ABSTRACT
We perform a time-resolved spectral analysis of GRB 130606B within the framework of a fast-cooling synchrotron radiation model with magnetic field strength in the emission region decaying with time, as proposed by Uhm & Zhang. The data from all time intervals can be successfully fit by the model. The same data can be equally well fit by the empirical Band function with typical parameter values. Our results, which involve only minimal physical assumptions, offer one natural solution to the origin of the observed GRB spectra and imply that, at least some, if not all, Band-like GRB spectra with typical Band parameter values can indeed be explained by synchrotron radiation.
Export citation and abstract BibTeX RIS
1. INTRODUCTION
Despite multifarious observations over 40 years since their discovery, the prompt emission phase of gamma-ray bursts (GRBs) is still not fully understood in several fundamental aspects (e.g., Zhang 2011; Kumar & Zhang 2015; Pe'er 2015 for reviews): (1) What is the composition of the ejecta (baryonic fireball or Poynting flux dominated jet)? (2) What are the energy dissipation and particle acceleration mechanisms (from shocks or via magnetic reconnections)? (3) What is the radiation mechanism (synchrotron, synchrotron self-Compton, or Comptonization of quasithermal emission from the photosphere)? Interpretation of the observed GRB energy spectra plays a key role for answering these questions. A direct identification of the GRB prompt emission mechanism would lend further constraints on the energy dissipation mechanism, and eventually on the composition of the GRB jets.
GRB spectra have traditionally been described by a joint smoothly broken power-law function—the "Band" function (Band et al. 1993). This function successfully captures the main features of the GRB spectra (e.g., Briggs et al. 1999; Abdo et al. 2009; Zhang et al. 2011) but it has been difficult to associate the parameters with the physical processes responsible for the GRB emission. Two leading candidate radiation mechanisms for GRB prompt emission are synchrotron radiation (Meszaros et al. 1994; Daigne & Mochkovitch 1998; Lloyd & Petrosian 2000; Daigne et al. 2011; Zhang & Yan 2011) and Comptonization of quasithermal photons from the photosphere of the fireball (Thompson 1994; Rees & Meszaros 2005; Beloborodov 2010; Lazzati & Begelman 2010), which both successfully reproduce the observed values of Ep (peak energy in the νFν spectrum) and β (the high-energy power-law spectral index). The straightforward predictions of the low-energy power-law index α of the simplest version of both models, however, deviate from the typical value α ∼ −1 revealed by the observations (e.g., Preece et al. 2000; Nava et al. 2011; Zhang et al. 2011). The traditional fast-cooling synchrotron model predicts an α value of −1.5 (Sari et al. 1998). This has been regarded as a strong drawback of the traditional fast-cooling synchrotron model to interpret GRB prompt emission (Ghisellini et al. 2000). The photosphere models, on the other hand, predict too hard on the spectrum. A pure blackbody emission in Rayleigh–Jeans regime predicts α ∼ +1. Relativistic effects (equal-arrival-time surface effect) would soften it to α ∼ +0.4 (e.g., Beloborodov 2010; Deng & Zhang 2014), which is still too hard compared to the data. Effects that modify the low-energy photon index closer to −1 include adding synchrotron self-absorption or a smooth cutoff in the low-energy electron distribution (Lloyd & Petrosian 2000), adding a photosphere component in the synchrotron model (Meszaros & Rees 2000), adding a synchrotron component with moderate magnetization degree in the photosphere model (Toma et al. 2011; Vurm et al. 2011; Vurm & Beloborodov 2015), or introducing a certain type of structured jet (Lundman et al. 2013). However, some of these modifications either invoke simplified assumptions or introduce spectral features that are inconsistent with the observations.
Observations of GRBs with the Fermi Gamma-ray Observatory have revealed additional features beyond the Band function, including a quasithermal component (Ryde et al. 2010; Guiriec et al. 2011, 2015; Axelsson et al. 2012) and a power-law component extending to high energies (Abdo et al. 2010; Zhang et al. 2011). Through a detailed time-resolved spectral analysis, Zhang et al. (2011) suggested that the Band component, the quasithermal component, and the high-energy component are three elemental spectral components in GRB spectra. A recent detailed study of the time-resolved spectra of three GRBs (Guiriec et al. 2015) indeed suggests that the interplay among three elemental components can explain a variety of observed GRB spectra. These observations have spurred efforts to apply physical modeling to the GRB data and uncover the physical meaning of various spectral components. The quasithermal component is often interpreted as emission from the photosphere of the outflow (Meszaros & Rees 2000). Since this component is predicted to be bright in the standard fireball models, non-detection or a detection of a weak photosphere component point toward a Poynting-flux-dominated flow (Zhang & Pe'er 2009) or a hybrid outflow with significant Poynting flux in the jet (Gao & Zhang 2015). With the quasi-thermal component identified as the photosphere emission, the main Band component is more likely of a synchrotron origin.4 Burgess et al. (2011, 2014) found that the addition of a photospheric blackbody to a synchrotron radiation component reproduces the observed spectrum of eight bright GRBs detected by Fermi, provided that the electrons are in the slow cooling regime. However, this is contrary to what is expected, since in the GRB emission region, electrons likely cool rapidly due to a strong local magnetic field. The simplest fast-cooling spectra, even with the superposition of the photosphere component, were found to be incompatible with the observations.
In these and previous studies, the magnetic field in the GRB emission region is assumed to be constant. However, in a rapidly expanding jet source such as a GRB, flux conservation indicates that its magnetic field cannot be preserved as a constant. This important physical consideration has been taken into account by Uhm & Zhang (2014). By introducing a decrease in the magnetic field with increasing radius as a (conical) jet expands into space and by assuming that the GRB emission region is far from the central engine (typically 1015 cm and beyond), they create the following picture (Uhm & Zhang 2014): the GRB emission is assumed to be generated from fast-cooling synchrotron radiation of electrons accelerated in the emission region (either internal shocks or internal magnetic reconnection sites), which is relatively far away from the central engine. Electrons are continuously injected as a power law distribution (
) with a minimum Lorentz factor γinj, and with a certain injection rate as a function of time
Since the emission region is streaming outwards in an expanding jet, the co-moving magnetic field strength decays with radius as
The accelerated electrons undergo synchrotron cooling in the co-moving frame. Since the cooling timescale is shorter than the dynamical timescale, the electrons are in the fast cooling regime, so that an electron population below γinj is developed as a function of time. In the standard fast cooling model where B' is assumed a constant, the electrons below γinj have a spectrum of
with
which gives a photon index α = −1.5, inconsistent with the data. However, in a decaying B' field, the degree of cooling varies as a function of time, so that the electron spectrum below γinj is curved with an effective
The photon spectrum therefore hardens. Varying the parameters, the predicted effective α can be as hard as −0.8, with the typical value α ∼ −1 reproduced for a range of parameters. This concept for the first time introduces a physical fast-cooling synchrotron model that accounts for the typical observed α values.5
The investigation of this concept has thus far been limited to numerical calculations that have produced spectral parameters and temporal evolution properties similar to those observed in GRBs (Uhm & Zhang 2014), but the model has not been applied to real data. In this paper, we aim to test whether such a fast-cooling synchrotron model can really account for the observed GRB spectra. We describe our data reduction method in Section 2 and fitting tools in Section 3. Our fitting results are presented in Section 4, followed by a summary and discussion in Section 5.
2. DATA REDUCTION
As will be discussed in Section 4.2, it is computationally expensive to fit the observed spectra with the numerically calculated synchrotron model. We select one typical GRB detected by Fermi/GBM as a test, whose time-resolved spectra can be well fit by the Band function. Because most GRBs have strong spectral evolution during the prompt emission phase (e.g., Zhang et al. 2011; Lu et al. 2012; Guiriec et al. 2015), this work focuses on the time-resolved data. We select the second brightest6 GRB in the second GBM catalog, i.e., GRB 130606B (GBM trigger number 392212536/130606497). The brightness of the GRB 130606B enables us to perform a detailed time-resolved spectral analysis with fine time-resolution, owing to the large number of γ-ray photons. This GRB was about 91° from the LAT boresight at the time of the trigger and remained well outside the nominal field of view for the standard data analysis during the whole prompt emission (∼100 s). A LAT detection during the prompt phase was reported using the LAT Low-energy (LLE) data (Vianello et al. 2013), but the energy response of the LLE data at this large offset angle to the boresight is not reliable. We thus omit LAT data from our analysis.
The Fermi/GBM data are processed using the standard procedure described in Zhang et al. (2011). We selected the data from the two brightest Na i detectors and the brightest BGO detector. The light curve of the brightest Na i detector (Na i 8) is shown in the bottom panel of Figures 1 and 2. Our analysis only focuses on the main prompt emission episode (from 0 to 59 s; roughly the episode covered by T90) of this burst. Based on the signal-to-noise ratio, we divide this time interval into 24 slices (Table 1 and Figures 1 and 2). For each slice we extract the source spectrum, background spectrum and the corresponding response files, which are needed to perform the spectral fitting.
Figure 1. Bottom: light curve of GRB 130606B in 15–350 keV of Fermi GBM detector Na i 8. Red numbers mark the slice intervals listed in Table 1. Top 1–3 panels: evolution of the Band function parameters via spectral fits of each time interval.
Download figure:
Standard image High-resolution imageFigure 2. Bottom: same as the bottom panel of Figure 1. Top 1–8 panels: parameter evolution of the synchrotron model fitting of each slice.
Download figure:
Standard image High-resolution imageTable 1. Sample and Fitting Results
| Interval |
(s) |
α | β | Ep (keV) | PGSTAT/dof | log Γ | p | log γinj | log (s−1) |
q | log B0 (G) | b |
(s) |
PGSTAT/dof |
|---|---|---|---|---|---|---|---|---|---|---|---|---|---|---|
| 0 | 0.00 ∼ 2.94 |
|
|
|
325.71/360 |
|
|
|
|
|
|
|
|
326.44/356 |
| 1 | 2.94 ∼ 5.52 |
|
|
|
319.18/360 |
|
|
|
|
|
|
|
|
314.84/356 |
| 2 | 5.52 ∼ 8.10 |
|
|
|
305.41/360 |
|
|
|
|
|
|
|
|
308.83/356 |
| 3 | 8.10 ∼ 9.55 |
|
|
|
398.80/360 |
|
|
|
|
|
|
|
|
385.33/356 |
| 4 | 9.55 ∼ 10.79 |
|
|
|
391.76/360 |
|
|
|
|
|
|
|
|
375.45/356 |
| 5 | 10.79 ∼ 12.42 |
|
|
|
390.44/360 |
|
|
|
|
|
|
|
|
373.70/356 |
| 6 | 12.42 ∼ 13.67 |
|
|
|
411.70/360 |
|
|
|
|
|
|
|
|
413.08/356 |
| 7 | 13.67 ∼ 14.89 |
|
|
|
361.48/360 |
|
|
|
|
|
|
|
|
367.51/356 |
| 8 | 14.89 ∼ 16.62 |
|
|
|
391.27/360 |
|
|
|
|
|
|
|
|
408.31/356 |
| 9 | 16.62 ∼ 18.93 |
|
|
|
331.80/360 |
|
|
|
|
|
|
|
|
336.67/356 |
| 10 | 18.93 ∼ 21.78 |
|
|
|
278.08/360 |
|
|
|
|
|
|
|
|
279.55/356 |
| 11 | 21.78 ∼ 25.00 |
|
|
|
306.47/360 |
|
|
|
|
|
|
|
|
306.52/356 |
| 12 | 25.00 ∼ 28.19 |
|
|
|
285.05/360 |
|
|
|
|
|
|
|
|
284.06/356 |
| 13 | 28.19 ∼ 31.16 |
|
|
|
313.87/360 |
|
|
|
|
|
|
|
|
314.13/356 |
| 14 | 31.16 ∼ 34.18 |
|
|
|
337.20/360 |
|
|
|
|
|
|
|
|
337.13/356 |
| 15 | 34.18 ∼ 37.18 |
|
|
|
306.05/360 |
|
|
|
|
|
|
|
|
308.32/356 |
| 16 | 37.18 ∼ 39.45 |
|
|
|
394.86/360 |
|
|
|
|
|
|
|
|
399.39/356 |
| 17 | 39.45 ∼ 41.55 |
|
|
|
332.79/360 |
|
|
|
|
|
|
|
|
326.97/356 |
| 18 | 41.55 ∼ 44.14 |
|
|
|
260.84/360 |
|
|
|
|
|
|
|
|
258.88/356 |
| 19 | 44.14 ∼ 46.84 |
|
|
|
311.29/360 |
|
|
|
|
|
|
|
|
315.96/356 |
| 20 | 46.84 ∼ 49.72 |
|
|
|
331.01/360 |
|
|
|
|
|
|
|
|
329.55/356 |
| 21 | 49.72 ∼ 51.63 |
|
|
|
365.09/360 |
|
|
|
|
|
|
|
|
357.80/356 |
| 22 | 51.63 ∼ 53.63 |
|
|
|
350.36/360 |
|
|
|
|
|
|
|
|
348.97/356 |
| 23 | 53.63 ∼ 56.16 |
|
|
|
340.78/360 |
|
|
|
|
|
|
|
|
338.91/356 |
| 24 | 56.16 ∼ 58.97 |
|
|
|
273.32/360 |
|
|
|
|
|
|
|
|
271.40/356 |
Download table as: ASCIITypeset image
3. A GENERAL MONTE-CARLO (MC) FITTING APPROACH
Generally speaking, performing a fit does not only mean finding the "best-fit" parameters that bring a particular model into optimum consistency with the data but also means, more importantly, to find the true likelihood map of the entire parameter space, with which one can know how the model can be really constrained in a global confidence manner. The latter part is more challenging since theoretical models always involve multiple model parameters that may be subject to correlation and multi-modality of the likelihood in their parameter space. Traditional fitting algorithms (e.g., Levenberg–Marquardt) typically fail to map the multi-dimensional likelihood. We have developed a fitting engine (McFit) that employs a Bayesian MC fitting technique to reliably fit parameters that are constrained by the data even when other parameters are unconstrained. Such a technique has been successfully applied to Swift afterglow modeling of GRBs with 7 parameters (Zhang et al. 2015). Using this technique, the best-fit parameters and their uncertainties can be realistically determined by the converged MC chains.
To compare a theoretical spectral model to data, we need to convolve the model with instrumental response, the Detector Response Matrix (DRM). We have written a general-purpose forward-folding code that can handle the instrument response R(I, E) from any mission (e.g., Fermi/GBM), read in any model spectrum, F(E, P), regardless of its form (e.g., a mathematical function or a tabulated array), and calculate the model-predicted count spectrum
=
which can be directly compared with the observed count spectrum C(I). We then calculate the likelihood7
for those CM(I, P) and C(I) pairs. Such a likelihood function is then input into our fitting engine McFit so that the parameter space can be explored. A final software package, McSpecFit, combines this Bayesian MC engine, the general forward-folding codes and the likelihood calculations, and can fit any models to the observed spectra.
4. RESULTS
4.1. Band Function Fits
We first fit the observed time-resolved spectra with the empirical Band function (Band et al. 1993):

where

A is the normalization factor at 100 keV in units of photons s−1 cm−2 keV−1, α is the low-energy photon spectral index, β is the high-energy photon spectral index, and Ep is the peak energy in units of keV in the observed νFν spectrum.
The results of our fits for each slice are shown in Table 1. The measurement of the goodness-of-fit in each slice is plausible, with PGSTAT/dof ∼ 1, as shown in the 5th column of Table 1. As an example, we show the parameter constraints resulting from our McSpecFit in the inner plot of Figure 3. We also plot the evolution of the three characteristic parameters of the Band function model in Figure 1. We notice that except for 9 slices (intervals 0, 2, 3, 4, 5, 17, and 21) the values of β are constrained to have fairly large values (2.5–8) and large uncertainties, which indicates that a cutoff power law model would also give equally good fits. We therefore mainly focus on the properties of α and Ep.
Figure 3. Parameter constraints of the synchrotron model (up-right) and Band function (bottom left) fitting for Interval 7. Histograms and contours show the likelihood map of the parameter-constraint outputs by our McSpecFit package. Red crosses mark the best-fit values and 1σ error bars. All parameters are constrained in reasonable ranges (see Table 1).
Download figure:
Standard image High-resolution imageA strong spectral evolution is shown in Figure 1. Ep and the peak count rates (or equivalently, peak flux) in each slice correlate with each other and show a clear tracking behavior (see also Lu et al. 2012).
4.2. Synchroton Model Fits
Next, we apply the fast-cooling synchrotron emission model with a decaying magnetic field (Uhm & Zhang 2014) to fit the time-resolved spectra.
Mathematically, the Uhm & Zhang (2014) model is defined by the following nine parameters:
- 1.the bulk Lorentz factor Γ of the emitting region;
- 2.the magnetic field strength B0 (in units of Gauss) at 1015 cm;
- 3.the magnetic field decay index b;
- 4.the power-law index p of the injected electron spectrum;
- 5.the minimum injection Lorentz factor γinj of electrons;
- 6.the power-law index q of the injection rate as a function of time;
- 7.the normalization of the electron injection rate
in units of s−1 ; - 8.the observer-frame time since the first electron injection
in units of s of a given emission episode; and - 9.the redshift z.
The theoretical flux density (in unit of mJy) can be calculated numerically in the form

We implement the numerical code of Uhm & Zhang (2014) into the data fitting code, having it serve as a black box to generate numerical model spectra given any set of the input parameters.
The direct output of the modeling is Fν(E). It is converted to photon flux and then read into McSpecFit. Spectral fitting is then performed following the Bayesian MC fitting method within the allowed parameter ranges (Table 2) as introduced in Section 3, until the best-fit model parameters are obtained.
Table 2. Allowed Range of the Parameters of the Synchrotron Model in the Monte Carlo Fit
| Parameter | Range |
|---|---|
| Γ | [102, 103] |
| p | [2, 6] |
| γinj | [103, 106] |
(s−1) |
[1044, 1050] |
| q | [0.01, 5] |
| B0 (G) | [5, 1000] |
| b | [0.9, 2.0] |
(s) |
[0.1, 10.0] |
Download table as: ASCIITypeset image
Two caveats are worth mentioning. First, GRB 130606B does not have a measured redshift. We assume z = 1 in the modeling. The shape of spectrum does not depend on the redshift. For a different redshift, the same observed spectrum can be reproduced by essentially adjusting the injection rate parameter
Second, in the fitting,
is taken as a free parameter. Strictly speaking, it should be defined as the observer-frame time since the injection of the first group of electrons in a particular emission episode. However, since GRB light curves include overlapped pulses, it is hard to track the number of emission episodes. Furthermore, the predicted flux is not very sensitive to
if the duration is in the timescale of seconds (Uhm & Zhang 2014). This can be readily seen in Figure 3, which shows that the contour of
is relatively broad. We therefore make no effort to guess the
value for each time bin, and leave it as a free parameter.
The results of fitting the data to the synchrotron model are presented in Table 1 and Figure 2. Similar to the Band function fitting, we show an example of the parameter constraints for the same time interval 7 in the outer plot of Figure 3. We show that the synchrotron model provides equally good fits to the data as the empirical Band function model (Figure 4).
Figure 4. Comparison between the PGSTAT of the Band function fitting and the synchrotron model fitting for the 25 time slices in Figure 1. The dashes mark the line of equality.
Download figure:
Standard image High-resolution imageThe evolution of various model parameters is shown in Figure 2. Similar to the Band function parameters, these model parameters all undergo variations throughout the burst. As expected, the magnetic field strength in the emission region is found to decay with radius, with b varying in the range between 1 and 2. However, the large error of b makes it possible that b does not evolve significantly throughout the burst. This is consistent with the expectation: whereas the flux and Ep vary significantly throughout the burst due to the change of electron injection rate and typical Lorentz factors, the geometric configuration and the degree of magnetic dissipation of the jet (which defines b) do not evolve significantly.
4.3. Comparison between the Two Model Fits
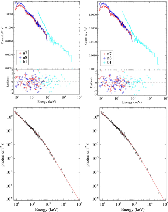
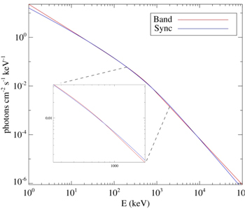
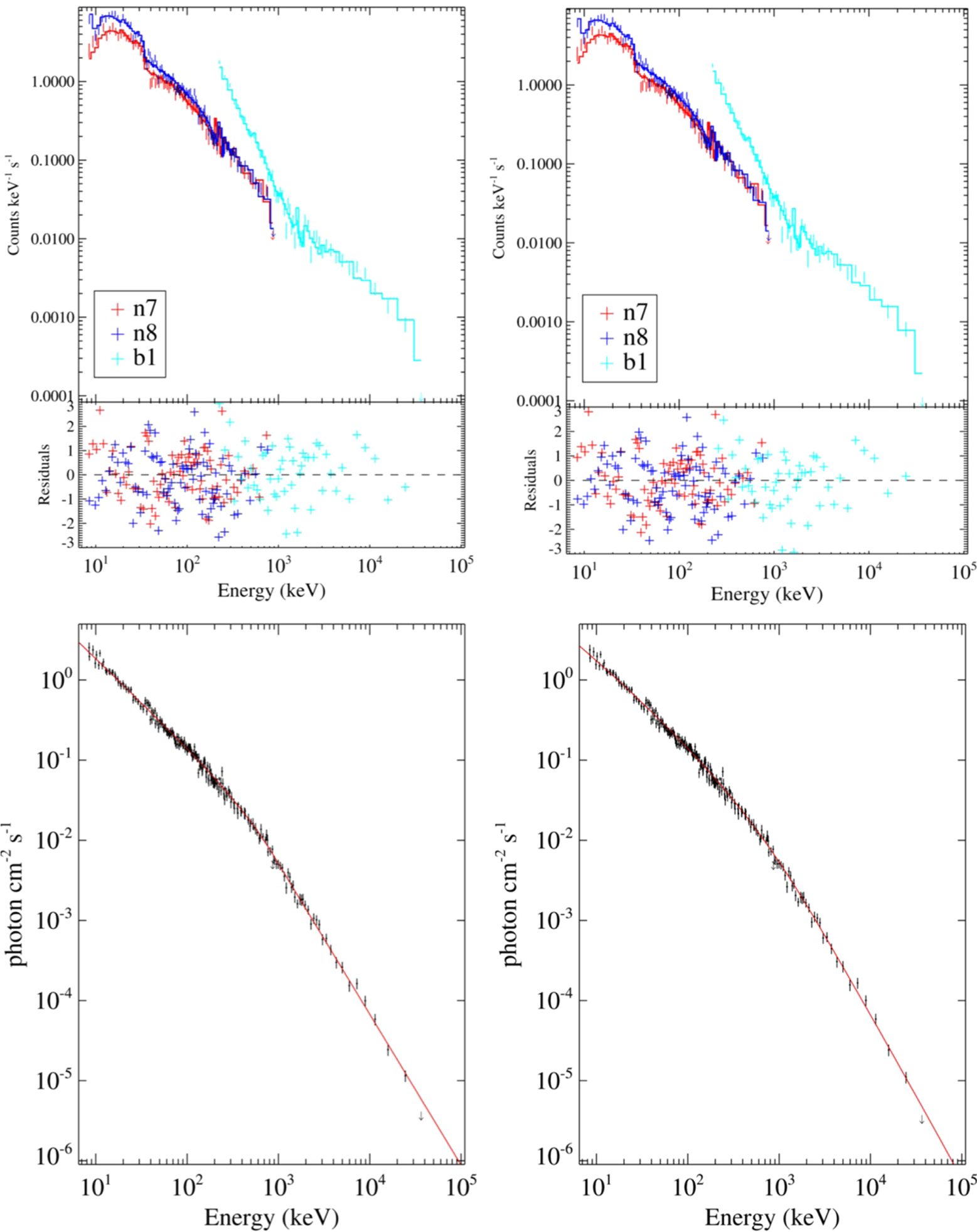
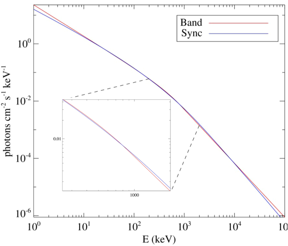
In Figure 4 we compare the goodness of fits, PGSTAT, of the Band model and the synchrotron model. One can see that the two models give essentially identical goodness-of-fit. This shows that the physical model proposed by Uhm & Zhang (2014) successfully fits the typical GRB spectra which are otherwise fitted by the empirical Band function (virtually a mathematical shape). In Figure 5, we show a comparison between the photon spectra of the two model fits as well as the residuals of the fits for the time interval 7 as an example. Again it clearly shows that both models are adequate to represent the data. In Figure 6, we show the model curves of the Band function and synchrotron model. One can see that the two curves are essentially identical within the GBM energy band (see also Uhm & Zhang 2014), and only show noticeable difference in a much wider energy band. This explains the capability of the synchrotron model to mimic the Band function within the GBM band.
Figure 5. Comparison between the Band function fitting and synchrotron model fitting for Interval 7. The spectra have been re-binned into wider bins for clarity. Top panels: observed count spectrum vs. model. The top left shows the Band function fitting and the top right shows synchrotron model fitting. Bottom panels: the de-convolved photon spectrum plots. The bottom left shows Band function fitting, the red line is the theoretical photon spectrum of the Band function and data points are the "observed" photon flux which is obtained by de-convolving the observed count spectrum using instrument responses. Bottom right: same as bottom left but for the synchrotron model fitting where the red line is the theoretical photon spectrum of the synchrotron model.
Download figure:
Standard image High-resolution imageFigure 6. Comparison between the two theoretical photon models in Figure 5.
Download figure:
Standard image High-resolution imageThe Ep tracking flux feature (Figure 1) shown in this burst is commonly seen in a large fraction of GRBs (e.g., Ford et al. 1995; Lu et al. 2012). For the simplest synchrotron model with a constant γinj, a hard-to-soft evolution pattern is predicted (Uhm & Zhang 2014). Our analysis suggests that by allowing variation of the parameters, especially γinj, the synchrotron model can also reproduce Ep-tracking patterns in GRBs.
The hardest α in our Band function fit is
(interval 0). The best-fit value −0.52 already exceeds the so-called synchrotron "line-of-death" (Preece et al. 1998). However, due the large error of α, the data are also consistent with the synchrotron model. This suggests that "line-of-death" is not a hard limit for the synchrotron model.
4.4. What Makes the Band Spectrum?
A relevant question is what physical processes shape a synchrotron spectrum to be "Band-like." In order to address this point, we systematically checked the pair correlations between the fitted Band parameters and the synchrotron model parameters. Among those correlations, we find the following two pairs (Figure 7) showing "strong" (Dancey & Reidy 2004) correlations with Pearson correlation coefficients,
and α − q; and the following four pairs showing "moderate" correlations with
Ep − γinj,
This indicates that the observed spectral properties can be mostly accounted for by the variations of the jet magnetization and the electron injection parameters.
Figure 7. We compare the parameters of the physical model with those of the Band function and show the correlations between those pairs with strong and moderate correlations. The Pearson correlation coefficients of each pair are also marked in each plot.
Download figure:
Standard image High-resolution imageThere are two physical ingredients entering the modeling.
- 1.The first is the cooling of electrons and their synchrotron radiation, which is well understood (Uhm & Zhang 2014). This physical ingredient controls the shape of the spectrum. The general Band-like spectral-shape can be reproduced regardless of the details of the model parameters.
- 2.The second physical ingredient is related to the energy dissipation physics and particle acceleration physics, which controls the model parameters such as B0, b, q, γinj, and determine the Band parameters α, Ep, and β. This likely invokes magnetic reconnection in a highly variable, highly magnetized environment, and the detailed physics is messy and poorly studied.8
As a result, one cannot predict from the first principles the values of those parameters, but may infer them from the data. In any case, the inferred parameters as listed in Table 1 fall into the reasonable ranges from expectation (Uhm & Zhang 2014), and the apparent correlations among parameters are also generally understandable.
We notice that some input parameters of our model (e.g.,
B0, b, and q) are not well constrained by the data. This is expected since the data are consistent with a featureless spectrum, which can be equally well-described by a four-parameter Band function. Even though a physical model requires eight different parameters as the input, the results are not sensitive to some parameters. This may be regarded as a strength of our model, since the output model spectra do not sensitively depend on the details of the messy physics involved. In particular, the apparent insensitivity to
justifies our choice of the time bins based on the photon number statistics.
4.5. Non-existence of the Thermal Component
For GRB 130606B, the Band function or the synchrotron model can adequately fit the data. There is no need to introduce a quasithermal component, which is presumably the emission from the photosphere of the outflow. The non-detection of the photosphere component poses a significant constraint on the GRB jet composition, which should have a significant fraction of Poynting flux in the outflow (Zhang & Pe'er 2009; Gao & Zhang 2015). An alternative interpretation of the non-existence of a quasithermal emission component may be that the entire Band component is from the reprocessed quasithermal emission from a dissipative photosphere (e.g., Pe'er et al. 2006; Lazzati & Begelman 2010; Vurm et al. 2011; Lundman et al. 2013; Ahlgren et al. 2015; Vurm & Beloborodov 2015). However, it remains interesting to see how the predicted spectra of these models directly confront with the observational data.
5. SUMMARY AND DISCUSSION
In this paper, we successfully fit the time-resolved spectra of GRB 130606B with a fast-cooling synchrotron radiation model that incorporates magnetic field decay. The same data are adequately fit by the empirical Band function. This is the first time that we give the Band function a physical meaning through directly fitting the real GRB data with a physical model incorporating fast-cooling synchrotron radiation.
Our fast-cooling synchrotron model (Uhm & Zhang 2014) involves a minimal number of physical assumptions. It is impressive that the time-resolved spectra of GRB 130606B, which are characterized by the Band function with a wide range of spectral parameters, all can be equally well fit by the synchrotron model. An α-index as hard as
can be reproduced by the synchrotron model.
Limited by the computational resources, it is beyond the scope of this paper to fit the spectra of a large sample of GRBs. With a 3.5 GHz 6-Core Intel Xeon E5 CPU on a Mac Pro workstation, it took about 160 CPU hours to finish synchrotron model fit for one time slice. Altogether it took about 4000 CPU hours to finish all the spectral fitting. The model fits to this particular GRB demonstrate that the synchrotron model can successfully explain typical Band function spectra and a systematic study of a much larger sample is highly encouraged for future studies.
We thank Xiaohong Zhao, Michael J. Burgess, Robert Preece, Linda S. Sparke, Colleen Wilson-Hodge, and Asaf Pe'er for helpful comments and suggestions. B.B.Z. acknowledges support from GBM through NNM11AA01A/MSFC. B.Z. acknowledges a NASA ADAP program (NNX14AF85G) for support. We acknowledge the use of public data from the Fermi Science Support Center (FSSC).
Footnotes
- 4
- 5
Zhao et al. (2014) proposed a different scenario by invoking decay of magnetic field locally behind the shock front within the framework of the internal shock model. They showed that by considering both synchrotron and inverse Compton cooling of electrons, the typical α ∼ −1 can also be reproduced within that model. With a small emission radius, this model may struggle to provide a natural explanation for the seconds-long pulses observed in GRBs as well as the hard-to-soft and tracking behaviors of Ep within these pulses.
- 6
The brightest one is 130427A, which is subject to saturation in the GBM TTE data, and hence not selected.
- 7
In this paper, we use the maximum likelihood-based statistics, the socalled PGSTAT, for Poisson data, given by Cash (1979), but assuming the background to be Gaussian; see also https://heasarc.gsfc.nasa.gov/xanadu/xspec/
- 8
Recent numerical simulations (e.g., Deng et al. 2015) are starting to tackle these difficult problems.
































































































































































































































































































