ABSTRACT
Despite decades of investigations, the physical mechanism that powers the bright prompt γ-ray emission from gamma-ray bursts (GRBs) is still not identified. One important observational clue that still has not been properly interpreted is the existence of time lags of broad light curve pulses in different energy bands, referred to as "spectral lags." Here, we show that the traditional view invoking the high-latitude emission "curvature effect" of a relativistic jet cannot account for spectral lags. Rather, the observed spectral lags demand the sweep of a spectral peak across the observing energy band in a specific manner. The duration of the broad pulses and inferred typical Lorentz factor of GRBs require that the emission region be in an optically thin emission region far from the GRB central engine. We construct a simple physical model invoking synchrotron radiation from a rapidly expanding outflow. We show that the observed spectral lags appear naturally in our model light curves given that (1) the gamma-ray photon spectrum is curved (as observed), (2) the magnetic field strength in the emitting region decreases with radius as the region expands in space, and (3) the emission region itself undergoes rapid bulk acceleration as the prompt γ-rays are produced. These requirements are consistent with a Poynting-flux-dominated jet abruptly dissipating magnetic energy at a large distance from the engine.
Export citation and abstract BibTeX RIS
1. INTRODUCTION
Gamma-ray bursts (GRBs) are the most luminous explosions in the universe. They are produced by relativistic jets with Lorentz factors of a few hundreds beaming toward Earth, making them the fastest-moving astrophysical objects in the universe. Despite extensive studies conducted over many decades, however, the exact composition of the GRB jets, their energy dissipation mechanism, and the radiation processes involved still remain unclear (e.g., Kumar & Zhang 2015; Pe'er 2015, for recent reviews). The traditional model suggests that GRB jets are matter-dominated fireballs (Goodman 1986; Paczýnski 1986; Shemi & Piran 1990) with γ-ray emission either originating from the internal shocks (Rees & Mészáros 1994) or the fireball photosphere (Mészáros & Rees 2000; Rees & Mészáros 2005). An alternative model invokes a Poynting-flux-dominated outflow from the central engine, with the emission region either matter-dominated (e.g., Drenkhahn & Spruit 2002; Thompson 2006; Giannios 2008) or still moderately Poynting-flux-dominated (e.g., Zhang & Yan 2011).
Abundant prompt emission data have been accumulated over the years (e.g., Fishman & Meegan 1995; Kumar & Zhang 2015, for reviews). Recently, extensive modeling of the observed spectra (e.g., Mészáros & Rees 2000; Pe'er et al. 2006; Beloborodov 2010; Lazzati & Begelman 2010; Daigne et al. 2011; Vurm et al. 2011; Lundman et al. 2013; Uhm & Zhang 2014) and light curves (e.g., Hascoët et al. 2012; Zhang & Zhang 2014) has been carried out within the framework of different models, and detailed fitting to the data has been carried out for some of these models (e.g., Burgess et al. 2014; Ahlgren et al. 2015; Zhang et al. 2016). However, due to the lack of smoking gun signatures, so far the case is inconclusive.
On the other hand, prompt emission observations have provided rich features that have not been modeled properly. These include, for example, the systematic time lags between light curves at different energy bands (the so-called "spectral lags," e.g., Norris et al. 1996, 2000; Liang et al. 2006; R. J. Lu et al. 2016, in preparation), and the peak energy (Ep) evolution patterns across the (energy-dependent) pulse profiles (e.g., Hakkila & Preece 2011; Lu et al. 2012). In a series of papers, we plan to systematically model these observational features in an effort toward understanding the GRB prompt emission mechanism.
This first paper aims to study the physical origin of spectral lags. The GRB light curves typically show diverse and complex behaviors, with possible superpositions (Gao et al. 2012) of fast variabilities on slowly varying "pulses" (Norris et al. 1996; Hakkila & Preece 2011). Already in the BATSE era, some early investigations suggested that the separated slow component shows interesting spectral-lag behavior. The light curves at higher energies (say, in the MeV regime), in general, peak earlier and have a narrower width than those at lower energies (say, 10 s to 100 s of keV). Even though the quantitive fractions differ in different analyses, the dominant fraction of GRB pulses show such positive lags. A small fraction of pulses show negative lags (with the higher-energy emission slightly lagging behind the lower-energy emission) or even no spectral lags (e.g., Norris et al. 1996, 2000; Liang et al. 2006; Ukwatta et al. 2012; R. J. Lu et al. 2016, in preparation). Some attempts have been carried out to model these lags (e.g., Ioka & Nakamura 2001; Norris 2002; Dermer 2004; Shen et al. 2005). However, one could not simultaneously reproduce both the spectral lags and the peak-time fluxes of pulses in different energy bands. In this paper, we present a thorough investigation of the origin of spectral lags in GRBs, and derive the necessary physical conditions to interpret the observations.
2. CURVATURE EFFECT AND THE SPECTRAL LAGS
Photons emitted from a relativistic spherical shell in the direction of a distant observer spread over the observer's time axis when received by the detector on Earth, even though they are emitted simultaneously in the co-moving frame of the shell. Due to the curvature of the spherical shell, emission from progressively higher latitudes with respect to the observer's line of sight is progressively delayed while being boosted with a smaller Dopper factor
. Here, Γ denotes the Lorentz factor of the shell's bulk motion, β is given by
, and the polar angle θ measures the latitude of the emission location with respect to the observer's line of sight. These aspects of the high-latitude emission are called the "curvature effect." Based on such an effect, when the emission of the shell is turned off at a certain point, the light curves at lower energies (i.e., boosted with smaller Doppler factors) are expected to be delayed and exhibit a peak at a later time. For this reason, the curvature effect has long been suggested as an explanation for the spectral lags seen in the GRB prompt emission (e.g., Ioka & Nakamura 2001; Norris 2002; Dermer 2004; Shen et al. 2005; Shenoy et al. 2013). The main difficulty with this model, as noted by previous authors, is that even though the delay timescales may be reproduced, the flux levels from different energy bands are very difficult to reproduce. In particular, to interpret the observed time lags among different energy bands with the curvature effect model, the predicted fluxes at lower energy bands are significantly lower than what are observed (e.g., Section 4.6 of Zhang et al. 2009 and references therein). In the following, we will show that this curvature effect model cannot give rise to spectral lags unless the spectrum is very narrow, and that even for the cases with narrow spectrum, the predicted light curves are very different from the observations.
2.1. A Simple Physical Model
The physical picture adopted in our numerical model is simple and straightforward to understand: a single relativistic spherical shell expands radially with the bulk Lorentz factor Γ, continuously emitting photons from all locations in the shell, with an isotropic angular distribution of the emitted power in its co-moving fluid frame. The shape of the photon spectrum in the co-moving frame is delineated by a functional form (Uhm & Zhang 2015a),

The H(x) function is allowed to have an arbitrary shape as a function of the photon frequency
(measured in the co-moving frame), and is located at a characteristic frequency
. The radiating electrons are distributed uniformly in the shell, and the number of the electrons N is assumed to increase at an injection rate of
from an initial value of N = 0. Here,
is the time, measured in the co-moving frame.
The luminosity distance to the GRB site is calculated by adopting the standard flat ΛCDM universe with the parameters
km
, and
. The redshift plays only a global role in shaping the observed spectral flux (Uhm & Zhang 2015a), and thus we assume a typical value of z = 1 in all of the numerical models presented in this paper.
The prompt gamma-rays of GRBs are not emitted from the explosion center, but rather at a certain radius far from the central engine. Hence, we consider the emission of the spherical shell to be turned on at radius
(and at the lab-frame time
), such that the observer time
is set equal to zero when the first photons from this radius
trigger the detector on Earth. Then, a photon emitted from the shell at a later lab time t (
) when the shell has radius r (
) will be received by the observer at

where c is the speed of light and the angle θ measures the latitude of the photon's emission location with respect to the observer's line of sight. Note that the observer time
is practically independent of
since we calculate the time t as
.
We assign a spectral power
to each electron in the shell and calculate the observed spectral flux,
, in terms of the observer time
and the observed frequency
, while fully taking into account the high-latitude curvature effect of the spherical shell, which includes the Doppler boosting from the co-moving frame to the observer frame for each latitude and the integration over the equal-arrival time surface of each observer time (Uhm & Zhang 2015a).
We begin our calculations at radius
and turn off the emission of the shell at radius
. As for the shape of the photon spectrum in the co-moving frame, we use a curved spectrum such as the Band function (Band et al. 1993) with the parameters
(the low-energy photon index) and
(the high-energy photon index). If the photon spectrum is not curved (say, a power-law shape), then the light curves at different energies will always behave in the same way, rising and/or falling simultaneously, which then leaves no possibility of producing a spectral lag.
Our calculations are not attached to a particular theoretical model of prompt emission. In the following, we adopt a general approach with the goal of identifying the physical conditions that are required by the observations.
2.2. Curvature Effect Cannot Interpret the Observed Spectral Lags
First, we note that GRB spectral lags sample the broad pulses in the light curves, which are the "slow components," in contrast to the fast-variability components that are superposed on the slow ones (Gao et al. 2012). The typical duration of the pulses is seconds. Given the typical Lorentz factor
of GRBs, the typical emission radius is

Such a radius is much larger than the photosphere radius, suggesting that the emission occurs in an optically thin region above the photosphere. It is also consistent with the typical input parameters in our previous calculations to interpret the standard Band function spectra of GRBs within the fast-cooling synchrotron radiation model (Uhm & Zhang 2014).
Figure 1 shows an example calculation of the observed spectral fluxes in different energy bands, which are emitted from a relativistic spherical shell. A constant Lorentz factor of
is adopted, and the emission of the shell is turned on at radius
cm. The turn-off radius is taken to be
cm, so that it corresponds to the turn-off time at about
. Note that one can achieve the same turn-off time with different values of
, and
by simultaneously adjusting them, but our conclusion below still remains unchanged. Beyond the turn-off time
, the observed spectral flux is produced purely by the high-latitude emission. The number of electrons in the shell is assumed to increase at a constant injection rate,
. The top panels show the light curves1
in logarithmic scales at four different energies, 30 keV (black), 100 keV (blue), 300 keV (red), and 1 MeV (green), respectively, while the middle panels show the same four light curves in linear scales. The bottom panels show the observed spectra at four different observer times: 0.3 s (black), 1 s (blue), 3 s (red), and 10 s (green), respectively. Hence, the 0.3 s (black) and 1 s (blue) spectra are dominated by the line-of-sight emission, while the 3 s (red) and 10 s (green) spectra are made purely by the high-latitude emission. The four dotted vertical lines in the bottom panels correspond to the energies 30 keV, 100 keV, 300 keV, and 1 MeV, respectively, for which the light curves are calculated.
Figure 1. Observed spectral flux
emitted from a relativistic spherical surface that moves at a constant Lorentz factor
. The emission of the spherical shell is turned off at radius
cm, which corresponds to the turn-off time at about
. Top panels show the light curves in logarithmic scales at four different energies, 30 keV (black), 100 keV (blue), 300 keV (red), and 1 MeV (green), respectively, while the middle panels show the same four light curves in linear scales. Bottom panels show the observed spectra at four different observer times, 0.3 s (black), 1 s (blue), 3 s (red), and 10 s (green), respectively. Hence, the blue spectra are dominated by the line-of-sight emission emitted shortly before the turn-off radius, and the red and green spectra are produced purely by the high-latitude emission. The four dotted vertical lines in the bottom panels correspond to the energies 30 keV, 100 keV, 300 keV, and 1 MeV, respectively, for which the light curves are calculated. We present four different models here with regard to the shape of the photon spectrum in the co-moving frame, as delineated by the functional form H(x). In the first column, (model [1a]), the H(x) is assumed to have a Band-function shape with the typical observed values
and
. In the second column, (model [1ai]), we keep everything the same as in model [1a] but adopt
. In the third column, (model [1aj]), we consider the case where the photon spectrum in the co-moving frame assumes a Planck-function shape, i.e.,
. In the fourth column, (model [1ak]), we adopt
, although this is unphysical. The high-latitude curvature effect cannot produce any spectral lag if the photon spectrum in the co-moving frame takes a shape softer than
below the peak area. Even if some spectral lags are possible for a shape harder than this critical case x2, the resulting spectral lags are essentially invisible, as shown in linear scales.
Download figure:
Standard image High-resolution imageWe present four different models in Figure 1 with regard to the shape of the photon spectrum in the co-moving frame, as delineated by the functional form H(x). In the first column (model [1a]), H(x) is assumed to have a Band-function shape with the typical observed values
and
. We choose2
a certain constant value for each
and
, such that the observed spectra are placed at around 1 MeV with a flux density of about 1 mJy, or
, which corresponds to a relatively bright GRB. In the second column (model [1ai]), we keep everything the same as in model [1a], but adopt
so that the assumed photon spectrum has the same slope as the synchrotron function (Rybicki & Lightman 1979) below the peak area. As one can clearly see from the figure, the light curves of these two models at different energies simultaneously peak at the turn-off time and do not exhibit a spectral lag. Just as predicted from the curvature effect theory of the spherical shell, the 3 s (red) and 10 s (green) spectra (made by the high-latitude emission) are placed at a progressively lower energy than the 0.3 s (black) and 1 s (blue) spectra (dominated by the line-of-sight emission), but with a progressively weaker flux density. For a constant value of Γ, the peak energy Ep and the peak flux density
of the observed spectra satisfy the following relation during the high-latitude emission:

since
and
(Uhm & Zhang 2015a), where D is the Doppler factor.
In the third column (model [1aj]), we consider the case where the photon spectrum in the co-moving frame assumes a Planck-function shape, i.e.,
, and the observed spectra are located at a similar characteristic frequency and flux density. The light curves at different energies still do not exhibit a spectral lag. However, we note that the 1 s (blue), 3 s (red), and 10 s (green) spectra now appear to be coincident with one another asymptotically at low energies. The 3 s (red) and 10 s (green) spectra are expected to coincide with each other at low energies, since
is satisfied for
and the relation
holds during the high-latitude emission. Given that these two conditions are satisfied, the 1 s (blue) spectrum also appears to be coincident simply because its time 1 s is shortly before the turn-off time at 1.1 s. This coincidence of the spectra indicates a possibility that the 3 s (red) and 10 s (green) spectra can even outshine the 1 s (blue) spectrum at low energies if H(x) assumes a shape harder than
below the peak area. Thus, in the fourth column (model [1ak]), we adopt
, although unphysical, and place the spectra at a similar characteristic frequency and flux density. As one can see, the 3 s (red) and 10 s (green) spectra indeed outshine the 1 s (blue) spectrum at low energies, and some spectral lags are produced between the light curves at different energies. However, due to the significant suppression of the flux density during the high-latitude emission, the light curves at low energies become too faint. Consequently, the produced spectral lags are essentially not noticeable, as shown in linear scales.3
We conclude that the high-latitude curvature effect cannot produce any spectral lag if the photon spectrum in the co-moving frame takes a shape softer than
below the peak area. Even if some spectral lags might be possible for a shape harder than this critical case x2, the resulting spectral lags are essentially not noticeable.
3. ORIGIN OF SPECTRAL LAGS
We will now provide a simple and natural explanation for the observed spectral lags, considering synchrotron radiation that arises from a relativistic spherical surface. The physical picture and the numerical model adopted in our calculations are the same as those described in Section 2.1. From the synchrotron theory, we express the characteristic frequency
of the photon spectrum and the spectral power
of each electron as follows (Rybicki & Lightman 1979):

where
and
are the electron's mass and charge, respectively, and
is the Thomson cross-section. The magnetic field strength B and the characteristic Lorentz factor
of the electrons are measured in the co-moving frame of the spherical shell.
3.1. Magnetic Field Strength in the Emitting Region Should Decrease With Radius
As the spherical shell expands in a three-dimensional space, the magnetic field strength B in the shell cannot be preserved as a constant; rather, a simple consideration of the flux conservation of the magnetic fields yields
for the toroidal component (e.g., Spruit et al. 2001). Also, the possible dissipation of magnetic field energy in the shell (e.g., via reconnection of magnetic field lines) would result in a faster decrease than indicated by the flux conservation. Hence, we consider

where B0 is a normalization value at radius r0, and the index
. As we recently showed, this decrease of magnetic field strength in the emitting region is an essential element in reproducing the observed shape of the prompt emission spectra of GRBs (Uhm & Zhang 2014).
Figure 2 shows the observed spectral flux emitted from the spherical shell whose magnetic field strength in the co-moving frame follows Equation (6). As in Figure 1, the shell moves at a constant Lorentz factor
, and its emission is turned on at radius
cm. The turn-off radius is taken to be larger than before,
cm, so that it corresponds to a larger turn-off time at about
. By choosing so, we can focus on the line-of-sight emission for the timescale of seconds, since the high-latitude curvature effect does not play a significant role when
. The number of electrons in the shell is assumed to increase at a constant injection rate
. The top panels show the light curves in linear scales at four different energies, 30 keV (black), 100 keV (blue), 300 keV (red), and 1 MeV (green), respectively, while the bottom panels show the observed spectra at four different observer times, 0.3 s (black), 1 s (blue), 3 s (red), and 10 s (green), respectively. Therefore, all four spectra shown here are dominated by the line-of-sight emission. The four dotted vertical lines in the bottom panels correspond to the energies 30 keV, 100 keV, 300 keV, and 1 MeV, respectively, for which the light curves are calculated.
Figure 2. Observed spectral flux
emitted from a relativistic spherical shell whose magnetic field strength B in the co-moving frame decreases in radius r, following
. The shell still moves at a constant Lorentz factor
. Top panels show the light curves in linear scales at four different energies, 30 keV (black), 100 keV (blue), 300 keV (red), and 1 MeV (green), respectively, while the bottom panels show the observed spectra at four different observer times, 0.3 s (black), 1 s (blue), 3 s (red), and 10 s (green), respectively. All four spectra shown here are dominated by the line-of-sight emission. The four dotted vertical lines in the bottom panels correspond to the energies 30 keV, 100 keV, 300 keV, and 1 MeV, respectively, for which the light curves are calculated. As for the shape of the photon spectrum in the co-moving frame, we adopt a Band-function shape with the parameters
and
. In the first column, (model [1b]), we take b = 1 (i.e., flux-conservation case), while in the second column, (model [1c]) we take b = 1.25. The third column, (model [1d]) takes b = 1.5. Due to a decreasing strength of magnetic field in the emitting region, the observed spectra sweep through the observing energy bands as the observer time
elapses. Some spectral lags are produced in the model light curves, but are not consistent with the observed properties of spectral lags; see Section 3.3.
Download figure:
Standard image High-resolution imageIn Figure 2, we adopt a Band-function shape with the parameters
and
, as for the shape of the photon spectrum in the co-moving frame. Based on the typical parameters of GRB prompt emission (e.g., Zhang & Yan 2011; Uhm & Zhang 2014), we choose the values
G at
cm and
, which locate the observed spectra at around the observing energy bands. In the first column (model [1b]), we take b = 1 (i.e., flux-conservation case), while in the second column (model [1c]) we take b = 1.25. The third column (model [1d]) takes b = 1.5.
Due to the decreasing strength of the magnetic field in the emitting region, the characteristic frequency
of the photon spectrum in the co-moving frame, given in Equation (5), decreases in time. Consequently, the observed spectra sweep through the observing energy bands as the observer time
elapses. The larger the index b is, the faster the sweep through is. The observed flux-level can also decrease in time, due to a decreasing spectral power
of each electron in the co-moving frame, even though the number of radiating electrons N in the shell increases in time. As one can see from the figure, some spectral lags are produced in our model light curves. We stress that these spectral lags occur well before the turn-off time, i.e., well before the high-latitude emission dominates over the line-of-sight emission.
Although encouraging, the models here with a decreasing strength of magnetic field in the emitting region alone cannot explain the observations. In Section 3.3, we will show that the details of the model light curves shown in Figure 2 are not consistent with the observed properties of spectral lags. In particular, the pulse profiles of these models are too broad at low frequencies, leading to a too-steep slope in the
and width
relations.
We conclude this Section by making the important point that in order to produce some spectral lags, the observed spectrum has to be curved and the spectral peak has to move from high-energy to low-energy as a function of time. Imagine that the peak energy of a curved photon spectrum remains constant during an observation time span. Then, moving the spectrum upward or downward would only result in a simultaneous rise or fall in the light curves at different energies, without making any spectral lag.
3.2. The Emitting Region Itself Should Undergo Rapid Bulk Acceleration
From observations of the steep-decay phase of GRB X-ray flares (Burrows et al. 2005), we recently found clear observational evidence that the X-ray flare emitting region undergoes rapid bulk acceleration as the photons are emitted, hence providing a signature for a Poynting-flux-dominated outflow in the emitting region of X-ray flares (Uhm & Zhang 2015b). The finding applies to the majority of X-ray flares detected by Swift, suggesting that bulk acceleration may be ubiquitous (Jia et al. 2016). Recalling that the X-ray flares share a similar physical mechanism as the prompt emission itself, we investigate here the effect of bulk acceleration on the formation of spectral lags in prompt emission. We consider

where
is a normalization value at radius r0, and the index s describes the degree of bulk acceleration.
We begin with the models [1b], [1c], and [1d] (presented in Figure 2 for a decreasing profile of B(r) in the emitting region) and let these models undergo bulk acceleration instead of coasting with
. Since no first-principle prediction is available to quantify the acceleration of the jet, we explore different acceleration profiles
to reach a satisfactory match with the data. The characteristic electron Lorentz factor
is correspondingly adjusted to assure that the observed Ep is around 1 MeV. One example calculation adopts
at
cm and s = 0.35, and
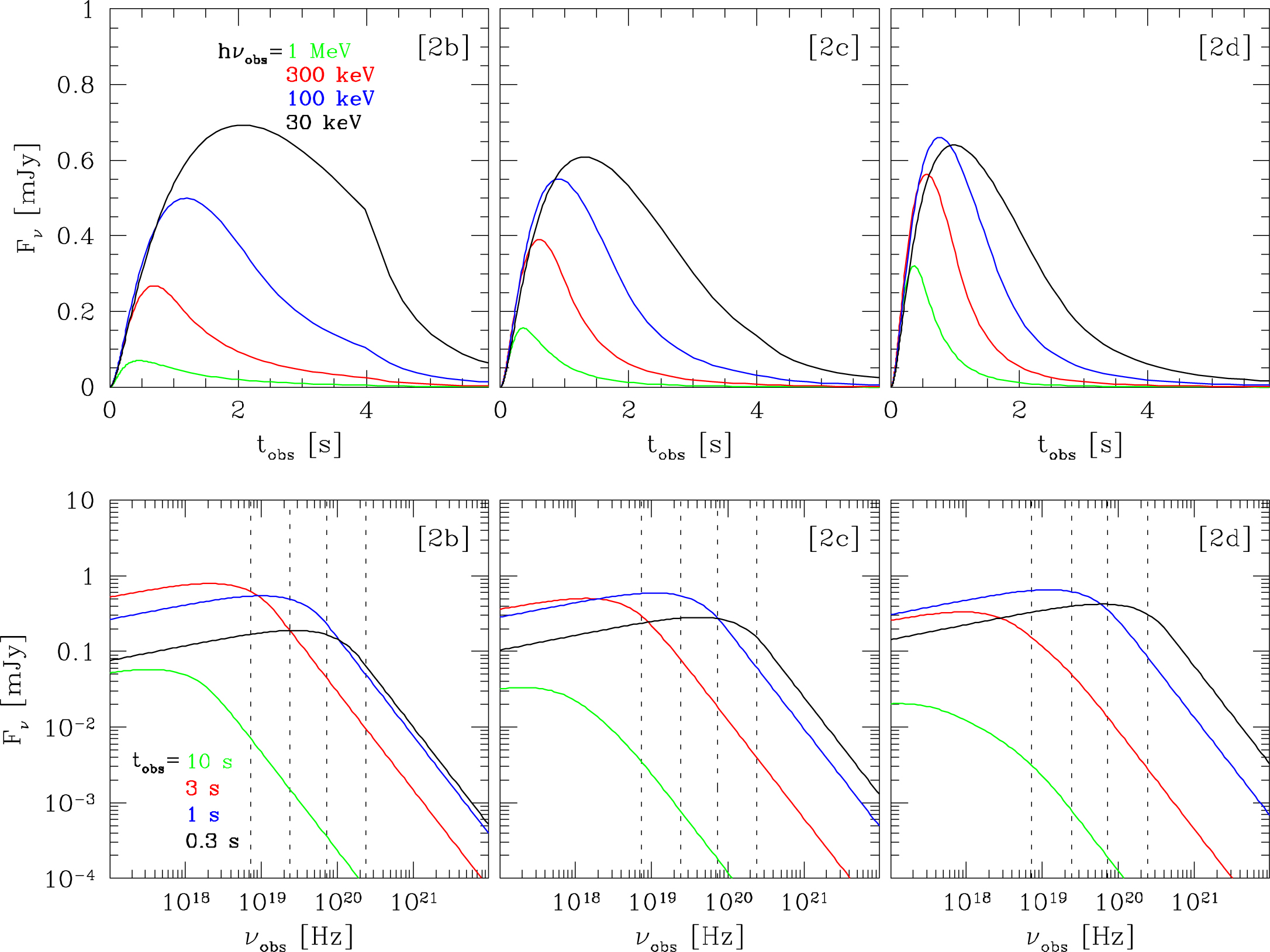
, with all other model parameters the same as in Figure 2. The results are shown in Figure 3.
Figure 3. Observed spectral flux
emitted from a relativistic spherical shell whose bulk Lorentz factor follows
and whose magnetic field strength in the co-moving frame follows
. The index s describes the degree of bulk acceleration and is taken to be s = 0.35. Shown in the first column is the model [2b] with b = 1. The second column, (model [2c]) takes b = 1.25, while the third column, (model [2d]) takes b = 1.5. Top panels show the light curves at four different energies, 30 keV (black), 100 keV (blue), 300 keV (red), and 1 MeV (green), respectively, while the bottom panels show the observed spectra at four different observer times, 0.3 s (black), 1 s (blue), 3 s (red), and 10 s (green), respectively. The light curves exhibit a clear pattern of spectral lags. The details of the light curves in models [2c] and [2d] are in a good agreement with the observed properties of spectral lags; see Section 3.3. The combined effect of an accelerating profile of
and a decreasing profile of B(r) allows for a successful reproduction of the observed spectral lags, without the need to invoke the high-latitude curvature effect.
Download figure:
Standard image High-resolution imageShown in the first column in Figure 3 is the model [2b] with b = 1 as for model [1b]. The second column (model [2c]) takes b = 1.25 as in model [1c], while the third column (model [2d]) is with b = 1.5 as in model [1d]. Again, the top panels show the light curves at four different energies, 30 keV (black), 100 keV (blue), 300 keV (red), and 1 MeV (green), respectively, while the bottom panels show the observed spectra at four different observer times, 0.3 s (black), 1 s (blue), 3 s (red), and 10 s (green), respectively. We kept the same turn-on and turn-off radius here as in Figure 2, but for this accelerating profile of
, the turn-off point corresponds to the turn-off time at about
in Figure 3. Hence, the 10 s (green) spectra are made purely by the high-latitude emission.
As one can see from the figure, the light curves now exhibit a clear pattern of spectral lags, successfully reproducing the observations. In Section 3.3, we will show that the details of the light curves in models [2c] and [2d] are indeed in a good agreement with the observed properties of spectral lags.
Due to a decreasing profile of B(r) in the emitting region, the observed spectra sweep through the observing energy bands again as the observer time
elapses. The larger the index b, the faster the sweep through. However, the sweep through in Figure 3 occurs in a more complicated way than in Figure 2, since the effect of bulk acceleration is added. When an accelerating profile of
is combined with a decreasing profile of B(r), the observed flux-level can exhibit an initial rise followed by a fall at a later time. This behavior reshapes our model light curves in such a clever way that their properties come close to observations.
This complicated behavior may be understood by the following rough analytical estimates. For the observed spectra dominated by the line-of-sight emission, we note that the peak energy
, whereas the peak flux density
with the total number of electrons
for constant injection rate in the co-moving frame. Hence, one roughly has

for
. One can see that these two parameters, which are critical to calculate the light curves at different energy bands, both depend on the b and s parameters, but in different ways. Introducing bulk acceleration (s parameter) is essential to reproduce the correct pulse broadness and its energy evolution as observed.
We also remark that the turn off of the shell's emission, visible at about
in model [2b], is nearly invisible in models [2c] and [2d], so that the high-latitude emission can take over without being noticed. This is also an attractive aspect of the models presented here. We conclude that the combined effect of an accelerating profile of
and a decreasing profile of B(r) allows for a successful reproduction of the observed spectral lags, well before the shell's emission is turned off, i.e., without the need to invoke the high-latitude curvature effect.
3.3. Comparison to the Observed Properties of Spectral Lags
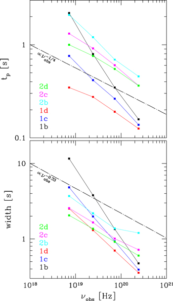
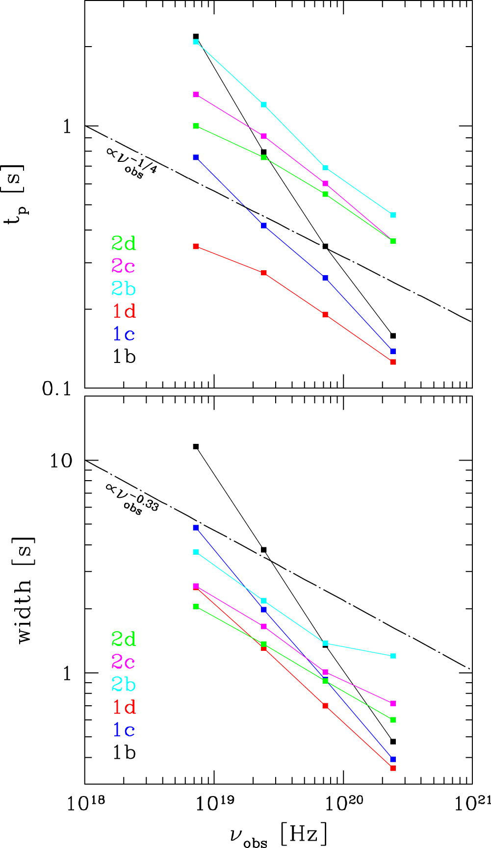
Now we compare the properties of our model light curves to the observations. We first take model [1b] and find the peak time tp and the width individually for each of the model's four light curves. The peak time is the observer time where the light curve peaks, and the width is defined as the full observer-time interval that covers half of the maximum flux density of the light curve. In Figure 4, we plot the peak time (top panel) and the width (bottom panel) of each light curve against the observing frequency of that light curve, and then connect the plotted points with a line. We repeat this for all six models [1b], [1c], [1d], [2b], [2c], and [2d], and show the results together in Figure 4 for comparison.
Figure 4. Properties of the model light curves as compared to the observations of spectral lags. For the six models [1b], [1c], [1d], [2b], [2c], and [2d], we plot the peak time tp (top panel) and the width (bottom panel) of each light curve against the observing frequency
of that light curve. The dotted–dashed lines indicate the relations
(top panel) and
(bottom panel), respectively, which represent the observed properties of spectral lags (Norris et al. 1996; Liang et al. 2006). Only the slopes of the relations in log–log scales are meaningful, and so the normalizations of the two dotted–dashed lines are chosen arbitrarily. It is clear that models [1b], [1c], and [1d] are not consistent with the observations, since the slopes of at least one relation are too steep. Model [2b] is better, although the first relation is somewhat too steep. On the other hand, models [2c] and [2d] are in good agreement with the observed properties of spectral lags.
Download figure:
Standard image High-resolution imageThe two dotted–dashed lines in Figure 4 indicate the relations
(top panel) and
(bottom panel), respectively, which represent the observed properties of spectral lags (Norris et al. 1996; Liang et al. 2006). Note that only the slopes of the two relations in log–log scales provide meaningful constraints on the models. Thus, in Figure 4, the two relations are shown with arbitrary normalization and compared with our model results. It is clear that models [1b], [1c], and [1d] are not consistent with the observations, since they have too-steep slopes in at least one of the two relations. Model [2b] is better, but the
slope is still somewhat steeper than the observed relation. On the other hand, models [2c] and [2d] are in a good agreement with the observed properties of spectral lags.
4. CONCLUSIONS AND DISCUSSION
In this paper, based on a simple but general emission model and some observational constraints (e.g., the duration of GRB pulses and the statistical properties of GRB spectral lags), we explore the model parameters that are suitable to reproduce the observations. Since the spectral lags sample the broad pulses rather than the rapid variabilities, we use the duration of broad pulses to constrain the radius of the emission region from the central engine. We showed that the high-latitude curvature effect, which has been widely considered in previous studies, cannot reproduce the observed spectral lags. In particular, if the emission spectrum is broad (such as for the Band function as observed), the curvature effect cannot give rise to any spectral lags. Some spectral lags may be produced if the spectrum is un-physically narrow (harder than x2 below the peak). However, the resulting spectral lags are essentially not visible, since the flux-density levels at different frequencies have large contrasts that are inconsistent with the data. Within the framework of an optically thin synchrotron radiation model (supported by the required large radius), we further derive the physical conditions required to reproduce the observed spectral lags. Based on the observed Ep and Γ for typical GRBs, we derive the relevant model parameters such as
, etc., and calculate the single-pulse light curves at different energy bands.
We find that in order to reproduce the observed spectral lags, a physical model needs to satisfy the following constraints.
- 1.The emission radius has to be large (above several 1014 cm from the central engine), in the optically thin region well above the photosphere. This is required by the observed duration of the slow-component pulses and the typical Lorentz factor inferred from GRB observations (Equation (3)).
- 2.The γ-ray photon spectrum should be curved (as observed).
- 3.The magnetic field strength in the emitting region should decrease with radius, which is consistent with an expanding jet.
- 4.The emission region itself should undergo rapid bulk acceleration as the prompt emission is produced.
The last requirement (bulk acceleration) poses interesting constraints on the jet composition of GRBs. Within the traditional fireball model, bulk acceleration is thermally driven and proceeds at a much smaller radius (Mészáros et al. 1993; Piran et al. 1993; Kobayashi et al. 1999). At the large emission radius required by the observations, the thermal energy is essentially converted to the kinetic energy of the outflow, and significant bulk acceleration is impossible. If the outflow is Poynting-flux-dominated (Granot et al. 2011), or hybrid with a significant Poynting flux component (Gao & Zhang 2015), then the outflow keeps accelerating over a much longer distance scale, as the Poynting flux energy is gradually converted to kinetic energy. If in the emission region the outflow is still moderately magnetized, as envisaged in the ICMART model of GRBs (Zhang & Yan 2011; Deng et al. 2015), then additional bulk acceleration is expected as collision-induced magnetic reconnection efficiently converts magnetic energy to particle energy and radiation. The required bulk acceleration in the prompt emission region is therefore consistent with such a scenario, suggesting that the ICMART-like mechanism is the mechanism to produce GRB prompt emission.
We note that based on a completely different argument (the decay slope of X-ray flare tails), we also drew the conclusion that the emission regions of essentially all of the X-ray flares also undergo significant bulk acceleration (Uhm & Zhang 2015b; Jia et al. 2016), suggesting that a moderate Poynting flux is likely ubiquitous among GRBs and their subsequent X-ray flares.
We thank Chuck Dermer and the anonymous referee for helpful comments. This work is supported by NASA through an Astrophysical Theory Program (grant No. NNX 15AK85G) and an Astrophysics Data Analysis Program (grant No. NNX 14AF85G).
Footnotes
- 1
A real GRB light curve is composed of many overlapping pulses. The light curves in our calculations are for one single pulse, which is the radiation unit of GRB emission.
- 2
In practice, we do so by making use of the synchrotron formulae, given in Equation (5), with the values B = 30 G and
. We stress, however, that the result presented in this section holds generically, and is not subject to synchrotron radiation. - 3
Observationally, the prompt emission light curves are displayed in linear scales. We adopt the same convention in Figures 1– 3. For Figure 1, since the curvature effect predicts a very steep drop in flux density at low energies, we also present the light curves in log scales (top panels) to discern possible spectral lags.




