Abstract
Pulsars are magnetized rotating compact objects. They spin down due to magnetic dipole radiation and wind emission. If a photon has nonzero mass, the spin-down rate will be lower than in the zero-mass case. We show that an upper limit of the photon mass, i.e.,
, may be placed if a pulsar with period P is observed to spin down. Recently, a white dwarf (WD)–M dwarf binary, AR Scorpii, was discovered to emit pulsed broadband emission. The spin-down luminosity of the WD can comfortably power non-thermal radiation from the system. Applying our results to the WD pulsar with P = 117 s, we obtain a stringent upper limit of the photon mass between
, assuming a vacuum dipole spindown, and
, assuming spindown due to a fully developed pulsar wind.
Export citation and abstract BibTeX RIS
1. Introduction
Massive electrodynamics, i.e., electrodynamics with non-zero photon mass, can be described by the de Broglie–Proca theory (de Broglie 1922, 1923, 1940; Proca 1936a, 1936b, 1936c, 1936d, 1937, 1938), which is invariant for the Lorentz–Poincaré transformation. The photon-mass bounds may be established by specifying the microscopic origin of the mass (e.g., Adelberger et al. 2007; Bonetti et al. 2017a), and experimentally one may directly constrain the zero-mass hypothesis for the photon. Since it is impossible to fully prove experimentally that the photon rest mass is exactly zero, the only experimental strategy is to place ever tighter upper limits on it. Owing to the uncertainty principle, there is an ultimate upper limit on the photon rest mass (e.g., Goldhaber & Nieto 1971; Tu et al. 2005), i.e.,
, where
corresponds to the age of the universe. Whereas such an upper limit on a single particle is impossible to place, an ensemble of particles might produce visible effects at the classical level.
From the theoretical point of view, the photon-mass correction to Maxwell's equations would change the classical electromagnetic properties. One can then constrain the photon mass by testing these properties. To date, the photon mass has been constrained via different methods, which can be divided into secure and speculative results (Goldhaber & Nieto 2010). The former include the frequency dependence of the speed of light (
) (Lovell et al. 1964; Bonetti et al. 2016, 2017b; Wu et al. 2016; Wei et al. 2017; Zhang et al. 2016; Shao & Zhang 2017), dispersion in the ionosphere (
) (Kroll 1971), Coulomb's law (
) (Williams et al. 1971), Jupiter's magnetic field (
) (Davis et al. 1975), and the solar wind magnetic field (
) (Ryutov 1997, 2007; Retinò et al. 2016). The latter include the extended Lakes method (
) (Lakes 1998; Goldhaber & Nieto 2003; Luo et al. 2003a, 2003b), the Higgs mass for the photon (no limit feasible) (Adelberger et al. 2007), cosmic magnetic fields (
) (Yamaguchi 1959; Chibisov 1976; Adelberger et al. 2007), and so on.
If the photon has nonzero mass, the dispersion relation is

where

and mγ is the photon mass (see Appendix A). This is the standard energy–momentum expression in the special theory of relativity, which is similar to the plasma dispersion relation (with the plasma frequency
replaced by
). This dispersion relation means that photons with different energies have different velocities. One important requirement of the energy–momentum equation is that the frequency of the free electromagnetic wave must satisfy
, or
. Therefore, one direct way to constrain the photon mass is to detect the electromagnetic wave at extremely low frequencies so that
, e.g., the Schumann resonances at
(see Schumann 1952; Balser & Wagner 1960; Jackson 1962). At even lower frequencies (e.g.,
), detection of electromagnetic waves is very difficult. One possible method to study massive electrodynamics is through studying the modification of the radiation mechanisms at such low frequencies. We note that for magnetic dipole radiation, the angular frequency of the electromagnetic wave is equal to the angular frequency of rotation, i.e.,
. A natural question arises: what happens if
for a magnetic dipole?
In this paper, we propose a new method to obtain a limit on the photon mass by applying the spin-down information from pulsars. Since Gauss units have been adopted in the literature to study pulsar spin-down dynamics, we retain this unit system throughout the paper.
2. Pulsar Spin Down with Nonzero Photon Mass
Traditional pulsars are rapidly spinning magnetized neutron stars. White dwarf (WD) pulsars have been expected theoretically and recently proven to exist (e.g., Zhang & Gil 2005; Geng et al. 2016; Marsh et al. 2016). The rotational kinetic energy luminosity of a pulsar is given by
, where M is the pulsar mass, R is the pulsar radius, and Ω is the angular velocity. Observations show that
in general, i.e., pulsars spin down. Since gravitational wave spindown is negligible for slow rotators such as radio pulsars, magnetars, and WD pulsars, pulsar spindown is naturally attributed to electromagnetic torques (due to magnetic dipole radiation or wind power).
2.1. Vacuum Case: Magnetic Dipole Radiation
The simplest model for pulsar spindown is magnetic dipole radiation. For
, the energy loss of the vacuum magnetic dipole radiation energy is given by
, where Bp is the polar magnetic field, and θ is the angle between the magnetic and rotational axes. The radiation energy originates from the rotational kinetic energy of the pulsar, causing the spindown of the pulsar.
We calculate the magnetic dipole radiation with
. Following Crandall & Wheeler (1984) (see Appendix B), we obtain the radiation power of the magnetic dipole field in vacuum, i.e.,

for
, and Lm = 0 for
. Here m is the magnetic dipole moment. For
, the magnetic dipole radiation power reduces to the classical result, i.e.,
. We define

for
, and
for
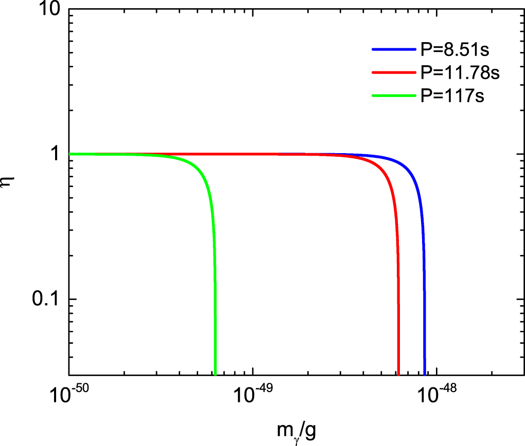
. η characterizes the correction of the nonzero photon mass effect. The
relation for the vacuum case is presented in Figure 1. In general, the observed period of the pulsar is very accurate with error
. Even for the WD pulsar in AR Scorpii, the relative uncertainty is of the order
. The main uncertainty of the photon mass limit is from that of η. Observationally, quantifying η needs to independently measure Lm and
. Since pulsar spindown is naturally attributed to the magnetic dipole radiation in the vacuum case, one has
, which may be derived from pulsar mass M, radius R, and spin parameters Ω and
. On the other hand, the magnetic dipole radiation without photon mass is given by
(here we have adopted
; for the case with
, the constraint on the photon mass would be better), which requires an independent measurement of the polar cap magnetic field Bp at the surface. This field may be measured or constrained via other methods such as magnetohydrodynamic (MHD) pumping, Zeeman splitting,5
cyclotron lines, and properties of magnetar bursts. Finally, one has

Once η is derived from M, R, Bp, Ω, and
according to Equation (5), one can insert it into Equation (4) to calculate the photon mass.
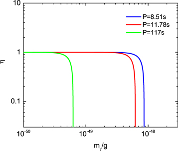
Figure 1.
relation for the vacuum case. The blue, red, and green lines denote P = 8.51 s for PSR J2144−3933, P = 11.78 s for 1ES 1841−045, and P = 117 s for the WD pulsar in AR Scorpii.
Download figure:
Standard image High-resolution imageHowever, there is an immediate, most conservative upper limit on the photon mass that can be readily derived. According to Equations (3) and (4), as long as
is satisfied, which is true as long as a pulsar is observed to spin down, one should have
. A robust photon mass upper limit can be set to
, i.e.

which is shown as the a sharp cut-off of η in Figure 1. Equation (6) is essentially the result of the standard energy–momentum relation and does not depend on the detailed pulsar parameters other than the spin period P.
More generally, if η can be constrained from Equation (5), one can give a more stringent limit than that of Equation (6). In Table 1, we list the results of mγ upper limits for the most conservative (
) and three other assumed lower limit values, i.e., 0.1, 0.5, and 0.9. One can see that the improvement from the most conservative value even from
is not significant. As a result, for the vacuum case one does not need to measure Bp to derive a robust constraint. As long as the pulsar is observed to spin down, i.e.,
, a conservative limit of
can be placed.
Table 1. Upper Limits of the Photon Mass
| Sources | Period / s |
in vacuum case |
in nonvacuum case |
|||||
|---|---|---|---|---|---|---|---|---|
| η > 0 | η > 0.1 | η > 0.5 | η > 0.9 | η > 0.1 | η > 0.5 | η > 0.9 | ||
| PSR J2144−3933 | 8.51 |
|
<8.5 | <8.1 | <5.9 | <20.3 | <9.3 | <3.1 |
| 1ES 1841−045 | 11.78 |
|
<6.2 | <5.8 | <4.2 | <14.7 | <6.7 | <2.2 |
| WD in AR Scorpii | 117 |
|
<0.62 | <0.59 | <0.43 | <1.48 | <0.67 | <0.22 |
Download table as: ASCIITypeset image
Since
is inversely proportional to P, a pulsar with a longer period would give a more stringent constraint. Among neutron-star radio pulsars, that with the longest period is PSR J2144−3933 (Young et al. 1999) with
,
, and spin-down luminosity
. Among magnetars, that with the longest period is 1ES 1841−045 (Dib et al. 2008) with
,
, and
. Some magnetized WDs (Wickramasinghe & Ferrario 2000) with
have periods around one hour (Ferrario et al. 1997). However, no spin-down measurements have been reported. The WD–M dwarf binary system, AR Scorpii, was recently reported to emit pulsed broadband emission (Marsh et al. 2016). The WD pulsar in AR Scorpii has measured spin-down parameters
,
, and
. The mean luminosity of AR Scorpii is
, which includes thermal emission of
from the stellar components. Therefore, non-thermal emission from AR Scorpii could be comfortably powered by the magnetic dipole radiation of the WD (Geng et al. 2016; Marsh et al. 2016). Such a long-period WD pulsar can provide a stringent constraint on the photon mass.
In Figure 1, the blue, red, and green lines denote the periods of PSR J2144−3933, 1ES 1841−045 and the WD pulsar in AR Scorpii, respectively. The respective constrained upper limits of the photon mass are shown in Table 1: for PSR J2144−3933, one has
for 1ES 1841−045, one has
and for the WD pulsar in AR Scorpii, one has

2.2. Nonvacuum Case: Pulsar Wind
If the magnetic axis is parallel to the rotation axis, the magnetic dipole radiation is zero in vacuum. However, active pulsars are believed to be surrounded by a magnetosphere, from which a continuous outflow is launched from the open field-line regions as a pulsar wind (Goldreich & Julian 1969). The outflowing plasma exerts an electromagnetic torque on the pulsar, so that the pulsar spins down due to the existence of a pulsar wind (Harding et al. 1999; Xu & Qiao 2001; Contopoulos & Spitkovsky 2006; Tong et al. 2013).
To quantify the effect of nonzero photon mass on the wind spin-down rate, we first calculate the magnetic dipole field with
. We consider a statistic field solution (see Appendix A):
. The corresponding solution is (Jackson 1962)

Note that
, where
is the magnetization for the dipole approximation. According to
, one has (Jackson 1962)

The magnetic field components in a spherical coordinate system are given by

The field-line equation
can be written as
. Interestingly, for
, one has
for
, which means that the magnetosphere would approach a three-dimensional sphere, as shown in Figure 2. Integrating the field-line equation, one obtains
. Thus, the open field-line angle at the pulsar surface becomes
where

denotes the correction factor with respect to the zero photon mass case, and
is the light cylinder radius. As shown in Figures 2 and 3, the larger the photon mass mγ, the smaller the polar cap.
Figure 2. Magnetic dipole field with
(left) and
(right).
Download figure:
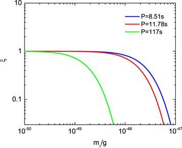
Standard image High-resolution imageFigure 3.
relation for the nonvacuum wind spin-down case. The blue, red, and green lines denote P = 8.51 s for PSR J2144−3933, P = 11.78 s for 1ES 1841−045, and P = 117 s for the WD pulsar in AR Scorpii.
Download figure:
Standard image High-resolution imageNext, we calculate the plasma density in the magnetosphere. Since photon mass does not affect the Lorentz force density of the matter (Goldhaber & Nieto 1971), Ohm's law is still
. For astrophysical force-free plasmas, due to
and
, one has
(Goldreich & Julian 1969; Ryutov 1997, 2007). Therefore, the charge density is given by
(see Appendix A). On the other hand, according to the statistical field equation
, one has
, where
is the classical Goldreich–Julian density (Goldreich & Julian 1969). The new plasma charge density ρ with
is then given by

For a neutron star white dwarf, if
(
) (established with existing photon mass limits),
is satisfied. The magnetic field strength and the charge density at the pole are
and
, respectively, which are consistent with the case of
. The radius of the polar cap is
. The potential difference between the center and the edge of the polar cap is
. The net charged-particle flux from the polar cap is
, where
with
being the mean number density of the primary charged particles at the polar cap, which is essentially the Goldreich–Julian density. The spin-down power of the wind is therefore approximately

where

and
is the spin-down power of the wind with
. This result can be also derived from the method of Contopoulos et al. (1999) with
(see Appendix C). Equation (14), even though not an explicit expression of mγ, can be used to derive its upper limit when a lower limit of η is given (
when
). The
relation for the nonvacuum wind spin-down case is presented in Figure 4. Similar to the vacuum case, the wind spin-down power rapidly falls off beyond a certain mγ given a measured P. The difference from the vacuum case is that there is no absolute cutoff at
. In order to obtain
in Equation (14), where
and
, measurement of the magnetic field strength is necessary (unlike in the vacuum case).
Figure 4.
relation for the non-vacuum wind spindown case. The blue, red, and green lines denote P = 8.51 s for PSR J2144−3933, P = 11.78 s for 1ES 1841−045, and P = 117 s for the WD pulsar in AR Scorpii.
Download figure:
Standard image High-resolution imageOnce P,
and Bp are measured, one may constrain
and derive the upper limit on the photon mass, as shown in Figure 5. We still take the data from PSR J2144−3933, 1ES 1841−045, and the WD pulsar in AR Scorpii as examples. We again assume
. The upper limits on the photon mass using different sources are shown in Table 1. In particular, the WD pulsar in AR Scorpii (Marsh et al. 2016) has
,
and
. An independent constraint on the WD surface magnetic field strength was set via the "MHD pumping" of the secondary star (M-dwarf) in the binary system (Buckley et al. 2017). The magnetic field of the WD would penetrate and dissipate in the M-dwarf atmosphere and give rise to additional optical emission. The dissipation power of magnetic energy at the M-dwarf can be estimated from6
, where
is the radius of the M-dwarf star,
is the beat period,
is the dissipation depth of magnetic energy for the photospheric conditions of an M-type dwarf, and
is the turbulent diffusivity (Buckley et al. 2017). If a fraction of the mean optical luminosity of AR Scorpii in excess of the combined stellar contributions is from MHD pumping, i.e.,
, where ζ is the fraction of the MHD pumping contribution, the magnetic field strength at the secondary star would be
. For
(established using existing photon mass limits), the magnetic dipole field of the WD would satisfy B ∝ r−3. The magnetic field strength at the pole of the WD would then be derived as
, where
is the binary separation (Buckley et al. 2017; Marsh et al. 2016), and
is the WD mass. According to the Hamada–Salpeter relation, the radius–mass relation of WDs satisfies
. The dipole radiation luminosity with a zero-mass photon is
. The dipole radiation luminosity with a nonzero-mass photon is
. One therefore has
. Here the turbulent diffusivity is taken as
(e.g., Meintjes & Jurua 2006; Buckley et al. 2017) and the WD mass is taken as
(Marsh et al. 2016). Since
, one can derive
, which is the most conservative constraint based on the uncertainties of all observed quantities. As a result, for the nonvacuum wind spin-down case we obtain

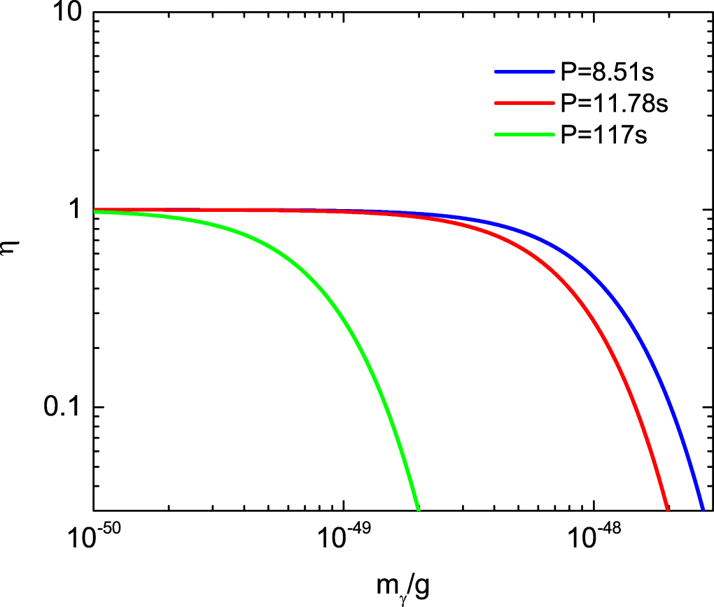
Figure 5. Constraints on mγ for different P. The solid and dashed lines denote the vacuum dipole spin-down case and the nonvacuum wind spin-down case, respectively. We adopt
(red) and
(blue) in the calculations.
Download figure:
Standard image High-resolution image3. Conclusion and Discussion
We proposed a method of using pulsar (including neutron stars and WDs) spin-down observations to set a stringent upper limit on the photon mass. In particular, for the recently observed WD pulsar in AR Scorpii, we obtained a stringent constraint on the photon mass
. For the vacuum spin-down case, the fact that the WD spins down places a robust lower limit
. For the nonvacuum fully developed wind spin-down case, based on the constraint of the surface magnetic field of the WD using MHD pumping modeling (Buckley et al. 2017), one can derive
. In reality, the spin-down behavior of the WD pulsar may be explained in the parameter regime between these two extreme models. These two derived photon mass limits can therefore be taken as the bracket of the true photon mass upper limit derived from the WD pulsar.
Since some magnetized WDs (Wickramasinghe & Ferrario 2000; Zhang & Gil 2005) with
have periods up to one hour and longer (Ferrario et al. 1997), we strongly urge further observations of these objects to detect their spin-down behavior (
) and to measure their magnetic field strength independently. These observations would give an upper limit around
, which would be the most stringent limit within the secure methods.
In our analysis, we have assumed that the magnetic field of the pulsar is dipolar. This is justified at large scale for neutron star and WD pulsars. Near the magnetic poles of the pulsars, multipole magnetic components may exist. For the vacuum case, even if the magnetic field is multipole, the robust limit
is still valid, since it is rooted in the standard energy–momentum relation. For the nonvacuum case, accurate calculation of the spin-down power of the multipole field is complicated. However, due to the contribution of the photon mass, the term
still appears in the field equation, so that the enclosed magnetic flux of the open field line contains a factor of
(see Appendix C). Therefore, the spin-down power of the multipole field would also be suppressed when
. As a result, our derivations based on the dipole assumption would be still valid to an order of magnitude.
We thank the anonymous referee for detailed suggestions that have allowed us to improve this manuscript significantly. This work is partially supported by the Initiative Postdocs Supporting Program (No. BX201600003), the National Basic Research Program (973 Program) of China (No. 2014CB845800) and Project funded by China Postdoctoral Science Foundation (No. 2016M600851). Y.-P.Y. is supported by a KIAA-CAS Fellowship.
Appendix A: Maxwell's Equations with Nonzero Photon Mass
The classical Maxwell equations and the corresponding Lagrangian are based on the hypothesis that the photon mass is zero. If photon has nonzero mass, one can modify the Lagrangian density by adding a "mass" term. Such a Lagrangian is known as the de Broglie–Proca Lagrangian (Proca 1936d; de Broglie 1940), which is given by

where
is the gauge potential,
is the external current sources, the field
is given by
, and
, where mγ is the photon mass. The de Broglie–Proca equation reads

In the Lorenz gauge, according to current conservation, the above equation can be written as

Each component of Aα satisfies the Klein–Gordon equation with source, where
. The massive photon version of Maxwell's equations is given by the de Broglie–Proca equations in three dimensions (de Broglie 1940), i.e.,

The associated Poynting vector is

Next, we consider the radiation of massive photons with a certain frequency. We assume that a point source of strength f(t) resides at the origin. The spherical wave
caused by such a source is given by

For an outgoing wave with f(t) as a function of
, one has (Crandall & Wheeler 1984)

Therefore, the dispersion relation is given by (de Broglie 1940)

This is the standard energy–momentum expression in the special theory of relativity. The group velocity is variable with frequency (de Broglie 1940),

which means that the wave is dispersed and the anomaly at
is representative. Since massive photons with different energies have different velocities, one can use extragalactic sources to constrain the photon mass (Lovell et al. 1964; Bonetti et al. 2016, 2017b; Wei et al. 2017; Wu et al. 2016; Zhang et al. 2016; Shao & Zhang 2017). Due to the significant dispersion of the electromagnetic wave at very low frequencies, stringent constraints on the photon mass may be achieved by experiments at very low frequencies, e.g., the nano satellite concept (Bentum et al. 2017).
Appendix B: Magnetic Dipole Radiation with Nonzero Photon Mass
Following Crandall & Wheeler (1984), we assume that the electric dipole moment is
. In the long-wavelength limit, the vector potential is given by the integral of solutions of Equation (22), i.e.

where
is the dispersion relation. The magnetic and electric fields are given by

where
is the unit vector from the origin to
. The Poynting vector can be written as

The time-averaged power radiated per unit solid angle by the oscillating dipole moment
is

Therefore, the total radiation power is

for
and L = 0 for
. For the magnetic dipole field,
,
, and
, where m is the magnetic dipole moment, we obtain the symmetric result of the total radiation power of the magnetic dipole field in vacuum as

for
and Lm = 0 for
.
Appendix C: Pulsar Spin-down Power
Here, we calculate the pulsar spin-down luminosity using the method of Contopoulos et al. (1999). First we define the enclosed magnetic flux of the open field-line region as

where
is the magnetic flux of the open field line in the standard magnetostatic dipole model. The last equality is derived from Equation (10). We assume that the flux distribution along the open field lines is close to the Michel split-monopole solution (Michel 1974), e.g.,

Due to magnetospheric rotation, the electric current circuits are generated at the pulsar poles, forming electromagnetic torques anti-parallel to the angular momentum of the pulsar, e.g., T = rBJdSdr/c, where dS denotes any stellar cross section, and J denotes the poloidal electric current density J. Finally, the stellar rotation energy loss through the electromagnetic torques is given by (Contopoulos 2005)

where
is the classical magnetic dipole radiation power, and

This result is consistent with Equation (14).
Footnotes
- 5
In a strong magnetic field with
the Coulomb potential is treated as a perturbation to the magnetic interaction, leading to a correction of atomic spectral lines (e.g., Lai 2015). For neutron-star pulsars with
, such a correction should be considered when studying Zeeman splitting. However, for magnetized WD pulsars with
, this strong field correction can be neglected. - 6
In principle, the correction to magnetic energy density due to nonzero photon mass should be included. However, given the already established stringent photon mass upper limit in the literature, this correction is negligibly small.












