Abstract
This paper is the first to analyse the role of women authors in fostering justice-relevant topics in climate adaptation research. As representation, citation and payment patterns remain gender-biased across scientific disciplines, we explore the case of climate science, particularly adaptation, as its most human-oriented facet. In climate research and policy, there has been a recent surge of interest in climate justice topics: mentions of justice have increased almost tenfold in Intergovernmental Panel on Climate Change Working Group 2 reports between the latest assessment cycles (AR5 and AR6). We conduct a systematic examination of the topic space in the adaptation policy scholarship. As it is a vast and rapidly growing field, we use topic modelling, an unsupervised machine learning method, to identify the literature on climate justice and related fields, as well as to examine the relationship between topic prevalence and the gender of the authors. We find climate change adaptation policy research to be male dominated, with women holding 38.8% of first and 28.8% of last authorships. However, we observe topic-specific variability, whereby the share of female authors is higher among publications on justice-relevant topics. Female authorship is highly linked to topics such as Community, Local Knowledge, and Governance, but less to Food Security and Climate Finance. Our findings corroborate the evidence that female authors play a significant role in advancing the research and dialogue on the relationship between climate change and areas that have meaningful impact on lives of women and other marginalised groups.

Original content from this work may be used under the terms of the Creative Commons Attribution 4.0 license. Any further distribution of this work must maintain attribution to the author(s) and the title of the work, journal citation and DOI.
1. Background
Among the contributing authors to the 6th Assessment Report of the Intergovernmental Panel on Climate Change (IPCC), only 33% were female. This could be seen as a significant improvement from 1990, when the number was as low as 8%, or even 2013 with 21%. However, there is still much work to be done before gender equity can be fully realised in the climate research community, as highlighted by a recent report from the IPCC Task Group on Gender [1].
Meanwhile, women's agency has proven essential in both tackling emerging crises at the grassroots level and changing the course of international climate negotiations [2, 3]. Female representation in national parliaments has also been shown to be associated with the adoption of more stringent climate policies [4]. While ensuring equal opportunities for women's participation in science—just as in policy and activism—is necessary in and of itself from a normative perspective, we investigate whether increasing women's representation in climate science leads to overall fairer representation of the needs and interests across minority groups.
Climate change is already impacting 85% of the population worldwide, with the disproportionate share of effects falling on the most vulnerable communities [5, 6]. In addition to demanding the reduction of greenhouse gas emissions (mitigation) and adjustments to the effects of actual or expected changes in the climate (adaptation), increasingly, communities and policy makers are also demanding an equitable approach, or 'climate justice' [5, 7, 8]. Climate justice refers to a framework that, while aimed at tackling climate change, prioritises human rights [5, 7, 8], which is operationalised through distributive justice, procedural justice and recognition [5, 9].
Topics relevant to climate justice are increasingly mainstreamed in climate research and policy. Between the two assessment cycles of the IPCC (AR5 and AR6), mentions of justice in the reports of the Working Group on Impacts, Adaptation and Vulnerability have increased almost 10-fold [5, 10]. Especially in the context of climate resilient development pathways, which have been put forward as conceptualisations of pathways where mitigation and adaptation options support sustainable development for all, justice is given a central role [5].
Justice issues are particularly central to adaptation as adaptation needs are most acute and adaptive capacities low among vulnerable communities around the world [11–13], especially women, children, indigenous communities, and populations in low-income countries [3]. Such highly exposed populations historically and presently lack decision-making power while absent, delayed or misguided adaptation, or 'maladaptation' [14, 15], threatens to exacerbate multiple intersecting injustices [5, 7, 8, 16]. This highlights the urgency of centring climate research and policy around justice concerns.
As the area of climate science most closely related to human beings, adaptation creates a unique topical space, though incorporation of justice aspects is far from the norm [17], especially in empirical work [18]. In this paper, we seek to analyse the proliferation of the justice discourse in climate change adaptation research. We ask whether this increased attention has been happening in parallel with, and possibly because of, a diversifying research community, especially focusing on the role of female scientists in the field. To this end, we conduct a systematic examination of the adaptation policy scholarship. To accommodate the large and varied scholarship in this area, we make use of machine learning to create a systematic evidence map that allows us to identify prominent patterns and gaps in the rapidly expanding literature.
Specifically, we focus on two aspects [1] the diversification of topics in climate change adaptation research to include justice-relevant topics, which has previously been described at a snapshot [18] and use these insights to study [2] the relationship between the topical diversification and the demographic diversification of authors, differentiated by gender. For the second part of the analysis, we hypothesise that academic papers on climate justice-relevant topics are more likely to be conducted by female authors. We test this hypothesis for several authorship configurations papers where the conceptual author is female, where the supervisory author is female, and where most of the authors are female. The hypothesis is guided by the assumption that, as a function of dominant patriarchal norms and values, women are socialised as a minority and are thus more attuned to the needs of other underrepresented groups [19, 20]. Consequently, women scholars could be more likely to integrate justice concerns in the scholarship relevant to policy making in climate change adaptation.
The novelty of this work lies in the quantitative analysis of the effects of an author's gender on the topical output of their research. In a recent work that followed similar methods but investigated biomedical scholarship, Gonzàlez–Màrquez et al have shown that women researchers are more represented in research on nursing, education, and psychology, but are severely under-represented in disciplines related to engineering and, for example, surgery [21]. To our knowledge, a similar investigation into climate literature does not yet exist.
2. Methods
In this study we build on recent computer-assisted evidence synthesis [6, 22, 23] by exploring the prevalence of topics related to the climate justice framework and predicting the authors' gender. We apply a systematic mapping methodology and follow guidelines for high quality systematic evidence synthesis [24, 25].
We use a query previously designed by Sietsma et al [23] to search for the literature on climate change adaptation policy. The query is recorded in the supplementary table 1 and combines keywords around three themes with a boolean AND climate change, including climate-attributable extreme events adaptation, including specific adaptation options from IPCC working group 2 and policy. The search was implemented in Scopus and Web of Science on 7 December 2022, resulting in 70 319 document records after deduplication that contain author-specific information. Note that unlike previous related studies [6, 22, 23], we do not apply a ML classifier to narrow down the dataset to focus on pre-defined categories or a very specific search string [18] as we aim to explore the multiplicity of topics and a pattern of author gender distribution among them. As is common for computer-assisted evidence maps, we only retrieve the title, abstract and meta-data, not the full text.
We clean first name data for all authorship instances by removing empty records, initials, and special characters, which leaves us with 42 548 records before deriving a gender estimate as an average from a mix of open-source tools and databases, including the R gender package [26], the Python Wiki–Gendersort package [27], Python gender-guesser package [28], and the IPCC AR6 author database [29]. Although this method is imprecise, after validating the results by manually identifying the gender of 500 random authorships where the specific information or an image was available, we estimate that its accuracy is 84%, 33% (F1 0,9457, confusion matrix and full performance metrics for the estimation method are provided in supplementary tables 2 and 3). As seen from the confusion matrix, there is a slight upward bias towards prediction of 'female' authorship instances however, considering that names disregarded due to ambiguous gender estimations belong to women researchers more often [30], similarly to the records of initials instead of full first names [31] these biases should not affect the estimated gender composition of the field. For each paper in the dataset, gender estimations are derived for the first author, last author, and full author group. This is consistent with previous analyses on author gender composition [21, 31–33] first authors are generally responsible for the research, while the last author often has a supervisory or coordinating role and therefore often is more senior in the field. The meaning of being the last author across all fields however, as we do not have reason to believe that the seniority of the last author differs systematically across genders, we still take it as a proxy.
We perform the analysis on records where an unambiguous gender prediction could be derived—35 345 for first author, 34 329 for last author and 27 149 the full group. We derive geographic locations from both the institutional affiliations of first and last authors using pycountry [34]—as the affiliations do not contain much contextual information, such a dictionary-based fuzzy matching method is better suited than more complex ML methods for geoparsing. We do however use such a state of the art ML model, namely Mordecai [35] to identify place names in the titles and abstracts. Together, these are reasonable proxies for the country of residence of the author and for the place in which a study is taking place respectively, though both methods are not exact in particular, some authors do not live in the same place as their listed institution and some documents will mention places for context only.
The size and rapid growth of the literature on climate adaptation policy (figure 1) justifies implementation of a ML-assisted methodology for the exploration of the topical space. Topic modelling variations, such as Latent Dirichlet Allocation (LDA), Correlated Topic Modelling (CTM) and Structural Topic Modelling (STM) [36–38] have been widely applied to perform evidence mapping at a scale [22, 39, 40]. These unsupervised machine learning methods create a high-level overview of large text corpora by identifying clusters of documents using similar language. Previous work on the datasets thematically similar to this (in varying degrees) have shown the value of such an approach, using STM to identify temporal and geographical trends in climate change adaptation scholarship [22] CTM to analyse sentiment in mass media discourse on climate change [41] LDA to determine research gaps in research on human mobility and drought or heat [42]. Here, we applied STM to investigate the thematic content of the climate change adaptation policy literature, focusing on concepts central to the climate justice approach and the publications closely associated with these themes. STM was chosen for this analysis because it allows for the integration of metadata into the process of topic model construction [38]. It can then be used to estimate the prevalence of topics conditional on document metadata. We apply topic modelling to a dataset of texts where each unique document is represented by a title, abstract, keywords and metadata. As mentioned, working at the abstract level is common for large-scale evidence maps because titles and abstracts are information dense, they are well suited to analysing the main trends and themes while limiting computational power and related emissions. Still, this does come at the expense of more niche topics nested in the full texts.
Figure 1. Yearly and cumulative number of publications matching the search string. We observe a steady growth in the number of yearly published articles (bars). Note, that the data for the year 2022 is likely incomplete in the database by the time the query is implemented. The cumulative number of records included in the study reaches 42 548 records (line).
Download figure:
Standard image High-resolution imageA key parameter of interest for topic models is the number of topics, which determines the granularity of the analysis. During data exploration, models with between 100 and 150 topics were found to be the most promising. In line with best practice, we therefore ran multiple topic models in this range at an interval of 10 topics and assessed the results both qualitatively (i.e. looking for distinct topics on subjects of interest without substantial duplication within topics) and quantitatively (based on semantic coherence, exclusivity, and held-out likelihood). Quantitative measures for topic quality did not result in a clear best number of topics in this range. As suggested by Müller–Hansen et al, when the question one pursues to answer with the support of a topic model is qualitative in nature, the decision on the final number of topics should be based on the sought-after level of granularity and the intelligibility of the model outputs [40]. Based on expert judgement, a model with 120 topics was found to have a good balance between detail and coherence, so we further ran 20 different models at this value, varying other hyperparameters, selecting the final model in the same manner. The resulting topics were then named and categorised (see supplementary table 4) in an exercise involving 2 experts to ensure consistency. All of the related tasks were performed independently and then discussed jointly by at least one senior researcher and one post-graduate researcher.
We estimate the effects of gender variables on topic proportions controlling for publication year, gender inequality index of the country of the first or last author's institutional affiliation, journal impact factor [43], and subfield (see supplementary figure 1). After estimating topic proportions with the R stm package [38], we can extract them in a document-topic matrix format and perform a beta regression with logit link [44], which is commonly applied to variables limited to values in the interval (0,1) and unlike the former allows to preserve the continuous nature of the included control variables. However, as the stm package allows to incorporate uncertainty related to topic definition in the confidence intervals, we compare both outputs and get consistent results. We further use a sklearn.manifold Python implementation of t-SNE [45, 46] to reduce dimensionality from 120 to 2 and visualise the topic modelling output in a 2D map.
3. Results
3.1. Climate change adaptation policy research is still male dominated
In line with previous findings from different academic subfields [21, 31–33], we find climate change adaptation policy research to be male-dominated, with women holding 38.8% of first and 28.8% of last authorships. The gender analysis of the full author group shows that 15.2% research teams are gender-balanced, 22.9% are majority female compared to 61.96% majority male (figure 2). The numbers represent shares of authorships where an unambiguous gender prediction could be assigned.
Figure 2. Gender composition of the climate change adaptation policy scholarship. The shares are provided for authorship instances where an unambiguous gender estimate could be assigned.
Download figure:
Standard image High-resolution imageIt is general academic practice that the first author contributed most to the conceptualisation and analysis of a research project. With 38.8% of first authorships, female researchers publish almost as often in adaptation policy research as in other scientific fields where similar studies exist, for instance, 40% in disease-specific medical research [33], and 42.4% biomedical publishing [21]. For comparison, in the IPCC AR6, women were roughly a third of all contributing authors. As the IPCC assessment reports synthesise knowledge from 3 major areas (corresponding to the 3 working groups) physical science impacts, vulnerability and adaptation and mitigation women are least represented in physical science (27%), and most represented in impacts, vulnerability and adaptation (40%) In mitigation, women made up less than one third in mitigation of contributing authors (31%) [1]. The numbers we find, however, are higher than previously documented cross-disciplinary averages [31, 32, 47].
When examining the gender of the last author—a position that is usually attributed to the project supervisor or a research group lead—we find a larger imbalance. This finding illustrates once again the 'leaky pipeline' problem [48] where gender bias is more pronounced in higher career stages [49–52]. While we observe a steady increase in the share of publications with the first female author, the imbalance persists for the last author position (figure 3). Despite our results showing a slightly more positive picture than those described before [52], they also provide further evidence of the persistent gender gaps and highlight the importance of further work towards tackling this issue.
Figure 3. Change of average shares in first authorships, last authorships, and full group over time. The shares are computed for authorship instances where an unambiguous gender estimate could be assigned. We exclude years 1990–2007 due to incompleteness of data. Full group here is counted as 'female author' if half or more of the identified authors were female.
Download figure:
Standard image High-resolution imageThe share of papers where most of the authors are female is 22.9% in comparison to 61.96% majority male groups. These results need to be considered in the light of complementary evidence on pervasive gender disparities in the form of underrepresentation, the gender pay gap, employment patterns, and lack of or inadequate mentoring for women [1, 53–56] and discriminatory practice in collaboration, publication, and citation patterns across disciplines [43, 57–62].
3.2. Share of justice-related topics does not appear to increase over time in the broad literature corpus
Climate justice is a recent and complex term, which essentially allows us to think about climate action in the context of tackling existing injustices related to climate change (i.e. differentiated vulnerability and uneven capacity) [5, 7, 8]. Hence, we do not strictly define justice-relevant topics prior to exploring the results of topic modelling, but rather ask, among the topics identified by the machine, which ones are related to differentiated vulnerabilities, uneven capacities, and related solutions.
Through expert assessment, we identify 13 topics that are related to justice in climate adaptation policy research. Topic labels corresponding to these are the following, in the order of their prevalence in the text corpus Adaptive Capacity, Transformation Discourse, Migration, Governance, Climate Finance, Local Knowledge, Vulnerability, Rural Households, Resilience, Community, Food Security, Social Capital and Island Territories.
The topics identified with our topic modelling approach captured some, but not all, of the aspects of justice we expected to find. While general socioeconomic vulnerability topics and topics specific to grassroots communities are apparent in the corpus, there were no topics speaking to other dimensions of inequality. For instance, no topic clearly addressed gender inequality, racial injustice, or other minority groups in the context of climate change adaptation, which contradicts previous findings [18] and is likely to be the consequence of the pursued level of granularity for this work (i.e. large and diverse document sample, and topic modelling based on titles, abstracts, keywords and metadata instead of full texts). In other words these topics are less prominent, but not necessarily non-existent. Furthermore, these specific discourses could share vocabulary with other topics or lack specific vocabulary, making them harder to be recognised by the machine learning algorithm. Other socially marginalised groups that have not found prominent representation in climate change policy adaptation research were the LGBTQ+ community, differently abled persons, and caregivers.
It is difficult to say categorically how many documents need to discuss a topic for it to appear in a topic model as it depends on hyper-parameters, the consistency of the language used, and the stochastic component of the model, among other factors. Still, given that these issues were also not apparent in topic models with higher numbers of topics (up to 160), it seems likely to us that these topics feature prominently in less than 1% of adaptation policy literature.
In our corpus, the share of justice-related topics in adaptation research seems to—if anything—moderately decline over time (figure 4). These results appear in contrast to the increased attention from the IPCC [5, 10]. There is a peak prior to and right after Paris, but by the end of the included period, the total share of all included topics is under 0.15. This could be explained by the diversification of the field and the shift from vulnerability to solutions [22].
Figure 4. Changes in the literature over time—shares of climate justice-related topic proportions. The shares are computed yearly as a sum of topic-specific scores divided by the total number of documents published in a given year. We exclude years 1990–2007 and 2022 from the visualisation due to incomplete data. Topic scores are assigned in the interval (0,1) and are not exclusive. Topic proportions are computed by the machine based on how well the vocabulary of a given text matches the topic-specific vocabulary.
Download figure:
Standard image High-resolution image3.3. Female authorship is associated with a higher probability of justice topics inclusion
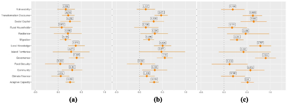
We have cross-examined the effects from the STM regression and the beta-type regression with a logit link (supplementary tables 5–7) and found them to be consistent in both the sign and significance. To increase the robustness of the estimates of the effect of the author's gender on topic prevalence, we have implemented controls such as year, journal impact factor, gender inequality index (for the country of the institutional affiliation), and subfield. We find that female authors are 4.2%–90.3% more likely than their male counterparts to bring in topics related to climate justice to adaptation scholarship, whereby the numbers vary by topic and authorship position (figures 5(a)–(c)). We find the effect of female authorship to be most prominent on topics such as Community, Local Knowledge, and Governance, followed by Transformation Discourse, Social Capital, and Resilience. Insignificant at 95% confidence but still positive effects are observed on Vulnerability, Rural Households, Island Territories, Food Security, and Climate Finance. The variation in the results is attributed to the level of authority or effective power different authorship positions are associated with. The effects were higher for the last author gender compared to the first author gender, and higher again for full group gender, supporting the argument for higher women's participation rates leading to a higher focus on justice-related topics.
Figure 5. (a)–(c). Relative difference (female-male) in topic proportion based on author's gender for justice-relevant topics with a 95% confidence interval. (a) Effect of first author's gender (b) effect of last author's gender and (c) effect of predominant researcher's gender in the full group. The estimates are derived from the STM regression, which incorporates uncertainty in topic score assignment, as shown in the uncertainty intervals. We present relative difference in topic proportion, whereby the mean effect is divided by mean topic proportion in the corpus.
Download figure:
Standard image High-resolution imageA 2D visualisation of the topical space (figures 6(a)–(f)) shows that justice-related topics are semantically tightly related. In this manner, document clusters associated with Transformation Discourse, Governance, Migration, Local Knowledge, Island Territories, Resilience, Rural Households, Climate Finance appear close to one another. Documents with female authorships appear more often in the same clusters, including also Public Perception and Health.
Download figure:
Standard image High-resolution imageDownload figure:
Standard image High-resolution imageFigure 6. (a)–(f). Gender composition in adaptation policy scholarship. (a) Shows the gender of the first authorship per paper. Each of the visualisations (d)–(f) show a close-up of the topical space around the clusters of justice-relevant topics.A 2-dimensional map of the topical space, where the 120 dimensions of the topic model are reduced to two so that each document can be plotted as a single dot, where the algorithm attempts to keep documents with a similar topic distribution close together. As we reduce the dimensionality, the axes have no meaningful unit—see section 2. Every dot is coloured by author gender identified as described in section 2, and labels are added for locally dominant topics. Transparency of a dot is based on 'climate justice score'—a composite measurement that represents a sum of the topic scores of all relevant topics. As such, it is not strictly limited to the (0,1) interval as the topic scores are non-exclusive.
Download figure:
Standard image High-resolution image3.4. We observe different shares of female authorships across regions and varying focus points in justice-relevant literature
The shares of female first authorships are well below average in South Asia (27.8%), Sub-Saharan Africa (28.7%), and Middle East & North Africa (30.6%) (figure 7). The highest shares are observed in Europe & Central Asia and North America (42.1%), which supports previous findings on disproportionate under-representation of female authors from the Majority World [63]. Last authors in Middle East & North Africa are only 57.2% as likely to be women as the first authors, and 66.9% in South Asia, in comparison to 80% in Latin America & Caribbean and 86.8% in Sub-Saharan Africa.
Figure 7. (a), (b). Share of female (a) first and (b) last authors by world regions. The shares are calculated for authorship instances where an unambiguous gender estimate could be derived. The data is split into world regions based on the country of the author's institutional affiliation.
Download figure:
Standard image High-resolution imageIt has been shown that the scientific output on climate adaptation is smaller in the countries of the Global South, and our results suggest that this research is more often focused on justice-relevant topics (figures 8(a)–(d)), although this interacts with gender and author seniority. For example, the highest share of documents addressing justice related topics is found where the first author is female and affiliated to an institution in Sub-Saharan Africa (86.1%), followed by studies male first authors from Sub-Saharan Africa (78.2%). Although studies with female first authors from North America are more likely to discuss justice topics (75.8%) than studies female first authors from Europe & Central Asia (71.9%), these in turn were more likely to discuss justice topics than studies with male first authors from North America (68.5%). However, when it comes to last authorships, studies with male or female last authors from South Asia are more likely to discuss justice topics (67.3% and 74.1%) than studies with male or last authors from North America (66.4%) but less so than female authors from North America (77.2%).
Figure 8. (a)–(d). Share of documents representative of a climate justice topic per (a), (b) region identified from country name based on the author's institutional affiliation and (c), (d) region identified by geoparsing text at title and abstract level, and split by (a), (c) first author's gender and (b), (c) last author's gender. A document is considered representative of a relevant topic if the topic score assigned to the text is higher than twice the mean topic proportion in the corpus, and if this requirement is met for any of the justice-related topics, we count the document towards the shares presented in this figure.
Download figure:
Standard image High-resolution imageWe also explored the geographic differences in topic-specific scores for topics related to climate justice. Due to the multiple ways of assigning documents to geographical areas, we did not control for geography at the stage of topic model definition, which means that differences in content by geography were not explicitly modelled, but we are able to calculate relative shares of documents representative of each topic to the total output per region (figures 8(a), (b) and 9(a)–(c)). We found that topics such as Migration and Adaptive Capacity are the most researched topics in North America, Europe & Central Asia, and East Asia & Pacific respectively, while the topic on Rural Households is dominant in South Asia and Sub-Saharan Africa, and Vulnerability—in Latin America and Caribbean, and Middle East & North Africa. We also found that in proportion to the entire scholarship from a region, justice topics were central to more papers in South Asia and Sub-Saharan Africa (from 2.5% to 40.6% of the documents were on these topics) compared to any other continent (from 3.6% to 18%).
Figure 9. (a)–(c). Heatmap of the percentage of documents relevant to each of the included climate justice topics from the set of documents associated with this region for (a) first author's institutional affiliation, (b) last author's institutional affiliation and (c) geo-parsed location from title and abstract.
Download figure:
Standard image High-resolution imageA document is considered representative of a relevant topic when its topic score is above twice the corpus average score of this topic, which is an arbitrary threshold. The count of documents corresponding to each topic is then divided by the total count of documents per region, which is how we derive the shares. The colour of a cell is based on the topic's level of representation within the region (as compared to other topics). It is red [1], when a topic has the highest share of documents compared to other topics in this region, and light blue (0) for the lowest.
4. Discussion
The most inclusive and transparent scientific processes have been shown to provide outcomes that are not only most equitable but that also reflect the best available knowledge [33, 64–66]. Given the urgency of adapting to climate change, it is vital that relevant scholarship, and its assessment by the IPCC, is inclusive and equitable.
Our results confirm the need for continued efforts towards enhancing gender equality in academia. We further demonstrate that there is particular urgency for tackling gender-based discrimination in developing countries, where women are more likely to experience intersecting pressures, and researchers are more likely to contribute to climate justice topics.
We do not argue that men and women possess any inherent qualities that make them more or less likely to choose any topic. Rather, prevalent socio-cultural norms, rules and values would condition women to be more attuned to injustice and would have made it easier for men to ignore injustice [19, 20]. Another explanatory factor could be that fields of research in adaptation policy which do not adequately address climate justice concerns have been slower to combat the historical under-representation of women in the academy.
With some topic-specific variability, female authors publish research on adaptation that incorporates justice topics more often than their male counterparts, the tendency appearing stronger the more authority an authorship instance is associated with. This corroborates the evidence that encouraging diversity in research teams as well as in policymaking processes ensures higher fairness of the procedures and outputs [33, 65, 66].
Disentangling specific causal effects of the author's gender on topic preference can be challenging and one must interpret the results of this analysis with a degree of caution, keeping in mind the following limitations. Firstly, the omnipresence and implicitness of bias in social structures, which is mirrored in data and replicated in ML models [67, 68], makes it difficult to discern discourse relevant specifically to minority groups. Secondly, our analysis rests on the binary definitions of gender (men vs. women), although gender is more complex than that [69].
One must also be cautious when examining the gendered literature landscape as the underlying patterns could be reinforced by women's network- or opportunity-driven preference for better gender-balanced subfields and research groups [70, 71]. Further possible counter arguments to the case that women in climate science could also be agents for other marginalised groups include, for instance, the pressure women experience to comply with dominant scientific practices, or the phenomenon of women researchers being 'ghettoed' into certain scientific domains considered 'more suitable' for them. We also note that combating the under-representation of women in climate adaptation policy literature is a necessary but not sufficient condition towards ensuring that the literature adequately represents diverse climate justice perspectives. Future analysis may investigate the extent to which other marginalised groups are under-represented in different topics within the literature, including where different marginalised characteristics intersect. However, increased attention to justice-related topics could make adaptation science a more welcoming space to women and other minority groups.
The methods described here can be replicated and applied to different datasets, as well as enhanced through implementation of a different gender estimation tool or further machine-assisted topical classification as described in previous literature. Further research could also engage in the analysis of the funding source and its effect on the topical contents and research group characteristics.
5. Conclusion and further work
Further substantiation of the causal links between author's gender identity and the topical output of their research would warrant qualitative research. For example, an in-depth review of the articles associated with climate justice topics could potentially enable us to determine the degree to which these are representative of the interests of the socially marginalised groups. Or, in-depth interviews with authors, both male and female, would provide additional empirical material for further investigation of the causal relationship.
Feminist scholarship stresses the importance of the intersectional approach to investigations of the influence of gender on a topic of interest because different forms of inequality and sources of social discrimination intersect and reinforce one another [1, 72, 73]. With our dataset, we are able to 'scratch the surface' of intersectionality by analysing geography-specific author gender composition. However, more nuanced analyses would, in addition to gender, include, for example, race, class, or income status, but this is infeasible by only analysing the bibliographic data.
Producing scientific evidence specific to the experiences of the most vulnerable groups is integral to enabling non-discriminatory climate action [5, 73]. It is thus critical to ensure that research production and publication processes are inclusive of the socially marginalised groups that vulnerable actors are given the chance to speak up, participate, and make their concerns not only heard, but also acted upon. Ensuring inclusivity among authors should lead to a more inclusive topical space and contribute to more justice-attuned policy making and a more resilient future for all.
Acknowledgments
This research has been possible thanks to the support from the Mercator Research Institute on Global Commons and Climate Change. MA also acknowledges the support by the Horizon Europe project SPARCCLE (Grant 101081369).
Data availability statement
Bibliometric data was gathered from Scopus and Web of Science on 7 December 2022 using NACSOS (https://zenodo.org/records/4121 526). All code and data used in this analysis are available from https://github.com/di-danilenko/gender_climate_justice/.
The data that support the findings of this study are openly available at the following URL/DOI: https://doi.org/10.5281/zenodo.10600795.
Conflict of interest
The authors declare no competing interests.













