Abstract
The source G25.65+1.05 (RAFGL7009S, IRAS 18316-0602) is the least studied of the three regions of massive star formation known to show exceptionally powerful H2O maser bursts. We report spectral line observations of the H2O maser at 22 GHz, the methanol maser transitions at 6.7, 12.2, and 44 GHz, and the continuum in these same frequency bands with The Karl G. Jansky Very Large Array at the post-burst epoch of 2017. For the first time, maps of 22 GHz H2O and 44 GHz CH3OH maser spots are obtained and the absolute position of the 22 GHz H2O bursting feature is determined with milliarcsecond precision. We detected four continuum components, three of which are closely spaced in a linear orientation, suggesting a physical link between them.
Export citation and abstract BibTeX RIS
1. Introduction
Cosmic masers were discovered nearly 50 yr ago, and although great strides have been made in understanding the nature of these intriguing objects, they continue to present behaviors that we cannot yet fully explain. One such phenomenon is the "super-bursts" of water maser emission. Water masers are known to be variable on a variety of timescales, but only three Galactic water masers are known to flare to the level of 105–106 Jy (TB ∼ 1017 K): Orion KL, W49N, and the recently discovered G25.65+1.05.
Because unsaturated maser amplification is exponentially related to path length, the observed maser flux depends on the viewpoint of the observer. However, changes in maser flux also pertain to activity at, or in the vicinity of, the maser region. The super-burst phenomenon may be caused by an enhanced maser pumping mechanism due to a change to more favorable physical conditions; an increase in the incident seed photons entering the maser region; or due to an increase in maser path length on the line of sight to the observer. The latter case can be achieved by a chance overlap—when two masers of similar velocity move into superposition in the sky plane, as described by Shimoikura et al. (2005). A comparison of flaring in different maser species and monitoring of free–free continuum levels can provide important clues for understanding the nature of the flaring process.
G25.65+1.05 (associated with IRAS 18316−0602 and also known as RAFGL7009S) was included in the H2O maser surveys of Palla et al. (1991) and Brand et al. (1994), both of which reported a powerful H2O maser with flux density >700 Jy and Vpeak = ∼45 km s−1. The source is maser-rich, with both class I and II methanol,7 OH, and H2O masers reported (e.g., Palla et al. 1991; Fontani et al. 2010; O. S. Bayandina et al. 2019, in preparation).
The 6.7 GHz class II methanol maser in G25.65+1.05 has been extensively observed and found to be variable with the flux density of ∼100–200 Jy (van der Walt et al. 1995; Walsh et al. 1997; Slysh et al. 1999; Szymczak et al. 2000; Fontani et al. 2010). The presence of a circumstellar disk was suggested in Zavagno et al. (2002) and Surcis et al. (2015) based on 6.7 GHz maser presence and structure. Fontani et al. (2010) showed three spectra of methanol: one of class II methanol at 6.7 GHz (∼100 Jy, Effelsberg, 100 m) and two of class I methanol lines at 44 GHz (∼10 Jy) and at 95 GHz (∼2 Jy); both class I spectra were obtained with the Nobeyama 45 m telescope. Established methanol maser classification (Batrla et al. 1987; Menten 1991) suggests that cIMM and cIIMM do not coexist because of distinct pumping conditions. One of the main cIMM properties is that they do not spatially coincide with cIIMM or with H2O and OH masers. OH maser lines in G25.65+1.05, according to recent Very Large Array (VLA) data, show the strongest peak at 1665 MHz, with a flux density of ∼9 Jy and no emission in satellite lines (O. S. Bayandina et al. 2019, in preparation). Thus, a likely scenario is that this region hosts spatially separated molecular cores at different stages of evolution.
The distance to the source is an open question—VLBI measurements of the trigonometric parallax have never been performed for the source. Molecular line observations in most cases argue in favor of the near kinematic distance and yield values of ∼3 kpc (Molinari et al. 1996; Walsh et al. 1997; Sunada et al. 2007). In contrast, H i self-absorption toward the source suggests a far kinematic distance of 12.5 kpc (Green & McClure-Griffiths 2011). A probability density function for source distance calculated on the basis of The Bar and Spiral Structure Legacy (BeSSeL, http://bessel.vlbi-astrometry.org) Survey data (Reid et al. 2016) indicates a distance of 2.08 ± 0.37 kpc with a probability of 64%. In our calculations below we will use this value.
There is no optical identification with an H ii region within 2' (Molinari et al. 1996); i.e., this region is deeply embedded and/or is at a very early evolutionary state. The probable young stellar object of the region is a BIV star (Zavagno et al. 2002). According to McCutcheon et al. (1995), the source is weak in the radio continuum. with 2.7 mJy flux density at 6 cm and classified as "probably pre-main-sequence." Kurtz et al. (1994) presented a 3.6 cm map and reported an "irregular" morphology for the UCH ii region. McCutcheon et al. (1995) also reported JCMT observations at 1100, 800, and 450 μm. They detected a dusty core, and using their data, along with the IRAS fluxes, they fit a two-component model to the spectrum. Their study suggests a larger, cooler core (0.3 pc and 35 K) and a smaller, hotter core (0.073 pc and 123 K). For the cold component they found a total dust mass of 11.0 M⊙ with a molecular hydrogen column density of 9.8 × 1023 cm−2. Although the JCMT and IRAS spectra suggest a two-component model, the JCMT images of both McCutcheon et al. (1995) and Thompson et al. (2006) lack the angular resolution to distinguish internal structure.
Thermal lines detected in the region, such as NH3 and CS, show a peak at the velocity of VLSR = +42.2 km s−1 (Molinari et al. 1996; Bronfman et al. 1996). Other dense gas tracers N2H+ and C2H have similar LSR velocities of 42.6 and 42.4 km s−1, respectively (Sánchez-Monge et al. 2013).
Energetic bipolar flow was detected in the CO (1-0) line with the NRAO 12 m telescope (Shepherd & Churchwell 1996). Dartois et al. (2000) reported multiwavelength observations with the The Institut de radioastronomie millimétrique (IRAM) 30 m, the Plateau de Bure interferometer, United Kingdom Infra-Red Telescope, and Infared Space Observatory. Observations were carried out in CH3CN, CH3CCH and CH3OH lines, including deuterated species and 3 mm continuum. Later the source was observed with the IRAM telescope at 1 and 3 mm in SiO (2-1), SiO (3-2), SiO (5-4), and HCO+ (1-0) lines (López-Sepulcre et al. 2011; Sánchez-Monge et al. 2013). The maps can be interpreted as either a single, episodically driven outflow from a single source, or as multiple outflows from several distinct, but unresolved, sources. Observation of the ν = 1-0 S(1) H2 line at 2.166 μm did not allow an unambiguous determination of whether there are single or multiple outflows and driving sources in the region (Todd & Howat 2006).
In response to the recent super-burst discovery, the Maser Monitoring Organisation (M2O)8 initiated a multipart investigation of G25.65+1.05 to study the burst mechanism in the context of massive star formation. This paper reports the first results of the investigation and aims to provide a brief overview of G25.65+1.05, in addition to introducing new data that impact our understanding of G25.65+1.05 and help establish a robust contextual basis for forthcoming work on this maser burst object.
2. Observations
Observations were carried out in two sessions on 2017 November 2 and December 9 with the Jansky Very Large Array (VLA, NRAO) in the B configuration as a Target of Opportunity program (project code 17B-408). The total observing time was 2 hr, comprising a first session of 45 minutes and a second of 75 minutes. Four frequency bands were used: C (6.0 GHz), Ku (15 GHz), K (22 GHz), and Q (45 GHz).
These VLA observations of G25.65+1.05 were conducted during the post-burst period: Q-band observations were performed on 2017 November 2, i.e., after the powerful H2O maser burst detected in 2017 September (Volvach et al. 2017a, 2019a), but before the short-lived burst of November 20 (Ashimbaeva et al. 2017). C-, Ku-, and K-band observations were performed on 2017 December 9, i.e., after both recent bursts.
The pointing coordinates used were R.A.(J2000) = 18h34m21s, decl.(J2000) = −05°59'42'' and the central velocity was 42 km s−1.
Table 1 reports the main observational parameters. 3C 48 was used as a flux density, bandpass, and delay calibrator; J1832-1035 was used as a complex gain calibrator (the angular separation from the target source is 4
6). About an hour was spent on J1832-1035 scans and ∼20 minutes on 3C 48.
Table 1. Observation Parameters
| Band | Obs. Date | Integ. Time | Continuum | Spectral Line | |||||
|---|---|---|---|---|---|---|---|---|---|
| Synth. Beam | PA | σ | Vel. res. | Synth. Beam | PA | σ | |||
| (minute) | (arcsec) | (°) | (μJy/beam) | (km s−1) | (arcsec) | (°) | (mJy/beam) | ||
| C (6.0 GHz) | 2017 Dec 09 | 10 | 1.82 × 1.15 | 23.01 | 8 | 0.04 | 1.24 × 0.86 | 19.78 | 35 |
| Ku (15 GHz) | 2017 Dec 09 | 12 | 0.70 × 0.47 | 20.51 | 10 | 0.05 | 0.62 × 0.44 | 19.16 | 53 |
| K (22 GHz) | 2017 Dec 09 | 12 | 0.48 × 0.33 | 15.43 | 15 | 0.11 | 0.35 × 0.25 | 11.25 | 60 |
| Q (45 GHz) | 2017 Nov 02 | 10 | 0.33 × 0.19 | 44.27 | 41 | 0.05 | 0.24 × 0.14 | 33.08 | 36 |
Download table as: ASCIITypeset image
Spectral lines were observed in windows of 1024 channels. The channel width was 0.98 kHz in the C band, 1.95 kHz in the Ku band, and 7.81 kHz in the Kand Q bands. For the corresponding velocity resolutions, see Table 1.
For the continuum observations, 31 spectral windows were used in the C, K, and Q bands and 23 windows were used in the Ku band. In all cases, each spectral window contained 128 channels of 1 MHz width.
3. Data Reduction
The data were reduced with the NRAO software package CASA (Common Astronomy Software Applications, http://casa.nrao.edu). The main stages of the data calibration were done with the CASA package "VLA calibration pipeline." Subsequent self-calibration was performed on continuum and spectral line data for each frequency data set.
The flux density scale calibrator 3C48 experienced a flare at the time of our VLA observations of G25.65+1.05 (see, for example, data from the OVRO 40-Meter Telescope Monitoring Program (Richards et al. 2011) at the project webpage http://www.astro.caltech.edu/ovroblazars/). The flare of 3C48 is not fully characterized with the VLA and no accurate model of the calibrator is available in CASA for various frequency bands. This issue affected the flux-density scale obtained in the calibration of data from G25.65+1.05.
Since no reference flux measurements are available for the continuum emission in the source, we present the values obtained in our observations without additional scaling, but warn that the magnitude of the flare in 3C48 is reported to range from ∼5% at the C band to ∼20% at the Q band (Perreault 2019), i.e., uncertainties of such percentage could be expected.
The reference single-dish spectra for 6.7 GHz methanol and 22 GHz H2O masers were obtained with the Torun 32 m telescope (RT-32 of the Toruń Centre for Astronomy of Nicolaus Copernicus University), the HartRAO 26 m telescope (RT-26 of Hartebeesthoek Radio Astronomy Observatory), and the Simeiz 22 m telescope (RT-22 of Crimean Astrophysical Observatory) on the epoch of VLA observations on 2017 December 6–9. For the 44 GHz methanol maser, only archival data from the literature are available (Fontani et al. 2010). The flux densities of 6.7, 22, and 44 GHz masers, as detected with the VLA, are found to differ by a factor of ∼2× from the corresponding single-dish fluxes. Because the deduced factor is about the same for all three maser species, while only the 22 GHz H2O maser is known to be variable in this field, we infer that the flux-density scale issue is a technical problem, unrelated to the true maser behavior. The masers were observed in both a narrowband and a wide-band window, with the latter used to provide a sufficient signal-to-noise ratio on the calibrator. Presumably, the transfer of calibration solutions between different spectral windows aggravated the flux-scale issue. We report maser flux densities normalized to the strongest maser channel in each band. See the notes to Tables 3–5 for the references for the corresponding single-dish flux densities.
Calibrated data were imaged using the Clark CLEAN algorithm (Clark 1980) with robust weighting = 0. Gaussian fitting of the images was performed using CASA task IMFIT; the error estimates provided by the task are based on the work of Condon (1997). Emission from the detected continuum sources is heavily blended in most of the observed frequency bands, so in order to properly estimate positions and fluxes of individual sources, the 4-component Gaussian fit was performed on continuum images. A two-dimensional Gaussian brightness distribution was fitted to the maser maps in every channel with a flux density above the 5σ level (see Table 1 for the σlevel at each frequency) to determine the position, flux density (integrated and peak) and LSR velocity of the maser spots. Hereafter, the term "spot" refers to maser emission in a single channel map.
Spectra were obtained with the CASA Spectral Profile Tool. The detected flux densities of maser sources at each observed frequency differ in the right and left polarizations by less than 2%, ergo we present the Stokes I data.
4. Results
4.1. Continuum Emission
Continuum emission above the 5σ detection level was found in all four frequency bands. In all bands except the C band, four distinct continuum sources were detected in the G25.65+1.05 region, which we index as VLA 1, 2, 3, and 4. As a test, we used the standard technique of applying a uv-range and uv-taper to the data (e.g., Sanna et al. 2018). We imaged the Ku-, K-, and Q-band data using all data, using a 0–600 kλ uv range, and using a 600 kλ uv taper—600 kλ being the longest baseline common to all three bands. The measured fluxes did not vary substantially between the three images; here we report the results obtained using all the data and set the flux uncertainties based on uv-range/uv-taper estimates. Parameters of the detected continuum sources are listed in Table 2 and the VLA continuum images are shown in Figure 1.
Figure 1. Continuum images of G25.65+1.05 at (a) 6.7 GHz (levels [3, 10, 30, 50, 70, 100, 130] × 20 μJy/beam), (b) 12 GHz (levels [3, 5, 10, 20, 30, 40] × 40 μJy/beam), (c) 22 GHz (levels [3, 5, 10, 20, 30] × 50 μJy/beam), and (d) 44 GHz (levels [3, 5, 7, 10] × 70 μJy/beam). The red points indicate detected peaks of continuum emission at a certain frequency—see Table 2. The indices correspond to source labeling from Table 2. The black cross marks the position of the UCH ii region from (Kurtz et al. 1994).
Download figure:
Standard image High-resolution imageTable 2. List of Detected Continuum Sources
| Freq. | R.A.(J2000) | Decl.(J2000) | Integrated | Peak |
|---|---|---|---|---|
| Fluxa | Fluxa | |||
| (GHz) | (h m s) | (° ' '') | (mJy) | (mJy/beam) |
| 6b | 18:34:20.900 ± 0.001c | −05:59:42.03 ± 0.01 |
|
|
| VLA 1 | ||||
| 15 | 18:34:20.900 ± 0.001 | −05:59:41.70 ± 0.01 |
|
|
| 22 | 18:34:20.900 ± 0.001 | −05:59:41.68 ± 0.01 |
|
|
| 45 | 18:34:20.890 ± 0.001 | −05.59.41.74 ± 0.03 |
|
|
| VLA 2 | ||||
| 15 | 18:34:20.913 ± 0.001 | −05:59:42.26 ± 0.01 |
|
|
| 22 | 18:34:20.914 ± 0.001 | −05:59:42.27 ± 0.01 |
|
|
| 45 | 18:34:20.908 ± 0.001 | −05:59:42.38 ± 0.01 |
|
|
| VLA 3 | ||||
| 15 | 18:34:20.912 ± 0.001 | −05:59:42.88 ± 0.01 |
|
|
| 22 | 18:34:20.911 ± 0.001 | −05:59:42.92 ± 0.01 |
|
|
| 45 | 18:34:20.893 ± 0.003 | −05:59:42.89 ± 0.08 |
|
|
| VLA 4 | ||||
| 15 | 18:34:20.824 ± 0.001 | −05:59:43.18 ± 0.01 |
|
|
| 22 | 18:34:20.826 ± 0.001 | −05:59:43.15 ± 0.01 |
|
|
Notes.
aThe flux densities of the continuum sources are determined from the images prepared using whole UV-range data at each band; the error values represent the flux density change that sources showed on images prepared using only a common range of spatial frequencies: <600 Kλ at the Ku, K, and Q bands. bSources are unresolved at this frequency. c Statistical errors of the fit are listed. A systematic error in the position of the sources could be of order 0
15, due to position uncertainty of the phase reference source J1832-1035.
Download table as: ASCIITypeset image
Emission from the four sources is heavily blended at 6 GHz, appearing as a single region elongated in the NE–SW direction, with VLA 4 seen as a protrusion to the SW. At 12 GHz, VLA 4 is clearly separated from the other three sources, which remain heavily blended. At 22 GHz all four sources can be spatially distinguished and well-characterized using a four-component Gaussian fit. At 44 GHz, only VLA 1 and 2 are detected.
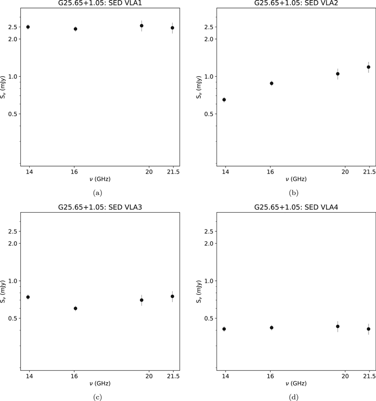
In Figure 2 we show the spectral energy distribution (SED) for VLA 1–4 obtained using Ku- and K-band data. No values are shown for 6 GHz, owing to insufficient angular resolution to distinguish one source from another. And the low signal-to-noise ratio of the Q-band continuum image prevents us from obtaining reliable flux estimates and including them in the fit. In order to increase the number of data points, an in-band spectral index was estimated for the Kuand K bands. At each band, sets of lower-frequency and higher-frequency spectral windows were used separately to produce two images and measure flux densities of continuum peaks. All four detected sources have relatively flat spectral indices.
Figure 2. In-band spectral energy distribution (SED) detected in G25.65+1.05 continuum sources (a) VLA 1, (b) VLA 2, (c) VLA 3, and (d) VLA 4 for the Ku- and K-band data. The filled circles represent the integrated flux densities with error bars. The error bars adopted in our data analysis are a 5% error at 12 GHz and a 10% error at 22 GHz.
Download figure:
Standard image High-resolution image4.2. Spectral Maser Line Emission
Spectral line emission is detected in all frequency bands except the Ku band (15 GHz). The position, velocity, and integrated and peak flux densities at each spot of the 22 GHz H2O maser and the 6.7 and 44 GHz CH3OH masers are listed in Tables 3–5, respectively. Spectra of these three maser species and their spatial distribution are presented in Figure 3.
Figure 3. Maser data at (a) 6.7 GHz, (b) 22 GHz, and (c) 44 GHz for G25.65+1.05: the upper panel is a map of the maser spots and the lower panel illustrates the maser source spectrum. The plots are color-coded by radial velocity (see the color bar for the color scale). The diameter of each spot is proportional to the flux. Positional offsets are relative to the strongest maser spot at each frequency (see Tables 3–5). Note that the flux densities of the maser lines are normalized; see Section 3 and Tables 3–5.
Download figure:
Standard image High-resolution imageTable 3. 22 GHz H2O Maser Parameters
| R.A.(J2000) | Decl.(J2000) | VLSR | Normalized | Groupb |
|---|---|---|---|---|
| Flux Densitya | ||||
| (h m s) | (° ' '') | (km s−1) | ||
| 18:34:20.9187 ± 0.0005 | −05:59:41.682 ± 0.013 | 41.34 | 0.019 | G1 |
| 18:34:20.9173 ± 0.0007 | −05:59:41.668 ± 0.013 | 41.45 | 0.041 | |
| 18:34:20.9188 ± 0.0005 | −05:59:41.682 ± 0.011 | 41.55 | 0.046 | |
| 18:34:20.9158 ± 0.0011 | −05:59:41.660 ± 0.017 | 41.66 | 0.074 |
Notes.
aThe flux densities are normalized to the strongest maser channel; see Section 3. The single-dish flux density of 22 GHz H2O maser in the source was ∼9.8 kJy on the dates close to VLA observation (M2O data: Torun 32 m and Crimea 22 m telescopes). bConditional large-scale grouping of 22 GHz H2O maser spots detected in the field.Only a portion of this table is shown here to demonstrate its form and content. A machine-readable version of the full table is available.
Download table as: DataTypeset image
Table 4. 6.7 GHz CH3OH Maser Parameters
| R.A.(J2000) | Decl.(J2000) | VLSR | Normalized | Groupb |
|---|---|---|---|---|
| flux densitya | ||||
| (h m s) | (° ' '') | (km s−1) | ||
| 18:34:20.9090 ± 0.0006 | −05:59:42.476 ± 0.014 | 38.42 | 0.004 | S |
| 18:34:20.9093 ± 0.0004 | −05:59:42.487 ± 0.010 | 38.46 | 0.007 | |
| 18:34:20.9099 ± 0.0003 | −05:59:42.487 ± 0.008 | 38.51 | 0.009 | |
| 18:34:20.9106 ± 0.0003 | −05:59:42.483 ± 0.007 | 38.55 | 0.011 |
Notes.
aThe flux densities are normalized to the strongest maser channel; see Section 3. The single-dish flux density of 6.7 GHz CH3OH maser in the source was ∼170 Jy on the dates close to VLA observation (M2O data: Torun 32 m and HartRAO 26 m telescopes). bConditional large-scale grouping of 6.7 GHz CH3OH maser spots detected in the field.Only a portion of this table is shown here to demonstrate its form and content. A machine-readable version of the full table is available.
Download table as: DataTypeset image
Table 5. 44 GHz CH3OH Maser Parameters
| R.A.(J2000) | Decl.(J2000) | VLSR | Normalized | Groupb |
|---|---|---|---|---|
| Flux Densitya | ||||
| (h m s) | (° ' '') | (km s−1) | ||
| 18:34:20.7684 ± 0.0003 | −05:59:42.132 ± 0.007 | 43.90 | 0.10 | R |
| 18:34:20.7680 ± 0.0003 | −05:59:42.131 ± 0.007 | 43.85 | 0.10 | |
| 18:34:20.7676 ± 0.0003 | −05:59:42.131 ± 0.006 | 43.80 | 0.12 | |
| 18:34:20.7672 ± 0.0003 | −05:59:42.125 ± 0.007 | 43.75 | 0.12 |
Notes.
aThe flux densities are normalized to the strongest maser channel; see Section 3. The single-dish flux density of the 44 GHz CH3OH maser in the source is ∼10 Jy according to data from the literature (Fontani et al. 2010). bConditional large-scale grouping of 44 GHz CH3OH maser spots detected in the field; spots are labeled according to their velocity: "B1" and "B2" are blue spots, "G"is green, and "R" is red.Only a portion of this table is shown here to demonstrate its form and content. A machine-readable version of the full table is available.
Download table as: DataTypeset image
The structures seen in the maser maps are small (about tens of mas) compared to the angular size of the synthesized beam of ∼0
3 at 22 GHz. But note that regardless of the high signal-to-noise achieved for the bright maser emission in the observation, the Gaussian-fitted positions display the intensity-weighted centroids of the maser emission in each frequency channel. The extent of this bias depends on the spatial and velocity structure of the source on scales smaller than the angular resolution of the image. For example, in the case of Orion Source I, VLBA images of SiO masers show four arms (Matthews et al. 2010) while lower-resolution VLA maps show linear structures connecting those arms (Goddi et al. 2009), providing quite a different picture. The VLBI data in hand will allow us to probe those scales with adequate resolution.
An overview of maser activity in the source is presented in Figure 4; the positions of all detected continuum and maser sources are combined into a single map.
Figure 4. Objects detected toward G25.65+1.05 with the VLA: orange stars: continuum sources (see Table 2); blue circles: 22 GHz H2O masers; red crosses: 6.7 GHz cIIMMs; magenta crosses: 44 GHz cIMMs; green triangles: 1665 MHz OH masers (pre-burst C-configuration VLA observations of 2013, see O. S. Bayandina et al. 2019, in preparation). The black cross indicates the position of the UCH iiregion detected at 3.6 cm in Kurtz et al. (1994). The black arrows represent the direction and the position angle (but not the actual position) of bipolar outflow from Sánchez-Monge et al. (2013). Positional offsets are relative to the VLA 1 continuum source. The physical scale label (in parsecs) assumes the distance to the source of 2.08 kpc (the BeSSeL Survey Bayesian Distance Calculator).
Download figure:
Standard image High-resolution image4.2.1. H2O Maser
22 GHz H2O maser emission is detected in the velocity range ∼35–55 km s−1—the widest velocity range among all maser species detected in the region—with the peak at 42.92 km s−1 (Figure 3). There are four spectral components: the line at 42.92 km s−1 is associated with the burst of 2017 September (Volvach et al. 2017a, 2019a) and is the closest to the systemic velocity of the source of VLSR = +42.41 (Sánchez-Monge et al. 2013). The bursting spectral line shows an asymmetric profile with excess in the blue wing and a line width of ∼1.5 km s−1. Three other lines—the blue line at ∼37 km s−1 and two red lines at ∼51.5 km s−1 and ∼52.5 km s−1—have significantly lower flux densities and are separated from the systemic velocity by more than 5 km s−1.
The morphological distribution of H2O maser components can be divided into four groups. Three groups, which we denote as G1, G2, and G3, reside close to VLA 1 and comprise the full range of maser velocities detected (35–55 km s−1). Another group, G4, is close to VLA 2 and only comprises masers blueshifted with respect to the systemic velocity. No water maser emission was found near VLA 3 or 4 (see Table 3 and Figure 5).
Figure 5. Distribution of 22 GHz H2O (marked by circles) and 6.7 GHz CH3OH (marked by "x" crosses) maser spots detected in vicinity of VLA 1 and 2 sources. The diameter of each spot is proportional to the flux. For the 22 GHz H2O maser groups labeling see Table 3. This plot is color-coded by radial velocity (see the color bar for the color scale). Positional offsets are relative to the strongest 22 GHz H2O maser spot. The physical scale label (in astronomical units) assumes a distance to the source of 2.08 kpc (the BeSSeL Survey Bayesian Distance Calculator).
Download figure:
Standard image High-resolution imageWithin the VLA 1 maser groups, G2 masers reside ∼150 mas to the North of VLA 1 and contain masers covering a wide range of velocities. Both the G1 and G3 groups exhibit simple elongated distributions, extending toward the G2 group, and only moderate deviations from the source systemic velocity. The G1-G2-G3 groups generally form a large (∼400 mas) lateral V-shape, with G2 at its apex. The bursting maser is located within the G2 group, which exhibits the most complex spatial and velocity structure (see Figure 3) of all groups.
4.2.2. CH3OH Masers
6.7 GHz CH3OH maser emission is detected in the velocity range ∼38–44 km s−1, with the peak at 41.84 km s−1 (Figure 3). The detected maser lines are blueshifted from the source systemic velocity. Maser spots are distributed over an area of size ∼0
4 (Figure 3) and spatially associated with the continuum source VLA 2 (Figures 4 and 5).
There are three loci of 6.7 GHz CH3OH maser emission. The northern two loci are elongated in the NW–SE direction with a size ∼500 mas and located symmetrically around VLA 2. Maser spots exhibit velocities of 40–43 km s−1 and display the largest cIIMM flux densities in the region. The southern locus is compact, with a size of ∼50 mas (Figure 5) and formed by weak maser spots with velocity ∼38.6 km s−1. The northern and southern loci are separated from each other by ∼200 mas.
No 12 GHz class II CH3OH maser emission was found above the 3σ level of 0.16 Jy of these observations. Their non-detection is relevant to the discussion in Section 5.
44 GHz CH3OH maser emission was detected in the velocity range ∼41–44 km s−1, with the peak at 41.67 km s−1 (Figure 3). Maser features are distributed along the NE–SW direction over a range ∼8'' (Figures 3 and 4). Four spatial groups of 44 GHz cIMM are present, with the NE–SW line located toward the NW of the continuum sources. The two brighter 44 GHz cIMM blue features at velocities 41.4 and 41.7 km s−1 (B1 and B2; hereafter cIMM features are named in accordance with their velocity; see Table 5 and Figure 3) are separated by ∼6'' (∼0.06 pc) from the continuum source VLA 1, associated with the bursting H2O maser (see Figure 4). Weaker maser features, G (green) at the velocity 42.4 km s−1, and R (red) at the velocity 43.7 km s−1, are located almost symmetrically about VLA 1 at ∼2'', i.e., 0.02 pc, (Figure 4). Maser feature R spatially coincides with the peak of 1-0 S(1) H2 line emission (Figure 6), while no H2 emission was detected at the positions of the "green" and "blue" cIMM features (Todd & Howat 2006).
Figure 6. Objects detected toward G25.65+1.05 with the VLA are overplotted on a continuum-subtracted ν = 1-0 S(1) H2 image from Figure 2 in Todd & Howat (2006). The continuum sources (see Table 2) are marked with yellow stars, and 44 GHz cIMMs groups (see Table 5) are indicated with magenta crosses. The position of IRAS 18316-0602 is indicated by the red circle.
Download figure:
Standard image High-resolution image5. Discussion
5.1. Maser Flare History
G25.65+1.05 has recently been the target of intensive observational studies because of the repeated, intense 22 GHz water maser flares, similar in intensity to those of Orion KL and W49N. Long-term monitoring of H2O masers in G25.65+1.05 with the RT-22 of the Pushchino Radio Astronomy Observatory (Moscow region) showed flares in 2002, 2010, and 2016 with flux densities of 3400 (Vpeak = 41.05 km s−1), 19,000 (Vpeak = 41.29 km s−1), and 46,000 (Vpeak = 41.80 km s−1) Jy, respectively (Lekht et al. 2018). The next powerful burst of 65,000 Jy (42.5 km s−1) was detected in 2017 September (Volvach et al. 2017a, 2019a, 2019b) with the RT-22 of the Crimean Astrophysical Observatory. In 2017 October, shortly after this burst, the source showed yet another increase of flux density; see Volvach et al. (2017b, 2019a, 2019b). The most recent burst was found to be short-lived: the peak flux density rose from ∼20 to 76 kJy within half a day on November 20; the source then faded to ∼20 kJy on November 22 (Ashimbaeva et al. 2017).
Our VLA observations were made about two months after the water maser outburst that occurred in 2017 September (Volvach et al. 2017a, 2019a, 2019b). At the time of the VLA observations, the correlated H2O maser flux density remained at about 10 kJy.
The 6.7 GHz class II methanol maser in G25.65+1.05 has been extensively observed. At HartRAO, with the 26 m, it was detected with a peak of 113 Jy (van der Walt et al. 1995). Walsh et al. (1997) used the Parkes 64 m and found a 105 Jy flux with Vpeak = +42 km s−1. The maser was detected with 181 Jy at Vpeak = +41.8 km s−1 with the Medicina 32 m (Slysh et al. 1999) and ∼100 Jy at Vpeak = +42 km s−1 with Effelsberg 100 m Fontani et al. (2010). The Torun 32 m observations showed a flux density of 200 Jy at Vpeak = +42 km s−1 (Szymczak et al. 2000). It was noted that the peak flux density of the 6.7 GHz maser reported by van der Walt et al. (1995) and Walsh et al. (1997) is less than half of the value reported by Slysh et al. (1999) and Szymczak et al. (2000); i.e., the maser is variable.
The 6.7 GHz class II methanol maser showed a >40% flux increase several months in advance of the H2O maser burst (Sugiyama et al. 2017) possibly indicating an enhancement in the local IR radiation field. Maser flaring, albeit at lower levels, has been reported in other sources as well. For example, Hunter et al. (2017) reported strong maser flaring in H2O, CH3OH, and OH in NGC 6334I, accompanied by a fourfold increase in the dust-continuum emission. Correlated flaring of different maser species has been reported by several groups, e.g., formaldehyde and methanol (Araya et al. 2010) and water and methanol (Szymczak et al. 2016).
Although G25.65+1.05 is the target of intense monitoring, the transient nature of burst events may lead to some events going undetected. It is therefore likely that the super-burst phenomenon is more common than is currently thought.
5.2. Fine Structure of Continuum and Maser Sources
In previous observations, made with lower angular resolution, continuum emission detected in the region was not resolved into separate sources. A single continuum peak at 3.6 cm (8.4 GHz) was detected in two different B configuration VLA observations: Kurtz et al. (1994) and Jenness et al. (1995). Both studies reported a flux density of ∼3.8 mJy, although the peak emission coordinates were slightly different: Kurtz et al. (1994) places the peak closer to VLA 2, while Jenness et al. (1995) locate it closer to VLA 1. The higher-resolution, multi-frequency observations reported here allow for more detailed analyses of the continuum sources in this region.
VLA 1 and 2 appear to differ in nature, based on their association with water and methanol masers (see Figures 4 and 5).
ALMA archive data (Project Code 2012.1.00826.S) provide a 350 GHz image showing a point source at the position of VLA 2. An unresolved bright IR source detected in K-band images (Zavagno et al. 2002; Varricatt et al. 2010) is also coincident with VLA 2. According to our VLA study, VLA 2 is the only continuum source in the field, with a slightly rising spectral index. Moreover, its association with cIIMM strongly suggests that this source is an embedded, accreting, massive young stellar object (MYSO).
The nature of VLA 1 is less certain. Its lack of cIIMM emission, flat spectrum, and exclusive association with water masers (Figures 4 and 5) may indicate that the continuum emission traces ionized gas related to a young stellar object.
The relatively flat spectrum of VLA 3, and the detection of OH masers in its vicinity, suggest that it may be free–free emission from an optically thin H ii region, in which case it is likely to be the oldest object of the four.
In VLA 2 the 6.7 GHz methanol masers seem to trace an edge-on disk. A least-squares ellipse fit to the data gives a semimajor axis of ∼240 mas and semiminor axis of ∼25 mas, with an inclination angle of ∼68°. Thus, assuming a kinematic distance of 2.08 kpc (see Section 1), the linear size of the putative disk is ∼1000 au, which is similar to the typical sizes of circumstellar disks traced by 6.7 GHz CH3OH masers (e.g., NGC 7538; Pestalozzi et al. 2004; Moscadelli & Goddi 2014).
The 6.7 GHz class II CH3OH maser is the only maser species for which we have pre-burst interferometric images for comparison. The ATCA 6.7 GHz image of the region showed the chain of four CH3OH maser spots A, B, C, and D linearly distributed over ∼1
5 in the NS direction (Walsh et al. 1998): spot A is undetected in the current VLA observations, while our northern maser group and southern maser group can be associated with spots B and C/D, respectively. Comparison of the most recent compact array 6.7 GHz map (Hu et al. 2016) and our 6.7 GHz data does not show significant changes in the CH3OH maser spot distribution, with only a shift by ∼50 mas (∼100 au) of the southern maser cluster position. In VLBI observations of Fujisawa et al. (2014) only the NW maser group was detected, while in EVN observations of Surcis et al. (2015) positions of both the NE and NW maser groups were determined. The southern group was not detected in either VLBI study, which may indicate extended structure.
Null detections of the 12.2 GHz maser line were reported by Gaylard et al. (1994) and Breen et al. (2010) with detection limits of ∼10 Jy and ∼0.5 Jy, respectively. Breen et al. (2010) suggests that 12.2 GHz CH3OH masers are associated with a later evolutionary phase of massive star formation. Therefore, the non-detection of this maser species in G25.65+1.05 may be indicative of an early evolutionary stage for the MYSO(s) in G25.65+1.05.
No interferometric observation of the 44 GHz class I masers in G25.65+1.05 has previously been reported in the literature. Our VLA observations revealed four spatial details (Figure 3). All cIMM features fall along a straight line perpendicular to the axis of NW–SE-oriented bipolar outflow detected in a 1-0 S(1) H2 line (Todd & Howat 2006) and in SiO (2-1), SiO (5-4), HCO+ (1-0) lines (Sánchez-Monge et al. 2013) (see Figure 6). However, a large-scale outflow detected in the 12CO(1-0) line (Shepherd & Churchwell 1996) and lying in the E–W direction may be linked to the cIMM. This outflow is confirmed in methyl cyanide lines at 3 mm and at 1 mm (Dartois et al. 2000). The same configuration in the E–W direction is observed in the elongated dense condensation on the CS line map (archive ALMA data, unpublished).
5.3. Possible Model of the Bursting Source
Maser bursts have recently been a topic of great interest for studies of accretion and ejection in the context of star formation. In particular, the recognition that massive stars may undergo episodic accretion bursts similar to low-mass stars (for example the FUOrs and ExOrs, Audard et al. 2014) has recently led to several important new insights on the topic (Caratti o Garatti et al. 2016; Hunter et al. 2017). Furthermore, the realization that such bursts are generally followed by ejection events has lead astronomers to look for the "smoking gun" of episodic accretion in evidence of episodic ejections (Burns et al. 2016, 2017). However, direct evidence of such accretion and ejection events is scarce, partly due to the rarity of such events and also due to the difficulty in obtaining the required continuum mapping monitoring programs with highly subscribed instruments. Masers, such as the 6.7 GHz methanol and 22 GHz water masers, trace regions near the sites of accretion and ejection, respectively (Menten 1997), and thus provide a viable method to search for new accretion or ejection activity in a large sample of massive stars through maser monitoring observations.
In fact, examples of such rapid changes have already been reported in the literature. Following a 6.7 GHz maser flare in S255IR (Fujisawa et al. 2015; Caratti o Garatti et al. 2016) a ∼3 mag brightening in the H and Ks infrared bands was detected, which was attributed to a disk-mediated accretion burst onto a massive young stellar object. Similarly, the increased luminosity detected in NGC 6334 I and accompanied by strong maser flares was attributed to a sudden accretion event. Both these star-forming regions showed significant changes in their maser emission during the aforementioned events: VLBI study of the 6.7 GHz maser flare in S255 (Moscadelli et al. 2017) showed that the main pre-burst maser cluster was not detected during the burst and the flare emission originated from a remarkably extended maser plateau. Multi-epoch VLA imaging of the 22 GHz water masers in NGC 6334I (Brogan et al. 2018) indicated the weakening and disappearance of some pre-burst maser components, while the flaring water masers appear to trace a remarkably symmetric bow shock pattern. A byproduct of these findings was increased interest in the burst behavior of maser emission, interpreted in the context of star formation as described above. While single-dish monitoring results can imply such processes, imaging is required to associate spectral temporal changes to physical processes seen in star-forming regions.
The current literature proposes three main routes for producing maser bursts; the increase of continuum emission entering the maser (S255, NGC 6334, see above), changes in the pumping conditions (Honma et al. 2004), and the overlapping of maser clouds along the line of sight to the observer, as was reported by Shimoikura et al. (2005) and Hirota et al. (2014) in Orion KL.
Our VLA images reveal for the first time the location of the bursting 22 GHz water maser in G25.65+1.05, with the additional context of the distributions of other maser species and investigation of the nature of the continuum sources. The bursting maser is found to reside at the periphery of a continuum source VLA 1, which may be a young protostellar object with a jet. Unlike the known cases of accretion bursts in S255 (Moscadelli et al. 2017) and NGC 6334I (Brogan et al. 2018), there were no significant changes in the maser spot distribution at the post-burst epoch. As such, the maser is probably associated with protostellar ejections rather than accretion events.
Our observations reveal the presence of two maser sheets delineating a large V-shape formed by the G1-G2-G3 groups. The bursting maser is observed at the point where the two maser sheets intersect in the sky plane of the observer, i.e., where the path length of maser emission significantly increased along the line of sight.
Considering the location and morphology of the water masers in G25.65+1.05, we find the most likely burst scenario to be an increase of maser path length along the line of sight to the observer; i.e., similar to what proposed for Orion KL (Shimoikura et al. 2005). The fast appearance and fast decay of the burst in G25.65+1.05 (Volvach et al. 2019a) supports this view, as the other maser burst scenarios would require the presence of physical changes on intraday timescales, to match and explain the same timescales of maser variability.
As a means of testing this hypothesis, we suggest a search for a shifting point of intersection along the E–W distribution of maser sheets, which should occur if the two sheets are in relative motion. This could explain the repeating nature of the bursts in G25.65+1.05. Measurements of the relative proper motions via VLBI observations could therefore lead to the possibility to predict, and better investigate future burst events.
While VLA observations provide a great context for continuum and maser emission in the region, more detailed insight into the mechanism of the burst could be obtained using VLBI data (Bayandina et al. 2019; Burns et al. 2019).
6. Conclusions
This work may be summarized as follows:
- 1.Spectral line and continuum observations of G25.65+1.05 were conducted with the VLA B configuration in the C, Ku, K, and Q frequency bands in 2017 November–December 2017, following the H2O maser burst of 2017 September.
- 2.Continuum emission above a 5σ detection level is found in all four frequency bands and the positions of four continuum sources (VLA 1, 2, 3, and 4) were determined.
- 3.Spectral line emission is detected in all frequency bands except the Ku band; 6.7 and 44 GHz methanol masers, 22 GHz H2O masers were detected but no 12 GHz class II CH3OH maser emission was found.
- 4.Milliarcsecond accuracy J2000 coordinates, radial velocities, and flux densities were obtained for 22 GHz H2O and 6.7 and 44 GHz CH3OH masers. Spot maps and spectra for each maser are presented.
- 5.Three groups of 6.7 GHz class II CH3OH masers associated with continuum source VLA 2 are detected. Comparison of pre- and post-burst maps of 6.7 GHz CH3OH maser emission did not reveal significant changes in maser spot distribution.
- 6.A map of 44 GHz class I CH3OH maser spots was obtained for the first time. We detected four 44 GHz maser features oriented in a linear structure that is roughly aligned with a large-scale bipolar outflow operating in the region.
- 7.Based on the presence of 6.7 GHz masers and the ALMA detection at 350 GHz, we propose that VLA 2 is a massive, accreting protostar. VLA 1 may be a marginally older object (because of the absence of cIIMM), but both objects appear to be relatively young. A definitive interpretation of VLA 3 and 4 must await multi-frequency observations at higher resolution and sensitivity.
- 8.A map of 22 GHz H2O maser spots was obtained for the first time ever, and the absolute position of the 22 GHz H2O bursting feature was found to reside at the apex of a lateral "V" shape, likely formed by two intersecting sheets of maser emission,located at the periphery of the brightest centimeter continuum source.
- 9.Considering the nature of the continuum sources, the H2O maser locations and morphology, and the rapid onset and subsidence of the burst behavior we conclude that the H2O maser burst most likely was caused by the increase of maser path length along the line of sight to the observer due to intersection of two maser sheets.
- 10.Further study of the burst process is being conducted by our group to clarify the case for G25.65+1.05, and to extend the sample to other bursting masers in current and future campaigns. In this effort we propose to define a catalog of bursting maser objects (further abbreviated as "BMO") based on the format used for other transient astronomical events, e.g., novas. For the burst event in G25.65+1.05 located in the Serpens constellation we suggest the name "BMO-Serp."
We are grateful to the National Radio Astronomy Observatory of the USA for the opportunity to observe with the VLA and to the NRAO New Mexico staff for their assistance in carrying out the observations. The National Radio Astronomy Observatory is a facility of the National Science Foundation operated under cooperative agreement by Associated Universities, Inc.
We thank the Maser Monitoring Organization (M2O), a loosely organized collaboration and network of maser monitoring telescopes, for the unobstructed sharing of information on the source observations made and for fruitful discussion. Special thanks goes to M. Olech (RT-32 Toruń), G. C. MacLeod (RT-26 HartRAO), and A. E. Volvach (RT-22 Simeiz) for providing single-dish data on the date of our VLA observations.
This paper makes use of the following ALMA data: ADS/JAO.ALMA#2012.1.00826.S. ALMA is a partnership of ESO (representing its member states), NSF (USA), and NINS (Japan), together with NRC (Canada), MOST, and ASIAA (Taiwan), and KASI (Republic of Korea), in cooperation with the Republic of Chile. The Joint ALMA Observatory is operated by ESO, AUI/NRAO, and NAOJ.
This work was partially supported by Programs of the Russian Academy of Sciences: #28, "The Cosmos: Fundamental Processes and Their Interconnections," and #KP19-270 "The study of the Universe origin and evolution using the methods of ground-based observations and space research." R.B. acknowledges support through the EACOA Fellowship from the East Asian Core Observatories Association.
Footnotes
- 7
Hereafter we will refer to CH3OH maser classes with the abbreviations proposed in Menten (2012) cIMM and cIIMM, respectively.
- 8
The M2O is a global cooperative of maser monitoring programs; see https://MaserMonitoring.org.





























