Abstract
Lithium disilicate glass ceramics with improved properties were prepared via a thermal treatment method by varying its composition. This study aims to investigate the influence of the concentration of Al2O3 additive oxides on the phase formation and mechanical properties of lithium disilicate glass ceramics prepared by conventional method. The Al2O3 concentration used are 3.0, 4.5, and 6.0 mol% for LCA1, LCA2, and LCA 3, respectively. As the content of Al2O3 increased the glass transition temperature (Tg), the crystallization temperature (Tc), phase formation, and mechanical properties of lithium disilicate glass ceramics varied considerably, demonstrating the substantial effect of Al2O3. After heat treatment at 600 °C and 800 °C for 1 h, the x-ray diffraction results showed that the major phase in all the glass-ceramic samples was Li2Si2O5 and the minor phases were CeO2, LiAlSi3O8, quartz, and Li2SiO3. For the lowest content of Al2O3, the highest flexural strength and Vickers hardness were obtained as 188.34 MPa and 776 HV, respectively. These results were attributed to the interlocking microstructure of rod-like Li2Si2O5 in the LCA1 sample.
Export citation and abstract BibTeX RIS

Original content from this work may be used under the terms of the Creative Commons Attribution 4.0 licence. Any further distribution of this work must maintain attribution to the author(s) and the title of the work, journal citation and DOI.
1. Introduction
The properties exhibited by glass-ceramics are an integration of the properties of ceramics and glasses that are generated via the controlled crystallization of glasses [1]. Glass-ceramics are applied in dental restoration materials owing to their high mechanical strength, low density, biocompatibility and high aesthetic properties [2, 3]. These properties rely on the heat treatment process, changing composition, and manufacturing techniques of glass [4, 5]. The commercial glass-ceramics used for dental restoration materials include mica-based, leucite-based, and lithium disilicate glass-ceramics [6]. Among these materials, lithium disilicate glass-ceramics have been commonly used for dental inlays, onlays, crowns, splints, connectors, and bridges because of their excellent mechanical strength and translucency [7, 8].
The lithium disilicate glass-ceramics (LS; Li2Si2O5) based on the Li2O-SiO2 glass system, which entails oxides, are produced by mixing, melting, and heat treatment processes [9–11]. Initially, the LS is crystallized in the glass to form the lithium metasilicate (Li2SiO3) at low temperatures, which then reacts with SiO2 to form LS at high temperatures [12]. Since Stookey studied the stoichiometric LS, several factors that affect the properties of LS have been reported [13]. The properties of LS were varied by varying the glass composition and heat treatment process [14–16]. Moreover, various additives have been employed to control microstructures such that the appropriate optical and mechanical properties are obtained. For example, P2O5, TiO2, Nb2O5, and ZrO2 were used as nucleating agents to promote phase separation and reduce the crystallization temperature [17–19]. K2O and MgO can reduce the softening point and viscosity [20, 21]. Furthermore, Al2O3 can improve chemical stability, optical translucency, and mechanical strength [22–24]. Nevertheless, the cause for the improvement of these properties owing to Al2O3 was not completely clear. Therefore, we intend to study the impact of Al2O3 on the properties of LS; the results obtained can help develop the properties of dental glass-ceramics.
This study investigates the effects of Al2O3 on the phase formation and mechanical properties of LS glass-ceramics based on the SiO2-Li2O-K2O-P2O5-CeO2-Al2O3 glass system prepared via the conventional melt quenching method. The phase formation, microstructure, density, as well as the optical and mechanical properties were investigated.
2. Materials and methods
2.1. Glass and glass-ceramic preparation
The raw materials for the preparation of glass were the analytic grade of SiO2, Li2CO3, K2CO3, (NH4)2HPO4 and CeO2 from Sigma-Aldrich Pte. Ltd, Singapore. Then, Al2O3 was added to the glass composition in amounts of 3.0, 4.5, and 6.0 wt%. These glasses were represented with LCA1 (3.0), LCA2 (4.5), and LCA3 (6.0), respectively. Table 1 summarizes the content of each component. Homogenized batches were melted in an alumina crucible at 1450 °C for 2 h in a high-temperature furnace. The molten glass was briefly quenched in a preheated metal mold (500 °C) and transferred to anneal in a furnace at 500 °C for 2 h after that the annealed glass samples were cooled down to room temperature. The annealed glass samples were then heat-treated with two-stage crystallization at 600 °C and 800 °C for 1 h with the heating rate of 2 °C min−1 in air atmosphere and followed by cooling to room temperature.
Table 1. Composition of LCA glass.
| Sample | Composition (mol%) | |||||
|---|---|---|---|---|---|---|
| SiO2 | K2O | Li2O | P2O5 | CeO2 | Al2O3 | |
| LCA1 | 66 | 2 | 27 | 2 | 0.1 | 3 |
| LCA2 | 65.5 | 2 | 26 | 2 | 0.1 | 4.5 |
| LCA3 | 65 | 2 | 25 | 2 | 0.1 | 6 |
2.2. Differential thermal analysis (DTA)
The differential thermal analyzer (TG-DTA 8121, Rigaku, Japan) was used to characterize the glass transition temperatures (Tg), crystallization temperatures (Tc), and melting temperatures (Tm) using analytical grade Al2O3 powder as reference material at a heating rate of 10 °C min−1 from room temperature to 1200 °C.
2.3. X-ray diffraction analysis (XRD)
The x-ray diffractometer (XRD SmartLab, Rigaku, Japan) was applied to investigate the phase formation of the LS phase at 30 mA and 45 kV with Cu-Kα radiation using the scanning from 10° to 60° with a scanning speed of 10° min−1. JCPDS numbers to identify the crystalline phases in controlled heat-treated glass samples.
2.4. Scanning electron microscopy (SEM)
The LV-Scanning Electron Microscope (JSM-IT300LV, JEOL, Japan) was used to investigate the microstructure. The surface of the samples was polished and etched with a 2 vol% HF solution for 30 s. Then the samples were coated with gold with ion sputtering device (JFC-1200, JEOL, Japan) for 30 s.
2.5. Mechanical properties
The mechanical properties were investigated by microhardness and three-point bending tests. The microhardness tests, including Knoop and Vickers hardness tests (Buehler, Karl Frank GMBH Type-38505, USA), with applying loads of 1 kg for 15 s were used to analyze the mechanical properties of the glass-ceramic samples [25]. The Vickers hardness (HV) can be calculated using the following equation (2):

where, 1.8544 is a constant geometrical factor for diamond pyramid, P is the applied load in the unit of kilograms, and d is the diagonal length of the indenter impression in the unit of micrometers.
The fracture strength (
) in the unit of MPa can be used for the three-point bending test according to ISO 6872 [26] by a universal strength machine (Hounsfield, H10Ks, USA) with a crosshead speed of 0.5 mm min−1 and the test span (the center-to-center distance between support rollers) of 30 mm. The three-point flexure is calculated using the following equation (2):

where, P is the breaking load in the unit of N, while the width, the thickness of the samples, and the test span are represented by w, b, and l in the unit of millimeter, respectively.
2.6. Translucency characteristics evaluation
The translucent values representing with real in-line transmission (RIT) [14], were measured by the ultraviolet-visible spectrophotometer (Lambda 35, Perkin Elmer, USA) in the wavelength range of 300 nm to 800 nm. The samples, with length, width, and thickness of 10, 10, and 2 mm, respectively, were polished serially similarly to the preparation of the samples for the SEM analysis.
3. Result and discussion
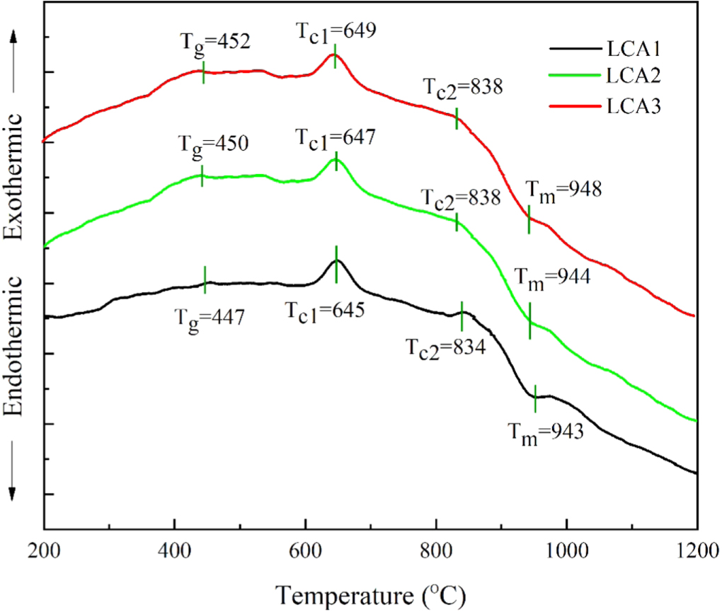
Figure 1 shows the DTA curves of the LCA powder at a heating rate of 5 °C min−1. The results show two exothermic peaks in the ranges of 645 °C–649 °C and 834 °C–838 °C for each glass sample. These results could be associated with the formation of the crystalline phases Li2SiO3 and Li2Si2O5, respectively. Generally, Li2SiO3 was found at low temperatures in the range of 590 °C–750 °C, while Li2Si2O5 appeared at high temperatures in the range of 780 °C–820 °C, which agrees with the results obtained by Holand et al [27] and Wen et al [28], as shown below.


Figure 1. DTA curves of the LCA powders with a heating rate of 5 °C min−1.
Download figure:
Standard image High-resolution imageIt can be noted that the values of all thermal parameters namely the glass transition temperature (Tg), the crystallisation temperature (Tc), and the melting temperature (Tm) slightly increased with the increase in Al2O3 content. This may be because Al2O3 behaves as a network modifier, resulting in a high viscosity. This result is consistent with those by Fluegel [29] and Fernandes [22], who reported that Al2O3 usually increases the viscosity of glass, caused by the elimination of non-bridging oxygen sites.
To interpret these DTA peaks, all the glass samples were heated in two stages—at 600 °C for 1 h and 800 °C for 1 h (600/800 °C). Bai et al [24] found that when the glass samples are only heated at the crystallization temperature of Li2Si2O5, the number of nuclei is low, and unstable phases such as Li3PO4 and Li2SiO3 crystals are obtained [18]. By contrast, when the glass is treated via a two-stage heat treatment, the number of nuclei is greater, and the Li2Si2O5 crystal can grow sufficiently and transforms into a stable rod-shaped phase that has high strength. The occurrence and amount of the various phases formed in the prepared thermally treated glasses were dependent on the Al2O3 content. The XRD results of all samples after heat treatment are shown in figure 2. These results indicate that the major phase of the glass-ceramic samples correlate with the phase of Li2Si2O5 as expected from Reactions (1) and (2) with small amount of CeO2 which is one of the precursors in all samples. The intensity of Li2Si2O5 decreased with increasing concentration of Al2O3. In addition, there are additional phase such as, LiAlSi3O8, quartz, and Li2SiO3 presented in LCA2 and LCA3. Li2SiO3 is only observed in the LCA3 which is the sample with the highest concentration of Al2O3. LiAlSi3O8 and quartz are present in LCA2 and LCA3 which are the samples with higher concentration of Al2O3. No additional phases observed in LCA1 where the concentration of Al2O3 is the lowest. It can be noted that these additional phases are either the precursor of Reaction (2) (Li2SiO3 or SiO2 as quartz) or the unexpected product of Reaction (2) (LiAlSi3O8). In summary, the XRD results imply that the increase of the Al2O3 concentration reduces the efficiency of the Reaction (2). The reduction of the Reaction (2) efficiency is likely related to the increase of thermal parameters of LCA samples because of the increasing Al2O3 concentration as discussed earlier. Although Al2O3 additive can improve the overall properties of the LS glass-ceramic, the appropriate concentration needs to be carefully considered to maximize the overall properties of LS glass-ceramic. When the concentration of Al2O3 is too high, the desired phase of Li2Si2O5 decreased while many unwanted phases such as LiAlSi3O8, quartz, and Li2SiO3 increase, giving rise to the overall reduction of the desired properties of the LS glass-ceramics.
Figure 2. Shows XRD patterns of glass-ceramic samples with various amounts of Al2O3 after heat treatment at 600/800 °C (Li2Si2O5: JCPDS file 01-072-0102; Li2SiO3: JCPDS file 00-029-0829; LiAlSi3O8: 00-011-0406; CeO2: JCPDS file 01-081-0792; Quartz: JCPDS file 01-070-2538).
Download figure:
Standard image High-resolution imageThe morphology and grain size of the Li2Si2O5 and Li2SiO3 crystals were also approximately related to the Al2O3 content, as shown in figure 3. The surfaces of the LCA1 samples had closely packed and multi-directional interlocking microstructures of Li2Si2O5 crystals with a rod-like morphology distributed on the glass-ceramic surface. This may be due to the nucleation density of Li2Si2O5 from the reaction between Li2SiO3 and SiO2, both of which were completely consumed. For LCA1, the length of the Li2Si2O5 crystals was in the range 1–1.5 μm with aspect ratios approximately in the range 3–5 (figure 3(LCA1). While LCA2, the crystallization density of the microstructure decreased and the grain size of Li2Si2O5 crystals with a rod-like morphology further decreased to the range 0.6–0.8. μm. Nevertheless, when the amount of Al2O3 increased (in LCA3), the morphology of the crystals was spherical, indicating that the Li2SiO3 crystals had grown sufficiently. The average diameter of the crystals decreased along with their aspect ratio (approximately 1–2). Moreover, this result can be explained by the fact that in the case of LCA1, the crystallization of Li2Si2O5 from Reaction (2) reached saturation when Li2SiO3 was completely consumed at 600/800 °C. However, when the amount of Al2O3 increased the reaction between Li2SiO3 and SiO2 was inadequate because Al2O3 took part in the reaction to form LiAlSi3O8, quartz, and Li2SiO3, thus decreasing the amount of Li2Si2O5 crystals.
Figure 3. Micrographs of the surfaces of the glass-ceramic samples after heat treatment at 600/800 °C.
Download figure:
Standard image High-resolution imageMoreover, it can be noted that the surface of LCA3 presented higher porosity than those of LCA1 and LCA2, which would hinder the grain growth and inhibit the continuity between the grains, resulting in a lower mechanical strength [14, 30].
Figure 4 illustrates the flexural strength and Vickers hardness of the LCA samples. The data shows that the highest flexural strength and Vickers hardness (∼188.34 MPa and 776 HV, respectively) were obtained with the LCA1 sample. Moreover, the flexural strength and Vickers hardness decreased as the concentration of Al2O3 increased. Generally, the mechanical strength of the samples was strongly influenced by their crystallinity, porosity, and morphology [31]. In this study, it can be noted that LCA1 demonstrated the highest crystallinity of Li2Si2O5 with a rod-like morphology and a high aspect ratio of 3–5. According to Cramer's study [32], a microstructure with elongated grains and an aspect ratio of 2–6 displays excellent mechanical strength. Moreover, the detected minor phases of LiAlSi3O8 and quartz, which behave as weak phases in the LCA2 and LCA3 samples, limit the binding effect of the glass phase and thus inhibit densification.
Figure 4. Flexural strength and Vickers hardness of glass-ceramic samples with different Al2O3 contents after heat treatment at 600/800 °C.
Download figure:
Standard image High-resolution imageWhen considering the crystal morphology of LCA1, the rod-shaped Li2Si2O5 crystals that are distributed on the surface samples from an interlocking microstructure and hinder crack propagation, thus enhancing flexural strength. Apel et al [33] explained that the interlocking microstructure of lithium disilicate crystals can delay and even prevent crack propagation and consequently hinder the usual crack development observed at the weaker interfaces between the crystals. However, for LCA2 and LCA3, the increase in the amount of Al2O3 affected the flexural strength of the glass samples. This is because the increase in Al2O3 content hindered the attainment of the appropriate morphology of the obtained crystals owing to the corresponding increase in the viscosities or network strengths of the glass samples. The mobility of the resulting ions was impeded by the high viscosity, thus decreasing the rate of the solid-state reactions that resulted in the crystalline precipitate [31]. The Comparative chart showing flexural strength and vicker hardness values of glass-ceramic for dental applications are shown in table 2. In this study, lithium disilicate glass has the highest value of Vickers hardness. The better mechanical properties could be attributed to the development of Li2Si2O5 phase.
Table 2. Comparative chart showing flexural strength and vicker hardness values of glass-ceramic for dental applications.
| Materials | Mica–based | Leucite–based | Zirconia reinforced lithium silicate | Lithium disilicate | Lithium disilicate |
|---|---|---|---|---|---|
| Flexural strength (MPa) | 90–130 | 80–120 | 450 | 350–450 | 188.34 |
| Vickers hardness (HVN) | 408–663 | 663 | 663 | 408–663 | 776 |
| References | [34, 35] | [36, 37] | [11] | [4, 14] | This study |
The real in-line transmission in the LCA samples is shown in figure 5. The LCA1 sample had the highest real in-line transmission (2.05%), while it was slightly lower in the LCA2 and LCA3 samples. This result was dependent on light scattering owing to the crystallinity and crystal size of the precipitate crystal, particularly, Li2Si2O5 [14].
Figure 5. Real in-line transmission of the LCA samples after heat treatment at 600/800 °C. *The analytical uncertainty in this measurement is estimated to be 1.0%T with is the highest value of stray light specified by the UV/Vis spectroscopy used.
Download figure:
Standard image High-resolution imageIPS e. max Press is a lithium disilicate glass-ceramic ingot that is generally used for pressing. The production process creates homogeneous ingots at different levels of translucency. The samples are pressed in a furnace to produce dental restoration products with excellent accuracy of fit. Figure 6 shows the LCA1 samples heated at 600/800 °C after being pressed into the shape of a dental crown.
Figure 6. LCA1 sample heated at 600/800 °C (left), and the completely pressed object (right).
Download figure:
Standard image High-resolution image4. Conclusion
This study determined the effect of Al2O3 on the phase formation and mechanical properties of a lithium disilicate glass-ceramic system via the conventional melting technique. Increasing the Al2O3 content had a considerable effect on the crystallization temperature and phase formation of the samples. The results demonstrate that the LCA1 samples consist of Li2Si2O5 as a major phase and CeO2 as a minor phase. When increasing the content of Al2O3, the second phase was formed owing to the incompletely reaction between the Li2SiO3 and impurity of Al2O3. The highest mechanical strength correlated with the interlocking structure of the rod-like crystals of Li2Si2O5. For application in dental restoration, further studies should be conducted on optimizing the content of Al2O3 and obtaining appropriate processing conditions.
Acknowledgments
The authors would like to thank the National Research University Project under Thailand's Office of the Higher Education Commission, Thailand, Department of Physics and Materials Science, Faculty of Science, Chiang Mai University, Rajamangala University of Technology Phra Nakorn and Faculty of Science and Technology, Thailand for financial support.





