Abstract
The LIGO/Virgo and Fermi collaborations recently reported a possible joint detection of a subthreshold gravitational-wave (GW) event and a subthreshold gamma-ray burst (GRB), GBM-190816, that occurred 1.57 s after the merger. We perform an independent analysis of the publicly available data and investigate the physical implications of this potential association. By carefully studying the following properties of GBM-190816 using Fermi/GBM data, including signal-to-noise ratio, duration, f-parameter, spectral properties, energetic properties, and its compliance with some GRB statistical correlations, we confirm that this event is likely a typical short GRB. Assuming its association with the subthreshold GW event, the inferred luminosity is
erg s−1. Based on the available information of the subthreshold GW event, we infer the mass ratio q of the compact binary as
(90% confidence interval) according to the reported range of luminosity distance. If the heavier compact object has a mass >3 solar masses, q can be further constrained to
. The leading physical scenario invokes an NS–BH merger system with the NS tidally disrupted. Within this scenario, we constrain the physical properties of such a system (including mass ratio q, the spin parameters, and the observer's viewing angle) to produce a GRB. The GW data may also allow an NS–BH system with no tidal disruption of the NS (the plunge events) or a BH–BH merger. We apply the charged compact binary coalescence theory (for both a constant charge and an increasing charge for the merging members) to derive the model parameters to account for GBM-190816 and found that the required parameters are extreme. Finally, we argue that the fact that the observed GW–GRB delay timescale is comparable to that of GW170817/GRB 170817A suggests that the GW–GRB time delay of these two cases is mainly defined by the timescale for the jet to propagate to the energy dissipation/GRB emission site.
Export citation and abstract BibTeX RIS
1. Introduction
The field of gravitational-wave-led multimessenger astrophysics grows rapidly since the detection of the first gravitational-wave (GW) event from a binary black hole (BH–BH) merger GW150914 (Abbott et al. 2016), and especially after the detection of the first GW event from a binary neutron star (NS–NS) merger system that was associated with electromagnetic (EM) signals, GW170817/GRB 170817A (Abbott et al. 2017; Goldstein et al. 2017; Savchenko et al. 2017). Searching for EM counterparts coincident with GW signals from different types of compact binary mergers has been a long-sought goal in the field. Since the start of the LIGO O3 observational run, many follow-up observations of GW events using space-borne or ground-based multimessenger facilities have been carried out, but so far no high-confidence detection has been made.
One interesting event was a subthreshold GRB candidate, Fermi GBM-190816, which was potentially associated with a subthreshold LIGO/Virgo compact binary merger candidate, as reported by the LIGO/Virgo/Fermi collaborations in LIGO Scientific Collaboration et al. (2019a) and Goldstein et al. (2019). The gamma-ray signal was registered by Fermi/GBM (Meegan et al. 2009) at 21:22:14.563 2019 August 16 UTC (hereafter T0), which was about 1.57 s after a possible subthreshold GW signal detected by LIGO/Virgo (LIGO Scientific Collaboration et al. 2019a). The GW signal, proposed to be a possible compact binary coalescence (CBC) candidate, is located at a distance9 (LIGO Scientific Collaboration et al. 2019b) of 428 ± 143 Mpc (90% confidence interval [CI]), about nine times farther than the distance of GW170817/GRB 170817A. According to the GW signal, the lighter compact object is estimated to be lighter than three solar masses, which can be either an NS or a low-mass BH that merges with a higher-mass BH.
Since it takes a long time for the LIGO/Virgo/Fermi collaborations to release the official results, we decided to independently process the publicly available data and investigate the physical implications of such a putative association. We first perform a detailed analysis of the subthreshold gamma-ray signal observed by Fermi/GBM to confirm its consistency with a short GRB (Section 2). Based on the available information about the GW event (e.g., the fact that the GW signal is subthreshold and the lighter member has mass <3M⊙), we then estimate the mass ratio q of the binary system (Section 3). Next, using the observed EM properties, we constrain the physical properties of the system for several astrophysical scenarios, including NS–BH mergers with and without tidal disruption as well as BH–BH mergers (Section 4). The physical implications of the 1.57 s GW–GRB delay are also discussed in Section 4. Our results are summarized in Section 5.
2. The Subthreshold Burst
2.1. Data Reduction and Selection
We download the corresponding time-tagged-event data from the public data site of Fermi/GBM according to the time of the event reported by LIGO Scientific Collaboration et al. (2019a). Data reduction follows the standard procedure, as discussed in Zhang et al. (2011, 2016, 2018a). The full-energy-range light curves of all 14 GBM detectors are shown in Figure 1. The weak subthreshold GRB is visible in the light curve of the Na i detector n3 and marginally visible in n1. Indeed, using the best-fit location (178
23, 33
52) of the GW signal, we calculate that Na i detectors n1 and n3 hold the smallest angular separations with respect to the GW source. Thus, those two detectors are selected for further temporal and spectral analysis. No BGO detector is selected as no significant emission has been observed above 800 keV.
Figure 1. Light curves around T0 of all 14 detectors. The time bin size is 0.02 s. The N3 detector panel shows a sharp peak around T0. The red horizontal dashed lines represent the 3σ level for each detector.
Download figure:
Standard image High-resolution image2.2. Burst Properties
We perform the following analysis on the gamma-ray signal (Zhang et al. 2011, 2016, 2018a) to study the properties of GBM-190816:
(1) Signal confirmation. We analyze the TTE data of the detector n3 using the Bayesian Block (BB) algorithm (Scargle et al. 2013). Searching in the interval from T0 − 10 s to T0 + 10 s, we find a significant sharp signal starting from T0 + 0.038 s to T0 + 0.056 s. We then try to derive the significance level of the burst. The background is taken from two intervals T0 − 15 s to T0 − 5 s and T0 + 5 s to T0 + 15 s. By varying the energy band and the bin size (we make sure that there are at least two bins in the burst block), we find the signal-to-noise ratio (S/N) reaching 3.95. Figure 2 shows the light curves in four different energy channels for detector n3. The details of this method can be found in J. S. Wang et al. (2019, in preparation). The false alarm rate (FAR) of detecting such an event is about 1.2 × 10−4 (LIGO Scientific Collaboration et al. 2019a).
Figure 2. Energy dependent light curves of detector n3. Vertical dashed lines mark the T90 interval.
Download figure:
Standard image High-resolution image(2) Burst duration. For simplicity, we estimate T90 of the burst based on the cumulative net count rate. The background is estimated by applying the "baseline" method (Zhang et al. 2018a) to some long time intervals before and after the signal region. By calculating the time interval during which 90% of the total net counts have been detected, we obtained
s with the starting and ending times
s and
s, respectively (Figure 3). The uncertainties are calculated by a Monte Carlo approach, which takes into account the fluctuations of the observed light curve.
Figure 3. T90 calculation. Upper panel: the blue curve is the light curve plotted with the n3 data. The red curve represents the background baseline fitted by the MCMC method. Shaded red regions mark the 1σ region. The T90 intervals of GBM-190816,
s and
s are marked with the green dashed lines. Lower panel: accumulated light curve. Blue horizontal lines are average levels of accumulated counts, green horizontal dashed lines represent 5% and 95% of accumulated counts, which are used to calculate T90.
Download figure:
Standard image High-resolution image(3) Amplitude parameter of GBM-190816. Lü et al. (2014) defined two "amplitude parameters" to assist burst classifications: the parameter f denotes the ratio between the peak flux and the average background flux, and feff denotes the ratio between the peak flux of a pseudo-burst and the average background flux. The pseudo-burst is defined by scaling down the peak flux until the measured duration of a long burst is shorter than two seconds (Lü et al. 2014). For short GRBs, f = feff. Statistically, the feff parameters of long GRBs are typically smaller than f of short GRBs, providing a criterion to identify contaminated long GRBs in the observed short GRB sample due to the "tip-of-the-iceberg" effect. We perform the f analysis to GBM-190816, and obtain f = 2.58 ± 0.37. Figures 4(a) and (b) show T90 as functions of f and feff for both long and short GRBs, where GBM-190816 is highlighted as a star. We find that its amplitude parameter is generally larger than feff of typical long GRBs, consistent with being a typical short GRB. Moreover, we calculate the probability of GBM-190816 being a disguised short GRB according to the p − f relation derived by Lü et al. (2014). We find that such a probability is p ∼ 0.03. All these suggest that GBM-190816 is a genuine short GRB. Nonetheless, there is a nonnegligible probability that the observed spike could still be the "tip of the iceberg" of a longer short burst (see more discussion in Section 4.3).
Figure 4. The f and feff parameters of GBM-190816 and their comparisons with other short and long GRBs.
Download figure:
Standard image High-resolution image(4) Spectral analysis. We extract the time-integrated spectra of GBM-198016 between T90,1 and T90,2. Only two GBM detectors, n1 and n3, are selected due to the reasons mentioned in Section 2.1. Background spectra are obtained by empirically modeling the source-free time intervals around the burst. The detector response matrices (DRMs), which are needed in the spectral fitting is generated using the response generator provided by the Fermi Science Tools.10
Spectral fitting is performed using McSpecfit (Zhang et al. 2018a). A handful of spectral models, such as simple power law (PL), cutoff power law (CPL), Band function (Band), Blackbody (BB), and the combinations of any two or three models, are considered to fit the observed spectra. We then compare the goodness of the fits and find that the CPL is the best one that adequately describes the observed data according to the Bayesian information criteria (BIC). The CPL model fit (Figure 5) gives a peak energy of
keV and a lower energy spectral index of
, both being typical for GRB spectral parameters. The best-fit parameters of CPL fits are listed in Table 1. No further time-resolved spectral fitting is performed due to the low number of photon counts.
Figure 5. Left: the observed count spectrum of GBM-190816 within the T90 time interval and its fit by the CPL model. Middle: deconvolved photon spectrum. Right: parameter constraints of the CPL fit. Histograms and contours in the corner plots illustrate the likelihood 2D map. Red crosses show the best-fitting values. All error bars in these panels represent the 1σ uncertainties.
Download figure:
Standard image High-resolution imageTable 1. Spectral Properties of GBM-190816 Using the Fit of Cutoff Power-law Model
| Time Interval | CPL | ||||
|---|---|---|---|---|---|
| t1 | t2 | Γph | Ep | logNorm | PGSTAT/dof |
| 0.032 | 0.143 |
|
|
|
130.1/227 |
Download table as: ASCIITypeset image
(5) Burst energy. Using the best-fit parameters of the CPL model, we find that the average flux within T90 is
between 1 and 10,000 keV. The total fluence in the same energy range is
. Taking into account the burst distance ∼428 Mpc, we further calculate the corresponding isotropic luminosity and energy as
erg s−1 and
erg, respectively.
(6) Amati relation. In order to check if GBM-190816 is an unusual event, we overplot GBM-190816 in the Ep-Eγ,iso correlation of all GRBs with known redshifts (Amati et al. 2002; Zhang et al. 2009). As shown in Figure 6, unlike GRB 170817A, which is an outlier of the short GRB track, GBM-190816 is located well within the 1σ region of the short GRB population, suggesting that it is consistent with typical short GRBs in terms of its spectral peak and total energy.
Figure 6. Ep and Eiso correlation diagram. The red and blue stars represent GRB 170817A and GBM-190816, respectively. The upper and lower solid lines are the best-fit correlations for short and long GRB populations. All error bars in the panel denote the 1σ uncertainties.
Download figure:
Standard image High-resolution imageA summary of the observed properties of GBM-190816 is listed in Table 2. The observed facts point toward the possibility that GBM-190816 is a short GRB with a sharp peak and typical temporal and spectral properties. The unusually short duration leads to a low fluence, which causes it to be a subthreshold event below the Fermi/GBM triggering threshold.
Table 2. Observational Properties and Derived Constraints of GBM-190816
| Observed Properties | |
|---|---|
| T90 (s) |
|
| Peak energy Ep (keV) |
|
| Total fluence(erg cm−2) |
|
| Distance (Mpc) | 428+/−143 |
| Isotropic energy Eγ,iso (erg) |
|
| Luminosity Lγ,iso (erg s−1) |
|
| f parameter | 2.58+/−0.37 |
| Assumed Parameters | |
| Jet core angle θc,j | assumed 5° (16°) |
| Viewing angle θv | 10°–19° (18°–24°) |
| Γc | assumed 100 |
| m2 (M⊙) | assumed 1.4 (for NS–BH system) |
| assumed 2.8 (for BH–BH system) | |
| Derived Constrains | |
| q from GRB | varies |
| q from GW |
|
| m1 (M⊙) | varies |
| GW–GRB Time Delay (s) | 1.57 |
| Charge of BH (e.s.u.) |
(for NS–BH system) |
(for BH–BH system) |
|
Download table as: ASCIITypeset image
3. The Possible Subthreshold Gravitational-wave Signal
The subthreshold GW signal associated with GBM-190816 was first announced through GCN Circular (LIGO Scientific Collaboration et al. 2019a). The LIGO/Virgo Collaboration (LVC) did not announce this GW event on GraceDB11 as a significant candidate. As of writing, the GW data of GBM-190816 are not yet publicly available on Gravitational Wave Open Science Center.12 However, we can still obtain the following information about this event through the GCN Circular (LIGO Scientific Collaboration et al. 2019a) and the Gravitational-Wave Observatory Status website:13
- 1.LIGO Hanford Observatory (H1) was not collecting data at that time so only Livingston Observatory (L1) and Virgo Observatory (V1) data are available. In any case, this event is a network detection rather than a single-interferometer detection.
- 2.By applying the offline analysis of the data from L1 and V1, LVC identified a possible compact binary merger candidate at 2019 August 16 21:22:13.027 UTC (GPS time: 1250025751.027).
- 3.As a subthreshold network detection event (LIGO Scientific Collaboration et al. 2019a), the network S/N of this event is below the threshold of GW analysis pipelines, which is 12. According to the public O3 event GW190425's paper (Abbott et al. 2020), only events with the S/N higher than 4 will further calculate the FAR. So the network S/N of GBM-190816 should be between 4 and 12.
- 4.The source localization was obtained by combining the L1-V1 data and the GRB data. The 90% error of the source area corresponds to 5855 square degrees while the 50% error of the source area is 1257 square degrees According the updated GCN Circular by the LIGO/Virgo/Fermi collaborations (LIGO Scientific Collaboration et al. 2019b) and the LALInference (Veitch et al. 2015), the 90% and 50% errors of the source area are down to 3219 square degrees and 744 square degrees, respectively.
- 5.The luminosity distance of the event is constrained to
Mpc at 90% CI (LIGO Scientific Collaboration et al. 2019b). - 6.If the signal is astrophysical, the lighter compact object of this CBC event may have a mass <3M⊙ (LIGO Scientific Collaboration et al. 2019a).
In order to constrain the mass ratio of the two objects in this GW event, the following three assumptions are made for simplicity: (1) One compact object of this CBC event is an NS with a mass of 1.4M⊙. This is based on the information that the lighter compact object may have a mass <3 solar masses (LIGO Scientific Collaboration et al. 2019a) and that there is an associated putative GRB. (2) The L1 detector's sensitivity of GBM-190816 is the same as GW190425. Since GBM-190816's GW data are not public, we cannot use the actual data to calculate the Amplitude Spectral Density (ASD) of the detectors. On the other hand, the GW data of GW190425 are public now. Both GW190425 and GBM-190816 are quasi-single-detector events (both only have the L1 and V1 data, but the sensitivity of V1 is much worse than L1), the status of the detectors are public on the Gravitational-Wave Observatory Status website, which shows that their sensitivities of L1 are almost the same.14
,15
We use the official ASD of GW19042516
to mimic the L1 sensitivity of GBM-190816, as shown in Figure 7. (3) The S/N of the event is 8 and mostly contributed by L1. This assumption is based on the fact that the NS–NS's inspiral range (smaller than horizon distance; to be discussed below) of V1 is much worse than L1. LVC's constraint on the luminosity distance is
Mpc, which is much larger than V1's NS–NS detection range, so we assume that the S/N contributed by V1 is very small and the network S/N is almost contributed by L1. LVC defines a subthreshold GW event with the network S/N below 12 and above 4 for network detections. We thus assume the S/N contributed by L1 is 8, which is the median value between 4 and 12, and is also the threshold S/N of a single detector for a confident GW candidate in network detections. Notice that for single-interferometer detections, the threshold S/N is larger than 8 (Callister et al. 2017). For real GW detections in O1/O2/O3, LVC set a threshold on FAR and Pastro, not directly on S/N. This can allow detection of events below the threshold S/N used in our paper. For a theoretical analysis, setting a threshold on S/N is a reasonable approach (Abbott et al. 2019; Nitz et al. 2020).
Figure 7. GW190425 L1 ASD and the aLIGO L1 design ASD.
Download figure:
Standard image High-resolution imageIn the following, we demonstrate that by calculating the horizon distance of the L1 detector for different CBC GW signals with various mass ratios, we can constrain the mass ratio of the GBM-190816 event to a specific range under the aforementioned assumptions. We assume that the orbital eccentricity at the merger is
= 0 in the following treatment. This is justified in view of the long-term decrease of
due to GW radiation during the inspiral phase (e.g., Belczynski et al. 2002). The method and equations follow the FINDCHIRP pipeline paper (Allen et al. 2012).
For a single GW detector, the location and orientation of the source are not easily obtained. Assume that the true distance of the GW source is D. It is more convenient to define an effective distance that combines the location and orientation of the source and is measurable, i.e.,

where F+ and F× are the detector's antenna responses to the two polarization modes of the gravitational waveform and ι is the orientation of the GW source.
In the stationary phase approximation (Sathyaprakash & Dhurandhar 1991; Cutler & Flanagan 1994; Poisson & Will 1995), for f > 0, the frequency-domain GW waveform in the inspiral stage is

where
is chirp mass and M is total mass of the binary system,



where the symmetric mass ratio

q is the mass ratio, and μ is the reduced mass

We note that the effectively aligned spin parameter is very small for the detected merger events (Abbott et al. 2019), so it is ignored in our calculations.
For simplicity, we use the optimal S/N

to define the threshold S/N. When the optimal S/N equals the S/N threshold 8 (for a single GW detector in a network detection), we can calculate the horizon distance of a typical GW source, i.e., the farthest detection distance of a particular type of GW source. For example, for CBCs (BH–BH, NS–NS, or NS–BH mergers) we get

If we fix the mass of one compact object and change the mass ratio q, we can get different horizon distances as a function of q. Here we fix one object's mass to 1.4M⊙ (the NS) and use the mimicked ASD as mentioned before. The lower frequency limit 20 Hz and the upper frequency limit

are adopted in the integration.
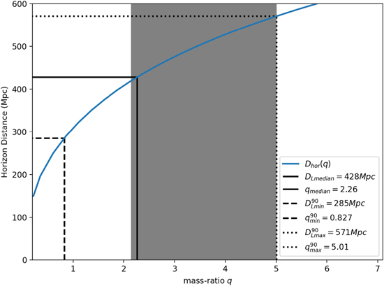
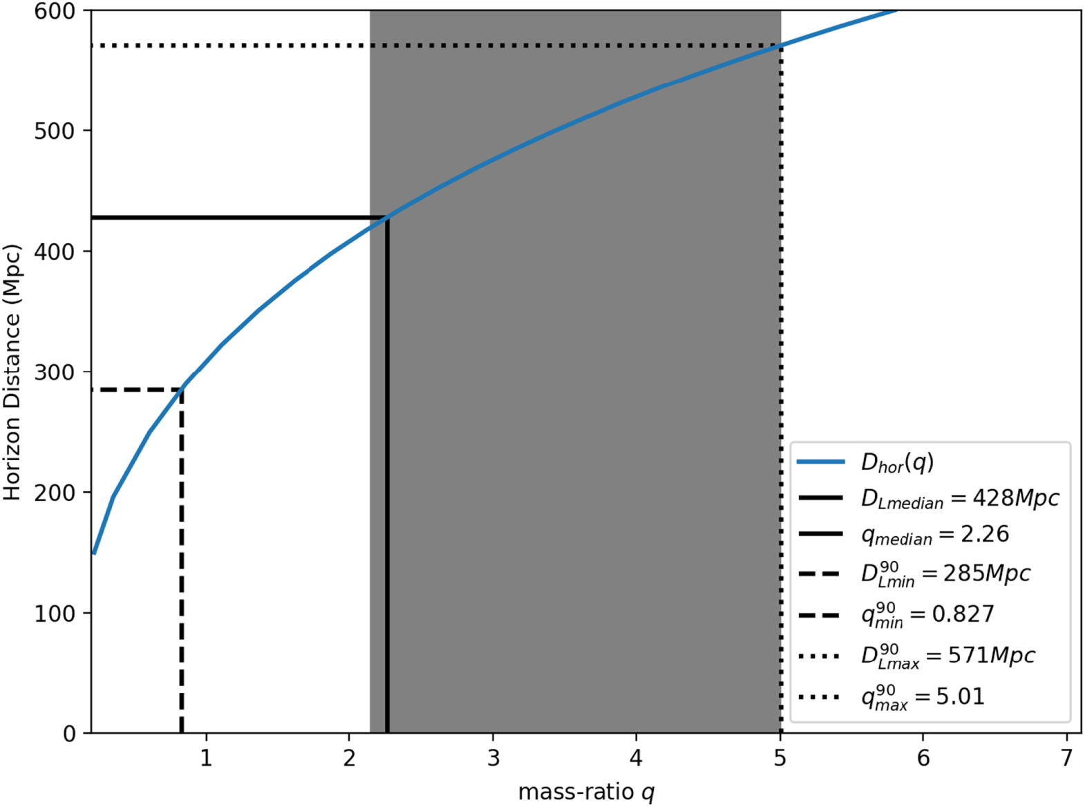
The results are shown in Figure 8. Since the luminosity distance of this subthreshold event is
Mpc, we can utilize the upper and lower limits (90% CI) of the luminosity distance to get the upper and lower limits (90% CI) of the mass ratio. Based on the significant digits of the luminosity distance given by the GCN Circular, we keep three significant digits in the mass ratio q. We can constrain the mass ratio q to
with 90% CI. Considering the fact that only the lighter compact object has a mass <3M⊙, which indicates that the mass ratio q should be >3/1.4 under the aforementioned assumption, we can further derive the mass ratio q to
. This is displayed in the gray area in Figure 8.
Figure 8. Inferred mass ratio q range based on the available GW information (chosen optimal S/N is 8). The dashed and dotted lines represent the lower and upper limits (90% CI) for
constrained with the reported luminosity distance range. The gray area indicates that
can be derived if the heavier compact object has a mass >3 solar masses.
Download figure:
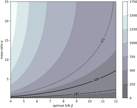
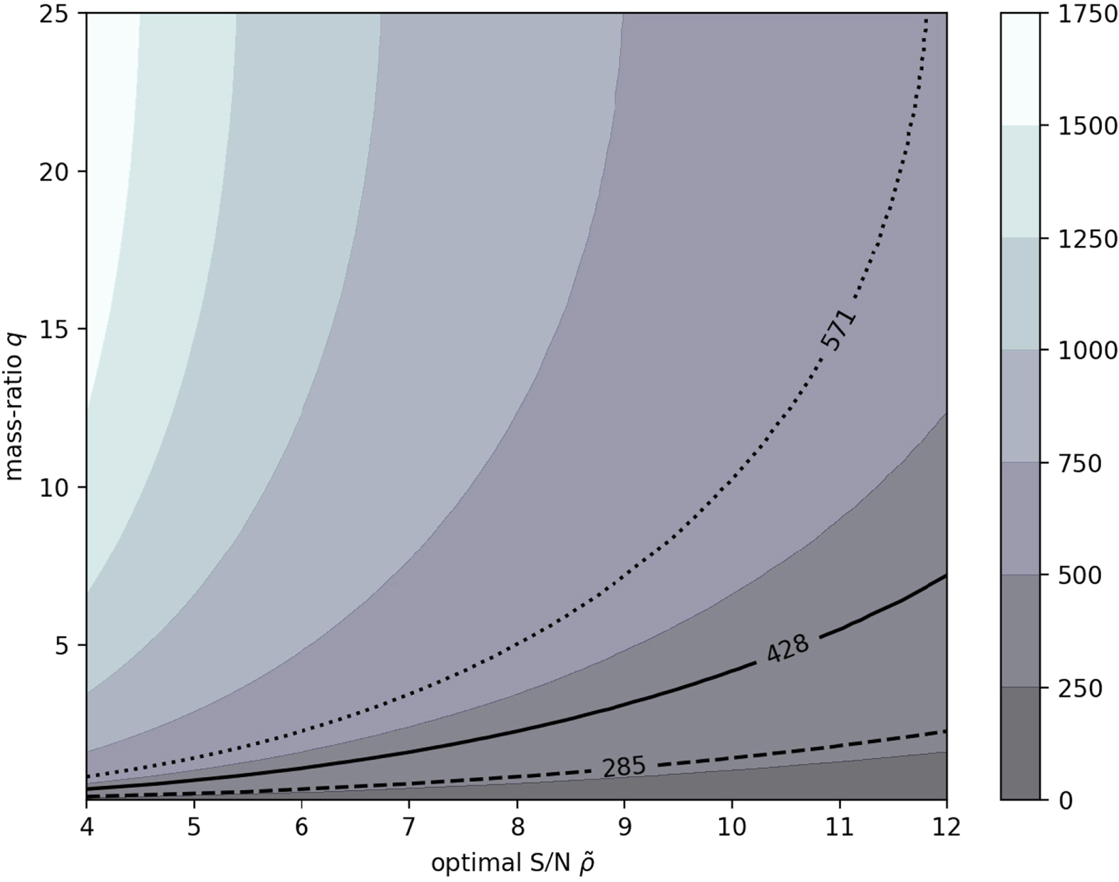
Standard image High-resolution imageWe also calculate the limit of the mass ratio when the S/N takes different thresholds, as shown in Figure 9. The color represents the value of the horizon distance at a given S/N and mass ratio. The solid, dashed, and dotted lines represent the median, lower, and upper limits (90% CI) of the public luminosity distance, respectively. When the S/N is 8, the result returns to Figure 8. It is worth noting that when the S/N threshold becomes larger, the interval of the mass ratio becomes larger, which is contrary to the experience of standard GW Bayesian parameter estimation. The reason is that here we fix the interval width of the luminosity distance, which should become narrower when S/N becomes higher. So we take the median value of the S/N range to avoid this effect.
Figure 9. Inferred mass ratio q range on different chosen optimal S/N. The dashed and dotted lines represent the lower and upper limits (90% CI) of the reported luminosity distance. The solid line represents the median value of the reported luminosity distance. The gray area represents contours of the horizon distance at given S/N and q.
Download figure:
Standard image High-resolution image4. Physical Implications of the Electromagnetic Signal GBM-190816
In this section, assuming that both the subthreshold GW and the subthreshold GRB are real and are also related, we discuss the physical implications of such an association.
The leading model of short GRBs invokes a black hole central engine surrounded by a hyperaccreting torus. For GBM-190816 and its putative GW counterpart, the most likely possibility is an NS–BH merger with a not-too-large mass ratio q, so that the NS is tidally disrupted before the merger and there is neutron-rich material outside the BH event horizon after the merger to power the short GRB. We discuss this possibility in Section 4.1. The allowed wide range of q from the available GW data actually allows a "plunging" NS–BH merger (i.e., the NS is not tidally disrupted but is swallowed as a whole by the BH; Shibata et al. 2009) or even a BH–BH merger (the maximum NS mass is likely smaller than 3M⊙. In both of these scenarios, a short GRB with a short delay with respect to the GW may demand more exotic scenarios such that at least one member of the merger system is charged (Zhang 2016, 2019a; Dai 2019). We discuss this possibility and constrain the model parameters in Section 4.2. Finally, in Section 4.3, we generally discuss the physical implication of the 1.57 s delay between the putative GW event and the putative short GRB event.
4.1. NS–BH Merger with Tidal Disruption: Constraints on Model Parameters
For NS–BH mergers, whether or not there is matter left outside the post-merger BH event horizon is determined by a comparison between the tidal disruption radius dtidal and the radius of the innermost stable circular orbit RISCO (Shibata et al. 2009). In general, the total mass Mout of the matter left outside the BH event horizon after tidal disruption of the NS can be divided into two components: the disk mass Mdisk and the dynamical ejecta mass Mdyn. Numerical simulations suggest that Mout depends on the mass (MBH) and the dimensionless spin (χBH) of the BH, the baryonic mass of the NS (
), as well as the tidal deformability (ΛNS) of the NS, i.e. (Foucart et al. 2018),

where η = q/(1 + q)2,
(ΛNS,1.4 represents ΛNS for the NS mass at 1.4M⊙), and the dimensionless ISCO radius follows

with
and
(Bardeen et al. 1972). The empirical parameters yield to α = 0.308, β = 0.124, γ = 0.283, and δ = 1.536.
The dynamical ejecta mass Mdyn depends on MBH, the NS gravitational mass MNS,
,
, the NS compactness
("C-Love" relation, Yagi & Yunes 2017), and the angle between the BH spin and the binary total angular momentum ιtilt:

where χeff = χBH cosιtilt is the effective BH spin, with empirical parameters being a1 = 4.464 × 10−2, a2 = 2.269 × 10−3, a3 = 2.431, a4 = −0.4159, n1 = 0.2497, and n2 = 1.352, respectively (Kawaguchi et al. 2016). For simplicity, we adopt cosιtilt = 1 in this paper. The NS baryonic mass
is related to its gravitational mass MNS by
(Lattimer & Prakash 2001; see also Gao et al. 2020). As pointed out in Barbieri et al. (2020), the maximal dynamical ejecta mass Mdyn,max cannot exceed 0.5Mout. We thus assume Mdyn,max = 0.3Mout, which is consistent with the result from numerical simulations of NS–BH mergers in the near-equal-mass regime (Foucart et al. 2019). The disk mass Mdisk is obtained by combing Equations (11) and (13):

We consider a relativistic jet launched from the central engine through the BZ mechanism. The kinetic energy of the jet may be calculated by17

where
is a dimensionless constant that depends on the ratio of the magnetic energy density to disk pressure at saturation (Hawley et al. 2015), ξw is the fraction of energy that goes to the disk wind (rather than the jet), which is related to the kilonova power,
is the dimensionless angular velocity evaluated at the BH horizon, and
is a correction factor for high-spin values.
The dimensionless spin of the final BH remnant, χBH,f, is related to the initial BH spin χBH in the NS–BH binary through (Buonanno et al. 2008; Pannarale 2013)

where M = MBH + MNS, and

is the orbital angular momentum per unit mass of a test particle orbiting the BH remnant at the ISCO;
is similar to
but replaces χBH by χBH,f. Equation (16) in geometric units is the same as that in the normalized units. For simplicity, the rotation of the NS, the mass, and the angular momentum of the tidal material, as well as the GW radiation was not taken into account in Equation (16).
In order to connect the BH accretion power with the observed GRB power, we assume a Gaussian-shape structured jet (Beniamini et al. 2019) with an angular distribution of the kinetic energy and Lorentz factor Γ following

where
. Such a structure was long proposed as the typical GRB structured jet (Zhang & Mészáros 2002) and has been successfully applied to model GW170817/GRB 170817A (Lazzati et al. 2018; Lyman et al. 2018; Ghirlanda et al. 2019; Troja et al. 2019; Ryan et al. 2020)
At the viewing angle θv, the isotropic gamma-ray radiation energy can be estimated as

where ηγ the efficiency to convert the EM luminosity to the radiation luminosity in the γ-ray band, Dp = 1/[Γ(1 − βcosα)] is the Doppler factor, and
.
Combining Equations (11)–(19), we can calculate the isotropic radiation energy of the jet Eγ,iso as a function of some parameters (e.g., q and χBH) of the BH and the NS under certain assumptions. Owing to the limited information of this event, we have to assume the event possesses some typical characteristics of short GRBs, e.g.,
= 0.015, ξw = 0.01, ηγ = 10%, MNS = 1.4 M⊙, and Γc = 100 (see Barbieri et al. 2020). Since we do not know the NS equation of state, we take ΛNS,1.4 = 330 (SFHo EoS) and 700 (DD2 EoS) to cover a range of possible cases. Furthermore, we consider two example cases for a narrow jet core with θc,j = 5° and a wide jet core with θc,j = 16°. The former value is motivated by GW170817/GRB 170817A (Ghirlanda et al. 2019) while the latter is consistent with the claimed opening angle of some observed short GRBs (Fong et al. 2015). Our constraints on q and χBH for different cases are presented in Figures 10 and 11. Despite the flexible allowed range of q and χBH, our results suggest that the viewing angle should lie in the most possible range in order to achieve observed Eγ,iso, which is 10°–19° (18°–24°) for the narrow (wide) jet core cases, respectively, as shown in Figure 10 (Figure 11). In addition, different ΛNS,1.4 values (corresponding to different NS EoSs) can visibly influence the green regions in the q-χBH plane achieving the observed Eγ,iso, but it does not significantly change the most possible allowed ranges of the viewing angle.
Figure 10. Isotropic gamma-ray radiation energy Eγ,iso in the q − χBH parameter space assuming a Gaussian-shaped jet with a narrow jet core θc,j = 5° and various values of θv and ΛNS (as marked). Two NS EOS (SFHo and DD2) are assumed for ΛNS,1.4 = 330 and 700. The filled green regions represent the allowed parameter space that can reproduce the Eγ,iso of GBM-190816. The red lines indicate the GW constraints on q.
Download figure:
Standard image High-resolution imageFigure 11. Same as Figure 10 but for the case of a wide jet with core θc,j = 16° and various values of θv, ΛNS (as marked).
Download figure:
Standard image High-resolution imageThe constraints presented in Figures 10 and 11 are by no means definite. This is because from merger parameters to the observed GRB parameters, there are three major steps in modeling, which involve many unknown parameters: First, the uncertainties in the NS–BH merger physics may introduce a large error in the disk mass. Second, jet launching from a BH–disk system in principle involves two possible mechanisms: neutrino-antineutrino annihilation (Popham et al. 1999) or Blandford–Znajek (BZ) mechanism (Blandford & Znajek 1977) and we only considered the latter mechanism. Furthermore, we have adopted a simple analytical formula to denote the BZ power. Third, the radiation efficiency (which depends on the energy dissipation site and mechanism, e.g., photosphere emission, internal shocks, or magnetic dissipation) and geometry (jet structure and viewing angle) are essential to determine how a BZ-powered jet is observed as a short GRB. As explained above, when deriving (q, χBH) presented in Figures 10 and 11, we have adopted the typical values for some parameters based on the best known models. Allowing broader distributions of these parameters would further weaken the constraints.
4.2. Plunging NS–BH Merger or BH–BH Merger: Constraints on Charge in the Charged Compact Binary Coalescence (cCBC) Systems
For an NS–BH merger with a relatively large q (e.g., ∼5), the NS would plunge into the BH as a whole. Alternative mechanisms (e.g., McWilliams & Levin 2011; Tsang et al. 2012; D'Orazio et al. 2016; Levin et al. 2018; Dai 2019; Pan & Yang 2019; Zhang 2019a; Zhong et al. 2019) have to be introduced to explain the observed GRB. One group of the mechanisms, which have recently received increasing interest, are the electric and magnetic dipole radiation, magnetic reconnection, and BZ mechanism of the charged objects in the binary system.
The cCBC models involve at least one member of the binary carrying either a constant (Zhang 2016, 2019a) or increasing (Levin et al. 2018; Dai 2019) charge. The high-energy EM emission can be produced either before (Dai 2019; Zhang 2019a) or after (Pan & Yang 2019; Zhong et al. 2019) the merger.
4.2.1. cCBC with a Constant Charge
Here we consider the simplest case in which both objects carry a constant charge, which are denoted as Q1 and Q2, respectively. The following derivation applies to both plunging NS–BH and BH–BH scenarios.
Two components can contribute to the EM luminosity of such a constant charge binary. The electric dipole radiation (Deng et al. 2018) component reads (Zhang 2019a)

where a is the semimajor axis with the eccentricity e = 0 assumed, m1 and m2 are the masses of compact objects,
(i = 1, 2) are the dimensionless charges,
are the critical charges (Zhang 2016), and rs(mi) are the Schwarzschild radii of the two merging objects.
Following Zhang (2016, 2019a), the magnetic dipole radiation luminosity reads

Since at the final moment of the merger, the global open field lines in the binary system cover almost the full sky (Zhang 2016) and since there is no matter outside the BH event horizon to collimate the Poynting flux outflow, the estimated EM luminosity is the isotropic equivalent one:

For the most optimistic cases, we assumed ηγ ∼ 1.
For an NS–BH merger system, at least the NS is charged (Michel 1982; Zhang 2019a). We adopt the following simplest assumptions: (1) only the NS carries a constant charge; (2) the NS mass is 1.4M⊙; (3) a = amin = rs(mBH) + 2.4rs(mNS) (rNS = 2.4 rs for neutron star) at the merger time; (4) mass ratio q is
, which is constrained by the GW signal. We can then obtain that
is
. Consequently, the absolute charge QNS is
e.s.u. The dimensionless charge of an NS can be estimated as (Zhang 2019a)

In order to satisfy the observational constraint, one requires
. This implies that the neutron star has to be a millisecond magnetar before the merger. The condition to form such a magnetar in BNS mergers is contrived, so this scenario is disfavored.
Similarly, for a charged BH–BH merger system we adopt the following two most straightforward assumptions: (1) the lighter BH has a mass of 2.8 M⊙, which is less than 3 M⊙ and falls into the BH mass regime; (2) only the lighter BH carries a constant dimensionless charge
(for the same absolute charge Q, a lighter BH carries a higher
which is more relevant). The mass ratio q of this system should be different from the range constrained above assuming an NS–BH merger, but this ratio does not enter the problem in view of assumption (2) above. We constrain the black hole charge as
and the corresponding absolute charge
e.s.u. The demanded dimensionless charge is comparable to the one required to explain the putative γ-ray event (Connaughton et al. 2016) associated with the first BH–BH merger event (Zhang 2016). Contrived conditions are again needed for a BH to carry such a large charge.
4.2.2. cCBC with an Increasing Charge
This scenario involves a plunging BH–NS system in which the BH is immersed in the magnetic field of the NS and gains charge via the Wald mechanism (Wald 1974) in an initial electro-vacuum approximation. Levin et al. (2018) suggested that the BH can be charged stably to carry the Wald's charge quantity QW until it could transit from the electro-vacuum state to the force-free state thanks to abundant pair production induced by the strong electric field. At this point, the BH may reach the maximal Wald charge. In this scenario, there are four possible pre-merger mechanisms (first and second magnetic dipole radiation, electric dipole radiation, and magnetic reconnection close to BH's equatorial plane; Dai 2019) and two possible post-merger mechanisms (magnetic reconnection at polar regions and the BZ mechanism; Zhong et al. 2019) to generate γ-ray emission. Following Dai (2019) and Zhong et al. (2019), we calculate (Figure 12) that the subthreshold GRB could be produced by the pre-merger magnetic reconnection or the post-merger BZ mechanism if the NS surface magnetic field satisfies
or
, respectively, given the following conditions: the radiative efficiency ηγ = 1, the mass ratio is q = 5, the minimal separation between the BH and the NS is amin = 2GMBH/c2 + rNS, the NS mass is MNS = 1.4 M⊙ and its radius is rNS = 12 km. The following two points are worth mentioning in our calculation: (1) We consider that the pre-merger magnetic reconnection in Equation (19) of Dai (2019) should be the BH's magnetic field produced by the Wald charge QW rather than that of the NS. This is because the BH's magnetic field should be always lower than that of the NS, as pointed out in Levin et al. (2018). (2) For the post-merger magnetic reconnection and BZ mechanism, the parameters such as the BH's spin and mass and their derived parameters should be relevant to the final BH rather than the pre-merger BH in the binary system. However, they can be linked to those of the pre-merger BH through Equations (16) with M = MBH + MNS.
Figure 12. Contours of isotropic gamma-ray radiation luminosities from various pre-merger and the post-merger mechanisms. From left to right and top to bottom the six panels denote the first magnetic dipole radiation (MDR,1), the second magnetic dipole radiation (MDR,2), the electric dipole radiation (EDR), the pre-merger magnetic reconnection (REC, pre), the post-merger magnetic reconnection (REC, post), and the BZ mechanism (BZ). All the contours are plotted in the plane of the pre-merger BH spin χBH and NS surface magnetic field strength BS,NS. The yellow regions represent the isotropic gamma-ray radiation luminosity log(Lγ,iso/erg s−1) ∼ 48.6–49.7 of the subthreshold GRB GBM-190816. The radiative efficiency is adopted as ηγ = 1. The mass ratio q = 5, the NS mass MNS = 1.4 M⊙ and radius rNS = 12 km are adopted in the numerical calculations.
Download figure:
Standard image High-resolution image4.3. The GW–GRB Delay Timescale
The delay time between GBM-190816 and the putative GW event is about 1.57 s in the observer frame and is about 1.43 s in the cosmological proper frame. This is similar to the 1.70 s GW–GRB delay observed in GW170817/GRB 170817A (Abbott et al. 2017) which is also 1.68 s in the cosmological proper frame. In the literature, the origin of 1.7 s delay has been extensively discussed. The delay due to the effects of exotic physics is likely small (Wei et al. 2017; Shoemaker & Murase 2018; Burns 2019), and the main contribution is likely due to astrophysical processes (Zhang et al. 2018b; Zhang 2019b).
Following the convention introduced in Zhang (2019b), we discuss the three terms of the astrophysical GW–GRB delay timescale. Since the cCBC scenario is not favored, we limit ourselves to the hyperaccreting NS–BH merger scenario.
(1) Δtjet: the delay time to launch a clean relativistic jet. In general, such a delay includes three parts for a hyperaccreting BH central engine, namely, the waiting time Δtwait for a central object (BH) to form, the accretion timescale Δtacc, and the time Δtclean for the jet to become clean. In our considered scenario for the event GBM-190816, since at least one BH already exists in the pre-merger system, Δtwait should be 0. For a black hole engine, Δtclean ∼ 0 and Δtacc is typically ∼10 ms. So Δtjet is ∼0.01 s.
(2) Δtbo: the delay time for the jet to break out from the surrounding medium. For an NS–BH progenitor, this timescale is typically 10–100 ms.
(3) ΔtGRB: the delay time for the jet to reach the energy dissipation and GRB emission site. Such a delay is directly related to the emission radius, i.e., tGRB = R/2cΓ2, where Γ is the Lorentz factor of the eject and c is the speed of light. In view that the first two terms are negligibly small for NS–BH mergers, the cosmological-proper-frame 1.43 s delay should be mainly defined by this term. The falling timescale of a burst is defined by the angular spreading time, which carries the same expression as tGRB, one would then expect that the true duration of GBM-190816 would be of the same order of the delay timescale (1.43 s). The observed T90 ∼ 0.1 s is apparently much shorter than this. However, it is possible that the true burst is longer and the observed T90 is simply the tip of the iceberg of the true burst. The fact that the amplitude parameter f is not very large allows such a possibility.
The fact that the 1.43 s-delay in GBM-190816 is similar to the 1.68 s-delay in GW170817/GRB 170817A also sheds light on the origin of the delay in the latter system. Since GW170817/GRB 170817A is an NS-NS merger system, the final merger product is quite uncertain, which depends on the unknown neutron star equation of state (Ai et al. 2020). If the merger product turns into a black hole before the GRB jet is launched, it is possible that there is a significant delay attributable to Δtjet (e.g., Nakar & Piran 2018). However, this scenario has to introduce chance coincidence to explain the apparent consistency between the delay time and the duration of the burst. Alternatively, if the merger product does not collapse to a black hole before the jet is launched, then there is no immediate reason to suggest the existence of a significant Δtjet. The fact of a comparable delay time and duration then favors the possibility that ΔtGRB is the dominant contribution to the observed Δt (Zhang et al. 2018b; Zhang 2019b).
Since for NS–BH mergers, the observed time delay should be mostly contributed by ΔtGRB, the fact that the GBM-190816 has a comparable amount of the delay from its GW counterpart suggests that ΔtGRB itself can be this long. This indirectly suggests that the jet in GW170817/GRB 170817A was launched promptly without significant delay (Zhang et al. 2018b; Zhang 2019b). This conclusion is also supported by a recent independent study by Beniamini et al. (2020).
5. Conclusions
In this paper, we performed a comprehensive study of the subthreshold GRB GBM-190816 that is associated with a subthreshold GW event. Based on publicly available information, we present the properties of the burst and discussed the physical implications of the data. Our key findings are the following:
(1) By studying the temporal and spectral properties of GBM-190816 and comparing them with those of other short GRBs, we confirm that GBM-190816 can be classified as a weak short GRB.
(2) Based on the available information of the subthreshold GW event, we were able to constrain the mass ratio of the binary as
.
(3) The association, if real, is mostly due to an NS–BH merger with tidal disruption. The constraints on the mass ratio q, BH spin, and viewing angle are derived based on the hyperaccretion BH central engine model and a Gaussian structured jet geometric model.
(4) We also discussed the scenarios of charged CBCs to produce the observed GRB. For the constant charge models, the required charge is much larger than what is expected, suggesting that these scenarios do not work unless contrived physical conditions are imposed. For the plunging NS–BH mergers with an increasing charge of the BH, the standard magnetic dipole radiation and electric dipole radiation components also cannot meet the observed luminosity unless extreme parameters (e.g., the pre-merger BH spin) are invoked. However, a GRB with the observed luminosity may be produced through the pre-merger magnetic reconnection or post-merger BZ mechanism for not-too-extreme parameters.
(5) By comparing the GW–GRB delay timescales between this event and GW170817/GRB 170817A, we conclude that the GW–GRB delay of these two cases is mostly contributed by the timescale for the jet to reach the energy dissipation radius where the observed γ-rays are emitted.
We note that our conclusions above are based on the assumption that the association between the GBM-190816 and the subthreshold GW event is real. Further confirmation is needed by the more detailed joint analysis of the GW data and the GRB data by the LIGO/Virgo/Fermi team. In any case, the theoretical framework developed in this paper can be applied to this and other future CBC events with GRB associations, especially those originating from NS–BH mergers.
We thank Eric Burns for important information and the anonymous referee for helpful suggestions. B.B.Z. acknowledges support from a national program for young scholars in China. This work is supported by National Key Research and Development Programs of China (2018YFA0404204, 2017YFA0402600) and The National Natural Science Foundation of China (grant Nos. 11833003, 11722324, 11633001, and 11690024, 11573014). J.S.W. is supported by China Postdoctoral Science Foundation. This work is also supported by NSFC 11922301 (HJL). We acknowledge the use of public data from the Fermi Science Support Center (FSSC). This research has made use of data, software, and/or web tools obtained from the Gravitational Wave Open Science Center (https://www.gw-openscience.org), a service of LIGO Laboratory, the LIGO Scientific Collaboration, and the Virgo Collaboration.
Footnotes
- 9
The distance information can be found from the header of the fits file in https://wiki.gw-astronomy.org/pub/OpenLVEM/FermiGBM-LVC/GBM-190816-with-LV-v2.fits. We acknowledge Eric Burns for pointing this out to us.
- 10
- 11
- 12
- 13
- 14
- 15
- 16
- 17
The detailed derivation of this equation invokes the approximated BZ luminosity (Tchekhovskoy et al. 2010) and a rough estimation of the duration of disk accretion (Barbieri et al. 2020). More generally, the relation between the kinetic energy and the disk mass should be nonlinear. The linear relation in Equation (15) could be a first-order approximation.























