Abstract
Rate coefficients for pure rotational quenching in H2(ν1 = 0, j1) + H2(ν2 = 0, j2) collisions from initial levels of j1 = 2–31 (j2 = 0 or 1) to all lower rotational levels are presented. We carried out extensive quantum mechanical close-coupling calculations based on a recently published H2–H2 potential energy surface (PES) developed by Patkowski et al. that has been demonstrated to be more reliable than previous work. Rotational transition cross sections with initial levels of j1 = 2–14, 18, 19, 24, and 25 were computed for energies ranging from 10−6 to 1000 cm−1, while the coupled-states approximation was adopted from 2000 to 20,000 cm−1. The corresponding rate coefficients were calculated for the temperature range 10−5 ≤ T ≤ 10,000 K. Scaling methods based on the ultra-cold data (10−5–1 K) were used to estimate rate coefficients for all other intermediate rotational states. Comparisons with previous work that adopted different PESs show small discrepancies at high temperatures and in low-energy resonance regions. The astrophysical applications of the current results are briefly discussed, including the rotational H2 critical densities due to para-H2 and ortho-H2 collisions.
Export citation and abstract BibTeX RIS
1. Introduction
H2 is the most abundant molecular species in the interstellar medium. However, detecting H2 emission can be problematic. H2 lacks a net dipole moment, so electric dipole transitions within the ground electronic state (X) are forbidden and electric quadrupole transitions are very weak. Direct collisional excitation is an inefficient mechanism for the population of highly excited rotational levels, because of the large excitation energies and typical low gas kinetic temperatures. The highly excited rotational levels are mainly populated by UV pumping and subsequent radiative decay. In photon-dominated regions (PDRs), far-UV photons absorbed by H2 can pump the molecules to excited electronic states. Once electronically excited, most of the H2 molecules would immediately decay to X through radiative cascade or collisions (Field et al. 1966). For example, Herczeg et al. (2002, 2006) reported the detection of H2 Lyman-band lines from UV-pumped levels to highly excited X rotational levels j = 17, 18, and 19 in the spectra of TW Hya.
Collisions involving two hydrogen molecules are of great importance in modeling of astrophysical environments. However, relevant physical conditions may not always be accessible in terrestrial laboratories. Measurements of state-to-state-resolved rate coefficients are difficult and rare for highly rotational excited molecules. In the absence of experiments, the requirement for quenching rates for H2–H2 collisions can only be met by detailed and accurate calculations. The literature on this topic is extensive. The accuracy of computed collision cross sections depends on knowledge of the intermolecular potential, as well as on the accuracy of the scattering approximation used. The rigid rotor approximation is often employed to reduce the computation complexity. Green (1975) reported one of the earliest calculations, applying the analytic interaction potential developed by Zarur & Rabitz (1974). The succession of theoretical studies done by Flower (1998, 2000) and Flower & Roueff (1998, 1999) using the potential from Schwenke (1988) presented the rate coefficients for rotational levels j ≤ 8 and kinetic temperatures T ≤ 1000 K. Lee et al. (2008) also calculated the same transitions using a more accurate four-dimensional PES (Diep & Johnson 2000), referred to as the DJ PES.
The full quantum calculation of rovibrational transitions is more challenging. Applying the coupled-states (CS) approximation, Pogrebnya & Clary (2002) studied full-dimensional quantum dynamical calculations of rotationally inelastic H2–H2 collisions. They found that the six-dimensional potential energy surface (PES; Boothroyd et al. 2002), referred to as the BMKP PES, led to large values of rate coefficients compared to the experimental results, but a restricted version of this PES, referred to as BMKPE, can give better results. Lee et al. (2006) carried out quantum close-coupling (CC) calculations of elastic and inelastic rotational transitions for H2–H2 collisions with both the DJ PES and the BKMP PES. They found good agreement with measurements of the (0, 0) → (0, 2) rate coefficient (Maté et al. 2005) only when the DJ PES is used. The work of Quéméner & Balakrishnan (2009) led to similar conclusions. Panda et al. (2007) and Otto et al. (2007) reported rotational transition cross sections in ortho-H2+para-H2 and para-H2+para-H2 collisions by propagating wave packets with the multiconfiguration time-dependent Hartree algorithm. The validity of the rigid rotor approximation was also demonstrated by Otto et al. (2007). Recent work (Balakrishnan et al. 2011; Fonseca dos Santos et al. 2011) showed that the six-dimensional H2–H2 PES given by Hinde (2008) provides a more accurate description of rotational and vibrational transitions in H2–H2 collisions. Another highly accurate rigid rotor PES was published by Patkowski et al. (2008) at around the same time as the Hinde PES but it has not been used in any detailed dynamics calculations. The computations of Patkowski et al. (2008) employed a larger basis set than the Hinde PES and reported interaction energies with an uncertainty of only about 0.15 K, ∼0.3% of the minimum of the potential well, making it the most accurate rigid rotor PES for the H2–H2 system.
Currently, most collision data on H2–H2 are limited to initial levels j ≤ 8 or ν ≤ 3. The major difficulty for accurate calculations comes from the large number of degenerate levels that must be included for each rotational level, so that the problem rapidly becomes intractable, especially for highly excited H2. Insufficient/missing collision data introduce errors in the determination of the level populations and errors in heating or cooling effects from highly excited levels within the ground electronic state. In many astrophysical models, the "g-bar" approximation (van Regemorter 1962) is applied to estimate the missing data. However, it tends to overestimate the true rate coefficients. Thus, there is a continuing demand for accurate data for H2–H2 collisions.
In this work, we report new quantum scattering calculations for rotational quenchings of H2 induced by H2 using the four-dimensional interaction PES of Patkowski et al. (2008). This ab initio PES applied the supermolecular coupled-cluster method with single, double, and noniterative triple excitations [CCSD(T)] and very large orbital basis sets. The basis set used was larger than that employed by Hinde (2008) and the angular dependence of the interaction potential includes higher-order anisotropic terms than the Hinde PES. We present state-to-state cross sections of H2 de-excitations from initial states j1 = 2–31 to lower
levels with collision energies ranging from 10−6 to 20,000 cm−1. Quantum CC scattering calculations with the rigid rotor approximation were performed for j1 = 2–14, 18, 19, 24, 25 considering both ortho-H2 and para-H2 colliders for collision energies smaller than 2000 cm−1, while the CS approximation is applied for higher collision energies. A scaling method is used to estimate the rate coefficients for the remaining rotational transitions. Rate coefficients for temperatures ranging from 1 to 10,000 K are evaluated and compared with previous scattering results. We also present H2 critical densities obtained from the new collision data for both para-H2 and ortho-H2 collisions.
2. Calculation Details
We investigate transfer of rotational energy in the scattering of two hydrogen molecules in this study. The transition H2(ν1 = 0, j1) + H2(ν2 = 0, j2) → H2(
= 0,
) + H2(
= 0,
) is denoted as (j1, j2) → (
,
). For convenience, (j1, j2) → (j1 + Δj1, j2) is referred to as a Δj1 transition.
Computations were carried out using the mixed-mode OpenMP/MPI version of the nonreactive scattering code MOLSCAT (Hutson & Green 1994) modified by McBane (2011) and Walker et al. (2013) based on the CC and CS formulations presented by Green (1975) and Heil et al. (1978). For the case in which the target and projectile are identical, like para-H2 + para-H2 and ortho-H2 + ortho-H2, the two molecules involved in the calculations are considered to be indistinguishable. However, there exists in the literature at least two distinct definitions of the cross section for rotational transitions involving identical particles (Green 1975; Monchick & Schaefer 1980). The definition of Green (1975), which multiplied the "usual" cross section by an extra degeneracy factor
, was adopted by MOLSCAT and vrrmm. Also according to Green (1975), the index pair (j1, j2) must now be restricted such that j1 ≥ j2 for the symmetry of the wavefunction under exchange.
The two hydrogen molecules involved in the collision are treated as rigid rotors with a fixed bond length of 1.448 736 a0(a0 = 0.529 Å is Bohr radius), corresponding to the ν = 0 vibrationally averaged value, and the energy levels were calculated with rotational constant B0 = 60.853 cm−1. The coupled channel equations were integrated using the modified log-derivative Airy propagator of Alexander & Manolopoulos (1987). The log-derivative matrix is propagated to large intermolecular separations. Several tests show that the interval from R = 1 a0 to the asymptotic matching radius R = 50 a0 with a step size of 0.05 a0 is sufficient.
In the scattering calculations, the angular dependence of the interaction potential is expanded as

where Aλ1λ2λ(R) are the radial expansion coefficients and Yλ1λ2λ(θ1, θ2, ϕ) are the bispherical harmonics as defined in the appendix of Green (1975). The angles θ1, θ2, ϕ denote the two planar angles and relative torsional angle, respectively. We used 10 quadrature points each for integration along the angular coordinates (θ1, θ2, ϕ). Multiple convergence checks have been performed to verify the reliability of the computed collision data. First, we have checked that the results are converged with respect to the number of terms included in the angular expansion of the interaction potential. In Table 1, we show the cross sections calculated for different choices of the potential expansion. It is noted that more potential terms are needed as the transition energy increases (or as
increases). However, the largest numerical loss is only 3% for the Δj1 = −8 transition when we cut off the potential expansion at term (4, 4, 8). Thus, we excluded any terms beyond (4, 4, 8) in the calculation because they do not make significant contributions.
Table 1. Convergence Check of Potential Expansions
|
λi ≤ 2 | λi ≤ 4 | λi ≤ 6 |
|---|---|---|---|
| total | 0.5896E-2 | 0.6838E-2 | 0.6826E-2 |
| (6, 0) | 0.2173E-2 | 0.2169E-2 | 0.2169E-2 |
| (4, 0) | 0.6026E-5 | 0.6559E-5 | 0.6596E-5 |
| (2, 0) | 0.7949E-7 | 0.1078E-6 | 0.1092E-6 |
| (0, 0) | 0.2066E-8 | 0.3066E-8 | 0.3155E-8 |
Note. Total quenching and state-to-state cross sections from the upper level (8, 0) calculated with different potential expansions at a collision energy of 1 cm−1. The scattering calculation includes basis up to j1 = 10, j2 = 8.
Download table as: ASCIITypeset image
Second, ideally, the expansion of the total wavefunction should include a complete set of target and projectile rotational levels, as well as all contributing partial waves, which is, however, not a practical approach. A sufficient number of total angular momentum (J) partial waves was included at each energy based on convergence tests during the computations. The maximum value of J is 180 for some transitions. The number of states included in the basis sets is determined by considering both the accuracy and computational cost. That the energetically higher closed channels of rigid rotors contribute decreasingly to the S matrix was proved by Miller (1971). The first truncation of the basis set is decided by examining the changes of the cross sections upon increasing the rotor basis. We control the loss of numerical accuracy ≤1% in the calculations. Table 2 shows an example of varying the basis set truncation. Also, we allow the changes in j2 to be as large as 6. Converged results are obtained with a basis set with j2 up to 8 for para-H2 and 9 for ortho-H2. Another truncation is to remove some low-lying rotational levels in the basis for high rotational quenching because of the huge computing cost and the very small expected cross section magnitudes. We carefully checked the effects of removing open channels from the calculation. It turns out that the dominant Δj1 = −2 and Δj1 = −4 transitions are almost not influenced. For example, changes in cross sections of (18, 0) → (16, 0) and (18, 0) → (14, 0) at 1000 cm−1 are smaller than 0.01%, while the cross sections of (18, 0) → (10, 0) increase by 20% when rotational levels smaller than 10 are removed from the basis. However, cross sections corresponding to high
are very small and not significant.
Table 2. Convergence Check of the Basis Set (Ortho-para)
| Energy (cm−1) | Transition | B1a | B2b | B3c | B3(CS) |
|---|---|---|---|---|---|
| 1000 | (5, 0) → (1, 0) | 0.2905E-3 | 0.2905E-3 | 0.2905E-3 | 0.2327E-3 |
| (5, 0) → (3, 0) | 0.3012E-1 | 0.3012E-1 | 0.3012E-1 | 0.2544E-1 | |
| 10,000 | (5, 0) → (1, 0) | 0.7317E-2 | 0.7314E-2 | 0.7314E-2 | 0.6389E-2 |
| (5, 0) → (3, 0) | 0.2993 | 0.2993 | 0.2993 | 0.2783 |
Notes.
aBasis up to j1 = 7, j2 = 8. bBasis up to j1 = 9, j2 = 8. cBasis up to j1 = 11, j2 = 8.Download table as: ASCIITypeset image
Finally, since the full CC calculation is prohibitively expensive at high collision energy, the CS approximation is adopted for collision energy ≥2000 cm−1. The CS approximation reduces the computation expense by neglecting the Coriolis coupling between different values of Ω (the projection of the angular momentum quantum number of the diatom along the body-fixed axis). The last two columns of Table 2 show the discrepancy between the two methods. For the Δj1 = −2 transition, the percent difference decreases from 15% with collision energy 1000 cm−1, to 7% with collision energy 10,000 cm−1. For the Δj1 = −4 transition, the percent differences are 20% at 1000 cm−1 and 13% at 10,000 cm−1. The CS approximation is a reliable and practical method for studying diatom–diatom collisions with high collision energies.
De-excitation rate coefficients raging from 1 to 3000 K were obtained by thermally averaging the cross sections over a Boltzmann distribution of collision energies. As discussed by Danby et al. (1987), the rate coefficient of rotational excitation or de-excitation calculated with the cross section defined in Green (1975) must be divided by two if j1 = j2,
or
, in order to avoid double-counting of the distinct interacting pairs of molecules. We adopt the adjusted rate coefficient formula used in Lee et al. (2008),

where
, Ek is the kinetic energy, kB is the Boltzmann constant, μ is the reduced mass of the collision system, and
is the state-to-state rotational cross section defined by Green (1975).
3. Results and Discussion
Figure 1 shows a comparison between the present theoretical results and the experimental rate coefficients of Maté et al. (2005) for the
excitation transition between 50 and 300 K. Since only de-excitation transitions are calculated here, the
transition is obtained by applying detailed balance. The theoretical results obtained by Flower (1998), which used the older PES of Schwenke (1988), and the work of Lee et al. (2008) with the PES of Diep & Johnson (2000), are generally in good agreement with the rate coefficients of this work. On average, the rate coefficients of Maté et al. (2005) are slightly higher than all the theoretical results.
Figure 1. Rate coefficients for
rotational excitation in indistinguishable para-H2–para-H2 collisions as a function of temperature.
Download figure:
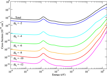
Standard image High-resolution imageBecause H2 is homonuclear, the transitions follow an even-Δj selection rule. Figure 2 shows state-to-state pure rotational quenching cross sections from the initial state (12, 0), in para-H2 + para-H2 collisions to all allowed lower rotational levels. In general, the cross sections of the Δj1 = −2 transition contribute the most to the total quenching cross sections and decrease as
increases. Figure 3 presents results from our computations of cross sections from the initial state (j1, j2) to the final state (j1–2, j2), i.e., elastic in j2. We can clearly see that the Δj1 = −2 transition from the first excited rotational state is the largest and decreases with increasing j1.
Figure 2. State-to-state pure rotational de-excitation cross sections from the initial state (12, 0) to all lower allowed states with
.
Download figure:
Standard image High-resolution imageFigure 3. Cross sections for Δj1 = − 2 transitions from selected rotational states for
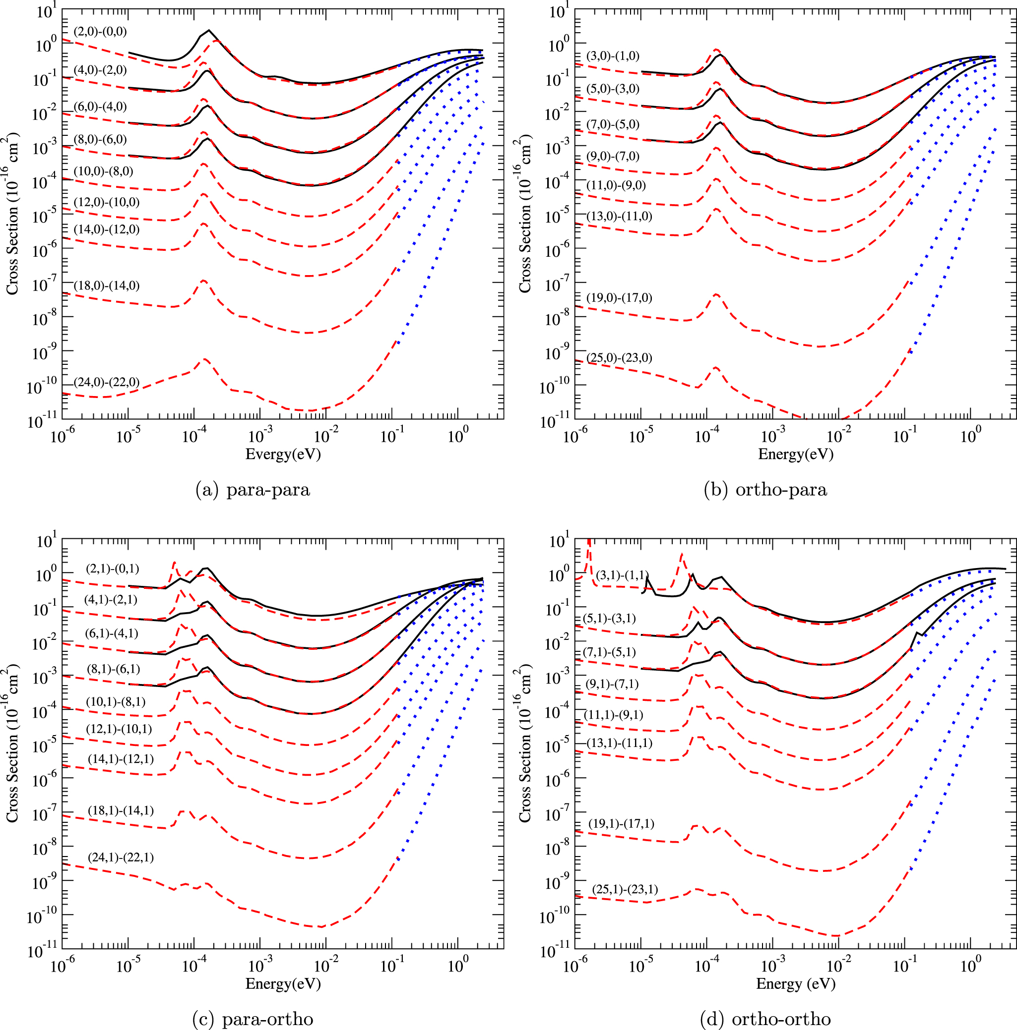
or 1. The black solid lines denote theoretical results from Lee et al. (2008); the red dashed lines are close-coupling calculations of this work, while the blue dotted lines represent calculations with the coupled-states approximation.
Download figure:
Standard image High-resolution imageFigure 3(a) shows the Δj1 = −2 and Δj2 = 0 cross sections for para-H2 + para-H2 collisions. The current rate coefficients for most transitions are found to be similar to those obtained by Lee et al. (2008), but except for the important
transition, the resonance peak of this work is shifted to higher energies than what were found by Lee et al. (2008) and at slightly higher collision energy compared to other transitions presented in this figure. The highly excited transition
has a low energy shoulder. Likewise, in Figure 3(b), the cross sections for ortho-H2 + para-H2 collisions are similar to the work of Lee et al. (2008) and the highly excited rotational transition
has a different resonance shape.
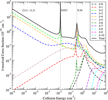
Figures 3(c) and (d) present results for para-H2 + ortho-H2 and ortho-H2 + ortho-H2 collisions, respectively. Reasonable agreement was observed with the results of Lee et al. (2008), except for the collision energy around 10−4 eV, where we again obtain different resonance profiles. A narrow resonance peak is observed at around 1.6 × 10−6 eV. To identify the partial wave contribution to the oscillatory behavior, we show in Figure 4 the J-resolved contributions to the total inelastic cross section. The sharp peak at 1.6 × 10−6 eV originates solely from J = 2. This partial wave also contributes to the next resonance peak at 4.5 × 10−5 eV and a much broader peak at 2 × 10−4 eV.
Figure 4. Inelastic J-resolved cross sections as functions of the incident kinetic energy of the (3, 1)–(1, 1) transition. The black solid curve is the total cross section. The other colored curves are partial wave contributions labeled by J.
Download figure:
Standard image High-resolution imageExplicit computations of quenching rate coefficients from a range of initial rotational levels (j1 = 2–14, 18, 19, 24, 25) are presented here over a wide range of temperatures, extending from the ultra-cold limit to the superthermal region. Additionally, we carried out limited calculations for quenching rate coefficients in the ultra-cold regime for other rotational states and applied a zero-energy scaling method to estimate their temperature dependent rate coefficients. We adopted the formula used in the work of Walker et al. (2015) and implemented it for H2–H2 collisions. The rate coefficients of the Δj1 transition from a given (j1, j2) state are estimated by two other Δj1 transitions from an upper state (jA1, j2) and a lower state (jB1, j2). The exceptions are quenching transitions from initial states (30, 0), (31, 0), (30, 1), and (31, 1), which are estimated by two other transitions from lower states. The zero-energy scaling method is written as

where
,
.
A comparison of this zero-energy scaling method with explicit calculations is given in Figure 5. The (6, 0) → (4, 0) transition is estimated from the (4, 0) → (2, 0) and (8, 0) → (6, 0) transitions. In this case, the two weight parameters (wA and wB) are both 0.5. The estimated (6, 0)–(4, 0) rate coefficients agree well with the calculated values, although in this case there are small discrepancies observed at the highest temperatures.
Figure 5. Comparison of the zero-energy scaling technique with calculation results for the de-excitation rate coefficients of transition (6, 0) → (4, 0). The red solid line indicates the calculated rate coefficients. The crosses represent the estimated values.
Download figure:
Standard image High-resolution imageFigures 6(a)–(d) show the rotational de-excitation rate coefficients Δj1 = −2, Δj2 = 0. The rate coefficients of this work are found to be similar to the work of Lee et al. (2008). The adoption of CS approximation may explain some of the discrepancies in high temperature regions. An interesting result is that the magnitude of the rate coefficients of each de-excitation is inverse log-proportional to its initial rotational level when j1 ≤ 22, which is a manifestation of an exponential energy gap law. This "well-ordered" feature is not valid for quenching from extremely high rotational levels (j1 ≥ 22).
Figure 6. Rate coefficients for rotational transitions with Δj1 = −2, Δj2 = 0 in H2+H2 collisions as a function of temperature. The black solid lines denote theoretical results from Lee et al. (2008); the red dashed lines are the calculated rate coefficients of this work, while the green curves represent estimated rate coefficients.
Download figure:
Standard image High-resolution imageBecause of the truncation that removes low-lying rotational levels from the basis, some high
transitions from highly excited initial levels are "missing." Thus, another simple scaling method is adopted to estimate those "missing" rate coefficients. The uncalculated Δj1 transition from upper state (j1, j2) are estimated by two calculated transitions from the same upper state (j1, j2), of which the changes in j1 are ΔjA and ΔjB, respectively.

where
was adopted.
4. Astrophysical Applications
The cross sections and/or rate coefficients calculated in this work are available online.5 As discussed previously, the abundance of H2 determines its important role in a variety of astrophysical environments. Herczeg et al. (2002, 2006) reported the detection of H2 Lyman-band lines from UV-pumped levels to highly excited X rotational levels j = 17, 18, and 19 in the spectra of TW Hya. Recently, Kaplan et al. (2017) studied the excitation of H2 in the Orion Bar PDR from a deep near-infrared observation using the default rates in Cloudy (Ferland et al. 2013) for H2–H2 collisions. However, the quenching rates for highly excited rotational levels of H2 are missing from the current database. Because the missing data would introduce errors in the populations and heating or cooling effects of highly excited levels within the ground electronic state X, the "g-bar" approximation is commonly used to fit for those missing transitions. Shaw et al. (2005) described a log-linear version of the "g-bar" approximation and studied the influence on ν = 0 level populations with or without g-bar collision data in the model, which led to the conclusion that the population of low rotational levels has very little dependence on the g-bar collision data, while the high rotational levels are significantly influenced. Figure 7 plots the rate coefficients at 5000 K of all the pure rotational quenching calculated in this work. The rate coefficients with the same Δj1 value group as a branch. Along each branch, the rate coefficient decreases faster than log-linear as the transition energy increases. Of the dominant Δj1 = −2 transitions, the difference between the highest and the smallest rate coefficients is about a factor of 108. Adopting the "g-bar" approximation tends to overestimate the rate coefficients.
Figure 7. Upper panel: collision rates as a function of transition energy for the 240 pure rotational transitions within the H2+para-H2 collision data of this work. Lower panel: collision rates for the 240 pure rotational transitions within the H2+ortho-H2 collision data. The colored curves represent different branches of Δj1 transitions.
Download figure:
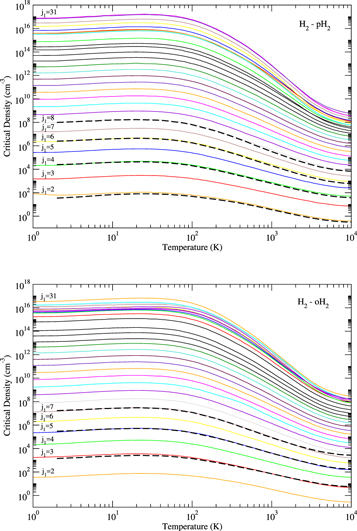
Standard image High-resolution imageThe critical density for each rotational level j1 can be computed by the relation

where
is the spontaneous transition probability (Osterbrock & Ferland 2006). If the environment density is above the critical density of a certain level j1, the level population approaches a thermal distribution. For smaller densities the level will be out of equilibrium and requires a non-LTE analysis with reliable collisional data. Collisions dominate the excitation of H2 into states with low energies above the ground, bringing these states into thermal equilibrium with the gas, while UV excitation of H2 is likely to be a non-thermal process. In Figure 8 the critical densities for H2 due to para-H2 or ortho-H2 collisions are plotted and demonstrate that for a typical gas density of 106 cm−3, levels with j1 > 6 will be in non-LTE. Similar work can be found in Yang et al. (2010) for CO-H2 and Walker et al. (2015) for CO-H collisions. The high rotational rate coefficients presented in this work are important supplements for codes developed to simulate the spectra of astrophysical environments.
Figure 8. Upper panel: critical densities for H2(ν1 = 0, j1) due to para-H2 collisions as a function of gas temperature T. Lower panel: critical densities for H2(ν1 = 0, j1) due to ortho-H2 collisions. The black dashed curves are critical densities calculated with the collision data of Lee et al. (2008).
Download figure:
Standard image High-resolution image5. Conclusion
We have performed extensive quantum mechanical coupled channel calculations, based on an accurate four-dimensional H2–H2 PES by Patkowski et al. (2008), to obtain rotational quenching rates for temperatures ranging from 10−5 to 3000 K. Initial rotational levels j1 of up to 30 for para-H2 and 31 for ortho-H2 are considered. The improvement made in the new PES and large basis set in the calculation should lead to more accurate rate coefficients. The complete pure rotational collision data can be used to aid astrophysical modeling. Given the high accuracy of the PES, any uncertainty remaining in this work is likely due to the following factors. First, the adoption of CS approximation for collision energies ≥2000 cm−1 tends to introduce small errors in rate coefficients at high temperatures. Second, because of the huge computing cost, some low-lying rotational levels are removed from the basis for the collisional quenching calculations from high rotational levels. This has only a small effect on rate coefficients for Δj1 ≤ −6 transitions, while the dominant transitions with Δj1 ≥ −4 are unaffected. Finally, errors are introduced when the simple scaling method is used to estimate the rate coefficients of those "missing" transitions.
We thank K. Walker for help with vrrmm. The transition probability for the LAMDA file was adopted by S. Cummings. This research used resources of the Oak Ridge Leadership Computing Facility at the Oak Ridge National Laboratory, which is supported by the Office of Science of the U.S. Department of Energy under Contract No. DE-AC05-00OR22725. Other computing resources were provided by the Georgia Advanced Computing Resource Center, UNLV National Supercomputing Institute, and the Center for Simulational Physics of The University of Georgia. This work was funded by NASA HST Grant HST-AR-13899.
Software: VRRMM (Walker et al. 2013), MOLSCAT (Hutson & Green 1994).
Footnotes
- 5
Rate coefficient data in the Leiden Atomic and Molecular Database (LAMDA; Schöier et al. 2005) format, as well as cross section data, can be obtained at www.physast.uga.edu/amdbs/excitation/.








