Abstract
We present a multiwavelength photometric and spectroscopic analysis of 13 super-Chandrasekhar-mass/2003fg-like Type Ia supernovae (SNe Ia). Nine of these objects were observed by the Carnegie Supernova Project. The 2003fg-like SNe have slowly declining light curves (Δm15(B) < 1.3 mag), and peak absolute B-band magnitudes of −19 < MB < −21 mag. Many of the 2003fg-like SNe are located in the same part of the luminosity–width relation as normal SNe Ia. In the optical B and V bands, the 2003fg-like SNe look like normal SNe Ia, but at redder wavelengths they diverge. Unlike other luminous SNe Ia, the 2003fg-like SNe generally have only one i-band maximum, which peaks after the epoch of the B-band maximum, while their near-IR (NIR) light-curve rise times can be ≳40 days longer than those of normal SNe Ia. They are also at least 1 mag brighter in the NIR bands than normal SNe Ia, peaking above MH = −19 mag, and generally have negative Hubble residuals, which may be the cause of some systematics in dark-energy experiments. Spectroscopically, the 2003fg-like SNe exhibit peculiarities such as unburnt carbon well past maximum light, a large spread (8000–12,000 km s−1) in Si ii λ6355 velocities at maximum light with no rapid early velocity decline, and no clear H-band break at +10 days. We find that SNe with a larger pseudo-equivalent width of C ii at maximum light have lower Si ii λ6355 velocities and more slowly declining light curves. There are also multiple factors that contribute to the peak luminosity of 2003fg-like SNe. The explosion of a C–O degenerate core inside a carbon-rich envelope is consistent with these observations. Such a configuration may come from the core-degenerate scenario.
Export citation and abstract BibTeX RIS
1. Introduction
Type Ia supernovae (SNe Ia) originate from the thermonuclear explosion of at least one C–O white dwarf (WD) in a binary system (e.g., Whelan & Iben 1973; Livne 1990; Iben & Tutukov 1984; Hoeflich & Khokhlov 1996). These luminous events follow empirical observational relationships that are fundamental for their use as extragalactic distance indicators (Pskovskii 1984; Phillips 1993; Phillips et al. 1999). This has led to the discovery of the accelerating expansion of the cosmos, or dark energy (e.g., Riess et al. 1998; Perlmutter et al.1999).
To date, there have been many subtypes of SNe Ia discovered, including 1991bg-like SNe (e.g., Filippenko et al.1992a; Leibundgut et al. 1993), transitional SNe (e.g., Hsiao et al. 2015; Gall et al. 2018), 2002cx-like SNe (e.g., Li et al. 2003; Foley et al. 2013), 2002es-like SNe (e.g., Ganeshalingam et al. 2012), 1991T-like SNe (e.g., Filippenko et al. 1992b; Phillips et al. 1992), and 2003fg-like SNe (e.g., Howell et al. 2006; Hicken et al. 2007). 2003fg-like SNe, which are also known as super-Chandrasekhar-mass SNe Ia, are among the rarest subtypes of SNe Ia. It was previously thought that all 2003fg-like SNe were overluminous and required more 56Ni to power the light curve than could be produced in a detonation of a nonrotating Chandrasekhar-mass (MCh) C–O WD (Howell et al. 2006; Hicken et al. 2007). Hence, they were named "super-Chandrasekhar-mass SNe." However, it has since become evident that not all 2003fg-like SNe are overluminous and their properties are more diverse (e.g., Taubenberger et al. 2019; Lu et al. 2021). Therefore, in this work, we follow the convention of naming the subtype after the first SN discovered in the group, SN 2003fg (Howell et al. 2006).
There have only been a handful of 2003fg-like SNe discovered and their observational traits are varied (Howell et al. 2006; Hicken et al. 2007; Yamanaka et al. 2009; Scalzo et al. 2010; Yuan et al. 2010; Silverman et al. 2011; Taubenberger et al. 2011; Chakradhari et al. 2014; Taubenberger et al. 2019; Hsiao et al. 2020; Lu et al. 2021). They do, however, share a few characteristics: They generally have broad light curves, low expansion velocity gradients before maximum light, and a very strong λ6580 C ii absorption feature that lasts well past the B-band maximum. They also peak in the i band well after the time of the B-band maximum (Ashall et al. 2020). Furthermore, 2003fg-like SNe do not show a distinct H-band break at +10 days past the B-band maximum, which is seen in normal SNe Ia (Taubenberger et al. 2011; Hsiao et al. 2019; Lu et al. 2021). This H-band break is directly linked to the distribution and bulk of 56Ni in the explosion (Wheeler et al. 1998). SN 2007if and SN 2009dc show low continuum polarizations, which suggest spherical explosions (Tanaka et al. 2010; Cikota et al. 2019). SN 2012dn and LSQ 14fmg show evidence of a dense circumstellar medium (CSM) (Nagao et al. 2017; Hsiao et al. 2020). The majority of 2003fg-like SNe occur in low-metallicity, low-surface-brightness galaxies with high specific star formation rates (sSFRs) (Childress et al. 2011; Hsiao et al. 2020; Lu et al. 2021; L. Galbany et al. 2021, in preparation).
There are several theoretical models that have been proposed for 2003fg-like SNe. An early suggestion is the violent merger of two WDs that exceed MCh (Howell et al. 2006; Scalzo et al. 2010). Alternatively, others have suggested these bright SNe experience interaction with a dense CSM (Hachinger et al. 2012; Noebauer et al. 2016). This is also referred to as an envelope model (Hoeflich & Khokhlov 1996). Such an explosion may occur from the explosion of a degenerate core of an asymptotic giant branch (AGB) star in the core-degenerate scenario (Kashi & Soker 2011; Hsiao et al. 2020; Lu et al. 2021) or from the disruption of a C–O WD with surrounding circumstellar dust (Nagao et al. 2017, 2018). Finally, the explosion of a C–O WD that exceeds the classical nonrotating MCh limit due to rapid rotation or strong magnetic fields may also be a viable model (Yoon & Langer 2005; Das & Mukhopadhyay 2013). The current data set of 2003fg-like SNe is sparse, and it has not been possible to disentangle the effects predicted by these scenarios.
The Carnegie Supernova Project I and II (CSP-I and CSP-II) ran two observing campaigns between 2004 and 2015, during which we obtained optical and near-IR (NIR) spectra and photometry of over 300 SNe Ia (Krisciunas et al. 2017; Phillips et al. 2019; Hsiao et al. 2019). Nine 2003fg-like SNe were followed up in these two campaigns. In this work, we combine this data set with data from the literature to produce and analyze the first statistical and homogeneous sample of 2003fg-like SNe. In Section 2 we present the observational sample, followed by the data reduction in Section 3. Host galaxy extinction is discussed in Section 4. Section 5 presents the photometric observations, followed by the spectroscopic observations in Section 6. Important correlations and their implications are discussed in Section 7. Finally a discussion of possible explosion models is given in Section 8, followed by conclusions in Section 9.
2. Sample Characteristics
The vast majority of the 2003fg-like SNe followed up by CSP were observed during CSP-II (seven out of nine). This reflects one of the main differences between the CSP-I and CSP-II campaigns: while nearly 90% of the SNe Ia followed up by CSP-I came from targeted searches, 83% of those followed up by CSP-II came from untargeted searches. As 2003fg-like SNe preferentially explode in low-luminosity hosts, untargeted surveys have the advantage in detecting them. While we strove for a complete and unbiased sample in CSP-II, the strategy also contributed to our success in following up on a statistically significant and uniform sample of 2003fg-like SNe, the only sample of its kind. Furthermore, the sample optical light curves were obtained with nearly nightly cadence and were placed on a single well-understood photometric system of the Swope Telescope. All of the 2003fg-like SNe observed by CSP-II came from untargeted searches. Only three (SNe 2006gz, 2009dc, and 2012dn) of the thirteen 2003fg-like SNe presented here were discovered by targeted searches. The discovery information on the objects not previously published can be seen in Appendix A.1.
2003fg-like SNe are generally characterized by the following:
- 1.A primary i-band maximum after the primary B-band maximum
- 2.A lack of an H-band break at +10 days in the NIR spectra
- 3.A low ionization state in nebular-phase spectra
- 4.A broad light curve
- 5.A strong C ii λ λ6578, 6582 feature past maximum light
- 6.Weak or no i-band secondary maximum
- 7.Low ejecta velocity gradients before maximum light
- 8.A lack of Ti ii in the maximum-light spectra
However, not all of these features are observed in every 2003fg-like SN, and only the timing of the i-band primary, the lack of an H-band break, and the low-ionization nebular phase appear to be ubiquitous (see, e.g., Howell et al. 2006; Silverman et al. 2011; Taubenberger et al. 2011, 2019; Chen et al. 2019; Hsiao et al. 2019; Ashall et al. 2020; Lu et al. 2021).
In this work the 2003fg-like SNe were identified in CSP-I and CSP-II through photometric criteria. As mentioned previously, 2003fg-like SNe have distinct photometric properties from the normal population as well as from other peculiar subtypes (González-Gaitán et al. 2014). Here we adopt the method of Ashall et al. (2020) to identify 2003fg-like SNe: For an object to be chosen for the sample, it must have its i-band primary maximum occurring after that in the B band. Furthermore, the object must have slowly declining light curves as indicated by sBV ≳ 0.8 or Δm15(B) ≲ 1.3 mag. 28
These photometric selection criteria were then used in conjunction with the examination of the optical spectrum near the maximum to look for the identifying properties of 2003fg-like SNe described above. The spectroscopic criteria eliminate the peculiar SN 2006bt, as it contains Ti ii features. Note that using spectra alone can lead to misleading results, such as those of SN 2011hr (Zhang et al. 2016) and LSQ 12gdj (Scalzo et al. 2014). Note that CSS 140126 is a borderline case between a 1991T-like SN and a 2003fg-like SN: it has only one low signal-to-noise ratio (S/N) optical spectrum, which is featureless, and a primary i-band maximum that peaks after that of the B band, but it also displays a secondary i-band maximum. We chose to keep it in the sample; however due to poor spectral temporal coverage it is difficult to ascertain if it is a true 2003fg-like SN. Nine SNe in the CSP samples and a further four in the literature were found to meet these criteria.
Table 1 contains the basic information of all of the SNe used in this analysis, and Table 2 summarizes their photometric properties. For 10 objects zhelio was determined using integral-field spectroscopy (IFS) data, which will be presented in L. Galbany et al. (2021, in preparation). For the other objects zhelio was determined from a spectrum of the host galaxy, or in the case of previously published 2003fg-like SN objects, it was taken from the literature. In Figure 1, the sample characteristics are compared to those of the "cosmology" SN Ia sample of CSP-II (Phillips et al. 2019), as 96% of the SNe were discovered by untargeted searches. The majority of the objects from the sample are in the Hubble flow, similar to the CSP-II cosmology sample. As our selection criteria dictate, the 2003fg-like SNe are slow decliners as indicated by sBV and Δm15(B). However, it should be noted that there is a wide range of light-curve properties that overlap with those of the normal populations.
Figure 1. Histograms of zhelio (left panel), Δm15(B) (middle panel), and sBV (right panel) of the 2003fg-like SN sample compared to the CSP-II SN Ia cosmology sample from Phillips et al. (2019). Nine 2003fg-like SNe followed up by CSP (including CSP-I and CSP-II) are marked with red hatched bars, and four not followed up by CSP are stacked on top with red non-hatched bars. The SNe Ia from Phillips et al. (2019) are shown as gray shaded bars.
Download figure:
Standard image High-resolution imageTable 1. The Properties of the SNe in the Sample
| SN | zhelio | R.A. | Decl. | μa | E(B − V)MW | Discoverer |
|---|---|---|---|---|---|---|
| (mag) | (mag) | |||||
| 2003fg | 0.2440 | 14h16m18s.8 | +52°14'53 66 | 40.37 ± 0.01 | 0.011 | Howell et al. (2006) |
| 2006gz | 0.0237 | 18h10m26s.3 | +30°59'44 40 | 34.95 ± 0.09 | 0.055 | Puckett & Pelloni (2006) |
| 2012dn | 0.0100 | 20h23m36s.3 | −28°16'43 40 | 33.28 ± 0.21 b | 0.052 | Bock et al. (2012) |
| ASASSN-15pz | 0.0148 | 03h08m48s.4 | +35°13'50 89 | 33.89 ± 0.14 | 0.015 | Brimacombe et al. (2015) |
| 2007if c | 0.0742 | 01h10m51s.4 | +15°27'39 90 | 37.51 ± 0.03 | 0.072 | Akerlof et al. (2007) |
| 2009dc c | 0.0214 | 15h51m12s.1 | +25°42'28 50 | 34.79 ± 0.09 | 0.060 | Puckett et al. (2009) |
| LSQ 12gpw c | 0.0506 | 03h12m58s.2 | −11°42'40 13 | 36.65 ± 0.04 | 0.062 | Baltay et al. (2013) |
| 2013ao c | 0.0435 | 11h44m44s.7 | −20°31'41 10 | 36.39 ± 0.04 | 0.034 | Drake et al. (2013) |
| CSS 140126 c d | 0.0772 | 12h03m06s.9 | −01°01'31 70 | 37.67 ± 0.03 | 0.021 | Drake et al. (2009) |
| CSS 140501 c e | 0.0797 | 17h04m13s.7 | +17°48'39 40 | 37.74 ± 0.03 | 0.066 | Drake et al. (2009) |
| LSQ 14fmg c | 0.0649 | 22h16m46s.1 | +15°21'14 13 | 37.24 ± 0.03 | 0.046 | Baltay et al. (2013) |
| 2015M c | 0.0231 | 13h00m32s.3 | +27°58'41 00 | 35.04 ± 0.08 | 0.009 | Morokuma et al. (2015) |
| ASASSN-15hy c | 0.0185 | 20h10m02s.4 | −00°44'21 31 | 34.33 ± 0.11 | 0.130 | Holoien et al. (2015) |
Notes.
a Corrected to the cosmic microwave background (CMB) rest frame and calculated using H0 = 73 km s−1 Mpc−1, Ωm = 0.27, and ΩΛ = 0.73, which are used throughout this work. b Corrected for the infall toward the Virgo cluster and the Great Attractor (recession velocity = 3300 km s−1; Mould et al. 2000). c SN observed by CSP. d For convenience we shorten CSS 140126:120307-010132 to CSS 140126. e For convenience we shorten CSS 140501-170414+174839 to CSS 140501.Download table as: ASCIITypeset image
Table 2. The Basic Light-curve Parameters of the 2003fg-like SNe
| SN |
| Bmax | Δm15(B) | sBV |
|
|
|---|---|---|---|---|---|---|
| (days) | (mag) | (mag) | (mag) | (days) | ||
| 2003fg | 2,452,760.18 ± 0.87 | ⋯ | ⋯ | ⋯ | ⋯ | ⋯ |
| 2006gz | 2,454,021.84 ± 0.10 | 15.86 ± 0.06 | 0.84 ± 0.02 | 1.37 ± 0.03 | 0.03 ± 0.02 | 4.60 ± 1.65 |
| 2012dn | 2,456,132.63 ± 0.98 | 14.16 ± 0.03 | 0.87 ± 0.03 | 1.25 ± 0.15 | 0.02 ± 0.03 | 2.04 ± 0.61 |
| ASASSN-15pz | 2,457,307.47 ± 0.93 | 14.18 ± 0.03 | 0.67 ± 0.09 | 1.37 ± 0.09 | −0.02 ± 0.02 | 0.04 ± 0.81 |
| 2007if | 2,454,349.97 ± 1.09 | 17.55 ± 0.02 | 0.88 ± 0.09 | 1.26 ± 0.15 | 0.01 ± 0.03 | 3.03 ± 3.24 |
| 2009dc | 2,454,947.07 ± 0.60 | 15.09 ± 0.02 | 0.70 ± 0.05 | 1.29 ± 0.07 | −0.03 ± 0.01 | 2.52 ± 0.34 |
| LSQ 12gpw | 2,456,269.75 ± 0.46 | 17.35 ± 0.01 | 0.70 ± 0.03 | ⋯ | 0.01 ± 0.01 | ⋯ |
| 2013ao | 2,456,362.53 ± 0.26 | 16.87 ± 0.01 | 0.99 ± 0.03 | 1.02 ± 0.13 | 0.10 ± 0.01 | 1.80 ± 0.26 |
| CSS 140126 | 2,456,668.48 ± 0.41 | 18.23 ± 0.01 | 0.73 ± 0.05 | ⋯ | −0.06 ± 0.01 | 3.97 ± 0.73 |
| CSS 140501 | 2,456,787.70 ± 1.60 | 18.09 ± 0.04 | 1.05 ± 0.18 | ⋯ | 0.03 ± 0.02 | 2.58 ± 2.85 |
| LSQ 14fmg | 2,456,939.24 ± 0.72 | 17.35 ± 0.01 | 1.04 ± 0.09 | 1.20 ± 0.08 | 0.09 ± 0.01 | 1.51 ± 1.05 |
| 2015M | 2,457,169.00 ± 0.82 | 15.54 ± 0.03 | 0.82 ± 0.04 | ⋯ | 0.14 ± 0.01 | 1.85 ± 2.22 |
| ASASSN-15hy | 2,457,151.63 ± 0.40 | 15.19 ± 0.01 | 0.73 ± 0.03 | 1.24 ± 0.18 | 0.19 ± 0.01 | 7.28 ± 0.47 |
Note. All parameters were obtained from direct measurements of Gaussian process interpolations to the data. It should be noted that the
here has not been K-corrected. These values have been corrected for foreground but not for host galaxy extinction.
Download table as: ASCIITypeset image
3. Data Reduction
3.1. Photometry
Optical uBVgri-band imaging was obtained for nine 2003fg-like SNe using SITe-3 and e2v on the 1 m Swope Telescope at Las Campanas Observatory (LCO). For a subsample of these, NIR YJH-band imaging was also acquired using an NIR imager called RetroCam, which was installed on the Swope Telescope during CSP-I and on the 2.5 m du Pont Telescope during CSP-II. All of the photometry presented here is on the well-understood CSP natural system. This allows for systematic differences between SNe to be examined. The reduction and calibration procedures are described in Krisciunas et al. (2017) and Phillips et al. (2019), and the final light curves can be found online. 29 The light curves of four of the nine SNe have been previously published by CSP: SN 2007if and SN 2009dc (Krisciunas et al. 2017), LSQ 14fmg (Hsiao et al. 2020), and ASASSN-15hy (Lu et al. 2021). Finder charts of the remaining five 2003fg-like SNe are presented in Figure 2, and the light curves of all the SNe are presented in the natural system in Figure 3. These light curves are tabulated in Appendix A.2.
Figure 2. The r-band finding charts of the five 2003fg-like SNe observed by CSP-II. The plots were produced with Swope e2v images. An inset of the exact SN location is provided in the top right section of each panel.
Download figure:
Standard image High-resolution imageFigure 3. Rest-frame UV to NIR photometry of all the 2003fg-like SNe in the sample. The photometry in this plot has not been K-corrected or corrected for host galaxy extinction, but has been corrected for foreground extinction. Filled symbols are photometric measurements computed from Swope or du Pont Telescope images and are in the CSP natural system. Open symbols are from other sources. SN 2003fg has been excluded from the plot due to poor photometric coverage. Individual light-curve plots of these SNe can be found in Appendix A.2.
Download figure:
Standard image High-resolution imageData from five 2003fg-like SNe that have been published by other groups (SN 2003fg: Howell et al. 2006; SN 2006gz: Hicken et al. 2007; SN 2009dc: Yamanaka et al. 2009, 2016; Tanaka et al. 2010; Silverman et al. 2011; Taubenberger et al. 2011; SN 2012dn: Chakradhari et al. 2014; Parrent et al. 2016; Taubenberger et al. 2019; ASASSN-15pz: Chen et al. 2019) are also included in the sample. In the BVgri bands, where possible, S-corrections were applied to transform the photometry to the CSP natural system. Swift Ultraviolet/Optical Telescope data of SN 2015M were also obtained from the SN archive (Brown et al. 2014a) via the Swift Supernovae website. 30
K-corrections were computed for BVgri light curves using the same method presented in Appendix B of Lu et al. (2021). In short, the spectral series of SN 2009dc, SN 2012dn, ASASSN-15hy, and the Hsiao template were all used independently as the spectral energy distribution (SED) to compute the corrections. The SEDs were mangled to match the interpolated observed photometric colors. A comparison was made between the K-correction values of the four SED template spectral series and those computed with the actual observed spectra of the SNe. The template with the smallest average residual K-correction compared to the observed spectra was then selected for each SN. This was done because most of the SNe did not have adequate spectral coverage for computing K-corrections directly from the observed spectra. The K-correction process was carried out individually for each SN. As discussed in Lu et al. (2021), the average K-correction uncertainty obtained with this method is smaller than 0.01 mag, which is consistent with the values obtained for normal SNe Ia from Hsiao et al. (2007). Due to the lack of spectral data in the UV and NIR, and hence of ability to understand the SED, no S- or K-corrections were applied in these regions.
3.2. Spectra
Optical and NIR spectra were obtained of the nine 2003fg-like SNe by CSP-I and CSP-II. Twenty-four optical and six NIR spectra are presented here for the first time, which are logged in Appendix A.2.
The majority of these optical spectra were acquired at LCO using B&C on the 2.5 m du Pont Telescope and LDSS3 and IMACS on the 6.5 m Magellan Baade and Clay telescopes. Additional spectra were obtained with ALFOSC on the Nordic Optical Telescope (NOT) at La Palma, EFOSC2 on the New Technology Telescope at La Silla, and RSS on the Southern African Large Telescope (SALT) at the South African Astronomical Observatory. The spectra were reduced using the standard iraf 31 packages using the method described in Hamuy et al. (2006) and Folatelli et al. (2013).
All the NIR spectra were observed with the Folded-port Infrared Echellette (FIRE; Simcoe et al. 2013). The details of the observing setup and data reduction are outlined by Hsiao et al. (2019). Along with six NIR spectra of ASASSN-15hy (Lu et al. 2021), we tripled the size of the sample of 2003fg-like SNe's NIR spectra, as the previous sample included only spectra of SN 2009dc (Taubenberger et al. 2011, 2013b).
Plots of the previously unpublished CSP spectra of SN 2007if, SN 2009dc, LSQ 12gpw, SN 2013ao, CSS 140126, CSS 140501, and SN 2015M are presented in Figures 4 and 5. All of the spectra for analysis have been made available at the CSP website. 32
Figure 4. Rest-frame optical spectra of all unpublished 2003fg-like SNe from CSP. Rest-frame phases relative to the B-band maximum are given next to each spectrum. These data have not been corrected for extinction.
Download figure:
Standard image High-resolution imageFigure 5. Rest-frame NIR spectra of all unpublished 2003fg-like SNe from CSP. Rest-frame phases relative to the B-band maximum are given next to each spectrum. Note that C i is only seen in the spectra of SN 2015M and not in those of SN 2013ao. These data have not been corrected for extinction.
Download figure:
Standard image High-resolution image4. Extinction
Throughout this work, the dust map of Schlafly & Finkbeiner (2011) is used to correct for foreground Milky Way extinction. However, the values of the host galaxy extinction of 2003fg-like SNe are still very uncertain due to the fact that their intrinsic brightness and colors are not yet fully understood.
Two methods were adopted to estimate the host extinction for the 2003fg-like SNe: (i) measurement of the equivalent width (EW) of the host galaxy Na i D feature and (ii) measurement of the Balmer decrements of the host galaxy lines at the SN location using IFS data from L. Galbany et al. (2021, in preparation). Both of these techniques suffer from shortcomings, which we discuss below. It is established that if an SN has an Na i D feature it may have some host galaxy extinction, and in the Milky Way there is a well-known correlation between the Av and the EW of Na i D (e.g., see Poznanski et al. 2012 and references therein). However, the scatter in this correlation is ±68% and a significant fraction of SNe Ia display anomalously large Na i D EWs in comparison with the Av values derived from their colors (Phillips et al. 2013). Furthermore, most of the spectra we analyze in this work are of low resolution, making it difficult to detect a weak Na i D feature.
If no Na i D feature could be detected in the observed spectrum we simulated an upper limit on how much Na i D absorption could be hidden in the data. This was done by using the highest-resolution observed spectrum for each SN. An idealized spectrum with infinite resolution was created by smoothing the observed spectrum via a Gaussian filter. An artificial absorption line with various widths and depths simulating the Na i D feature was then added at the host redshift. This idealized spectrum was degraded to the resolution of the observations. The spectrum was resampled at the same wavelengths as the observed spectrum. Finally, random noise was added using the flux uncertainty measured from the observed spectrum. The EW of the Na i D feature was measured in the idealized spectrum and the low-resolution spectrum. The strength of the absorption was decreased until the EW of the low-resolution spectrum equaled the EW uncertainty. At this point, the EW of the idealized spectrum was taken as the detection limit. The results are presented in Table 3. The Na i D pseudo-equivalent width (pEW) was then converted to an E(B − V) value using the relation from Poznanski et al. (2012), with a 68% uncertainty as per Phillips et al. (2013).
Table 3. EW Values and Limits of the Na I D Feature, along with the E(B − V) Calculated from the EW of the Na I D Feature as well as from the Ratio of the Balmer Lines
| SN | Na I D EW | E(B − V) a | E(B − V) b |
|---|---|---|---|
| (Å) | (mag) | (mag) | |
| 2003fg | 0.33 ± 0.14 | 0.03 ± 0.03 | ⋯ |
| 2006gz | 0.30 ± 0.11 | 0.03 ± 0.02 | 0.00 |
| 2012dn | 0.27 ± 0.14 | 0.03 ± 0.02 | ⋯ |
| ASASSN-15pz | ≤0.05 | 0.00 ± 0.02 | ⋯ |
| 2007if | ≤0.06 | 0.00 ± 0.02 | ⋯ |
| 2009dc | 1.03 ± 0.24 | 0.23 ± 0.22 | 0.00 |
| LSQ 12gpw | 0.23 ± 0.10 | 0.03 ± 0.02 | 0.23 |
| 2013ao | ≤0.08 | 0.00 ± 0.02 | 0.09 |
| CSS 140126 | ≤0.42 | 0.00 ± 0.04 | ⋯ |
| CSS 140501 | ≤0.14 | 0.00 ± 0.02 | 0.00 |
| LSQ 14fmg | 0.87 ± 0.44 | 0.15 ± 0.20 | 0.00 |
| 2015M | ≤0.06 | 0.00 ± 0.02 | ⋯ |
| ASASSN-15hy | ≤0.06 | 0.00 ± 0.02 | 0.00 |
Notes.
a Calculated using relationship from Poznanski et al. (2012) with uncertainties as per Phillips et al. (2013). b Calculated from Balmer line ratio in IFS data from L. Galbany et al. (2021, in preparation).Download table as: ASCIITypeset image
The second method to determine host galaxy extinction is using the host galaxy emission lines at the location of the SN. This has been obtained for 10 of the 13 SNe we analyze in this work (see L. Galbany et al. 2021, in preparation). The IFS data, which is presented in L. Galbany et al. (2021, in preparation), can be used to determine these values. However, this is highly uncertain as it assumes a constant temperature of the gas, and considers the whole column density at the location of the SN, not just in front of it. Only LSQ 12gpw has a significant extinction detected at its location using this method.
Note that the host extinction may be estimated for normal SNe Ia using the Lira law (Lira et al. 1998; Phillips et al. 1999), and this was attempted by Chen et al. (2019) for SN 2009dc and ASASSN-15pz. The host galaxy extinction of SN 2009dc has always been uncertain. Chen et al. (2019) found that SN 2009dc, which has a large Na i D host galaxy feature, has the same (B − V) color slope as ASASSN-15pz. It was then presumed that ASASSN-15pz could be used as an "unreddened" comparison SN. The magnitude offset between the two SNe at the late-time decline was assumed to be caused by extinction. However, there is no evidence for 2003fg-like SNe following a form of Lira law, and Hicken et al. (2007) claim the host color excess derived from the Lira relation is most likely not appropriate for 2003fg-like SNe. Therefore, we chose not to use this relation. Furthermore, Lu et al. (2021) found that 2003fg-like SNe can look similar after the B-band maximum during the Lira tail, but can be intrinsically different at early times and therefore have different luminosities demonstrating that for 2003fg-like SNe the Lira law is not reliable.
In Table 3, the values of extinction obtained with the two different methods are presented. As all of the methods mentioned above are highly uncertain, we chose to follow the conventional method of using the pEW of the Na i D feature. In the cases where the host E(B − V) measurements based on the Na i D pEW are consistent with zero, no host extinction correction was employed. Furthermore, host galaxy extinction is only applied when explicitly stated in the following analyses.
5. Photometric Properties
5.1. Light Curves
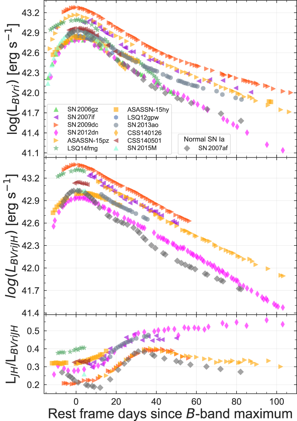
Figure 6 presents the K-corrected BVri light curves of the sample compared to a selection of normal SNe Ia (Δm15(B) < 1.3 mag), all placed on the CSP natural system. The light curves are normalized to the peak, such that the comparison is in the light-curve shapes. In the B and V bands, the 2003fg-like SNe are largely indistinguishable from the normal SNe Ia, with some noted exceptions. SN 2007if, LSQ 14fmg, and ASASSN-15hy have extremely slow rise times. Furthermore, LSQ 14fmg declines rapidly at the start of the decay tail. Similar rapid declines are also observed but at much later phases in SN 2009dc and SN 2012dn. CSS 140126 also shows a hint of rapid decline in the V band around the same phase as that of LSQ 14fmg.
Figure 6. Comparison of BVri-band light curves of the 2003fg-like SNe and normal SNe Ia. The light curves are presented relative to the B-band maximum and in the rest frame. They have also been normalized to the peak of each respective band. Normal CSP SNe Ia are plotted in light gray for comparison. The selection criteria for the normal SNe are Δm15(B) < 1.3 mag and E(B − V)host < 0.15 mag.
Download figure:
Standard image High-resolution imageAt redder wavelengths, the light curves of the 2003fg-like SNe differ drastically from those of the standard SNe Ia. In the r band, the 2003fg-like SNe have a much weaker post-maximum "knee," except for LSQ 14fmg. In the i band, they have no strong secondary maxima, except in the case of CSS 140126. The i-band secondary maximum has been suggested to be produced by the recombination of iron-group elements in the ejecta (Höflich et al. 2002; Kasen 2006). Brighter SNe, such as 91T-like objects, tend to have a more prominent secondary i-band maximum, and fainter SNe, such as 91bg-like SNe, lack a secondary i-band maximum. The latter case is caused by the merging of the primary and secondary maxima due to a quickly receding photosphere and a small 56Ni mass (see, e.g., Höflich et al. 2002; Ashall et al. 2020).
For 2003fg-like SNe, the lack of a prominent i-band secondary maximum is a defining trait. 33 This suggests that, unlike the case in normal SNe Ia, there is a lack of recombination of iron-group elements in the ejecta at 2 days to 40 days past maximum. Given that 2003fg-like SNe are significantly brighter than subluminous SNe Ia, it is unlikely that the cause of the lack of a secondary i-band maximum is the same as that in subluminous SNe Ia. In the case of 2003fg-like SNe, the lack suggests that a significant amount of luminosity is not produced by the radioactive decay of 56Ni, or that there is full mixing in the ejecta (e.g., Kasen 2006). However, as is seen in 2002cx-like SNe, if there were full mixing in the ejecta of 2003fg-like SNe we would expect to see a prominent H-band break and even lower ejecta velocities in the photospheric phase (e.g., Kromer et al. 2015; Stritzinger et al. 2015). Furthermore, 2003fg-like SNe were powered predominately by the radioactive decay of 56Ni it would be expected that they would have a very distinct secondary i-band maximum, such as found in normal or 1991T-like SNe Ia. This is not the case for 2003fg-like SNe.
The NIR light curves of 2003fg-like SNe are vastly different from those of normal SNe Ia (Figure 7). Ten of the 2003fg-like SNe in the sample have NIR light curves. They are in general much brighter than the normal population in the NIR. None of the 2003fg-like SNe have a clear secondary maximum in the Y or H band. The diversity among the 2003fg-like SNe is also large. For all of the 2003fg-like SNe, the phase of the NIR primary maxima occurs long after that of the B-band maxima, whereas the NIR primary maxima of the normal population consistently transpire a few days before their B-band maxima. For example, the H-band light curve of SN 2012dn peaks ∼50 days past the B-band maximum. As a consequence, studying the NIR, specifically the H band, may be the most effective way to distinguish 2003fg-like SNe from normal SNe. These prolonged NIR light curves of 2003fg-like SNe imply that there could be some additional sources of luminosity (Nagao et al. 2017, 2018).
Figure 7. Absolute-magnitude YJH light curves of the 2003fg-like SNe in the sample. The light curves have not been K- or S-corrected. Normal SN Ia light-curve templates of sBV = 1.00, 1.05, 1.10, 1.15, and 1.20 from SNooPy are plotted in gray color for comparison, with the peak magnitude matching the luminosity–decline rate relation from Figure 4 of Burns et al. (2018). We chose not to normalize the NIR light-curve comparison to the peak as the time of the NIR maximum is uncertain for many objects. Overall, the NIR photometric properties of 2003fg-like SNe are distinct from those of normal SNe Ia.
Download figure:
Standard image High-resolution imageAnother intriguing photometric peculiarity of 2003fg-like SNe is their UV luminosity. 2003fg-like SNe are ∼2 mag brighter than normal SNe Ia in the mid-UV (Brown et al. 2014b). Brown et al. (2014b) analyzed the UV properties of SN 2009dc and SN 2012dn, which are located at opposite ends of the 2003fg-like SN peak luminosity distribution in the optical, and found that both of these objects peak at ∼−18 mag in the Swift uvm2 band. Lu et al. (2021) analyzed the Swift uvm2 light curves of all published 2003fg-like SNe and confirmed these results. The cause of this excess flux is unknown. It is not likely to be due to a larger amount of 56Ni in the outer layers, as the ionization state of 2003fg-like SNe is generally low, and the H-band break is not observed until past +50 days from maximum light (Section 6.2). The high UV flux could be caused by low metallicity of the progenitor, where a low metallicity produces a lack of Fe-group elements in the outer layers and thus a lack of line blanketing (Mazzali et al. 2014). It could also be produced by an additional energy source that is not 56Ni such as interaction with any surrounding material (e.g., Nagao et al. 2017; Hsiao et al. 2020). For a discussion on bolometric light curves see Section 5.5.
Among the 13 objects in the sample, six have early light curves (< −10 days) and constraints on the first epoch. The rise times of the two SNe from this work, CSS 140501 and SN 2015M, were obtained by fitting the pre-maximum V-band photometry with a second-order polynomial function, where the data was constrained by the discovery survey's photometry and last-nondetection limits as mentioned in Section A.1. The remaining rise times were obtained from literature. The rise time of SN 2007if was obtained from an unfiltered magnitude (Scalzo et al. 2010). The rise time of SN 2009dc is given in the R band (Silverman et al. 2011), and those of ASASSN-15hy (Lu et al. 2021) and ASASSN-15pz (Chen et al. 2019) are provided in the V band. These SNe and their respective rise times are SN 2007if, 24.2 ± 0.4 days (Scalzo et al. 2010); SN 2009dc, 23 ± 2 days (Silverman et al. 2011); ASASSN-15pz, 21.4 ± 2 days (Chen et al. 2019); ASASSN-15hy, 22.5 ± 4.6 days (Lu et al. 2021); CSS 140501, 20.9 ± 6.7 days (this work); and SN 2015M, 19.8 ± 4.8 days (this work). This implies an average rise time of 22.0 ± 3.8 days.
5.2. Luminosity–Width Relation
SNe Ia follow an intrinsic luminosity–width relation (LWR), where brighter SNe have broader light curves. Two common ways to determine the broadness and the timescale of the light curve are to use the parameters Δm15(B) (Phillips 1993) and sBV (Burns et al. 2014). The parameter Δm15(B) measures the change in B-band magnitude between maximum light and 15 rest-frame days past then, and sBV is the time difference between the occurrence of the B-band maximum and the reddest point in the (B − V) color curve divided by 30 days (Burns et al. 2014).
To establish the location of 2003fg-like SNe on the LWR, the light-curve parameters were measured using the SNooPy package (Burns et al. 2011). No light-curve templates were used to fit the photometry or the derived parameters. Rather, the Bmax, Δm15(B), and sBV parameters were directly measured from the rest-frame K-corrected light curves interpolated with Gaussian processes. The SNooPy get_color function was used to calculate the color curves. For the color curves, no interpolation between data was performed when multiband observations on the same night were not available. The color curves were produced with Gaussian processes to obtain the time of the reddest point in the (B − V) color curve relative to the B-band maximum. This value was divided by 30 to obtain sBV . This same technique was used to obtain the color curves in Section 5.3, and to derive the colors at maximum light. For all photometric measurements, uncertainties were obtained using a bootstrapping technique with 150 iterations. All rest-frame, K-corrected light curves were corrected for Galactic and host extinction (where applicable). Bmax was converted to MB using the distance moduli presented in Table 1.
The B-band LWR as a function of Δm15(B) and sBV is presented in the top panels of Figure 8. The 2003fg-like SNe are all slowly declining with Δm15(B) < 1.3 mag and sBV > 1. The 2003fg-like SNe are located below, above, and in the same area of the LWR as the normal SNe Ia. SN 2012dn, SN 2013ao, ASASSN-15pz, and SN 2015M are all located in the main part of the LWR. SN 2006gz, LSQ 12gpw, and ASASSN-15hy are less luminous than their B-band light-curve shape would imply if they were standard SNe Ia (i.e., they are less luminous than the LWR), whereas SN 2007if, SN 20009dc, and LSQ 14fmg are all brighter than the LWR. Unlike the previous suggestion of Taubenberger et al. (2011), it is evident with a larger sample that not all 2003fg-like SNe are overluminous. However, the host galaxy extinctions of 2003fg-like SNe are highly uncertain and this may affect the location of some SNe on the LWR, although for the majority of points there is a reliable limit from the Na I D EW (Section 4). We note that most of our objects are within the Hubble flow (z > 0.02); therefore the distances derived to the SNe from the hosts are accurate.
Figure 8. The LWR. Top left: The absolute B-band magnitude (MB ) plotted as a function of Δm15(B). Top right: MB plotted as a function of sBV . In both top panels the open symbols are corrected for Galactic and host galaxy extinction. Bottom left: MJ as a function of Δm15(B). Bottom right: MH as a function of Δm15(B). For both of the bottom panels, many of the points are lower flux limits as the light curves are still rising during the final photometric observations. The 2003fg-like SN points in the NIR LWR have not been corrected for host galaxy extinction as the extinction in the NIR is negligible and the values of host galaxy extinction are uncertain. In all plots the gray symbols are the LWR constructed using the SNe Ia observed by CSP (Krisciunas et al. 2017; Phillips et al. 2019).
Download figure:
Standard image High-resolution imageThe NIR is less affected by extinction; therefore it is a more suitable wavelength range for analyzing any intrinsic luminosity differences between 2003fg-like SNe and other SNe Ia. We did not attempt to correct the NIR photometry for host extinction. The bottom panels of Figure 8 show the LWR in the J and H bands. Unfortunately, the temporal coverage in the NIR is much worse than that in the optical. Therefore, for all SNe except SN 2009dc and SN 2012dn only lower flux limits can be set for the peak luminosity. The lower limits were determined by measuring the brightest photometric point on the rising light curves. In the J band, all of the SNe are overluminous (brighter than −19 mag) except for ASASSN-15pz, CSS 140126, and SN 2012dn, which have a luminosity similar to that of normal SNe Ia. However for ASASSN-15pz and CSS 140126 these values are lower limits on the luminosity and they could be intrinsically brighter. Interestingly, the H band is the most effective wavelength range for distinguishing between 2003fg-like SNe and normal SNe Ia. All of the 2003fg-like SNe are brighter than the normal SNe Ia in the H band. They range from MH = −18.76 mag (SN 2015M) to MH = −20.19 mag (LSQ 14fmg). A bright H band is one of the few ubiquitous properties of the subclass of 2003fg-like SNe. The fact that 2003fg-like SNe are not standardizable may suggest that that there is more than one parameter driving the explosion, i.e., more than just a range of WD masses. There could be a range of both WD masses and envelope masses that produce 2003fg-like SNe (see Section 8 for a detailed discussion).
As shown by L. Galbany et al. (2021, in preparation), 2003fg-like SNe are preferentially located in low-metallicity and low-mass galaxies with high sSFRs, and are therefore more common in the high-redshift universe. The fact that 2003fg-like SNe are not standardizable and they do not follow the LWR in the optical or NIR could have direct consequences for dark-energy experiments. We have shown here that it is easier to remove 2003fg-like SNe from cosmological experiments with rest-frame NIR data. But due to cosmic expansion, this strategy may limit future dark-energy experiments to lower redshifts. With only near-maximum-light, rest-frame, optical observations, 2003fg-like SNe may bias dark-energy experiments. We briefly discuss this in Section 5.6. However, detailed simulations of this are outside the scope of this work.
5.3. Color Curves
The observed color curves of the 2003fg-like SNe, corrected for Milky Way extinction, are shown in Figure 9. At early times, the (B − V) curves are similar to those of normal SNe Ia. They start red and reach their bluest point around maximum light. Between maximum light and +40 days, the ejecta cool until the reddest epoch is reached, after which the colors turn blue again. However, 2003fg-like SNe do not follow a tight Lira-like law (Phillips et al. 1999), and they exhibit significant diversity. The reddest points in the (B − V) color curves cover a larger range (∼0.7–1.3 mag) in 2003fg-like SNe than in normal SNe Ia. After the turnover, the 2003fg-like SN events show a variety of gradients in the Lira tail. As discussed by Lu et al. (2021), ASASSN-15hy is unusual with regard to its (B − V) color curve. It does not get bluer during the early phase, and the evolution toward redder (B − V) occurs much earlier than that of other SNe Ia. The ejecta begin to cool and get redder from ∼−10 days relative to the B-band maximum, reaching (B − V) ≈ 0.2 mag at maximum light. Lu et al. (2021) interpreted this to be an effect of a lower 56Ni mass explosion in the core-degenerate scenario.
Figure 9. The observed color curves of our 2003fg-like SN sample corrected for Milky Way extinction (solid markers) and compared to a sample of normal SNe Ia from CSP (light gray). The normal SNe Ia were selected so they had Δm15(B) < 1.3 mag and E(B − V)host < 0.15 mag. The (B − V) color curves of the 2003fg-like SNe are similar to those of the normal SNe Ia, yet the (r − i) color curves differ significantly. All curves have been corrected for Galactic extinction, but not for host galaxy extinction.
Download figure:
Standard image High-resolution imageThe (r − i) color curves of the 2003fg-like SNe show the largest diversity and generally do not behave like those of the normal SNe Ia. There is a continuum of properties from LSQ 14fmg, which gets monotonically redder from the first measurement then stays flat after +25 days, to SN 2015M and CSS 140126, which reach the bluest values. Generally, the 2003fg-like SNe start at (r − i) values similar to those of the normal SNe Ia, but do not reach such large negative values. More interestingly, at +50 days relative to the maximum the 2003fg-like SN (r − i) color curves remain flat and in some cases continue to become redder. This is caused by the light curves at longer wavelengths in the 2003fg-like SNe being much broader than those in the normal SNe Ia. In large all-sky surveys such as those of the Zwicky Transient Facility and the Vera Rubin Observatory, analyzing the (r − i) color curve up to +50 days may be one of the most effective ways to distinguish 2003fg-like SNe from the general population of SNe Ia.
5.4.
sBV
versus
Ashall et al. (2020) demonstrated that the timing of the i-band primary maximum relative to the B-band maximum can be used as a powerful diagnostic to distinguish between subtypes of thermonuclear SNe. It was found that for 2003fg-like SNe the time of the primary i-band maximum is later than that of the B band. Combining this information with sBV
was found to be an excellent way to identify 2003fg-like SNe. Figure 10 shows the relation from Ashall et al. (2020) labeled with the 2003fg-like SNe from this work. Interestingly, ASASSN-15pz, which has a hint of an i-band secondary inflection, also has the smallest value of
. However, note that CSS 140126 has both a strong i-band secondary maximum and a late
. Conversely, ASASSN-15hy has the largest value of
and no secondary i-band maximum. This may indicate a connection between the value of
and the presence of an i-band secondary maximum.
Figure 10. The time of the i-band maximum relative to the B-band maximum vs. sBV with data taken from Ashall et al. (2020) and the 2003fg-like SNe of this work. These values do not include K-corrections since they are of various subtypes; this is also consistent with the analysis of Ashall et al. (2020). All of the 2003fg-like SNe are located in the top right corner of the figure.
Download figure:
Standard image High-resolution image5.5. Bolometric Light Curves
Pseudo-bolometric light curves were constructed using observed photometry by employing the direct method in SNooPy. Where needed, the observation gaps between the light curves were interpolated with Gaussian processes, but no extrapolations were applied outside the time range of individual light curves. Three wavelength regions were selected in order to explore the pseudo-bolometric peak luminosity and flux ratios in the UV, optical, and NIR. The light curve of a normal SN Ia 2007af (Krisciunas et al. 2017) was also constructed using the same method above for comparison.
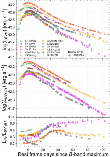
The BVri (4200–7300 Å) pseudo-bolometric light curves are presented in the top panel of Figure 11. The average peak luminosity in the sample is Lpeak = 1042.97±0.16 erg s−1 for eleven 2003fg-like SNe (SN 2003fg and LSQ 12gpw are excluded due to their poor data coverage around the peak). When the NIR (∼4200–16000 Å) is also included in the construction of the bolometric light curves the 2003fg-like SNe peak at Lpeak = 1043.16±0.22 erg s−1 from the four SNe that have available peaks.
Figure 11. Pseudo-bolometric light curves of 2003fg-like SNe. The top panel shows the pseudo-bolometric light curves constructed with the optical BVri bands, the middle panel presents those with the optical BVri and NIR JH bands, and the bottom panel displays the fraction of NIR luminosity.
Download figure:
Standard image High-resolution imageInterestingly, the fraction of flux in the NIR is generally higher in all the 2003fg-like SNe compared to the normal SN Ia 2007af, as shown in the bottom panel in Figure 11. This is consistent with 2003fg-like SNe having high NIR peak luminosities. All the 2003fg-like SNe gradually increase in NIR flux fraction until one month after the maximum. It should be noted that SN 2012dn (which has the same luminosity as a normal SN Ia) shows the most prolonged and largest NIR contribution, which persists well past +30 days.
For four 2003fg-like SNe it was possible to construct UV and NIR (∼2200–16000 Å) pseudo-bolometric light curves. Both ASASSN-15hy and SN 2012dn have a peak luminosity of Lpeak = 1043.17±0.01 erg s−1. Despite the small size of the sample, the effect of the bright UV and NIR as well as of the flux redistribution is clearly demonstrated (see Figure 12). In the 2003fg-like SNe there is no increase in UV flux at early times, unlike in the normal SN Ia. The UV fraction of the bolometric flux is already declining when the 2003fg-like SNe are first observed, while the UV fraction increases until just before maximum light for the normal SN Ia. The 2003fg-like SNe also show a low optical (∼4200−7300 Å) luminosity fraction and a high NIR (∼7300−16000 Å) fraction compared to the normal SN Ia 2007af.
Figure 12. Fractions of pseudo-bolometric luminosity of 2003fg-like SNe in UV (∼2200–4200 Å), optical (∼4200–7300 Å), and NIR (∼7300–16000 Å) regions. Unlike the normal SN Ia, which has the optical region accounting for ∼80% of the luminosity, the 2003fg-like SNe all show a significant fraction of luminosity in the UV and NIR. The time evolution of the fractions also shows a flux redistribution from the UV to the NIR.
Download figure:
Standard image High-resolution image5.6. Hubble Residuals
While the exact rate of 2003fg-like SNe is unknown they are extremely rare and make up a very small fraction of SNe Ia in the local universe. However, they prefer low-mass and high-sSFR host galaxies, both of which will increase their fraction in high-redshift SN surveys. They do not follow the LWR, they have broad light curves, and some of them are not overluminous and overlap normal SNe Ia in peak brightness. Furthermore, in the rest-frame B and V bands, it is difficult, if not impossible, to distinguish 2003fg-like SNe from normal SNe Ia. Therefore, 2003fg-like SNe have the potential to bias dark-energy experiments. Although a full simulation of this is beyond the scope of this paper, we determined what the Hubble residuals would be if 2003fg-like SNe were treated as normal SNe Ia and fit with light-curve fitting tools.
To determine the Hubble residual for each 2003fg-like SN, we used SNooPy EBV_model2, with st (which is the input setting for sBV ) as the light-curve shape parameter. To "simulate" the effect of future dark-energy experiments such as those from the Nancy Grace Roman Space Telescope, we fit the light curves from +0 to +30 days relative to the B-band maximum. The light-curve fitting was done twice, once with only the B and V bands and then with all of the bands from the UV to the NIR. For both fits, most of the 2003fg-like SNe have negative Hubble residuals (see Table 4). This implies that when run through light-curve fitters, 2003fg-like SNe are too bright for their light-curve shape. Figure 13 presents the Hubble residuals as a function of light-curve decline rate. The mean residuals are Δμ(all) = −0.74 ± 0.02 mag and Δμ(BV) =−0.48 ± 0.50 mag. The Hubble residuals are generally smaller and the light curves are fit better to the templates when only the B and V bands are used. Thus, in the case where only the rest-frame B and V bands are observed, 2003fg-like SNe may not be identified and removed in dark-energy experiments and will cause a bias. A more detailed simulation is warranted to determine the true extent of this contamination and is beyond the scope of this work.
Figure 13. Hubble residuals of a selection of normal SNe Ia from CSP (black open markers) and of the 2003fg-like SNe fit with both the B and V bands (open symbols) and all available bands (solid symbols). The Hubble residuals are smaller when only the B and V bands are used.
Download figure:
Standard image High-resolution imageTable 4. The Hubble Residuals of the 2003fg-like SNe in the Sample
| SN | Δμ(BV) | Δμ(all) |
|---|---|---|
| (mag) | (mag) | |
| 2003fg | ⋯ | ⋯ |
| 2006gz | 0.21 ± 0.09 | 0.18 ± 0.04 |
| 2012dn | 0.08 ± 0.05 | −0.32 ± 0.02 |
| ASASSN-15pz | −0.24 ± 0.09 | −0.84 ± 0.03 |
| 2007if | −1.35 ± 0.09 | −1.66 ± 0.04 |
| 2009dc | −0.13 ± 0.04 | −0.99 ± 0.02 |
| LSQ 12gpw | −0.15 ± 0.09 | −0.15 ± 0.08 |
| 2013ao | −0.99 ± 0.03 | −0.51 ± 0.03 |
| CSS 140126 | 0.00 ± 0.11 | −0.37 ± 0.03 |
| CSS 140501 | −1.20 ± 0.07 | −1.15 ± 0.04 |
| LSQ 14fmg | −0.72 ± 0.06 | −1.77 ± 0.08 |
| 2015M | −0.78 ± 0.03 | −0.55 ± 0.02 |
| ASASSN-15hy | −0.44 ± 0.05 | −0.71 ± 0.03 |
Note. The values were calculated using SNooPy EBV_model2 and compared to the CMB-corrected redshift distance. The cosmological parameters used for this section are H0 = 73 km s−1 Mpc, Ωm = 0.27, and ΩΛ = 0.73. The Hubble residuals were computed using two cases: 1) B and V bands only and 2) all of the available bands (uBVgrizYHJ).
Download table as: ASCIITypeset image
6. Spectroscopic Properties
In this section, the spectroscopic properties of 2003fg-like SNe are presented. First, we concentrate on optical wavelength spectra and line identifications. Then we discuss the NIR spectra and their line identifications. The velocity and pEW measurements and properties, including the Branch diagram, are then presented.
6.1. Optical Wavelength Spectra
All available maximum-light and +20 day spectra of the 2003fg-like SNe are presented in Figure 14. At maximum light, the spectra show the standard lines associated with SNe Ia (e.g., Branch et al. 2006; Ashall et al. 2018; see Table 5). Many of the 2003fg-like SNe also have strong C ii λ6580 and λ7234 features persisting through maximum light. The 2003fg-like SNe also have weak Ca ii features at this phase. By +20 days from maximum light the Ca ii feature is much stronger, and the spectrum contains no residual C ii.
Figure 14. Left panel: Maximum-light spectra of all of the 2003fg-like SNe in the sample. Right panel: 2003fg-like SN spectra at +20 days for objects that have spectra at this phase.
Download figure:
Standard image High-resolution imageTable 5. The Main Spectral Lines Identified in the 2003fg-like SN Spectra at Maximum Light
| Ion | Wavelength |
|---|---|
| (Å) | |
| Ca ii | 3968, 3933 |
| Si ii | 4130 |
| Mg ii | 4481 |
| Si iii | 4552 |
| Fe ii | 5169 |
| Fe iii | 5156 |
| S ii | 5453, 5606 |
| Si ii | 5972, 6355 |
| O i | 7771 |
| Ca ii | 8498, 8542, 8662 |
Download table as: ASCIITypeset image
The maximum-light and +20 day spectra of SN 2009dc and SN 2013ao are compared to those of a variety of subtypes of SNe Ia in Figure 15. SN 2009dc and SN 2013ao were chosen for this comparison as they are located at the extreme ends of the luminosity parameter space. Both SN 2009dc and SN 2013ao appear to have slightly weaker or "washed-out" spectral features compared to the other SNe. However, in terms of ionization state SN 2013ao appears to be most similar to SN 2006bt (Foley et al. 2010) and SN 2011fe (Mazzali et al. 2014). With maximum-light spectra alone, it is almost impossible to distinguish between SN 2013ao and the normal SN 2011fe, and the only noticeable difference is the weaker Ca ii features in SN 2013ao. On the other hand, SN 2009dc has a similar ionization state to SN 2013ao, but it also has strong C ii absorption and lower velocities, as is seen with the Si ii λ6355 feature. Although SN 2009dc appears to be as blue as SN 1991T, the lack of Fe iii and a stronger Si ii λ5972 feature demonstrate that the ionization state in the line-forming region of SN 2009dc is lower.
Figure 15. Comparison between maximum-light (left) and +20 day (right) spectra of the overluminous 2003fg-like SN 2009dc and an underluminous one (SN 2013ao) along with a selection of other SN Ia subtypes.
Download figure:
Standard image High-resolution imageHachinger et al. (2012) claim these washed-out features and the low ionization state in 2003fg-like SNe are produced by an additional thermal luminosity source that is H/He deficient. Hsiao et al. (2020) suggest that this could be due to interaction with a C–O envelope in the core-degenerate scenario. Taubenberger et al. (2019) propose that it could be caused by the violent merger of two WDs, although the low continuum polarization makes this unlikely (Tanaka et al. 2010; Cikota et al. 2019).
At +20 days, the spectra of all subtypes of SNe Ia are similar. All of the 2003fg-like SNe and comparison SNe Ia except SN 2013ao have an emission feature in the 5900 Å region. This feature has been attributed to either [Co iii] 5888 Å (Dessart et al. 2014) or Na i D emission (Mazzali et al. 2008). If this feature is due to [Co iii], the lack of this emission in SN 2013ao may be caused by the lack of 56Ni above the photosphere. This is consistent with the lack of an H-band break in the NIR spectra of SN 2013ao. Note however that SN 2009dc, SN 2015M, and ASASN-15hy do not have an H-band break at these epochs, but all show this emission feature at 5900 Å. We thus conclude that the feature is more likely caused by Na i D emission, which is not seen in SN 2013ao due to higher temperature and density in the ejecta. Alternatively, differences in the progenitor configuration, including metallicity differences, could produce a reduced Na abundance.
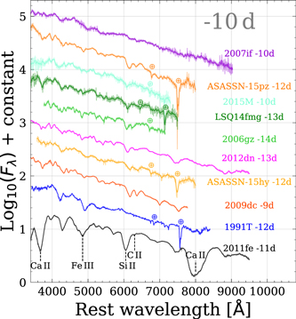
One of the easiest ways to distinguish between 2003fg-like SNe and other subtypes of SNe Ia is with spectra at −10 days with respect to the maximum light (Figure 16). At this epoch, 2003fg-like SNe have weak features; are dominated by continuum, Si ii absorption; and have very weak or no Ca ii or Fe iii features. On the other hand, SN 2011fe is redder and has strong P Cygni profiles, which include a large amount of intermediate-mass elements such as strong Si ii λ6355 and Ca ii features. Similar to 2003fg-like SNe, SN 1991T has a hot continuum and no Ca ii features. However, SN 1991T has a strong Fe iii feature at ∼4900 Å and no C ii absorption, unlike 2003fg-like SNe. With this in mind, we suggest that a lack of strong Fe iii absorption in early-time spectra should become one of the defining characteristics of 2003fg-like SNe.
Figure 16. Early-time spectroscopic comparison between 2003fg-like SNe, the normal SN 2011fe, and the overluminous SN 1991T. All 2003fg-like SNe with adequate data tend to show strong C ii and no significant Fe iii. In contrast, SN 1991T has strong Fe iii and SN 2011fe generally has stronger features. In these phases, it is possible to distinguish 2003fg-like SNe from other subtypes of SNe Ia.
Download figure:
Standard image High-resolution imageSeveral hundred days post-explosion, the ejecta of SNe are optically thin and dominated by forbidden transitions (see Taubenberger et al. 2019). The ionization state of these lines provides critical information about the rate of recombination and the density in the center of the explosion. Normal SNe Ia have nebular spectra that are dominated by strong [Fe iii] at ∼4700 Å and weaker [Fe ii] emission at ∼5200 Å, with [Fe ii]/[Ni ii]/[Ca ii] emission at ∼7300 Å (e.g., Graham et al. 2017). Luminous SNe Ia, such as SN 1991T, have a higher ionization state with strong [Fe iii] lines (Cappellaro et al. 2001), and subluminous SNe Ia tend to have stronger [Ca ii] and weaker [Fe iii] emission than normal SNe Ia (e.g., Mazzali & Hachinger 2012; Galbany et al. 2019).
Four 2003fg-like SNe—SN 2006gz (Maeda et al. 2009), SN 2007if (Taubenberger et al. 2013b), SN 2009dc (Taubenberger et al. 2013b), and SN 2012dn (Taubenberger et al. 2019)—have nebular-phase spectra. Interestingly, despite being luminous, all of these objects show a low ionization state with weak [Fe iii] emission. They also have strong [Ca ii] emission. SN 2012dn (the least luminous of the four) has the strongest [Ca ii] emission, significantly stronger than that of the other 2003fg-like SNe. SN 2012dn also shows [O i] emission at 6300 Å, which has only been observed in the nebular-phase spectra of one other SN Ia, the subluminous SN 2010lp (Taubenberger et al. 2013a). Although subluminous and 2003fg-like SNe sit at the opposite ends of the LWR they share similar traits of having nebular-phase spectra of low ionization states and strong [Ca ii] emission. However, in 2003fg-like SNe the low ionization is likely caused by low ejecta velocities (see Section 6.3), high central densities, and an increased recombination rate, whereas in subluminous SNe Ia (e.g., SN 1986G; Phillips et al. 1987; Ashall et al. 2016), the low ionization state is thought to be caused by less heating owing to smaller 56Ni masses.
6.2. NIR Spectra
NIR spectroscopy provides critical information on the physics of SNe Ia (e.g., Kirshner et al. 1973; Marion et al. 2009; Hsiao et al. 2019). In the NIR, the photosphere recedes faster than it does at shorter wavelengths, allowing for deeper parts of the ejecta to be exposed at earlier times. The NIR also contains different ions than the optical, such as C i 1.0693 μm and the H-band break (∼1.4–1.9 μm). If 2003fg-like SNe contain a large carbon shell, it is expected that as the ejecta cool, the ionization state of carbon will transition from singly ionized to neutral. Given that the carbon shell is large and generally dominated by C ii, which is seen up to and past maximum light, it is expected that there will be strong NIR C i well past maximum light. This is seen in SN 2015M, which shows a distinct C i 1.0693 μm absorption at ∼11,000 km s−1 (see Figure 5). C i may also be seen in ASASSN-15hy (see Lu et al. 2021). For the 2003fg-like SN objects that do not show C i, either the carbon has become optically thin, remaining ionized at all epochs, or the C i line is very weak possibly due to the presence of He in the outer layers as discussed in Appendix D of Lu et al. (2021).
The H-band break is formed from a multiplet of allowed Co ii, Fe ii, and Ni ii emission lines located well above the photosphere (Wheeler et al. 1998; Höflich et al. 2002). The strongest and bluest of these lines is Co ii 1.57 μm. The H-band break appears when the photosphere recedes into the 56Ni region. For normal SNe Ia, this begins a few days after maximum light, and for subluminous SNe Ia, the break emerges slightly later, at ∼+8 days. The later appearance can be interpreted as the photosphere having to recede through more material to reach the 56Ni region. The strength of the H-band break correlates with the light-curve shape, where brighter SNe have a stronger break (Hsiao et al. 2013). Furthermore, the velocity of the bluest edge (vedge) of the H-band region at 10 ± 3 days can be used to directly measure the edge of the 56Niregion in SNe Ia (Ashall et al. 2019a), where more luminous SNe Ia have larger values of vedge. This parameter vedge can be used to discriminate between SN Ia explosion models (Ashall et al. 2019b).
Figure 17 shows the NIR spectra of the four 2003fg-like SNe that have spectra at 10 ± 3 days, as well as those of the 1991T-like LSQ 12gdj and the normal SN 2011fe. Unlike normal, subluminous, and 1991T-like SNe Ia, 2003fg-like SNe show a very weak or no H-band break by +10 days. The lack of an H-band break indicates that the photospheres of 2003fg-like SNe have not receded into the 56Ni region by this time and that the mass above the 56Ni is large. As 1991T-like SNe Ia have a higher ionization state but still have a strong H-band break, an ionization effect can be ruled out as the cause of their lack of H-band break. We note that although subluminous SNe Ia have a weak H-band break it is intrinsically different from the H-band break in 2003fg-like SNe. SN 2009dc and ASASSN-15hy have NIR spectral observations that extend to +85 and +80 days past maximum, respectively. In these SNe the break appears at much later epochs. In SN 2009dc, the H-band break appears between +24 and +85 days (Taubenberger et al. 2011), and in ASASN-15hy, it appears between +30 days and +80 days (Lu et al. 2021). The delayed onset of the H-band break demonstrates that the 56Ni region is in the very inner layers of the ejecta and the photosphere has to recede through a large optically thick envelope before reaching the bulk of the 56Ni. With this in mind in the next section we will measure the velocities and pEWs of the early-time spectra to determine the chemical composition and structure of 2003fg-like SNe.
Figure 17. The NIR spectra of four 2003fg-like SNe, as well as of the 1991T-like LSQ 12gdj and the normal SN 2011fe around +10 days past maximum light. None of the four 2003fg-like SNe show a strong H-band break. For presentation purposes the spectra have been interpolated with a Gaussian filter having a 3σ smoothing length.
Download figure:
Standard image High-resolution image6.3. Velocity and pEW Fitting Method
For the optical wavelength spectra, the velocity minima and pEWs of the main spectral features were obtained using the Measure Intricate Spectral Features in Transient Spectra (misfits 34 ; S. Holmbo et al., in preparation) code. To acquire the minimum of a P Cygni absorption feature, the rest-frame spectra were smoothed by passing them through a low-pass filter after Fourier-transforming them to remove high-frequency noise, as described in Marion et al. (2009). An error spectrum was computed by obtaining the differences between the observed spectra and the Fourier-transformed smoothed spectrum. The absolute values of the residuals were smoothed with a Gaussian function. The corresponding Gaussian-smoothed version that was scaled contained 68% of the absolute value of the residual level and was used as the 1σ error spectrum.
The velocity.gaussians function was utilized to obtain the minimum of an absorption feature. The boundaries of the wavelength region were manually selected for each feature. A linear continuum and a single Gaussian function were simultaneously fit to the feature, and the best fit was determined by chi-squared minimization. To estimate the uncertainty, a Monte Carlo approach was adopted with 1000 realizations. The realizations were generated by including the flux uncertainties assuming a normal distribution and the boundary uncertainties assuming a uniform distribution. The minimum wavelengths were converted to velocity using the relativistic Doppler formula and the rest wavelength of the feature. The mean and the standard deviation of the velocities measured from the Monte Carlo realization were adopted as the value and the 1σ uncertainty of the velocity, respectively.
The pEW of the features was calculated following the prescription of Garavini et al. (2007). The width.shallowpew function was used in misfits, where uncertainties were determined with the same Monte Carlo method mentioned above. The mean value and standard deviation were taken as the pEW and its 1σ uncertainty.
6.4. Velocity and pEW Measurements
In this work, the pEWs of Si ii λ5972 and λ6355 and C ii λ6580 are measured, as are the velocities of Si ii λ6355 and C ii λ6580. The pEWs of the λ6355 and λ5972 Si ii features have been shown to be a powerful diagnostic to identify SN Ia subtypes, where normal SNe Ia can be separated into four groups (core normal, shallow Si (SS), broad line, and cool; Branch et al. 2006; Burrow et al. 2020). In this parameter space, most 2003fg-like SNe are located primarily in the SS area close to overluminous objects such as 1991T-like objects (see Figure 18). However, SN 2012dn and CSS 140501 are in the same area as core normal SNe. These two SNe also overlap with the normal population in the LWR (Figure 8).
Figure 18. The Branch diagram produced using SN Ia data from Blondin et al. (2012) and Folatelli et al. (2013). Most 2003fg-like SNe are located within the same area as SS SNe Ia.
Download figure:
Standard image High-resolution imageThe bottom panels of Figure 19 show the velocity of the C ii λ6580 and Si ii λ6355 features as a function of time. The velocities decrease over time as would be expected from a homologous expansion and a receding photosphere. The velocity spread in Si ii λ6355 between the fastest and slowest 2003fg-like SNe is 5000 km s−1. At the earliest epochs, around −10 days, the velocities range from ∼13,500 km s−1 (SN 2006gz) to ∼8000 km s−1 (SN 2007if), and by maximum light the spread has decreased to 11,500 km s−1 for the fastest expansion and to 7500 km s−1 for the slowest. Despite the large spread, some 2003fg-like SNe exhibit some of the slowest velocities of any SN Ia. The change in velocity from −10 days to maximum light roughly indicates the depth of the Si shell. The change in Si ii λ6355 velocity between –10 days and maximum light ranges from 2000 km s−1 in SN 2006gz to 1000 km s−1 in SN 2012dn and 0 km s−1 in SN 2007if.
Figure 19. pEW and velocity measurements as a function of phase. Top left: Si ii λ6355 pEW as a function of phase relative to the maximum. Top right: Si ii λ5972 pEW as a function of phase relative to the maximum. Middle left: C ii λ6580 pEW as a function of phase from the maximum. Bottom left: C ii λ6580 velocity as a function of phase relative to the maximum. Bottom right: Si ii λ6355 velocity as a function of phase relative to the maximum.
Download figure:
Standard image High-resolution imageThe 2003fg-like SNe with the fastest Si ii velocities are consistent with the SS SNe Ia from Folatelli et al. (2013). They are also consistent with the velocities of 1991T-like SNe (M. Phillips et al., in preparation). However, the lower velocities and early-time flatter Si ii evolution are unusual as compared to those of normal SNe Ia. In some cases, 2003fg-like SNe may have a very confined intermediate-mass element layer in velocity space, and do not show a rapid drop in velocity at the earliest phases. This lack of an early drop may be caused by a compression of the Si shell, due to its running into an envelope (Quimby et al. 2006). In SNe Ia when velocity measurements reach a minimum and stay at that value for a prolonged time, it usually requires the photosphere to pass through the base of the layer. By +10 days past maximum light the Si velocity is still declining. However, we note that features are susceptible to ionization changes and the bottom of the Si ii layer does not always correspond to the bottom of the Si region. Furthermore, the red side of the Si ii feature becomes contaminated by Fe ii lines after maximum light. For most 2003fg-like SNe this occurs after +10 days but for ASASSN-15hy this occurs 2–3 days past maximum (Lu et al. 2021). This can artificially produce a sudden velocity drop between 0 and +10 days.
The velocities of the C ii feature range between 10,000 to 16,000 km s−1 at −10 days and 8000 km s−1 at maximum light. For some of the 2003fg-like SNe (LSQ 12gpw, SN 2012dn, and ASASSN-15hy) the velocity of the C ii feature is lower than that of Si ii. This may be an indication of mixing of the C and Si layers, or it may be a projected velocity effect where the Si ii is located well above the photosphere, but the C ii is located close to the photosphere, ensuring that most of the absorption is produced from material that is not directly moving toward the observer (Hoeflich 1990).
The top two panels and middle panel of Figure 19 contain the pEW measurements of Si ii λ5972 and λ6355 and C ii λ6580. The Si ii λ6355 feature slowly increases in pEW over time for all objects. At early times, around −10 days, the pEW of Si ii λ6355 ranges from 5 to 50 Å, and it rises to 20–90 Å by +10 days. The pEWs of the 2003fg-like SNe cover a larger range of values than those of the 1991T-like SNe, which range from 0–20 Å at early times to 30–50 Å by +10 days, and those of the SS objects, which cover a range of 0–50 Å at maximum light.
The pEW measurements of the Si ii λ5972 feature range from 0–10 Å at −10 days to 10–30 Å at +10 days and follow a trend similar to that of the Branch et al. (2006) SS SNe. Generally, the increasing pEW of this feature is interpreted to be due to a cooling photosphere and an Si ii λ5972 line getting populated due to the recombination of Si iii (e.g., Hachinger et al. 2008; Ashall et al. 2018).
The pEW of C ii λ6580 is more difficult to measure as it sits on top of the reemission of the Si ii λ6355 feature. The pEW decreases over time for all SNe, except SN 2006gz, SN 2013ao, CSS 140501, and SN 2015M, which have pEW values consistent with zero. The pEW measurements range from 5–20 Å at early times to 0–5 Å at +10 days. Three of the 2003fg-like SNe (SN 2009dc, LSQ 12gpw, and ASASSN-15hy) have persistent C ii features well past maximum light. Interestingly, these SNe also have the slowest Si ii λ6355 velocities and the broadest light curves. These correlations will be discussed in more detail in the next section. Note that the pEW of the C ii λ6850 region was measured even though no absorption feature was visible in the spectra; hence some SNe have values consistent with zero.
7. Parameter Study
Having measured and presented the main parameters of the 2003fg-like SNe, we now turn our attention to the correlations between these parameters and what these may imply about the physics of progenitors and explosion mechanisms. Figure 20 presents six of the most significant correlations that were found within our data set, as well as two important noncorrelations. For each correlation the least-squares best-fit line is given along with the 1σ uncertainty region. We show the Si ii
λ6355 velocity and the C ii pEW, both obtained within 3 days of the B-band maximum;
; the color (B − V) at the B-band maximum corrected only for Milky Way extinction; the color
; and the B-band and pseudo-bolometric peak magnitude and flux corrected for host galaxy extinction. The p-value for each fit is provided above each panel.
Figure 20. Correlation plots between measured parameters of 2003fg-like SNe. Above each panel the p-value is given. All relationships are statistically significant except for the lower left and lower middle panels between MB
,
, and Si velocity. For each panel the line of best fit determined by a least-squares technique is provided along with the 1σ uncertainty shaded region. It should be noted that
in this plot has been K-corrected. A full pair plot of all parameters can be found in Appendix B.
Download figure:
Standard image High-resolution imageArguably the most interesting correlation is between the pEW of C ii and the velocity of Si ii λ6355, both taken at maximum light. SNe with slower Si ii velocities tend to have larger values of the C ii pEW. Slower Si velocities could be produced by a WD exploding inside a carbon-rich envelope. The ejecta would slow down as they run into the envelope (Noebauer et al. 2016). In a simplistic picture, a large envelope mass would produce lower ejecta velocities, as more kinetic energy would be deposited into a more massive envelope. A larger envelope mass would also produce longer diffusion times and broader light curves, as is seen in the top middle panel of Figure 20, where there is a correlation between the C ii pEW and Δm15(B). The 2003fg-like SNe with broader light curves have larger C ii features and slower Si ii λ6355 velocities. These three correlations point to a nondegenerate carbon-rich envelope as the dominant cause of the observed diversity among the 2003fg-like SNe. Interestingly, these correlations are not seen in the normal SNe Ia, demonstrating that normal SNe Ia are not produced via the envelope model. For example, faster-declining SNe have the slowest ejecta velocities (e.g., Benetti et al. 2005; Ashall et al. 2018; Gall et al. 2018; Galbany et al. 2019).
The unique i-band behavior sets 2003fg-like SNe apart from other luminous events. 2003fg-like SNe generally show no secondary i-band maximum. A weak i-band secondary requires either full mixing in the ejecta or a lack of recombination of Fe-group layers above the photosphere (Höflich et al. 2002; Kasen 2006; Jack et al. 2015). In the case of 2003fg-like SNe, the lack of an H-band break at +10 days indicates that the photosphere is not within the 56Ni region and therefore the ejecta cannot be fully mixed. Instead, the weak i-band secondary maximum may be caused by a lack of recombination of Fe-group elements. The timing of the i-band maximum (
)
35
allows for 2003fg-like SNe to be distinguished from other SNe Ia (Ashall et al. 2020). 2003fg-like SNe with larger values of
tend to have lower values of the Si ii
λ6355 pEW. This is in contradiction with the trend seen between subluminous and normal SNe Ia, where a lower value of
and a stronger i-band secondary maximum are correlated with a higher ionization state and faster velocities (e.g., Kasen 2006). This is seen in 1991T-like SNe, but not in 2003fg-like SNe, which show a weaker Si ii
λ6355 pEW feature and larger values of
, possibly caused by longer diffusion timescales through the large carbon-rich outer envelope.
The
parameter is also found to be correlated with the observed (B − V) color at maximum light, and with the difference between the Bmax and Vmax magnitudes (middle left and middle right panels of Figure 20). In both cases, the photometry was not corrected for host galaxy extinction. Redder 2003fg-like SNe have larger values of
indicating cooler ejecta and a larger reprocessing of flux toward redder wavelengths. This is consistent with a homologous expansion that is adiabatically cooling. Line blanketing in the UV can also reprocess flux into redder wavelengths through fluorescence. It causes redder colors in SNe (Lentz et al. 2000; Mazzali 2000). As line blanketing is due to the presence of heavy elements in the outer layers, differences in the magnitude of line blanketing (resulting in differences in UV–optical colors) could be caused by differences in the metallicity of the progenitor or in the shape of the outer density profile (Walker et al. 2012). We note that the three correlations in the middle panels of Figure 20 may be largely driven by ASASSN-15hy.
It should be noted, however, that there is no statistically significant correlation between the peak (B-band or bolometric) luminosity (both corrected and not corrected for host galaxy extinction) and the Si ii velocity at maximum light. This is inconsistent with predictions from the super-MCh scenario (Howell et al. 2006). The lack of a correlation here implies that more than just the mass of the exploding WD drives the luminous display.
Overall the correlations in Figure 20 are consistent with a degenerate core exploding inside a carbon-rich envelope. This could occur in the core-degenerate scenario. We discuss this further in Section 8.
8. Discussion
Here we place into context our findings relative to three leading models of 2003fg-like SNe. One leading model consists of the disruption of a C–O WD that exceeds the MCh limit due to rapid rotation and/or strong magnetic fields (Yoon & Langer 2005; Das & Mukhopadhyay 2013). Alternatively the merger of two WDs could produce SNe Ia exceeding the MCh limit (e.g., Scalzo et al. 2010). Finally, another viable model may be the disruption of a C–O degenerate core within a dense circumstellar material environment (Hachinger et al. 2012; Noebauer et al. 2016). This is also referred to as an envelope model (Hoeflich & Khokhlov 1996). Such an explosion could be associated with an explosion of a degenerate core of an AGB star (i.e., the core-degenerate scenario; Hsiao et al. 2020; Lu et al. 2021), or with a C–O WD explosion with surrounding circumstellar dust (Nagao et al. 2017, 2018). We discuss each of these models below.
8.1. Super-MCh WD
A single WD may exceed the MCh limit due to rapid rotation or strong magnetic fields (Yoon & Langer 2005; Das & Mukhopadhyay 2013). The mass limit of such a model is thought to be 1.8M⊙ (Yoon & Langer 2005). A C/O WD exploding at such masses may be able to produce enough 56Ni to power the extreme luminosities observed in some 2003fg-like SNe. However, due to this scenario requiring a detonation as the explosion mechanism, it has problems producing the large amounts of unburnt carbon and intermediate-mass elements, as well as the low ionization, observed in maximum-light spectra (Hoeflich & Khokhlov 1996).
In the super-MCh WD scenario it is predicted that an increased total WD mass should result in a larger 56Ni mass and a higher binding energy, which would result in longer diffusion timescales, higher luminosities, lower kinetic energies, and lower ejecta velocities (Howell et al. 2006). However, in our sample there is no correlation between Si ii λ6355 velocity and peak B-band or bolometric magnitude 36 (as a proxy for binding energy and 56Ni mass), or between Δm15(B) and B-band or bolometric magnitude (both as a proxy for WD mass). Both of these correlations would be expected if the driving parameter among 2003fg-like SNe were ejecta mass. Furthermore, producing the luminosity of the most luminous 2003fg-like SNe, such as SN 2003fg, will require an ejecta mass of 2.1M⊙ (Howell et al. 2006). This is above the mass limit (1.8M⊙) of a single super-MCh WD (Yoon & Langer 2005).
8.2. Dynamically Merging WDs
In the double-degenerate scenario, two WDs may dynamically merge and produce a large 56Ni mass. The advantage of this scenario is that the summed mass of the two WDs can exceed 1.8M⊙. The low levels of continuum polarization in the two 2003fg-like SNe that have data, SN 2007if and SN 2009dc (Tanaka et al. 2010; Cikota et al. 2019), make dynamical mergers an unlikely avenue to produce these 2003fg-like SNe, as such models are highly aspherical (Bulla et al. 2016). As there are many varieties of WD masses that may merge, as well as off-center 56Ni distributions from dynamical merger models, it would also be expected that dynamical mergers do not produce the correlations seen in the data.
8.3. Envelope Model
The data and correlations presented in this work (Figure 20) are consistent with the hydrogen-free (and possibly helium-free) envelope model. In such a model, a C/O WD explodes within a nondegenerate C-rich envelope (e.g., Hoeflich & Khokhlov 1996). For a given WD mass, a more massive envelope would produce stronger carbon lines, lower Si velocities, and longer diffusion timescales. This is evident in the correlations between Si ii λ6355 velocity and C ii 6580 Å pEW (which is a proxy for envelope mass) and Δm15(B) (which is a proxy for diffusion time). A more massive carbon envelope would also produce a covering mass above the 56Ni region, which would naturally explain the observed very late onset of the H-band break. Furthermore, there are multiple factors affecting the luminosity. For a given WD mass, varying the envelope mass would produce a correlation between the expansion velocity and luminosity. In the case of a more massive envelope, the exploding WD would have more mass to deposit its energy into and decrease its speed, and this deposited energy would be converted into luminosity. Thus, both envelope mass and 56Ni mass contribute to the observed luminosity. An additional factor may be the flame propagation speed (e.g., deflagration or detonation) as discussed in Lu et al. (2021). Such a model may also be referred to as the deflagration core-degenerate scenario. In the envelope scenario, reprocessing of the flux from the optical to the NIR in the envelope would also produce the high NIR flux observed.
A viable progenitor scenario within the envelope model configuration is the core-degenerate scenario. The core-degenerate scenario is the explosion of a degenerate C/O core in the center of an AGB star. The signature of a superwind detected in observations of LSQ 14fmg provides a compelling link to an AGB progenitor (Hsiao et al. 2020). This class of models provides results that match the observational properties of both LSQ 14fmg (Hsiao et al. 2020) and ASASSN-15hy (Lu et al. 2021).
Finally, in the core-degenerate scenario there should be significant X-ray luminosity (Lu et al. 2021). This should be searched for in future nearby events. Another prediction of the core-degenerate scenario is the formation of CO in a high-density and low-temperature nondegenerate envelope. It has been proposed that active CO formation manifests as the observed rapid decline in the optical light curve at various phases in SN 2009dc, SN 2012dn, LSQ 14fmg, and CSS 140126 (Hsiao et al. 2020). The timing of this drop is dictated by the envelope's ability to cool and is correlated with the envelope mass as indicated by the minimum of the Si ii λ6355 velocity (Quimby et al. 2006; Hsiao et al. 2020). Faster-expanding ejecta cool faster. Another prediction from the core-degenerate scenario is an interaction with previous superwind episodes of the AGB star, which may occur between 1 and 10 yr after the SN explosion (Hsiao et al. 2020). Observationally this appears as a UV late-time rebrightening (e.g., Graham et al.2019).
One important parameter for core-degenerate models is low metallicity (
) (Lu et al. 2021), which is also seen at the local environment of 2003fg-like SNe (L. Galbany et al. 2021, in preparation). These low metallicities may come from Population I or II stars. In contrast to normal SNe Ia, 2003fg-like SNe show no increase in UV flux ratio at early times. This is possibly caused by a low metallicity of the progenitor and reduced line blanketing in the outer ejecta.
9. Conclusion
This paper presents a homogeneous sample of nine 2003fg-like SNe observed by CSP-I and CSP-II, which are analyzed in addition to four objects from the literature. This is the most complete 2003fg-like SN data set to date.
Photometrically not all 2003fg-like SNe are overluminous. In fact in the optical (B and V bands), they populate the main part of the LWR with absolute B-band magnitudes between ∼−19 and ∼−21 mag. 2003fg-like SNe begin to differ from normal SNe Ia in the redder bands. In the i band, 2003fg-like SNe peak after the time of B-band maximum and have weak secondary maxima. In the NIR bands, 2003fg-like SNe are unique and are at least 1 mag brighter than normal SNe Ia with the same optical light-curve shape. Furthermore, their rise in the H band can be up to 40 days longer than their rise in the B band.
Light-curve fitters determine that 2003fg-like SNe have negative Hubble residuals, i.e., they are too bright for their light-curve shape. As 2003fg-like SNe preferentially explode in low-mass, low-metallicity, and high-sSFR galaxies they are more prevalent in the high-redshift universe. Therefore, due to the similarity between normal and 2003fg-like SNe in the bluer bands (B and V), future high-redshift cosmological surveys should ensure they obtain rest-frame NIR observations in order to minimize bias introduced by the contamination of 2003fg-like SNe. As this may not always be possible, it is important to carefully study 2003fg-like SNe to fully understand the bias they cause in SN cosmology.
Optical spectra of 2003fg-like SNe are similar to those of normal SNe Ia, but most have strong carbon absorption well past maximum light, as well as low velocity gradients before maximum light. In the NIR, 2003fg-like SNe do not show a distinct H-band break at ∼10 days. In 2003fg-like SNe, this H-band break is not visible until beyond 70 days past maximum light.
With our large sample of 2003fg-like SNe we find that the ubiquitous characteristics of all 2003fg-like SNe are the following:
- 1.A broad optical light-curve shape (Δm15(B) < 1.3 mag)
- 2.A primary i-band peak after the phase of the B-band maximum
- 3.A lack of strong Fe iii features in early spectra
- 4.A peak H-band absolute magnitude brighter than −19 mag
- 5.Carbon absorption at early times (−10 days from maximum light)
- 6.No clear H-band break at +10 days from maximum light
These criteria should be used in future studies to determine if an SN is truly 2003fg-like.
In 2003fg-like SNe the luminous long-rising NIR light curves may be caused by the reprocessing of flux to the NIR as a result of an explosion inside a massive envelope. The lack of an early H-band break also demonstrates that the photosphere is not within the 56Ni region until a much later epoch. These observations provide direct evidence that there is a significant amount of ejecta above the 56Ni region.
A number of unique and interesting correlations are found within our data set. There are strong correlations between the pEW of the C ii feature at maximum light, the Si ii velocity at maximum light, and Δm15(B). The 2003fg-like SNe with larger C ii pEWs have slower Si ii velocities at maximum light and broader light curves. These correlations are fully consistent with an envelope model where a C/O degenerate star explodes within an envelope. In such a configuration for a given degenerate-core mass a larger envelope mass would produce slower Si velocities and longer diffusion timescales. Given that there are no H or He lines in 2003fg-like SN spectra it is likely that this envelope is carbon/oxygen dominated. One promising progenitor scenario and explosion mechanism is the core-degenerate scenario (Kashi & Soker 2011; Hsiao et al. 2020; Lu et al. 2021).
The data presented here provide a new critical piece of information in determining the source of diversity of 2003fg-like SNe and the nature of SNe Ia in general. It is clear that 2003fg-like SNe are far more diverse than previously thought. Only with high-precision observations extending from optical through NIR wavelengths can the physics be clearly understood. It is apparent that simply changing the mass of the exploding WD will not produce all of the observational characteristics. Our data are consistent with a degenerate core exploding within a carbon-rich envelope, with the core-degenerate scenario providing one of the strongest paths to producing 2003fg-like SN events.
The authors would like to thank Vanessa Díaz for helping with data visualization. C.A. and B.J.S. are supported by NASA grant 80NSSC19K1717 and NSF grants AST-1920392 and AST-1911074. M.S. and F.T. are supported by grants from Villum Fonden (28021) and the Independent Research Fund Denmark (8021-00170B). E.B. was supported in part by NASA grant 80NSSC20K0538. N.B.S. acknowledges support from the Texas A&M University Mitchell/Heep/Munnerlyn Chair in Observational Astronomy. L.G. was funded by the European Union's Horizon 2020 research and innovation program under Marie Skłodowska-Curie grant agreement No. 839090. L.G. acknowledges financial support from the Spanish Ministry of Science, Innovation and Universities (MICIU) under the 2019 Ramón y Cajal program RYC2019-027683 and from the Spanish MICIU project PID2020-115253GA-I00. CSP has been funded by the NSF under grants AST-0306969, AST-0607438, AST-1008343, AST-1613426, AST-1613455, and AST-1613472, and in part by a Sapere Aude Level 2 grant funded by the Danish Agency for Science and Technology and Innovation (PI: M.S.). Time-domain research by D.J.S. is supported by NSF grants AST-1821987, 1813466, and 1908972, and by the Heising-Simons Foundation under grant No. 2020-1864. Based on observations made with the Nordic Optical Telescope, owned in collaboration by the University of Turku and Aarhus University, and operated jointly by Aarhus University, the University of Turku and the University of Oslo, representing Denmark, Finland and Norway, the University of Iceland and Stockholm University at the Observatorio del Roque de los Muchachos, La Palma, Spain, of the Instituto de Astrofisica de Canarias.
Facilities: Magellan - , du Pont - , Swope - , Nordic Optical Telescope. -
Software: IRAF (Tody 1986, 1993), SNooPy (Burns et al. 2011), Astropy (Astropy Collaboration et al. 2013, 2018), IDL Astronomy User's Library (Landsman 1995), and misfits (S. Holmbo et al., in preparation).
Appendix A: Observational Details
A.1. Discovery Information
The discovery information of the five 2003fg-like SNe with CSP-II data that have not previously been published is outlined here.
LSQ 12gpw was discovered by the La Silla-QUEST Low Redshift Supernova Survey (Baltay et al. 2013). The earliest images where the object is present were obtained on 2012 November 16.1 and 16.2 UT yielding 20.9 and 20.8 mag, respectively. The image of last nondetection was taken on 2012 November 14.2 UT with a limiting magnitude of 21.5 mag. The classification spectrum was taken on 2012 December 6.25 UT with EFOSC2 on the ESO New Technology Telescope as part of the Public ESO Spectroscopic Survey for Transient Objects (PESSTO; Smartt et al. 2015). The spectrum resembles that of SN 2006gz (Maguire et al. 2012). The rising light curves of LSQ 12gpw have been examined in detail by Firth et al. (2015) and Jiang et al. (2018). The Swope light curves have also been published by Walker et al. (2015). Here, we present the same data set but calibrated using the procedures outlined in Phillips et al. (2019).
SN 2013ao was discovered by the Catalina Real-time Transient Survey (CRTS; Drake et al. 2009) and was originally designated CSS 130315:114445-203140 and SSS 130304:114445-203141. The SN was discovered in an image taken on 2013 March 4.77 UT yielding a discovery magnitude of 17.0 mag. There is no strong constraint on the explosion date from CRTS as the previous image of the object was taken more than 8 months prior (Drake et al. 2013). The classification spectrum was taken on 2013 March 6.21 UT by PESSTO and resembles that of pre-maximum normal SNe Ia (Inserra et al.2013).
CSS 140126:120307-010132 or CSS 140126 for short was also discovered by CRTS using multiple images obtained on 2014 January 2.5 UT, yielding a discovery magnitude of 18.8 mag. There is no strong constraint on the explosion date from CRTS as the previous image of the object was taken more than 6 months prior. The classification spectrum was taken on 2014 January 4.32 UT by PESSTO and resembles that of 1991T-like SNe Ia (Fleury et al. 2014).
CSS 140501:170414+174839 or CSS 140501 for short was also discovered by CRTS using multiple images obtained on 2014 May 1.5 UT, yielding a discovery magnitude of 18.7 mag. The SN is also present in multiple images taken on 2014 April 23.5 UT, corresponding to −16.7 days relative to the B-band maximum, at 19.7 mag. The last nondetection is based on multiple images taken on 2014 April 7.5 UT with a limiting magnitude of 20.7 mag. The classification spectrum was taken on 2014 May 5.32 UT by PESSTO and is reported to match the spectra of several SNe Ia before maximum light (Benitez et al.2014).
SN 2015M (KISS 15n) was discovered by the Kiso Supernova Survey (Morokuma et al. 2014) using an image obtained on 2015 May 10.54 UT yielding a discovery magnitude of g = 18.3 mag. No transient was detected in an image observed by the Intermediate Palomar Transient Factory (Masci et al. 2017) on 2015 May 6.30 UT with a limiting magnitude of g = 19.4 mag. ASAS-SN (Shappee et al. 2014; Kochanek et al. 2017) provides an additional nondetection on 2015 May 7.44 UT with a limiting magnitude of V = 16.85 mag. Two classification spectra were obtained using the SPRAT instrument on the Liverpool Telescope on 2015 May 17.08 UT and the Andalucia Faint Object Spectrograph and Camera on the NOT on 2015 May 16.12 UT. Both spectra resemble those of pre-maximum 1991T-like objects (Morokuma et al. 2015). While the object is located toward the Coma cluster, it is unclear whether it is a cluster member. The SN redshift from the classification spectra is roughly consistent with that of the Coma cluster. Images obtained using the Advanced Camera for Surveys (ACS) on the Hubble Space Telescope as part of the ACS Coma Cluster Treasury Survey show the presumed host galaxy at the position of the SN (COMA i13032.301p275841.02; Hammer et al. 2010).
A.2. CSP Photometry and Spectroscopy
The photometry of LSQ 12gpw, SN 2013ao, CSS 140126, CSS 140501, and SN 2015M is tabulated in Tables A1, A2, A3, A4, and A5, respectively. Together with four previously published 2003fg-like SNe followed up by CSP-I and CSP-II, the light curves are plotted individually in Figure A1. All magnitudes are presented in the CSP natural system and have not been K- or S-corrected.
Figure A1. Individual light curves of the nine 2003fg-like SNe followed up by CSP. If the data were previously published elsewhere it is stated in the lower right corner of the panel.
Download figure:
Standard image High-resolution imageTable A1. CSP Natural System Photometry for LSQ 12gpw
| MJD | Phase a | B | V | r | i |
|---|---|---|---|---|---|
| (days) | (days) | (mag) | (mag) | (mag) | (mag) |
| 56,268.2 | −1.0 | 17.60(0.01) | 17.45(0.02) | 17.48(0.02) | 17.85(0.03) |
| 56,269.3 | 0.0 | 17.62(0.01) | 17.48(0.02) | 17.50(0.02) | 17.90(0.03) |
| 56,270.2 | 0.9 | 17.61(0.02) | 17.46(0.02) | 17.48(0.02) | 17.86(0.03) |
| 56,271.2 | 1.9 | 17.63(0.02) | 17.46(0.02) | 17.47(0.03) | 17.85(0.04) |
| 56,272.2 | 2.8 | 17.63(0.02) | 17.47(0.02) | 17.51(0.02) | 17.89(0.03) |
| 56,273.2 | 3.8 | 17.65(0.02) | 17.49(0.02) | 17.53(0.03) | 17.90(0.03) |
| 56,274.1 | 4.6 | 17.70(0.02) | 17.49(0.02) | 17.54(0.03) | 17.93(0.03) |
| 56,275.2 | 5.7 | 17.74(0.02) | 17.52(0.02) | 17.54(0.03) | 17.92(0.04) |
| 56,276.2 | 6.6 | 17.76(0.02) | 17.54(0.02) | 17.58(0.03) | 17.97(0.03) |
| 56,277.2 | 7.6 | 17.82(0.02) | 17.59(0.02) | 17.60(0.03) | 18.02(0.03) |
| 56,282.2 | 12.3 | 18.14(0.02) | 17.74(0.02) | 17.77(0.02) | 18.08(0.03) |
| 56,288.2 | 18.0 | 18.62(0.03) | 18.03(0.03) | 17.91(0.02) | 18.16(0.03) |
Note.
a Rest-frame days relative to the time of B-band maximum given in Table 2.Download table as: ASCIITypeset image
Table A2. CSP Natural System Photometry for SN 2013ao
| MJD | Phase a | u | B | g | V | r | i | Y | J | H |
|---|---|---|---|---|---|---|---|---|---|---|
| (days) | (days) | (mag) | (mag) | (mag) | (mag) | (mag) | (mag) | (mag) | (mag) | (mag) |
| 56,358.3 | −3.6 | 17.29(0.02) | 17.05(0.01) | 16.93(0.01) | 17.02(0.02) | 16.99(0.01) | 17.21(0.01) | ⋯ | ⋯ | ⋯ |
| 56,359.3 | −2.6 | ⋯ | ⋯ | 16.89(0.01) | ⋯ | 16.93(0.01) | ⋯ | ⋯ | ⋯ | ⋯ |
| 56,360.3 | −1.7 | 17.33(0.02) | 16.97(0.02) | 16.88(0.01) | 16.94(0.03) | 16.90(0.01) | 17.16(0.01) | ⋯ | ⋯ | ⋯ |
| 56,364.3 | 2.2 | 17.54(0.02) | 16.98(0.01) | 16.87(0.01) | 16.89(0.01) | 16.80(0.01) | 17.11(0.01) | ⋯ | ⋯ | ⋯ |
| 56,365.2 | 3.0 | 17.63(0.02) | 17.03(0.02) | 16.89(0.01) | 16.86(0.03) | 16.80(0.01) | 17.12(0.01) | ⋯ | ⋯ | ⋯ |
| 56,366.2 | 4.0 | 17.72(0.02) | 17.09(0.01) | 16.92(0.01) | 16.89(0.01) | 16.79(0.01) | 17.09(0.01) | ⋯ | ⋯ | ⋯ |
| 56,367.2 | 5.0 | 17.80(0.02) | 17.12(0.01) | 16.95(0.01) | 16.91(0.01) | 16.80(0.01) | 17.11(0.01) | ⋯ | ⋯ | ⋯ |
| 56,368.2 | 5.9 | 17.92(0.01) | 17.17(0.01) | 17.00(0.01) | 16.93(0.01) | 16.80(0.01) | 17.14(0.01) | ⋯ | ⋯ | ⋯ |
| 56,369.2 | 6.9 | 18.00(0.02) | ⋯ | 17.04(0.01) | ⋯ | 16.81(0.01) | 17.11(0.01) | ⋯ | ⋯ | ⋯ |
| 56,370.3 | 7.9 | 18.15(0.02) | 17.30(0.02) | 17.10(0.01) | 16.95(0.03) | 16.82(0.01) | 17.15(0.01) | ⋯ | ⋯ | ⋯ |
| 56,371.2 | 8.8 | 18.24(0.02) | 17.40(0.01) | 17.17(0.01) | 17.02(0.01) | 16.84(0.01) | 17.17(0.01) | ⋯ | ⋯ | ⋯ |
| 56,372.2 | 9.8 | 18.39(0.02) | 17.47(0.02) | 17.24(0.01) | 17.04(0.01) | 16.86(0.01) | 17.18(0.01) | ⋯ | ⋯ | ⋯ |
| 56,373.2 | 10.7 | 18.50(0.02) | 17.58(0.01) | 17.32(0.01) | 17.09(0.01) | 16.88(0.01) | 17.20(0.01) | ⋯ | ⋯ | ⋯ |
| 56,374.2 | 11.7 | 18.60(0.02) | 17.65(0.01) | 17.38(0.01) | 17.12(0.01) | 16.90(0.01) | 17.23(0.01) | ⋯ | ⋯ | ⋯ |
| 56,375.2 | 12.6 | 18.78(0.02) | 17.74(0.02) | 17.47(0.01) | 17.17(0.03) | 16.93(0.02) | 17.23(0.02) | 17.17(0.02) | 17.41(0.02) | 17.13(0.04) |
| 56,376.2 | 13.6 | 18.94(0.03) | 17.87(0.02) | 17.56(0.01) | 17.24(0.02) | 16.97(0.01) | 17.27(0.01) | 17.15(0.01) | 17.45(0.04) | ⋯ |
| 56,377.2 | 14.5 | ⋯ | ⋯ | ⋯ | ⋯ | ⋯ | ⋯ | 17.14(0.01) | 17.46(0.03) | ⋯ |
| 56,378.2 | 15.5 | ⋯ | ⋯ | ⋯ | ⋯ | ⋯ | ⋯ | 17.10(0.01) | 17.49(0.03) | ⋯ |
| 56,379.2 | 16.6 | 19.34(0.06) | 18.24(0.03) | 17.84(0.02) | 17.40(0.04) | 17.05(0.01) | 17.32(0.02) | 17.04(0.01) | 17.51(0.03) | 17.13(0.04) |
| 56,380.2 | 17.4 | 19.48(0.04) | 18.33(0.02) | 17.94(0.02) | 17.50(0.03) | 17.12(0.01) | 17.35(0.02) | ⋯ | ⋯ | ⋯ |
| 56,381.2 | 18.4 | 19.55(0.04) | 18.40(0.02) | 18.01(0.01) | 17.54(0.03) | 17.15(0.02) | 17.37(0.02) | ⋯ | ⋯ | ⋯ |
| 56,382.1 | 19.2 | 19.64(0.04) | 18.53(0.02) | 18.12(0.01) | 17.59(0.01) | 17.20(0.01) | 17.38(0.01) | ⋯ | ⋯ | ⋯ |
| 56,383.2 | 20.3 | 19.83(0.04) | 18.62(0.02) | 18.21(0.01) | 17.67(0.02) | 17.24(0.01) | 17.38(0.01) | ⋯ | ⋯ | ⋯ |
| 56,384.2 | 21.2 | 19.91(0.04) | 18.74(0.02) | 18.30(0.01) | 17.72(0.01) | 17.26(0.01) | 17.38(0.01) | 16.98(0.01) | 17.48(0.04) | 17.11(0.04) |
| 56,385.2 | 22.2 | 20.07(0.03) | 18.79(0.02) | 18.39(0.01) | 17.79(0.02) | 17.32(0.01) | 17.41(0.01) | ⋯ | ⋯ | ⋯ |
| 56,386.1 | 23.1 | 20.08(0.03) | 18.89(0.02) | 18.45(0.01) | 17.83(0.01) | 17.35(0.01) | 17.40(0.01) | ⋯ | ⋯ | ⋯ |
| 56,387.1 | 24.0 | ⋯ | 18.92(0.02) | 18.53(0.01) | 17.91(0.01) | 17.38(0.01) | 17.42(0.01) | ⋯ | ⋯ | ⋯ |
| 56,388.2 | 25.1 | 20.20(0.03) | 19.05(0.02) | 18.60(0.01) | 17.93(0.03) | 17.42(0.01) | 17.43(0.01) | ⋯ | ⋯ | ⋯ |
| 56,389.2 | 26.0 | 20.30(0.04) | 19.12(0.02) | 18.66(0.01) | 17.99(0.02) | 17.46(0.01) | 17.48(0.01) | ⋯ | ⋯ | ⋯ |
| 56,390.1 | 26.9 | ⋯ | 19.14(0.02) | 18.71(0.01) | 18.00(0.03) | 17.48(0.01) | 17.46(0.02) | ⋯ | ⋯ | ⋯ |
| 56,391.2 | 28.0 | 20.34(0.05) | 19.21(0.02) | 18.77(0.01) | 18.08(0.01) | 17.54(0.01) | 17.51(0.01) | ⋯ | ⋯ | ⋯ |
| 56,393.2 | 29.8 | 20.59(0.07) | 19.31(0.04) | 18.88(0.02) | 18.17(0.02) | 17.61(0.01) | 17.56(0.01) | ⋯ | ⋯ | ⋯ |
| 56,397.2 | 33.7 | 20.74(0.05) | 19.49(0.03) | 19.02(0.02) | 18.35(0.02) | 17.75(0.01) | 17.68(0.02) | ⋯ | ⋯ | ⋯ |
| 56,398.1 | 34.6 | 20.64(0.06) | 19.53(0.02) | 19.06(0.01) | 18.37(0.02) | 17.79(0.01) | 17.74(0.01) | ⋯ | ⋯ | ⋯ |
| 56,399.1 | 35.5 | ⋯ | 19.57(0.02) | 19.10(0.01) | 18.42(0.02) | 17.82(0.01) | 17.76(0.01) | 16.95(0.01) | 17.56(0.03) | 17.24(0.04) |
| 56,400.1 | 36.5 | ⋯ | 19.54(0.02) | 19.11(0.01) | 18.44(0.02) | 17.87(0.01) | 17.80(0.01) | ⋯ | ⋯ | ⋯ |
| 56,401.0 | 37.3 | ⋯ | 19.53(0.03) | 19.13(0.02) | 18.44(0.03) | 17.88(0.01) | 17.81(0.02) | ⋯ | ⋯ | ⋯ |
| 56,402.2 | 38.4 | ⋯ | 19.66(0.04) | 19.18(0.02) | 18.49(0.03) | 17.94(0.01) | 17.85(0.01) | ⋯ | ⋯ | ⋯ |
| 56,403.0 | 39.3 | ⋯ | 19.62(0.04) | 19.20(0.02) | 18.50(0.02) | 17.96(0.02) | 17.88(0.02) | ⋯ | ⋯ | ⋯ |
| 56,404.0 | 40.2 | 21.01(0.16) | 19.58(0.04) | 19.24(0.02) | 18.52(0.02) | 18.00(0.01) | 17.94(0.02) | ⋯ | ⋯ | ⋯ |
| 56,407.2 | 43.3 | ⋯ | 19.68(0.08) | 19.33(0.04) | 18.63(0.03) | 18.12(0.02) | 18.05(0.02) | ⋯ | ⋯ | ⋯ |
| 56,409.2 | 45.2 | ⋯ | 19.83(0.15) | 19.36(0.05) | ⋯ | ⋯ | 18.06(0.02) | ⋯ | ⋯ | ⋯ |
| 56,410.1 | 46.1 | ⋯ | 19.76(0.05) | 19.31(0.02) | 18.77(0.02) | 18.20(0.01) | 18.16(0.01) | ⋯ | ⋯ | ⋯ |
| 56,411.2 | 47.0 | ⋯ | 19.78(0.04) | 19.38(0.02) | 18.75(0.02) | 18.25(0.01) | 18.20(0.01) | ⋯ | ⋯ | ⋯ |
| 56,415.2 | 51.0 | ⋯ | 19.92(0.04) | 19.46(0.02) | 18.85(0.02) | 18.36(0.01) | ⋯ | ⋯ | ⋯ | ⋯ |
| 56,416.2 | 51.8 | 21.04(0.07) | 19.83(0.03) | 19.48(0.01) | 18.87(0.03) | 18.38(0.01) | 18.40(0.02) | ⋯ | ⋯ | ⋯ |
| 56,417.1 | 52.8 | 21.07(0.07) | 19.94(0.02) | 19.47(0.01) | 18.86(0.03) | 18.41(0.01) | 18.43(0.01) | ⋯ | ⋯ | ⋯ |
| 56,418.2 | 53.8 | 21.14(0.08) | 19.95(0.02) | 19.51(0.01) | 18.90(0.03) | 18.44(0.01) | 18.49(0.02) | ⋯ | ⋯ | ⋯ |
| 56,419.2 | 54.8 | ⋯ | 19.94(0.02) | 19.51(0.01) | 18.94(0.02) | 18.45(0.01) | 18.52(0.01) | ⋯ | ⋯ | ⋯ |
| 56,420.2 | 55.7 | 21.14(0.07) | 19.96(0.03) | 19.55(0.01) | 18.95(0.03) | 18.48(0.02) | 18.54(0.02) | ⋯ | ⋯ | ⋯ |
| 56,422.2 | 57.7 | ⋯ | ⋯ | 19.56(0.02) | ⋯ | 18.53(0.01) | 18.58(0.01) | ⋯ | ⋯ | ⋯ |
| 56,423.2 | 58.6 | ⋯ | 20.02(0.03) | ⋯ | 18.98(0.03) | 18.56(0.01) | 18.63(0.02) | ⋯ | ⋯ | ⋯ |
| 56,424.1 | 59.5 | ⋯ | 20.00(0.03) | 19.61(0.01) | 19.01(0.03) | 18.55(0.01) | 18.66(0.02) | ⋯ | ⋯ | ⋯ |
| 56,425.1 | 60.4 | ⋯ | ⋯ | 19.60(0.02) | 19.04(0.04) | 18.57(0.02) | 18.69(0.02) | ⋯ | ⋯ | ⋯ |
| 56,428.2 | 63.4 | ⋯ | 20.03(0.02) | 19.64(0.01) | 19.06(0.02) | 18.66(0.01) | 18.82(0.02) | ⋯ | ⋯ | ⋯ |
| 56,435.1 | 70.0 | ⋯ | 19.97(0.07) | 19.67(0.04) | 19.17(0.04) | 18.78(0.02) | 18.98(0.03) | ⋯ | ⋯ | ⋯ |
| 56,438.2 | 73.0 | ⋯ | 20.24(0.11) | 19.78(0.04) | 19.25(0.04) | 18.88(0.02) | 19.17(0.03) | ⋯ | ⋯ | ⋯ |
| 56,445.0 | 79.6 | ⋯ | 20.28(0.03) | 19.86(0.02) | 19.36(0.03) | 19.04(0.01) | 19.30(0.02) | ⋯ | ⋯ | ⋯ |
| 56,448.1 | 82.5 | ⋯ | 20.32(0.03) | 19.92(0.02) | 19.42(0.03) | 19.11(0.01) | 19.35(0.02) | ⋯ | ⋯ | ⋯ |
Note.
a Rest-frame days relative to the time of B-band maximum given in Table 2.Download table as: ASCIITypeset image
Table A3. CSP Natural System Photometry for CSS 140126
| MJD | Phase a | B | g | V | r | i | Y | J |
|---|---|---|---|---|---|---|---|---|
| (days) | (days) | (mag) | (mag) | (mag) | (mag) | (mag) | (mag) | (mag) |
| 56,662.3 | −5.3 | 18.50(0.01) | ⋯ | 18.47(0.01) | 18.58(0.01) | 18.86(0.02) | ⋯ | ⋯ |
| 56,663.3 | −4.3 | 18.43(0.01) | ⋯ | 18.42(0.01) | 18.51(0.01) | 18.83(0.02) | ⋯ | ⋯ |
| 56,664.3 | −3.4 | 18.36(0.01) | ⋯ | 18.35(0.01) | 18.45(0.01) | 18.79(0.02) | ⋯ | ⋯ |
| 56,665.3 | −2.5 | 18.33(0.01) | ⋯ | 18.29(0.01) | 18.39(0.01) | 18.75(0.02) | ⋯ | ⋯ |
| 56,666.4 | −1.6 | 18.27(0.01) | ⋯ | 18.25(0.01) | 18.35(0.01) | 18.77(0.01) | 18.82(0.02) | 18.76(0.02) |
| 56,667.3 | −0.6 | 18.27(0.01) | ⋯ | 18.26(0.01) | 18.32(0.01) | 18.73(0.01) | ⋯ | ⋯ |
| 56,668.3 | 0.3 | 18.30(0.01) | ⋯ | 18.25(0.01) | 18.29(0.01) | 18.68(0.01) | ⋯ | ⋯ |
| 56,669.3 | 1.2 | ⋯ | ⋯ | ⋯ | ⋯ | ⋯ | 18.86(0.02) | 18.81(0.02) |
| 56,670.3 | 2.2 | 18.32(0.01) | ⋯ | 18.28(0.01) | 18.26(0.01) | 18.64(0.01) | ⋯ | ⋯ |
| 56,671.3 | 3.1 | ⋯ | ⋯ | ⋯ | ⋯ | ⋯ | 18.86(0.02) | 18.89(0.02) |
| 56,672.3 | 4.0 | 18.39(0.02) | ⋯ | 18.28(0.02) | 18.23(0.01) | 18.60(0.02) | ⋯ | ⋯ |
| 56,675.3 | 6.8 | ⋯ | ⋯ | ⋯ | ⋯ | ⋯ | 19.00(0.03) | 19.19(0.04) |
| 56,680.4 | 11.5 | 18.72(0.02) | ⋯ | 18.43(0.02) | ⋯ | ⋯ | ⋯ | ⋯ |
| 56,681.3 | 12.4 | 18.82(0.02) | ⋯ | 18.50(0.01) | 18.46(0.01) | 19.16(0.02) | ⋯ | ⋯ |
| 56,684.4 | 15.2 | 19.15(0.01) | ⋯ | 18.68(0.01) | 18.64(0.01) | 19.28(0.02) | ⋯ | ⋯ |
| 56,691.2 | 21.6 | 20.11(0.02) | 19.73(0.01) | 19.24(0.01) | ⋯ | 19.20(0.02) | ⋯ | ⋯ |
| 56,692.3 | 22.6 | 20.26(0.02) | ⋯ | 19.32(0.01) | 18.96(0.01) | 19.15(0.02) | ⋯ | ⋯ |
| 56,693.3 | 23.5 | ⋯ | ⋯ | ⋯ | 19.00(0.02) | 19.13(0.02) | ⋯ | ⋯ |
| 56,694.3 | 24.4 | 20.48(0.03) | ⋯ | ⋯ | 19.06(0.01) | 19.16(0.02) | ⋯ | ⋯ |
| 56,695.3 | 25.4 | ⋯ | ⋯ | ⋯ | 19.09(0.02) | 19.15(0.02) | ⋯ | ⋯ |
| 56,696.3 | 26.3 | ⋯ | ⋯ | ⋯ | 19.17(0.01) | 19.13(0.02) | ⋯ | ⋯ |
| 56,697.3 | 27.2 | ⋯ | ⋯ | ⋯ | 19.20(0.01) | 19.15(0.02) | ⋯ | ⋯ |
| 56,698.3 | 28.1 | ⋯ | ⋯ | ⋯ | 19.24(0.01) | 19.22(0.02) | ⋯ | ⋯ |
| 56,699.4 | 29.2 | ⋯ | ⋯ | 19.91(0.02) | 19.30(0.02) | ⋯ | ⋯ | ⋯ |
| 56,708.3 | 37.4 | ⋯ | ⋯ | 20.11(0.04) | 19.61(0.03) | 19.55(0.03) | ⋯ | ⋯ |
| 56,709.4 | 38.5 | ⋯ | ⋯ | 20.21(0.04) | 19.69(0.02) | 19.59(0.02) | ⋯ | ⋯ |
| 56,710.4 | 39.3 | ⋯ | ⋯ | 20.26(0.04) | 19.72(0.02) | 19.67(0.03) | ⋯ | ⋯ |
| 56,711.4 | 40.3 | ⋯ | ⋯ | 20.28(0.04) | 19.78(0.02) | 19.69(0.02) | ⋯ | ⋯ |
| 56,712.4 | 41.2 | ⋯ | ⋯ | 20.30(0.03) | 19.79(0.02) | 19.76(0.03) | ⋯ | ⋯ |
| 56,713.4 | 42.2 | ⋯ | ⋯ | 20.39(0.03) | 19.81(0.02) | 19.82(0.03) | ⋯ | ⋯ |
Note.
a Rest-frame days relative to the time of B-band maximum given in Table 2.Download table as: ASCIITypeset image
Table A4. CSP Natural System Photometry for CSS 140501
| MJD | Phase a | B | V | r | i | Y | J | H |
|---|---|---|---|---|---|---|---|---|
| (days) | (days) | (mag) | (mag) | (mag) | (mag) | (mag) | (mag) | (mag) |
| 56,783.3 | −3.6 | 18.42(0.02) | 18.24(0.02) | 18.22(0.02) | 18.42(0.02) | ⋯ | ⋯ | ⋯ |
| 56,784.3 | −2.7 | 18.39(0.01) | 18.22(0.01) | 18.22(0.01) | 18.39(0.02) | ⋯ | ⋯ | ⋯ |
| 56,785.3 | −1.8 | 18.38(0.01) | 18.20(0.02) | 18.18(0.01) | 18.35(0.02) | 18.28(0.01) | 18.15(0.02) | ⋯ |
| 56,786.3 | −0.8 | 18.34(0.01) | 18.17(0.02) | 18.18(0.02) | 18.37(0.02) | 18.26(0.01) | 18.16(0.02) | 18.24(0.04) |
| 56,787.3 | 0.1 | ⋯ | ⋯ | ⋯ | ⋯ | 18.22(0.01) | 17.97(0.13) | ⋯ |
| 56,788.4 | 1.0 | 18.40(0.02) | 18.13(0.02) | 18.12(0.02) | 18.28(0.04) | ⋯ | ⋯ | ⋯ |
| 56,789.2 | 1.9 | 18.40(0.02) | 18.16(0.02) | 18.10(0.01) | 18.33(0.02) | 18.39(0.02) | 18.21(0.02) | ⋯ |
| 56,790.2 | 2.8 | 18.43(0.03) | 18.17(0.02) | 18.11(0.02) | 18.36(0.02) | ⋯ | ⋯ | ⋯ |
| 56,791.2 | 3.8 | 18.49(0.04) | 18.16(0.03) | 18.11(0.02) | 18.33(0.02) | 18.27(0.01) | 18.26(0.02) | 18.31(0.04) |
| 56,792.3 | 4.7 | 18.51(0.04) | 18.12(0.03) | 18.10(0.02) | 18.39(0.03) | ⋯ | ⋯ | ⋯ |
| 56,793.2 | 5.6 | 18.57(0.03) | 18.20(0.03) | 18.12(0.02) | 18.35(0.02) | 18.30(0.02) | 18.34(0.02) | 18.21(0.04) |
| 56,794.3 | 6.6 | 18.63(0.03) | 18.25(0.02) | 18.10(0.02) | 18.36(0.02) | ⋯ | ⋯ | ⋯ |
| 56,795.3 | 7.5 | 18.65(0.02) | 18.27(0.02) | 18.13(0.02) | 18.36(0.02) | ⋯ | ⋯ | ⋯ |
| 56,796.2 | 8.4 | 18.77(0.02) | 18.28(0.02) | 18.19(0.02) | 18.40(0.02) | ⋯ | ⋯ | ⋯ |
| 56,798.3 | 10.3 | 18.93(0.04) | 18.38(0.02) | 18.24(0.02) | 18.39(0.04) | ⋯ | ⋯ | ⋯ |
| 56,804.2 | 15.8 | 19.73(0.02) | 18.82(0.01) | 18.44(0.01) | 18.54(0.01) | ⋯ | ⋯ | ⋯ |
| 56,808.3 | 19.5 | 20.14(0.02) | 19.10(0.02) | 18.64(0.01) | 18.59(0.01) | ⋯ | ⋯ | ⋯ |
| 56,810.3 | 21.4 | 20.35(0.02) | 19.24(0.01) | 18.74(0.01) | 18.63(0.02) | ⋯ | ⋯ | ⋯ |
Note.
a Rest-frame days relative to the time of B-band maximum given in Table 2.Download table as: ASCIITypeset image
Table A5. CSP Natural System Photometry for SN 2015M
| MJD | Phase a | u | B | g | V | r | i | Y | J | H |
|---|---|---|---|---|---|---|---|---|---|---|
| (days) | (days) | (mag) | (mag) | (mag) | (mag) | (mag) | (mag) | (mag) | (mag) | (mag) |
| 57,154.1 | −14.1 | ⋯ | 17.59(0.02) | ⋯ | 17.40(0.02) | 17.51(0.02) | 17.81(0.03) | ⋯ | ⋯ | ⋯ |
| 57,155.1 | −13.1 | 17.58(0.04) | 17.22(0.01) | 17.10(0.01) | 17.05(0.01) | 17.16(0.01) | 17.46(0.02) | ⋯ | ⋯ | ⋯ |
| 57,156.1 | −12.1 | 17.18(0.02) | 16.86(0.01) | 16.75(0.01) | 16.73(0.01) | 16.82(0.01) | 17.12(0.02) | ⋯ | ⋯ | ⋯ |
| 57,157.1 | −11.1 | 16.92(0.02) | 16.56(0.01) | 16.48(0.01) | 16.47(0.01) | 16.59(0.01) | 16.93(0.04) | ⋯ | ⋯ | ⋯ |
| 57,158.1 | −10.2 | 16.66(0.01) | 16.33(0.01) | 16.24(0.01) | 16.26(0.01) | 16.38(0.01) | 16.70(0.01) | ⋯ | ⋯ | ⋯ |
| 57,159.1 | −9.2 | 16.51(0.02) | 16.13(0.01) | 16.07(0.01) | 16.09(0.01) | 16.20(0.01) | 16.51(0.01) | ⋯ | ⋯ | ⋯ |
| 57,160.1 | −8.2 | 16.33(0.01) | 15.97(0.01) | 15.91(0.01) | 15.95(0.01) | 16.06(0.01) | 16.40(0.01) | ⋯ | ⋯ | ⋯ |
| 57,161.1 | −7.2 | 16.20(0.01) | ⋯ | 15.78(0.01) | 15.84(0.01) | 15.94(0.01) | 16.28(0.01) | ⋯ | ⋯ | ⋯ |
| 57,162.1 | −6.3 | 16.12(0.01) | 15.75(0.01) | 15.68(0.00) | 15.74(0.01) | 15.85(0.01) | 16.23(0.01) | ⋯ | ⋯ | ⋯ |
| 57,163.1 | −5.3 | 16.09(0.01) | 15.67(0.01) | 15.61(0.00) | 15.65(0.01) | 15.77(0.01) | 16.17(0.01) | ⋯ | ⋯ | ⋯ |
| 57,164.1 | −4.3 | 16.07(0.01) | 15.61(0.01) | 15.55(0.01) | 15.58(0.01) | 15.71(0.01) | 16.13(0.01) | ⋯ | ⋯ | ⋯ |
| 57,165.1 | −3.3 | ⋯ | 15.59(0.01) | 15.51(0.00) | 15.55(0.01) | 15.65(0.01) | 16.06(0.09) | ⋯ | ⋯ | ⋯ |
| 57,166.1 | −2.3 | 16.05(0.01) | 15.56(0.00) | 15.48(0.00) | 15.52(0.01) | 15.61(0.00) | 16.10(0.01) | ⋯ | ⋯ | ⋯ |
| 57,169.1 | 0.6 | ⋯ | ⋯ | ⋯ | ⋯ | ⋯ | ⋯ | 16.16(0.04) | 15.90(0.03) | 16.30(0.03) |
| 57,170.1 | 1.6 | ⋯ | ⋯ | ⋯ | ⋯ | ⋯ | ⋯ | 16.22(0.04) | 15.98(0.03) | 16.28(0.03) |
| 57,172.1 | 3.5 | ⋯ | ⋯ | ⋯ | ⋯ | ⋯ | ⋯ | 16.30(0.05) | 16.10(0.03) | 16.32(0.04) |
| 57,173.1 | 4.5 | 16.43(0.02) | 15.67(0.01) | 15.53(0.01) | 15.45(0.01) | 15.52(0.01) | 16.07(0.02) | 16.34(0.04) | 16.04(0.03) | 16.38(0.04) |
| 57,174.1 | 5.5 | 16.48(0.02) | 15.74(0.01) | 15.58(0.01) | 15.50(0.01) | 15.55(0.01) | 16.17(0.01) | ⋯ | ⋯ | ⋯ |
| 57,175.1 | 6.5 | 16.59(0.03) | 15.76(0.01) | 15.62(0.01) | 15.52(0.01) | 15.61(0.01) | 16.22(0.01) | ⋯ | ⋯ | ⋯ |
| 57,176.1 | 7.4 | 16.65(0.02) | 15.82(0.01) | 15.66(0.01) | 15.57(0.01) | 15.60(0.01) | 16.23(0.01) | ⋯ | ⋯ | ⋯ |
| 57,177.1 | 8.4 | 16.75(0.02) | 15.89(0.01) | 15.72(0.01) | 15.58(0.01) | 15.66(0.01) | 16.28(0.01) | ⋯ | ⋯ | ⋯ |
| 57,178.1 | 9.4 | 16.82(0.02) | 15.95(0.01) | 15.78(0.01) | 15.63(0.01) | 15.70(0.01) | 16.30(0.01) | ⋯ | ⋯ | ⋯ |
| 57,179.0 | 10.3 | 16.92(0.02) | 16.04(0.01) | 15.84(0.00) | 15.69(0.01) | 15.74(0.01) | 16.35(0.01) | ⋯ | ⋯ | ⋯ |
| 57,180.1 | 11.3 | 17.02(0.02) | 16.13(0.01) | 15.92(0.01) | 15.74(0.01) | 15.79(0.00) | 16.39(0.01) | ⋯ | ⋯ | ⋯ |
| 57,181.0 | 12.2 | 17.18(0.02) | 16.21(0.01) | 15.99(0.00) | 15.81(0.01) | 15.84(0.01) | 16.43(0.01) | ⋯ | ⋯ | ⋯ |
| 57,182.0 | 13.2 | 17.30(0.02) | 16.32(0.01) | 16.09(0.00) | 15.87(0.01) | 15.88(0.00) | 16.47(0.01) | ⋯ | ⋯ | ⋯ |
| 57,184.0 | 15.2 | 17.55(0.02) | 16.52(0.01) | 16.27(0.01) | 16.01(0.01) | 15.96(0.01) | 16.48(0.01) | ⋯ | ⋯ | ⋯ |
Note.
a Rest-frame days relative to the time of B-band maximum given in Table 2.Download table as: ASCIITypeset image
Twenty-four optical and six NIR spectroscopic observations of nine 2003fg-like SNe were obtained by CSP-I and CSP-II. A log of these unpublished CSP spectra can be seen in Table A6.
Table A6. Journal of Spectroscopic Observations
| SN | JD−2,450,000 | Phase a | Telescope | Instrument |
|---|---|---|---|---|
| (days) | (days) | |||
| Optical | ||||
| 2007if | 4355.86 | +5.48 | du Pont | B&C |
| 2007if | 4361.83 | +11.04 | du Pont | B&C |
| 2007if | 4365.83 | +14.77 | Clay | LDSS3 |
| 2007if | 4377.69 | +25.81 | ESO 3.6 m | EFOSC2 |
| 2007if | 4381.67 | +29.51 | Baade | IMACS |
| 2009dc | 4938.82 | −8.08 | Clay | LDSS3 |
| 2009dc | 4939.79 | −7.13 | du Pont | B&C |
| 2009dc | 4943.78 | −3.22 | du Pont | B&C |
| 2009dc | 4944.80 | −2.22 | du Pont | B&C |
| 2009dc | 4951.75 | +4.58 | Clay | LDSS3 |
| 2009dc | 4952.80 | +5.61 | Clay | LDSS3 |
| 2009dc | 4965.69 | +18.23 | Baade | IMACS |
| 2009dc | 4974.70 | +27.05 | du Pont | B&C |
| 2009dc | 4982.65 | +34.83 | du Pont | B&C |
| LSQ 12gpw | 6275.44 | +5.42 | NOT | ALFOSC |
| 2013ao | 6388.48 | +8.67 | NOT | ALFOSC |
| 2013ao | 6388.48 | +24.87 | SALT | RSS |
| 2013ao | 6407.50 | +43.10 | NOT | ALFOSC |
| CSS 140501 b | 6798.64 | −0.08 | NOT | ALFOSC |
| 2015M | 7158.62 | −10.15 | NOT | ALFOSC |
| 2015M | 7166.42 | −2.52 | NOT | ALFOSC |
| 2015M | 7176.45 | +7.28 | NOT | ALFOSC |
| 2015M | 7180.40 | +11.14 | NOT | ALFOSC |
| 2015M | 7191.50 | +21.99 | NOT | ALFOSC |
| NIR | ||||
| 2013ao | 6371.14 | +8.74 | Baade | FIRE |
| 2013ao | 6376.22 | +13.03 | Baade | FIRE |
| 2013ao | 6383.18 | +19.66 | Baade | FIRE |
| 2013ao | 6385.28 | +21.66 | Baade | FIRE |
| 2013ao | 6431.15 | +65.32 | Baade | FIRE |
| 2015M | 7175.52 | +6.37 | Baade | FIRE |
Notes.
a Rest-frame days relative to the time of B-band maximum given in Table 2. b CSS 140501-170414+174839.Download table as: ASCIITypeset image
Appendix B: Correlations
In Figure B1, pair plots of all the parameters previously shown in the text are presented. Section 7 highlights the ones that have significant correlations.
Figure B1. A pair plot of measured parameters of 2003fg-like SNe; on top of each panel the p-value is given. Potentially significant correlations with p ≤ 0.1 are presented by the best-fit line determined by a least-squares technique along with the 95% confidence intervals in each panel.
Download figure:
Standard image High-resolution imageFootnotes
- 28
See Section 5.2 for the definition of sBV and Δm15(B).
- 29
- 30
- 31
The Image Reduction and Analysis Facility (iraf) is distributed by the National Optical Astronomy Observatory, which is operated by the Association of Universities for Research in Astronomy, Inc., under cooperative agreement with the National Science Foundation.
- 32
- 33
We note that CSS 140126 has a secondary i-band maximum but has an uncertain classification due to low-S/N spectra. However it fits into our sample because it peaks in the i band after peaking in the B band.
- 34
- 35
- 36
Note that the distances to the 2003fg-like SNe are well determined and are not the cause of this lack of correlation.

66
























