to the low level of compressibility we see for the whole population, which requires that ∣Δ∣ B ∣∣/∣ B ∣ is small. We see that the discontinuities we select do not have significantly different statistics than those selected in past studies.
3.4. Radial Evolution
The spectral index is a function of radius (Chen et al. 2020; Sioulas et al. 2023), and this may be fundamentally linked to evolving fluctuation geometry. Figure 5(A) shows that fluctuations become less three-dimensional as the solar wind propagates out from the Sun, although the correlation between Ψ and the solar distance is small, with a Spearman correlation coefficient of −0.22. More one-dimensional fluctuation could be the result of increasing numbers of discontinuities generated by nonlinear interactions. Figure 5(B) shows the radial trend of the magnetic compressibility. The wind becomes significantly more compressive outside 60 R⊙, then maintains a more constant value. Chen et al. (2020) reported the evolution of the magnetic compressibility as CB ∝ r1.68±0.23, with significant scatter. Although this estimate covers the same range of values as this observation and has the same concavity, our result is not consistent with a power-law scaling. The dependence we do observe is notable for its similarity with that of the scaling exponent in Figure 5(C). The major steepening of αB we see in this range of radii happens between 20 R⊙ and 60 R⊙, where we can see in Figure 5(A) there are very few large discontinuities present. However, the relative size of the compressive fluctuations grows significantly. Then, the increase in αB in this range may actually be conditioned on the magnetic compressibility.
Figure 5. Panel (A) shows the evolution of Ψ with solar distance as a column-normalized joint probability. Panel (B) shows a column-normalized joint probability between the solar distance and
. In Panels (A) and (B), the average values in 10 R⊙ bins of Ψ and
, respectively, are plotted in black, with error bars giving the standard deviation in each bin. Panel (C) shows a column-normalized joint probability between the solar distance and αB
, with dashed and dotted black lines indicating, respectively, 2/3 and 1/2 scalings.
Download figure:
Standard image High-resolution image4. Conclusions
Analytic models for the scaling behavior of three-dimensional, anisotropic Alfvénic turbulence predict an αB = 1/2 structure function scaling (Boldyrev 2006; Chandran et al. 2015; Mallet & Schekochihin 2017). This work also recovers an approximately 1/2 scaling exclusively when the magnetic compressibility (C B in Equation (1)) is less than 0.01, and when the perpendicular fluctuations vary in two dimensions, with perpendicular variance isotropy (Ψ in Equation (2)) greater than 0.25. These statistics match descriptions of spherically polarized Alfvén waves. The structure function scaling is found to increase significantly to αB ≈ 1 for structures with variation in one extremely dominant direction (Ψ < 0.05) (Figure 2). This steep scaling matches descriptions of the αB = 1 scaling of discontinuities (Borovsky 2010; Li et al. 2011). Upon numerically removing discontinuities from these low-Ψ intervals, we find that the conditioned data sets have an underlying scaling behavior similar to the parent distribution, confirming that this steep scaling can be attributed to the presence of a large discontinuity (Figure 4). The observed one-dimensional variation itself is also found by this scheme to be mainly due to these discontinuities. We categorize the discontinuities we find, which are on average at 163 R⊙, as 36.4% rotational, 9.0% tangential, 54.7% either, and 0.0% neither. These proportions are similar to previous results at 1 au (Neugebauer 2006). Thus, the strong, steeply scaling, one-dimensional variation we observe matches previous descriptions of discontinuities in the solar wind.
Decreased Ψ is associated with very steep (αB > 2/3) scaling, and when Ψ is increased, the mean αB decreases. However, even when Ψ > 0.49, the mean αB = 0.59 > 1/2. This suggests that the distribution of discontinuities, or some other mechanism that increases Ψ, cannot fully explain the behavior of the magnetic scaling exponent, because a high Ψ, which we interpret as indicating the absence of discontinuities, does not result in the αB = 1/2 scaling observed closer to the Sun (Figure 3(A)). In addition to the effect of discontinuities, the structure function scaling is found to be conditioned by the magnetic compressibility. Incompressible fluctuations with CB < 0.01 are found to have αB ≲ 1/2, with more compressible structures associated with αB ≈ 2/3 (Figure 3(D)). This steeper scaling for compressible structures may be due to an independent parallel component of the magnetic field with steeper scaling, which is consistent with the result of Chapman & Hnat (2007) for the velocity fluctuations. The compressive fluctuations could be small-amplitude tangential discontinuities, which are known to have steep scaling (Tu & Marsch 1995). Alternatively, the compressive fluctuations are often attributed to the magnetosonic slow mode (Howes et al. 2012; Klein et al. 2012; Verscharen et al. 2017), which is coupled to the Alfvén mode by the parametric decay instability (Derby 1978; Jayanti & Hollweg 1993; Tenerani & Velli 2013). Nonlinear energy exchange between the slow and Alfvén modes may then affect the scaling behavior. To summarize, our result suggests that an α = 1/2 scaling is only possible when there are no compressive fluctuations present and that an α = 1 scaling is only observed in the presence of strong discontinuities.
Many previous authors have also observed that αB increases from 1/2 in the inner heliosphere to 2/3 outside about 60 R⊙ (Podesta et al. 2010; Roberts 2010; Wicks et al. 2013; Chen et al. 2020). We observe that Ψ is also correlated with solar distance, with Ψ decreasing as the solar wind streams out from the Sun (Figure 5). This may be a function of the increasing importance of discontinuities. As mentioned above, the behavior of Ψ is strongly controlled by the presence or absence of discontinuities. We may also be seeing some process that progressively destroys three-dimensional, spherically polarized Alfvén waves, for example, reflections or the parametric decay instability.
The magnetic compressibility also monotonically increases with radius. The very low CB we observe at small radii suggests that the primordial state of fluctuations in the corona is that of three-dimensional, spherically polarized Alfvén waves. The steepening of αB that we see between 10 and 60 R⊙ coincides with a large increase in CB . Given that the corresponding measurements of Ψ show that large discontinuities were rare in this range, the increase in compressibility may be a major factor in the increase of αB . The mechanism for the growth in the compressive fluctuations depends on their nature. The increase in compressibility may be caused by an increased distribution of tangential discontinuities, which could be increasingly generated from pressure balance structures. If the compressive fluctuations are dominated by the slow mode, we may be seeing an in-situ generation mechanism, e.g., the parametric decay instability of Alfvén waves. The compressibility is intimately connected with the Alfvénicity and may serve as a proxy for the cross-helicity, which has previously been shown to be related to the spectral index (Podesta & Borovsky 2010; Chen et al. 2013; Bowen et al. 2018; Sioulas et al. 2023). So, we can see the increase in compressibility as a breakdown of an Alfvénic equilibrium state, which coincides with spectral steepening. A study of the velocity fluctuations of the solar wind would lend insight into the relationship between CB , the cross-helicity, and the residual energy, and would reveal whether the velocity spectrum is similarly dependent on the compressibility.
Our observations may also be important in understanding the radial evolution of the constant magnitude "switchbacks" of the magnetic field that have been historically noted in various spacecraft data (Balogh et al. 1999; Neugebauer & Goldstein 2013) and are ubiquitous in the PSP data (Bale et al. 2019; Kasper et al. 2019; de Wit et al. 2020; Horbury et al. 2020; Raouafi et al. 2023). These structures are inherently associated with a constant-∣ B ∣ state (Raouafi et al. 2023), and observation of increased compressibility may be a signature of the decay of switchbacks via parametric decay (Tenerani et al. 2021) or other mechanisms. Furthermore, discontinuities observed at larger heliospheric distances are more compressible than the discontinuities observed in the inner heliosphere, which may suggest the growth of pressure-balanced structures or other non-Alfvénic boundaries rather than Alfvénic switchback rotations (Larosa et al. 2021). Switchbacks are thought to interact with the turbulent cascade of the solar wind (Bourouaine et al. 2020; Martinović et al. 2021), and a comprehensive study of switchback properties and their relationship with CB , ψ, and αB through the inner heliosphere may provide a significant constraint on the evolution of switchbacks and their relation to turbulence in the solar wind.
Acknowledgments
C.D. is supported by NASA PSP-GI grant No. 80NSSC21K1771 as well as by PSP FIELDS funding through NASA Contract No. NNN06AA01C.
Software: numpy (Harris et al. 2020), scipy (Virtanen et al. 2020), matplotlib (Hunter 2007), pandas (The pandas development team 2020), sunpy (The SunPy Community et al. 2020), astropy (Astropy Collaboration 2022).







