Abstract
Gamma-ray bursts (GRBs) are empirically classified as long-duration GRBs (LGRBs, >2 s) and short-duration GRBs (SGRBs, <2 s). Physically they can be grouped into two distinct progenitor categories: those originating from collapse of massive stars (also known as Type II) and those related to mergers of compact stars (also known as Type I). Even though most LGRBs are Type II and most SGRBs are Type I, the duration criterion is not always reliable to determine the physical category of a certain GRB. Based on our previous comprehensive study of the multiwavelength properties of long and short GRBs, here we utilize the naive Bayes method to physically classify GRBs as Type I and Type II GRBs based on multiwavelength criteria. It results in a 0.5% training error rate and a 1% test error rate. Moreover, there is a gap [−1.2, −0.16] in the distribution of the posterior odds,
, the Type II to Type I probability ratio. Therefore, we propose to use
as the parameter to classify GRBs into Type I (<0) or Type II (>0). The only confirmed Type I GRB, GRB 170817A, has log
. According to this criterion, the supernova-less long GRBs 060614 and 060505 belong to Type I, and two controversial short GRBs 090426 and 060121 belong to Type II.
Export citation and abstract BibTeX RIS
1. Introduction
Gamma-ray bursts (GRBs) are intense bursting γ-ray emitting events in the universe. Multiwavelength, multimessenger observations over the years suggest that they can be broadly classified into two physically distinct categories, those originating from core collapse of massive stars (Woosley 1993; Paczyński 1998; MacFadyen & Woosley 1999), and those originating from mergers of compact stars, e.g., neutron star–neutron star (NS–NS) or neutron star–black hole mergers (Paczynski 1986; Eichler et al. 1989; Narayan et al. 1992, see Berger 2014 for a review). These two physically distinct types are also termed as Type II (massive star) GRBs and Type I (compact star) GRBs (Zhang 2006; Zhang et al. 2009).
This physical classification scheme of GRBs is generally consistent with the phenomenological classification of GRBs based on the prompt γ-ray durations (Kouveliotou et al. 1993). Type II GRBs typically have γ-ray durations (T90) longer than 2 s (LGRBs), while Type I GRBs typically have T90 shorter than 2 s.8 This connection is rooted from the "density argument" (e.g., Zhang 2018), i.e., the average density of massive stars is much smaller than that of compact stars, so that the freefall and the accretion timescale of the former is much longer than that of the latter. Observationally, the following multiwavelength observational properties all point toward a connection between long and Type II GRBs and between short and Type I GRBs. LGRB host galaxies are usually dwarf galaxies with a high star formation rate and low metallicity (Sahu et al. 1997; Bloom et al. 1998, 2002; Chary et al. 2002; Christensen et al. 2004; Savaglio et al. 2009; Krühler et al. 2015). Typically LGRBs are located in bright regions of their hosts, with small offsets from the galaxy center (Bloom et al. 2002; Fruchter et al. 2006; Blanchard et al. 2016). The smoking-gun signature connecting LGRBs with massive star core collapse is the direct detection of a Type Ic supernova (SN; Galama et al. 1998; Hjorth et al. 2003; Stanek et al. 2003; Woosley & Bloom 2006; Hjorth & Bloom 2012; Xu et al. 2013) associated with an LGRB at least in some nearby events, and data are consistent with the majority of LGRBs have such an association (even though in most cases, the SN is not easy to detect). The connection between short and Type I GRBs is supported by the diversity of the short GRB host galaxies, from dwarf to elliptical galaxies (Berger et al. 2005; Gehrels et al. 2005). Within the hosts, SGRBs are usually located in the faint regions with large offsets from the center (Fong et al. 2010; Kann et al. 2011; Fong & Berger 2013) with a small local specific star formation rate. This is consistent with the expected delay between star formation and the merger of the two compact stars that give rise to the GRB. No SN was found to be associated with SGRBs, with very stringent nondetection limits (Fox et al. 2005; Hjorth et al. 2005a, 2005b; Kann et al. 2011; Berger et al. 2013; Berger 2014). A few SGRBs are found to be associated with "'kilonova/macronova" events (Li & Paczyński 1998; Metzger et al. 2010; Berger et al. 2013; Tanvir et al. 2013; Gao et al. 2015; Yang et al. 2015; Jin et al. 2016), which lends support to the neutron star merger scenario. Finally, the direct discovery of the gravitational wave event GW170817 and its associated SGRB 170817A (Abbott et al. 2017a, 2017b; Goldstein et al. 2017; Zhang et al. 2018) and kilonova AT1027gfo (Abbott et al. 2017c; Coulter et al. 2017; Villar et al. 2017) firmly established the Type I—origin of at least some SGRBs.
While T90 is widely used to define the physical origin of a GRB, it is not always reliable. For example, GRB 060614 was a famous long GRB without a supernvoa explosion. Its prompt γ-ray emission has a 4.5 s spike with extended emission lasting for longer than 100 s. However, its spectral lag is very short (Gehrels et al. 2006; Norris et al. 2010). When scaling down in energy, its observational properties are similar to those of an SGRB with extended emission (Zhang et al. 2007). It is located in a faint region of a passive host galaxy (Fynbo et al. 2006; Gal-Yam et al. 2006; Blanchard et al. 2016). A very stringent upper limit was placed against its association with any SN (Della Valle et al. 2006; Fynbo et al. 2006; Gal-Yam et al. 2006). Later, a putative kilonova was reported (Yang et al. 2015). All these suggest that it very likely has a Type I origin. Another example is the short GRB 090426, which has a T90 of 1.24 s. Phenomenologically, it belongs to the SGRB category. However, it is located in the central region of a blue interacting host galaxy, which is more consistent with a Type II origin (Antonelli et al. 2009; Levesque et al. 2010). Its amplitude parameter f (the ratio between the peak flux and the background flux) is small, suggesting that there is a high probability that the observed short duration is simply the tip of the iceberg of a long-duration GRB (Lü et al. 2014). The only confirmed Type I GRB 170817A belongs to the fainter and softer category in the phenomenological short GRB sample (Granot et al. 2018; Zhang et al. 2018). Without GW association, this burst was unremarkable among faint short GRBs detected by Fermi/GBM. It became unique when the distance information (and hence, its extremely low luminosity and energy) was revealed. Compared with traditional short GRBs, its special properties are likely related to the viewing angle effect. In general, the T90 information may be misleading at least for some bursts, and multiwavelength data are essential to diagnose the physical category of GRBs.
It has been suggested that one should apply multiple observational criteria, including both prompt emission and host galaxy information, to define the physical category of a GRB (Zhang et al. 2009). However, no quantitative method has been proposed to carry out this task. Thanks to the larger sample and more available information, we now enter the era of astroinformatics and astrostatistics, and are able to apply elaborate multivariate classification methods (Mukherjee et al. 1998; Broos et al. 2011, 2013; Siemiginowska et al. 2019).9 To perform multivariate classifications, a large field of mathematical methods, such as logistic regression, naive Bayes, support vector machines, and artificial neural network, and other methods have been developed (James et al. 2013; Müller & Guido 2016).10 In this paper, we choose to use the naive Bayes method due to its simplicity, understandability, and the limited size of the GRB sample. The method is presented in Section 2 and the results are given in Section 3. Section 4 presents the conclusions with some discussion.
2. Naive Bayes Method
Naive Bayes classifiers are a group of Baysian-theorem-based classification methods.11
It is simple, fast, and one of the most understandable classifiers in machine learning. According to the Bayesian theorem, the posterior probability of one GRB with parameters
to be a hypothesized type is

where P(Type) is the prior probability of a GRB to be one specific type, P({x}) is the probability of the parameter set {x}, and
is the likelihood of one specific type of GRB to have a parameter set {x}. Naive Bayes assumes parameters are independent, thus,

Although this assumption is strong, it turns out that naive Bayes performs surprisingly well even if the parameters are mildly correlated (Hand & Yu 2001; Broos et al. 2011). The implementation of naive Bayes usually follows the following steps:
- 1.Estimate the likelihood
for each parameter xi with the preliminary Type I and Type II GRB samples. - 2.Missing values imputation—replace the missing values by substituted values, see Section 2.2 for more information.
- 3.Estimate the priors P(I) and P(II), usually by the size of each sample.
- 4.Calculate the posterior probabilities following Equation (1).
- 5.Normalize the posterior probabilities
and
by requiring
for each object. - 6.The type of GRB is assigned to the one with a higher posterior probability.
The likelihood for each parameter
is estimated with the observed sample in Section 2.1. The parameter selection and the priors are presented in Section 2.2.
2.1. Statistical Distributions of GRB Observational Properties
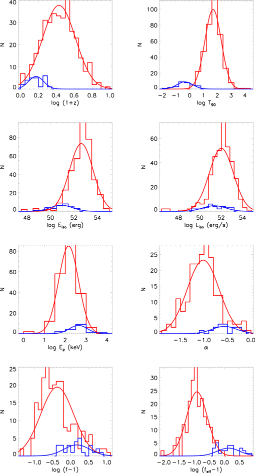
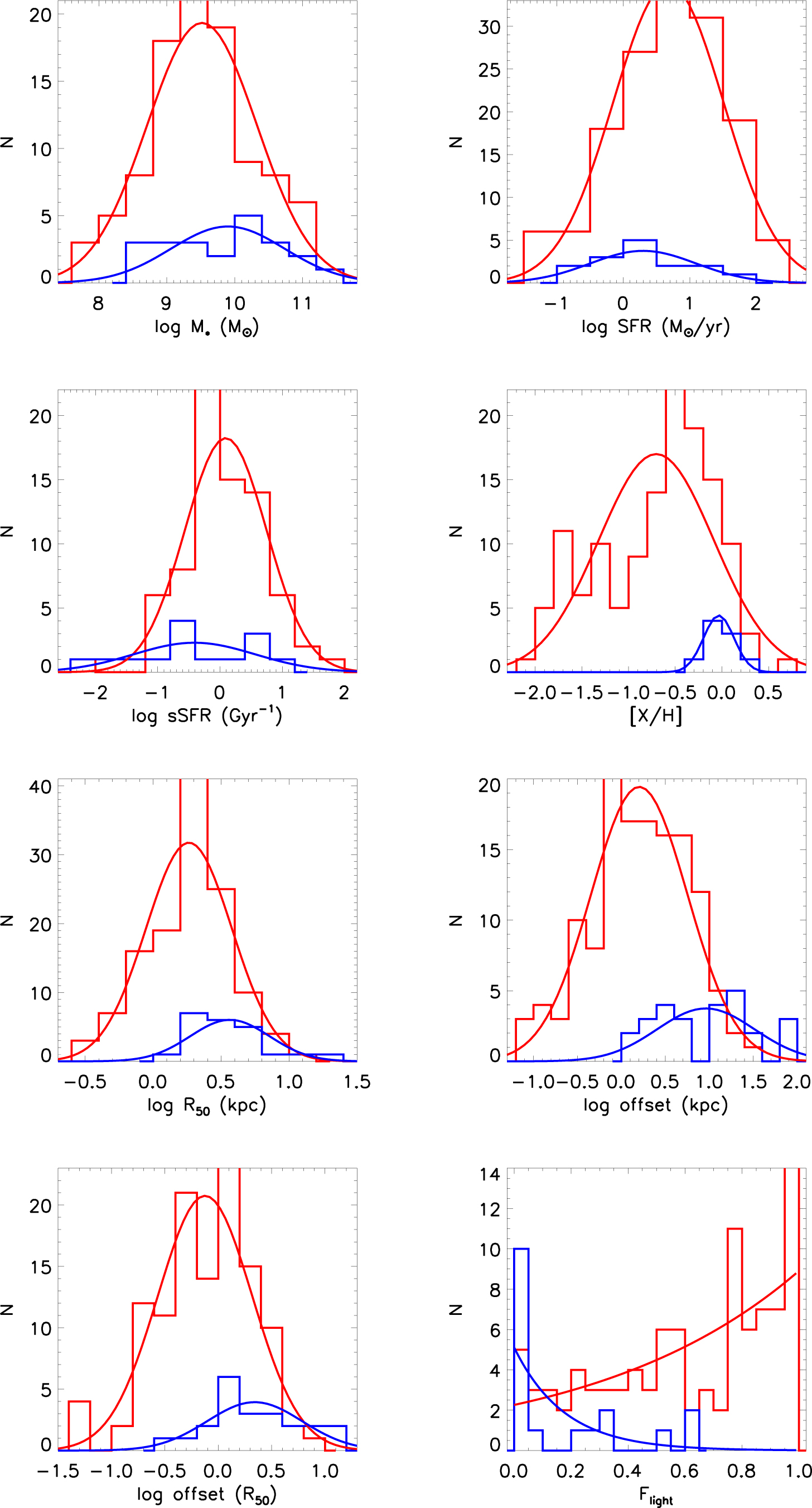
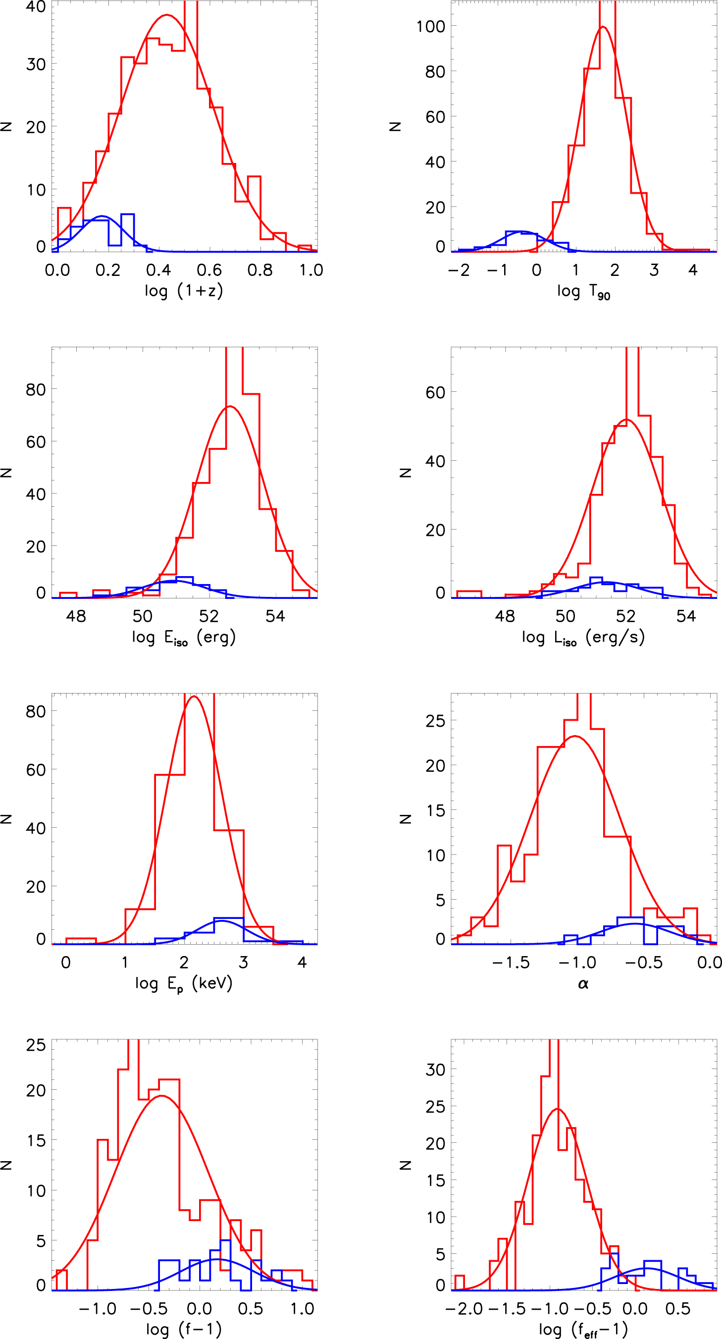
Our method makes use of the multiwavelength data of GRBs. In order to come up with a set of sound classification criteria, one needs to first look into the statistical distributions of the observational properties for different types of GRBs. We use a sample based on the catalog presented in Li et al. (2016), in which the prompt emission and host galaxy parameters of 407 GRBs were compiled. In total, there are 16 parameters, including the redshift, 7 prompt emission parameters, and 8 host galaxy parameters. The prompt emission parameters include the duration T90, two spectral parameters (the peak energy
and the low energy photon index α) of the best-fitting Band function (Band et al. 1993), the isotropic γ-ray energy Eiso, the isotropic γ-ray peak luminosity Liso, the amplitude f parameter, and the effective amplitude parameter feff (the f parameter when the background is shifted to make the duration T90 be 2 s, see Lü et al. 2014 for a detailed discussion of f and feff parameters). The host galaxy parameters include stellar mass of the host M*, star formation rate (SFR), specific star formation rate (sSFR; the ratio between SFR and M*), metallicity of the host [X/H], half-light radius of the host R50, offset of the GRB from the center of the host galaxy in units of kpc Roff, normalized offset r50 = Roff/R50, and fraction of the host light in the area fainter than the GRB position, Flight.
The "consensus" LGRBs and SGRBs are defined based on the online GRB catalog maintained by Jochen Greiner.12 The LGRBs and SGRBs in this catalog are defined based on the published results in the literature, including GCNs. Such definitions usually take into account the multiwavelength observational data, and the definitions of "long" and "short" already implies their possible physical origins. There are no well-defined criteria regarding how the category of one particular burst is assigned, but the classification presented on the website usually reflects the consensus in the GRB community regarding each GRB with redshift and multiwavelength information. We consider this "consensus" LGRB sample as the preliminary sample of Type II GRBs, and the "consensus" SGRB sample as the preliminary sample of Type I GRBs. The classification of some bursts are subject to debate, e.g., GRB 060505, GRB 060614, GRB090426, and GRB 060121. These bursts are excluded from our control sample. Altogether, there are 403 GRBs in our control sample.
For each parameter except Flight, we use a Gaussian function

to fit the distribution of each of these two classes of GRBs. For Flight, an exponential distribution

is used to fit the distribution. The normalization is obtained by requiring the integration in [0,1] to be unity.
For most of the parameters, not all GRBs have the measured values. We properly select a smaller sample to perform the fittings. For the redshift parameter, we only consider the precise, spectrally identified redshifts. The original definition of feff (Lü et al. 2014) is slightly larger than 1. In this work, we use log (feff − 1) instead to perform the statistical analysis. The stellar mass of the host galaxy M* can be estimated by either the spectral energy density (SED) fitting or the infrared (IR) luminosity. The IR luminosity method assumes a 70 Myr old stellar population, which gives a very large uncertainty. Therefore, we only select the M* values that are derived using the SED method. The star formation rate (SFR) can be estimated by emission lines such as Hα, Hβ,[O iii], [O ii], and Lyα, as well as continuum such as UV, IR, and SED fitting. Emission lines indicate the SFR with age 0–10 Myr, around the life of stars with mass >30 M⊙. The continuum, on the other hand, indicates the SFR with age 0–100 Myr (Kennicutt & Evans 2012). In our analysis, we only adopt the values obtained from the emission lines to perform the fitting. We further exclude the upper and lower limits of the SFR. The metallicity [X/H] estimated with
is double-valued (Kewley & Ellison 2008; Savaglio et al. 2009). Following the suggestions of Kobulnicky & Kewley (2004) and Berger (2009), we use the larger of the two values as the metallicity of a particular GRB.
The maximum likelihood estimation is used to fit the distributions. For Gaussian distribution, there are analytical solutions of μ and σ2. (See the Appendix for details.) The histogram of each parameter and the best-fitting results are shown in Figure 1, with red lines for Type II GRBs and blue lines for Type I GRBs. The fitting results are given in Table 1, with errors estimated by 100 bootstraps. The number of samples N, mean μ, and standard deviation σ for Type II and Type I GRBs are listed in Columns 2–4 and 7–9 of Table 1, for all parameters except Flight. For Flight, Columns 3 and 8 give the exponential index γ. In column 12, the values with the same probability in Type I and Type II are presented as the "imputer," which are the values to fill in if the corresponding values are missing. In order to test the goodness of the fit, we applied the Kolmogorov–Smirnov (KS) test, because it is valid for most functions and more sensitive to the center (see more discussions about the Anderson–Darling test in Section 4.4). The KS test results DKS and the corresponding null probability PKS are listed in columns 4, 5, 8, and 9. For the Flight of Type I GRB, the large DKS = 0.56 is due to many Type I GRBs with Flight = 0.0. However, it is highly influenced by the rounding in the literature. We thus try to randomly assign Flight = 0.0 to be [0.0, 0.05]. It results in DKS = 0.34 and PKS = 0.02. If we assign Flight = 0.0 to be [0.0, 0.1], DKS = 0.25 and PKS = 0.19. The classification results are not affected by the rounding effect correction.
Download figure:
Standard image High-resolution imageFigure 1. Distributions of prompt and host galaxy parameters of preliminary Type II GRBs (LGRBs; red histograms) and Type I GRBs (SGRBs; blue histograms), with fitted Gaussian functions (red and blue solid lines) overplotted.
Download figure:
Standard image High-resolution imageTable 1. Fitting Results of Each Parameter for the Preliminary Type II and I Samples of Li et al. (2016)
| Parameter | Type II | Type I | |||||||||
|---|---|---|---|---|---|---|---|---|---|---|---|
| N | Mean μ(γ) | σ |
|
|
N | Mean μ(γ) | σ |
|
|
Imputera | |
| log T90 | 371 | 1.68 ± 0.03 | 0.59 ± 0.03 | 0.05 | 0.41 | 32 | −0.36 ± 0.10 | 0.57 ± 0.08 | 0.07 | 1.00 | 0.65 |
| log (1+z) | 349 | 0.43 ± 0.01 | 0.18 ± 0.01 | 0.03 | 0.83 | 24 | 0.17 ± 0.02 | 0.08 ± 0.01 | 0.13 | 0.77 | 0.30 |
log (erg) |
371 | 52.62 ± 0.05 | 1.01 ± 0.05 | 0.08 | 0.03 | 31 | 50.92 ± 0.16 | 0.94 ± 0.11 | 0.11 | 0.84 | 51.78 |
log (erg s−1) |
368 | 52.00 ± 0.06 | 1.13 ± 0.07 | 0.08 | 0.03 | 31 | 51.34 ± 0.19 | 1.07 ± 0.11 | 0.08 | 0.99 | 51.76 |
| α | 197 | −1.02 ± 0.03 | 0.34 ± 0.02 | 0.06 | 0.55 | 15 | −0.57 ± 0.06 | 0.26 ± 0.04 | 0.17 | 0.72 | −0.81 |
log (keV) |
203 | 2.16 ± 0.04 | 0.48 ± 0.03 | 0.05 | 0.69 | 17 | 2.63 ± 0.10 | 0.42 ± 0.08 | 0.14 | 0.89 | 2.36 |
log
|
222 | −0.37 ± 0.03 | 0.46 ± 0.02 | 0.09 | 0.04 | 28 | 0.17 ± 0.07 | 0.36 ± 0.03 | 0.11 | 0.84 | −0.14 |
log ( ) |
212 | −0.91 ± 0.02 | 0.34 ± 0.02 | 0.07 | 0.25 | 28 | 0.13 ± 0.07 | 0.37 ± 0.03 | 0.13 | 0.71 | −0.40 |
log SFR ( yr−1) |
200 | 0.67 ± 0.05 | 0.82 ± 0.04 | 0.07 | 0.29 | 20 | 0.00 ± 0.19 | 0.87 ± 0.12 | 0.11 | 0.95 | 0.28 |
| log sSFR (Gyr−1) | 92 | 0.06 ± 0.08 | 0.72 ± 0.06 | 0.08 | 0.56 | 15 | −0.53 ± 0.23 | 1.05 ± 0.15 | 0.12 | 0.98 | −0.57 |
| log M* (M⊙) | 98 | 9.52 ± 0.08 | 0.81 ± 0.06 | 0.04 | 0.99 | 22 | 9.90 ± 0.18 | 0.84 ± 0.09 | 0.11 | 0.96 | 9.76 |
|
131 | −0.70 ± 0.06 | 0.62 ± 0.03 | 0.11 | 0.09 | 9 | −0.03 ± 0.05 | 0.16 ± 0.02 | 0.19 | 0.87 | −0.32 |
| log R50 (kpc) | 126 | 0.26 ± 0.03 | 0.32 ± 0.02 | 0.07 | 0.50 | 22 | 0.56 ± 0.05 | 0.29 ± 0.05 | 0.13 | 0.81 | 0.39 |
| log offset (kpc) | 134 | 0.20 ± 0.05 | 0.55 ± 0.03 | 0.05 | 0.88 | 26 | 0.96 ± 0.11 | 0.55 ± 0.05 | 0.11 | 0.87 | 0.58 |
| log offset (R50) | 115 | −0.12 ± 0.04 | 0.44 ± 0.03 | 0.06 | 0.75 | 22 | 0.34 ± 0.08 | 0.45 ± 0.06 | 0.12 | 0.88 | 0.11 |
|
97 | 1.37 ± 0.36b | ⋯ | 0.09 | 0.45 | 18 | −5.65 ± 1.88 | ⋯ | 0.56 | 0.00 | 0.36 |
|
97 | 1.33 ± 0.36c | ⋯ | 0.09 | 0.39 | 18 | −4.70 ± 1.88 | ⋯ | 0.25 | 0.19 | 0.38 |
Notes. All parameters but
are fitted with a Gaussian distribution, and the distribution of
is fitted with an exponential distribution.
, this is the index γ of the exponential distribution.
cAfter considering the rounding effect modification.
Download table as: ASCIITypeset image
2.2. Classification
One of the most important problems in machine learning is how to deal with the missing values. Here we choose to impute the missing values with the equal-likelihood values, that is, the value to have the same likelihood to be Type I and Type II GRBs. The values are listed in the last column of Table 1. It is equivalent to multiplying the likelihood
with observed values only in Equation (1), since
for missing values.
Naive Bayes assumes no correlation among parameters. However, there are some obviously correlated parameters in our sample, e.g., the subsets {SFR, sSFR and M*}, {Liso, Eiso, and T90}, {R50, Roff, and roff}, and redshift z. In order to eliminate significant correlations, we would like to exclude one parameter in each subset. Since we aim to distinguish the two types of GRBs, it is better to exclude the parameter with the least separations in each subset. Table 7 of Li et al. (2016) tested the difference between each parameter of Type II and Type I by KS test, with PKS indicating the difference between each parameter of Type II and Type I GRB. Thus, we exclude those parameters with the largest PKS, i.e., the least difference, in each parameter subset. For example, the isotropic peak luminosity Liso is excluded, since it could be roughly reproduced by T90 and Eiso, and its PKS value for Type II and Type I GRBs is larger than those of T90 and Eiso. Similarly, we exclude f, SFR, and Roff. Finally, as presented in Li et al. (2016), the redshift z is subject to a selection effect and is correlated with many parameters, such as Eiso, SFR, and [X/H]. We therefore do not include z in the analysis. In summary, we take the parameters
, α,
, sSFR,
,
,
to implement the naive Bayes analysis.
The priors P(I) and P(II) are unknown. We use the ratio of their observed numbers, i.e., P(II) = 371/403 = 0.92, and P(I) = 32/403 = 0.08 as the priors.
3. Results
After replacing ("imputing") the missing values with the equal-likelihood values listed in the last column of Table 1, the posterior probability
and
can be calculated according to Equation (1), with the likelihood estimated in Section 2.1 and the priors estimated in Section 2.2. After normalizing the posterior probabilities
and
, the type of each GRB is assigned to the one with a larger posterior probability. We list the confusion matrix, which shows the number of false Type II (0), false Type I (2), true Type II (369), and true Type I (32), in Table 2. It can be shown that most GRBs are correctly classified as Type II or Type I, except 2 (0.5%) GRBs.
Table 2. A Confusion Matrix Compares the Preliminary GRB Classification and the Predicted Classification of the Naive Bayes Method Described in Section 2
| Predicted | Preliminary | ||
|---|---|---|---|
| Type II | Type I | total | |
| Type II | 369 | 0 | 369 |
| Type I | 2 | 32 | 34 |
| Total | 371 | 32 | 403 |
Download table as: ASCIITypeset image
3.1. The Posterior Odds
In order to examine the results in more detail, we calculate the posterior odds

which gives the degree that the observed parameter set
supports the Type II against the Type I hypothesis. The first term P(II)/P(I) is the prior odds, and the second term
is the Bayes factor (or likelihood ratio) (Currell & Dowman 2009 and their updates).13
By definition, a positive log
indicates a preference to Type II GRB, and a negative log
indicates a preference to Type I.
We plot the logarithmic posterior odds log
in the left panel of Figure 2. Red and blue histograms show the distribution of log
for preliminary Type II GRBs (LGRBs) and Type I GRBs (SGRBs). The logarithmic value
of preliminary Type I GRBs are all negative, with the largest value −1.2. Most of preliminary Type II GRBs have positive log
, with two exceptions. They are GRB 131004A and GRB 090927. GRB 131004A has a duration
, and feff = 1.94, similar to a Type I GRB. However, the spectrum of it is quite soft, with a α = −1.4 in Fermi/GBM detector, similar to a Type II GRB. And there is no more host galaxy information. Thus, the naive Bayes classifier does not give a strong preference. Its log
, the smallest one of the preliminary Type II GRBs. GRB 090927A has T90 = 2.16 s, z = 1.37, and
, showing no strong preference to either GRB type.
Figure 2. Left: the distribution of the posterior odds log
. Red and blue histograms show the distribution of log
for preliminary Type II GRBs (LGRBs) and Type I GRBs (SGRBs). The green and orange rectangles indicate the highly debated GRBs. The dark blue rectangle shows GRB 170817A, an ironclad Type I GRB associated with a binary neutron star merger. Right: the posterior odds of the prompt emission properties log
and host galaxy properties log
. Red dots indicate the preliminary Type II GRBs, and blue squares indicate the preliminary Type I GRBs. Green and orange symbols are the highly debated GRBs. The dark blue star indicates GRB 170817A. The solid line shows the separation line between preliminary Type I and preliminary Type II GRBs, log
line.
Download figure:
Standard image High-resolution imageThe debated GRBs, GRB 060505, GRB 060614, GRB 090426, and GRB 060121 are not included in the histogram. They are presented as green and orange rectangles. They are all located near zero, consistent with the fact that their origins are under debate. The ironic neutron star–neutron star merger event GRB 170817A is overplotted as the dark blue rectangle or star, which shows the smallest log
, indicating that it is a prototype of Type I GRBs.
Note that there is no overlap between the two preliminary samples of Type I and Type II GRBs. The gap is between −1.2 and −0.16. It means that an additional modification

would be a better criterion to classify GRBs physically. With it, every predicted type matches the preliminary type.
3.2. Prompt Emission versus Host Properties
In order to examine the effect of prompt emission and host galaxy properties, we further study them separately. The posterior odds are

and

The results are presented in the right panel of Figure 2. The preliminary Type II GRBs are shown with red points, and the preliminary Type I GRBs are shown with blue squares. The GRBs without host galaxy information have
, and cluster in the figure. By definition, a positive log
or log
indicates the preference of a Type II GRB over a Type I GRB. It can be seen that most Type II GRB candidates (red dots) are indeed located in the first quadrant, with log
and log
, and lots of Type I candidates (blue dots) are located in the third quadrant. Also, there are a few preliminary Type II GRBs in the second and forth quadrant, and there are some preliminary Type I GRBs in the second quadrant. These may be results of the correlations among parameters, or the simple estimation of the priors by the detected Type II/Type I GRBs. Still, in the
versus
diagram, we find that a straight line

is able to separate these two types of GRBs, as shown by the solid line.
All of the four debated GRBs are quite close to the Type I region in the right panel of Figure 2, although they are located in the Type II region. GRB 060121 has a T90 of 2.61 s, longer than the conventional separation line for SGRBs and LGRBs. The low energy photon index α is −0.5, around the typical value of Type I GRBs. The size of its host is
kpc, which is also a typical value of Type I GRBs. On the other hand, its offset and fraction of light Flight suggest that it belongs to Type II. This object is somewhat between Type II and Type I GRBs. Note that there is no convincing redshift measurement of GRB 060121A, and a redshift of z = 0.5 has been assumed (Li et al. 2016).
GRB 170817A, the only ironclad Type I GRB firmly associated with a binary neutron star merger from the gravitational wave observations, is presented as a dark blue star. The prompt emission properties are taken from Zhang et al. (2018), and the host galaxy properties are taken from Blanchard et al. (2017). Its log O(II:I)prompt and log O(II:I)host are −5.2 and −3.8, respectively. Both are well below the separation line, well consistent with our Type I GRB classification criterion.
3.3. SN and SN Limits
The SN association and observational limits of the existence of SN provide important information about the physical origin of GRBs. We add the SN information to posterior odds calculations and they are presented in Figure 3.
Figure 3. Same as Figure 2, but with the supernovae information added. Right: triangles represent the GRBs with SN associations, with spectral (solid arrows) or photometric (dashed arrows) detections. Dark cyan lines and points show the correction with SN limits included. The GRBs without SN information are plotted as gray for clearness.
Download figure:
Standard image High-resolution imageFor some GRBs, stringent limits of SNe were set, which give a strong indication of their origins. The inclusion of SN limits leads to a correction of the posterior odds. Assuming a Gaussian distribution of the peak absolute magnitudes of the associated SNe, we estimate the probability to have an associated SN fainter than the upper limit P(SN) with the Gaussian distribution and modify the odds to be log
. The peak absolute magnitudes of the observed GRB-associated SNe have a narrow distribution, −18.52 ± 0.45 mag (Hjorth & Bloom 2012; Berger 2014). However, it is possible that fainter associated SNe are not detected. Since most of the LGRB-associated SNe are Type Ic with broad lines, we adopt the peak absolute magnitude distribution of SN Ic-BL as the distribution of that of LGRB-SNe. It is estimated to be −18.3 ± 1.6 mag from the open SN catalog.14
The results of GRB classifications after including the SN criterion are presented in Figure 3. Because the GRBs nearest to the gaps usually do not have SN information, the position of the gap between Type I and Type does not change.
With the SN limit correction, two of the highly debated objects, Type II candidates, GRB 060614 and 060505, are now shifted to the Type I region. These two GRBs are also widely discussed to be long-duration Type I candidates (Della Valle et al. 2006; Gehrels et al. 2006; Fynbo et al. 2006; Zhang et al. 2007). Their prompt emission properties are not that typical compared with other Type II GRBs, and their host galaxy properties are similar to Type II GRBs. However, their SN limits strongly favor the merger origin of these two events.
The SN limits are also presented in the log
-log
diagram (the right panel of Figure 3) as dark cyan lines.
GRBs with spectrally confirmed SN associations are definitely Type II GRBs from core collapse of massive stars. In the right panel of Figure 3, GRBs with spectrally confirmed SN associations are shown as triangles with solid arrows, and those with SN spectral features are presented as triangles with dashed arrows (Hjorth & Bloom 2012).
4. Conclusion and Discussion
Utilizing the distributions of the prompt emission and host galaxy properties of GRBs presented in our previous work (Li et al. 2016), in this paper we proposed to use the naive Bayes method to classify GRBs into two physically distinct categories, Type II (massive star origin) and Type I GRBs (compact star origin). We estimate the probability of each GRB to be a Type II or Type I GRB based on the distributions of the prompt emission and host galaxy parameters derived from the preliminary Type II and Type I GRB samples. The type of each GRB is assigned to the one with the larger probability. This results in only a 0.5% misclassification, much better than any one-parameter criteria.
We also examined the posterior odds, log
, which is the logarithm of the ratio of the probabilities of Type II and Type I, and describes the preference of Type II against Type I. For the GRB control sample (described in Section 2.1), the two preliminary Type I and Type II samples are well separated into two groups without an overlap in the log
distribution, with a gap between −1.2 and −0.16. If we define Equation (5), Type I and Type II GRBs can be classified as
and
, respectively. Such a new classification scheme is more efficient, resulting in no misclassification relative to the preliminary sample. We believe that this method provides a quantitative, overall assessment of the physical origin of any GRB with multiwavelength observational data in the future. We provide a public python code available at http://www.escience.cn/system/file?fileId=113414, which can be directly used to classify future GRBs with desired observational information available.
We discuss some caveats and possible improvements of this method in the following.
4.1. Validation
Machine-learning studies reveal that the errors in the training sample, the sample to estimate the parameter distributions, are usually smaller than the true error. A common method to estimate the true error is cross validation. By randomly dividing the total sample into a training sample and a test sample, which does not contribute to the parameter estimation, the true error is around the error of the test sample. However, the sample size of the preliminary Type I GRBs is only 32. An equal division would significantly reduce the sample size, and overestimate the test error. In order to eliminate this issue, we utilize the "leave one out cross validation" (LOOCV) method. This method runs the naive Bayes method 403 times, since we have 403 GRBs in the controlled sample. For each time, one GRB is left out as a test sample, while the other 402 GRBs are used as a training samples to fit the distributions of the parameters. The sum of the errors of the 403 realizations is considered as the test error. As a result, for Type II GRBs are misclassified as Type I GRBs, and no Type I GRBs are misclassified as Type II GRBs. The test error rate is thus 4/403 = 1%.
4.2. Selection of the Control Sample
The selection of the control sample might affect our results. We, therefore, test the case with the four highly debated GRBs in the analysis. With the naive Bayes method, there are three preliminary Type II GRBs misclassifed as Type I GRBs, and two preliminary Type I GRB misclassified as Type II GRBs. The two misclassified Type I GRBs are GRB 090426 and GRB 060121, two of the highly debated GRBs. With the log
log
as a criterion, only the two highly debated GRB 090426 and GRB 060121 are misclassified.
There is a slight overlap between the two candidate populations. The overlap fraction is 2% (8) for Type II candidates and 6% (2) for Type I candidates. Even in this case, the overlap fraction is much smaller than previous methods. For example, for the duration classification method, there are 7% Type II and 20% Type I candidates in the overlapping region. For the feff parameter method, the corresponding fraction is 7% (48%) for Type II (Type I) candidates, respectively.
4.3. Selection of Parameters
The naive Bayes method assumes no correlation among parameters. To eliminate strong correlations, we select
,
, α,
, sSFR,
,
only. Since naive Bayes performs amazingly well in mildly correlated cases, we also wonder what the result would be if we used different parameter groups.
In order to test this, we include all 16 available parameters in Table 1. It turns out that five preliminary Type II GRBs are misclassifed as Type I GRBs, and no preliminary Type I GRBs are misclassified as Type II GRBs. There is a small overlap region between [−2.84, −2.68], which covers one preliminary Type II GRB and one preliminary Type I GRB. It is clear that, even with the strong correlated parameters, the naive Bayes method still performs better than the one-parameter criteria, although not as well as what we used in Section 2.
4.4. Selection of Functions
In Section 2.1, we use a Gaussian function to fit the parameter distribution of each GRB class except
. The fitting results of all parameters are acceptable with a significance level of 0.01, when the goodness of fit is examined with the Kolmogorov–Smirnov (KS) test.
On the other hand, the Anderson–Darling (AD) test is usually considered as a better proxy of Gaussianity, especially the tails. When the AD test is applied to the examination, the null probability for
,
, f, and [X/H] of Type II GRBs is smaller than 0.01. This indicates that they may not be well described as Gaussian distributions. For Eiso and Lpeak, the low-luminosity GRBs contribute as a low-luminosity tail (Liang et al. 2007). For [X/H], this is a result of different metallicity estimation methods or the metallicity dependence on redshift. For low redshift objects, the metallicities are estimated with emission lines such as Hα, O ii, while for high redshift objects, they are mainly estimated with absorption lines. We thus tried to use two Gaussians for the above four parameters of Type II GRBs. With two Gaussians, the resulting AD test parameters A2 (and null probabilities P) are 0.38(0.56), 0.98(0.14), 0.29(0.69), and 0.26(0.70), respectively. The classification results are nearly the same. One more preliminary Type II GRB, GRB 070714A, has a log O smaller than 0. The gap between preliminary Type II and Type I GRBs still exists, just change to [−1.23, −0.45].
Theoretically, the AD test is more sensitive to the tail, the KS test is more sensitive to the center, and the Cramer-von Mises test is somewhat in between. The additional Gaussian contributes 0.05, 0.10, 0.27, and 0.19 to Eiso, Lpeak, f, and [X/H], respectively, and significantly changes the Anderson–Darling test results. The choice of goodness of fit methods depends on the aim of the test. For our purpose, the centers of Type I and Type II GRBs are more important than the tails. Since the results do not change significantly, to have a clear and consistent picture, we use one Gaussian in the main part of the paper. Two-Gaussian fitting reveals more details and may be needed if more detailed classifications, including subclasses, are to be operated.
4.5. Other Possible Physical Classes/Subclasses of GRBs
The purpose of physical classification of GRBs is to identify physically distinct classes using (typically multiple) observational criteria. The most important physical question in GRB physics is the progenitor systems. Our Type I/II classification scheme developed in this paper (proposed in Zhang et al. 2009) is dedicated to addressing this problem. Notice that such a classification scheme does not specify the detailed progenitor system. While the leading progenitor model of Type II GRBs is the collapse of single stars (collapsars; Woosley 1993; MacFadyen & Woosley 1999), these GRBs may be also produced by massive stars in binary systems (e.g., Izzard et al. 2004; Fryer & Heger 2005). The leading Type I progenitor model is NS–NS mergers (Paczynski 1986; Eichler et al. 1989; Narayan et al. 1992), but BH–NS mergers are quite possible to be another type of progenitor system (Paczynski 1991; Faber et al. 2006). It is possible that there exist subclasses within each broad class (e.g., Zhang 2018 for a detailed discussion). For example, within the Type I population, those with extended emission or internal plateau may comprise a subclass of NS–NS merger events that have a rapidly spinning neutron star post-merger product (Lazzati et al. 2001; Norris & Bonnell 2006; Norris et al. 2010; Kaneko et al. 2015). Within the Type II category, the so-called low-luminosity GRBs (Liang et al. 2007) and ultra-long GRBs (Gendre et al. 2013; Levan et al. 2014; Zhang et al. 2014) may signify different subclasses. Also, if one is interested in radiation mechanisms and jet compositions, GRBs may be classified as thermally dominated fireballs and Poynting-flux-dominated jets. It is possible to further identify physically distinct subclasses or even new classes with the multiwavelength data. This is beyond the scope of the current paper.
We thank the referee for helpful comments and suggestions. Y.L. thanks Seng, Fei, and Jun Qin for helpful discussions. This work is partially supported by the China Postdoctoral Science Foundation (No. 2018M631242). Y.L. is supported by the KIAA-CAS Fellowship, which is jointly supported by Peking University and Chinese Academy of Sciences. Q.Y. acknowledges the support of the 100 Talents Program of Chinese Academy of Sciences.
Appendix: Analytical Results of Maximum Likelihood Estimations
A.1. Gaussian Distribution
For a Gaussian distribution

the logarithmic likelihood for a sample with n variables is

To obtain the extreme of the logarithmic likelihood, thus the extreme of the likelihood, we require the derivatives of this log-likelihood to be zero

A.2. Exponential Distribution
The exponential distribution we used for the parameter light fraction Flight is
. To have the integrated value within [0, 1] normalized to be 1, one has

The logarithmic likelihood for a sample with n variables is

To obtain the extreme of the logarithmic likelihood, thus the extreme of the likelihood, we require the derivatives of this log-likelihood to be zero

Footnotes
- 8
In the literature, an "intermediate" duration type between short and long GRBs has been studied phenomenologically as a statistically significant population based mainly on the T90 criterion (Horváth 1998; Mukherjee et al. 1998; Hakkila et al. 2003; Horváth et al. 2006, 2018; Tsutsui et al. 2013). No evidence suggests that they form a physically distinct category. They may be a consequence of an instrumental effect (Hakkila et al. 2003) or may belong to a subclass of Type II GRBs (Grupe et al. 2013).
- 9
- 10
- 11
- 12
- 13
- 14
















![$[{\rm{X}}/{\rm{H}}]$](https://content.cld.iop.org/journals/0004-637X/897/2/154/revision1/apjab96b8ieqn23.gif?Expires=1696342798&Signature=nHaYM8ufqbwx7U3cPi54PX5V6qlNjCzmCPTrOWJwgBUqoVIca~C7C250WAgTY~E52N0o4RNYdRl~LUHC2e~vYqPqkUeo-Ym5Be7ny9DrnK5tcd-PzBxFRbY0KUW57eyryS22pWOOJI3~ehFijM3oY5NKNpawyBsNM8Uwl8MxzRfzo9qb9XSAezP3NRRPVqoWhaMl9prYEY6GjkXVV3dp5ckGGJfQEfmc7RiBf37QCkaXfum~1XSMFdZxI-uf2DHH-9JPn71fsHFPPMjXLzZRcqaNgnVe-c~h18Lb17~AyIpUSmL0n4pHM-~IFjeKgl8Y20m0vwV4yjVUPFhWKf9vsw__&Key-Pair-Id=KL1D8TIY3N7T8)



