Abstract
The net climate impact of gas and coal life-cycle emissions are highly dependent on methane leakage. Every molecule of methane leaked alters the climate advantage because methane warms the planet significantly more than CO2 over its decade-long lifetime. We find that global gas systems that leak over 4.7% of their methane (when considering a 20-year timeframe) or 7.6% (when considering a 100 year timeframe) are on par with life-cycle coal emissions from methane leaking coal mines. The net climate impact from coal is also influenced by SO2 emissions, which react to form sulfate aerosols that mask warming. We run scenarios that combine varying methane leakage rates from coal and gas with low to high SO2 emissions based on coal sulfur content, flue gas scrubber efficiency, and sulfate aerosol global warming potentials. The methane and SO2 co-emitted with CO2 alter the emissions parity between gas and coal. We estimate that a gas system leakage rate as low as 0.2% is on par with coal, assuming 1.5% sulfur coal that is scrubbed at a 90% efficiency with no coal mine methane when considering climate effects over a 20 year timeframe. Recent aerial measurement surveys of US oil and gas production basins find wide-ranging natural gas leak rates 0.65% to 66.2%, with similar leakage rates detected worldwide. These numerous super-emitting gas systems being detected globally underscore the need to accelerate methane emissions detection, accounting, and management practices to certify that gas assets are less emissions intensive than coal.
Export citation and abstract BibTeX RIS

Original content from this work may be used under the terms of the Creative Commons Attribution 4.0 license. Any further distribution of this work must maintain attribution to the author(s) and the title of the work, journal citation and DOI.
1. Introduction
Fossil fuel combustion is reported to emit up to three-quarters of anthropogenic greenhouse gas (GHG) emissions [1, 2]. According to standard combustion factors, coal emits twice as much CO2 than gas per million British thermal units (MMBtu) of energy generated [3, 4]. But coal and gas can also leak methane at the mine and through the supply chain, respectively. Burning coal also co-emits sulfur dioxide, a precursor to sulfate aerosols, that cause significant damage to health and the environment [5]. In response, global efforts are underway to phase out coal to address climate change, air quality, and public welfare concerns [6].
Numerous studies compare varying temporal and spatial climate impacts of gas utilization compared to coal on an electricity basis [7–9]. These studies find that, if 2%–5% of natural gas produced leaks along supply chains, the electricity generated by natural gas is on par with coal plants in terms of the climate impact over a 20 year timeframe [10–12]. Considering the climate impact over a 100 year time frame, methane leakage rates up to 9% from gas are reported to benefit the coal-to-gas shift in power plants in numerous geographies [7].
But gas is used more broadly as an industrial, commercial, and residential energy source for fuel, steam, heat, and power [13]. Therefore, in this study, we analyze emissions intensity on an energy basis, considering variable methane leakage from gas systems, methane leakage from coal mines, and masking of warming from sulfate aerosols produced from sulfur dioxide (SO2) released when burning coal. We find that the benefits of gas do not outweigh coal at certain methane leakage rates. Drawing parity in emissions is timely because satellites are detecting highly variable methane leakage from gas and coal infrastructure [14, 15].
2. Comparing gas and coal climate impacts
Our baseline analysis considers life-cycle gas and coal emissions from a global perspective derived from previous studies and meta studies. We estimate the parity between gas and coal emissions at varying methane leakage rates. We then conduct a scenario analysis to identify conditions whereby lower methane leakage rates from gas result in parity with coal life-cycle emissions intensities. In these scenarios we factor in different coal sulfur contents, coal flue gas scrubber efficiencies, methane leakage rates, sulfate aerosol climate interactions, and evaluate climate effects over two timeframes using 100- and 20 year global warming potentials (GWPs).
2.1. Schematic of warming from coal and gas
Burning coal emits CO2 and SO2, while burning natural gas emits CO2 but no appreciable SO2. Both coal and gas can leak methane. As such, the CO2 from coal has a warming effect but the sulfate from coal has a cooling effect; in contrast natural gas predominantly warms the planet, as shown in figure 1.
Figure 1. Schematic of coal versus gas warming and cooling effects on the climate. Source: authors' rendition. Note: life-cycle emissions include extraction, processing, transport, waste disposal, infrastructure construction and decommissioning, and end use combustion. Produced gas can also contain sulfur. But, in general, this is removed as elemental sulfur or sulfur compounds (valuable commodities) rather than combusted into SO2.
Download figure:
Standard image High-resolution image2.2. Study inputs
2.2.1. Timeframes
GHGs warm the planet over different time horizons. CO2 is a long-lived climate pollutant that resides in the atmosphere for centuries [16]. Conversely, methane is a short-lived gas that warms with a lifetime of about a decade [17]. SO2 is oxidized in the atmosphere to form sulfate particles, which cool (or effectively mask the warming done by other GHGs) but have a lifetime of a few days against deposition [18, 19]. The GWP metric introduced in 1990 indexes the time-integrated warming effect from a mass (1 kilogram) of a given GHG into the atmosphere relative to CO2. Climate effects are commonly considered over two timeframes: 20- and 100 year [17]. Recent studies estimate stronger positive GWP for methane compared to a larger negative GWP for sulfur dioxide (SO2), as displayed in table S2. In this study, we evaluate the effects of life-cycle CO2-equivalent (CO2e) emissions on both a 20- and 100 year timeframe.
2.2.2. Gas content
Produced gas is mostly made up of methane that ranges from <70% to >90% [20]. The remainder of gases in natural gas can include CO2, hydrogen sulfide, oxygen, nitrogen, BTEX (benzene, toluene, ethylbenzene, and xylene), radon, and other chemical contaminants [21]. Impurities are removed during natural gas processing [22]. Gas transported to utilities to generate power has a relatively standard composition: mostly methane with natural gas liquids, nitrogen, oxygen, sulfur, and other impurities [22]. Depending where in the supply chain gas is leaked, varying amounts of methane can be released depending on the chemical composition at that point. For the purposes of this analysis, the methane content of gas is uniformly assumed to be 89.3% [23].
Some gas fields are acidic and sour, containing hydrogen sulfide (H2S). H2S can be deadly when leaked and it is highly corrosive to pipes and equipment. The majority of H2S is removed during gas processing (as elemental sulfur and other valuable sulfur-based commodities). No SO2 is emitted in end uses when consumers burn gas. Minimal amounts may be present in gas plant effluent streams, however, as discussed in the SI.
2.2.3. Methane leakage
Methane can be emitted from both coal and gas operations, including coal mines and conventional and unconventional gas systems. Unconventional gas includes coalbed methane (CBM), a production method that taps coal seams. Coal mine methane (CMM) is attributed to coal production systems, while leakage from CBM is attributable to gas supply chains.
Observed methane leakage rates from coal and gas are wide ranging [14, 15, 24]. Table S5 surveys US methane leakage from gas production systems from <1% to >66%. Additional methane leakage occurs across gas value chains. And the growing array of methane-sensing satellites will increasingly measure global methane leakage, especially from super-emitting point sources.
Underground coal mines and surface hard coal mines account for 91% and 9% of global CMM emissions, respectively [25]. The IPCC has established a CMM emission factor of 18 cubic meters methane per tonne of coal mined (m3 methane/t) [25]. Other studies reference a range of CMM emission factors, from low methane content mines with 0.74 m3 methane/t, high methane content mines with 11.43 m3 methane/t, and outburst methane content mines with 40.95 m3 methane/t [26, 27]. Super-emitting methane sources from venting coal mines in the US (Pennsylvania) have been detected via aircraft at 6.7 m3 per tonne of coal, which is within this range [28]. We use the IPCC emission factor in our baseline analysis and bound it with low methane and outburst content mines.
2.2.4. Sulfur content
In addition to emitting CO2 and methane, gas and coal resources contain sulfur in varying amounts. The sulfur in gas is removed during processing before it is consumed because it is caustic and corrodes pipelines. Therefore, burning gas does not produce sulfur dioxide (SO2). The sulfur in coal, however, remains embedded through the life-cycle and is ultimately combusted into SO2—a regulated pollutant that forms aerosols and leads to other environmental and health concerns [29]. Coal sulfur content is reported <1% to >12% by mass (%Swt), with high-sulfur coal containing >3%Swt [30, 31]. The higher the coal sulfur content, the greater the capacity of SO2 to mask CMM leakage and the more critical scrubber efficiency is to protect public health and the environment.
2.2.5. Sulfur scrubber efficiency
Flue gas desulfurization systems are one type of scrubber, a broad class of equipment used in industry to separate and purify gas streams. Scrubber use and efficiency varies. In 2019, for example, sulfur scrubbers were installed on 52% of US coal-fired generators and 64% of US coal-fired electric generating capacity [32]. In China, with the world's largest fleet of SO2 scrubbers, between 2006 and 2009, the share of the coal power capacity with scrubbers increased from 10% to 71% [33]. By 2017 in China, one study found that ∼80% of the plants in their sample had SO2 scrubbers installed [34]. However, this study found that the effectiveness of SO2 removal (scrubber efficiency) varies at coal power plants at the low end from 25%–54% versus 52%–62% at the high end, depending on government oversight [34]. In the US, scrubber efficiency is reported between 85% to 95%, with newer designs capable of achieving 98% [32]. Scrubber efficiency can be as low as 0% when scrubbers are inoperable, allowing all SO2 in flue gas to be emitted. In the baseline analysis, we assume that coal with a minimal sulfur content is entirely (100%) scrubbed resulting in no SO2 emissions. In the scenario analysis, we assume scrubber efficiencies ranging conservatively from 50% to 98%.
2.3. Baseline analysis
In this section, we establish a baseline for calculating parity between gas and coal emissions for two timeframes at varying methane leakage rates. This baseline case excludes SO2 emissions and assumes that the sulfur in coal combustion flue gas is entirely removed by scrubbers.
Prior studies compare the life-cycle climate benefits of gas versus coal for electricity generation [10, 26, 35–40]. These studies use electricity as the basis (grams CO2e per kilowatt-hour) as the basis because coal is mostly used to generate electricity—globally (51%), China (58%), India (65%), and US (77%) [13]. But this basis is less sound for gas, with its smaller share used to generate electricity—30%, 20%, 26%, and 34%, respectively [9]. In contrast, most gas is used in the commercial, residential, and industrial sectors for heat, steam, and direct power [9]. Therefore, we convert life-cycle emissions to an energy basis, considering the differences in thermal and electric efficiencies used in the underlying studies. We also remove the methane emissions from life-cycle emissions to establish a CO2-only emissions basis for gas and coal. We then re-calculate CO2-equivalent (CO2e) emissions with variable gas and coal methane leakage emissions and consider the effects over two timescales.
2.3.1. Review of existing studies
Numerous studies and meta studies have been conducted over the past decade estimating coal and gas life-cycle GHGs from a regional and global perspective. We survey these studies to construct the baseline in our analysis. Based on existing studies, coal has a median life-cycle GHG of 980 kg CO2e per kWh (with an absolute minimum of 675 and maximum of 1689) and gas has a median life-cycle GHG of 501 CO2e/kWh (with a minimum of 290 and maximum of 988). See tables S3 and S4 in the supplemental information documentation.
2.3.2. Baseline calculations
We convert the values presented in tables S3 and S4 from an electric energy to thermal energy basis (kg CO2/MMBtu) and then add CMM emissions (based on a bounded range of emission factors) to life-cycle coal emissions and consider both a 20- and 100 year timeframe (as noted in the previous section). We then compare gas and coal emissions intensities at varying gas methane leakage rates. The equation used are detailed in the SI and supported by conversion factors and constants in table S1.
2.3.3. Scenario calculations
We build upon the baseline analysis by developing scenarios that affect the net climate impacts from gas at variable methane leakage rates. This includes the role sulfur emissions play in the combustion of coal, as shown in equation (g). In addition to the variables considered in the baseline analysis (GWP and methane leakage rates from coal and gas) additional variables are considered that influence net climate impacts of coal and gas. The variables discussed above (study inputs) include: sulfur content of coal, scrubber efficiency, and varying GWPs (table S2) for SO2 emissions. To calculate the net CO2e emissions from CMM leakage rates, we add GHGs from combusting coal, methane leakage from mines, and SO2 masking warming. The results are plotted in figure 3.
3. Results
3.1. Baseline analysis
We convert the median values in tables S3 and S4 to an energy basis and add in variable methane emissions from coal and gas. Minimum and maximum emissions ranges are also included for gas. Figure 2 plots the baseline comparison of life-cycle GHGs of coal versus gas at varying methane leakage rates from these competing global energy sources.
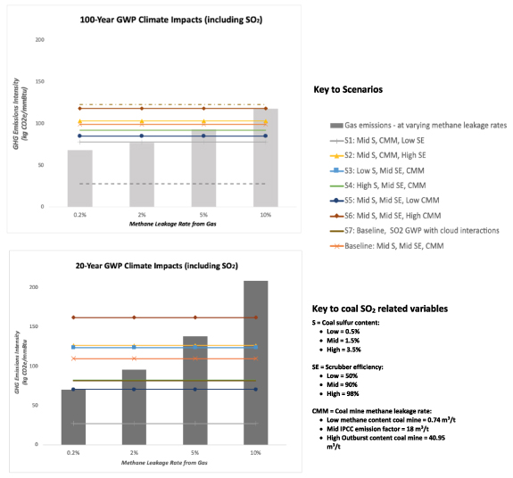
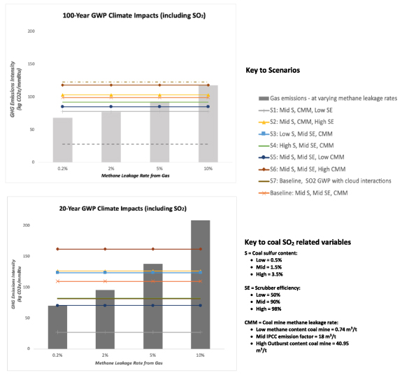
Figure 2. Gas (grey bars) versus coal (colored lines) comparison of life-cycle GHGs (excluding SO2) at variable methane leakage rates using GWP100 and GWP20.
Download figure:
Standard image High-resolution imageWe find that, over a 100 year timeframe, the effects of life-cycle GHGs from gas with about 5% leakage rate are on par with low methane content coal mines, and 7.6% leakage is on par with IPCC CMM leakage. And considering the maximum life-cycle emissions from gas from all studies surveyed, gas with a 0.2% leakage rate is on par with coal at all analyzed levels of CMM leakage.
The climate impact shifts over a 20 year timeframe. Life-cycle GHGs from gas with a 2% leakage rate is on par with low methane content coal mines. And life-cycle GHGs from gas with a 4.7% leakage rate is on par with coal at IPCC CMM emission leakage rates. Gas systems leaking 5%–10% can be on par with outburst content methane coal mines, with a factor of over twice the IPCC emissions.
The baseline analysis indicates that managing methane leakage, both in gas systems and coal mines, is critical to reduce climate impacts over both shorter 20 year and longer 100 year timeframes. While coal mines can be a source of methane, gas systems will require extra vigilance because methane can leak throughout the life-cycle at wellheads, tanks, compressors, and pipelines.
3.2. Scenario analysis
Figure 3 plots combines the results from the baseline analysis to depict scenarios where SO2 from coal masks warming. This shifts points of parity between leaking gas and coal.
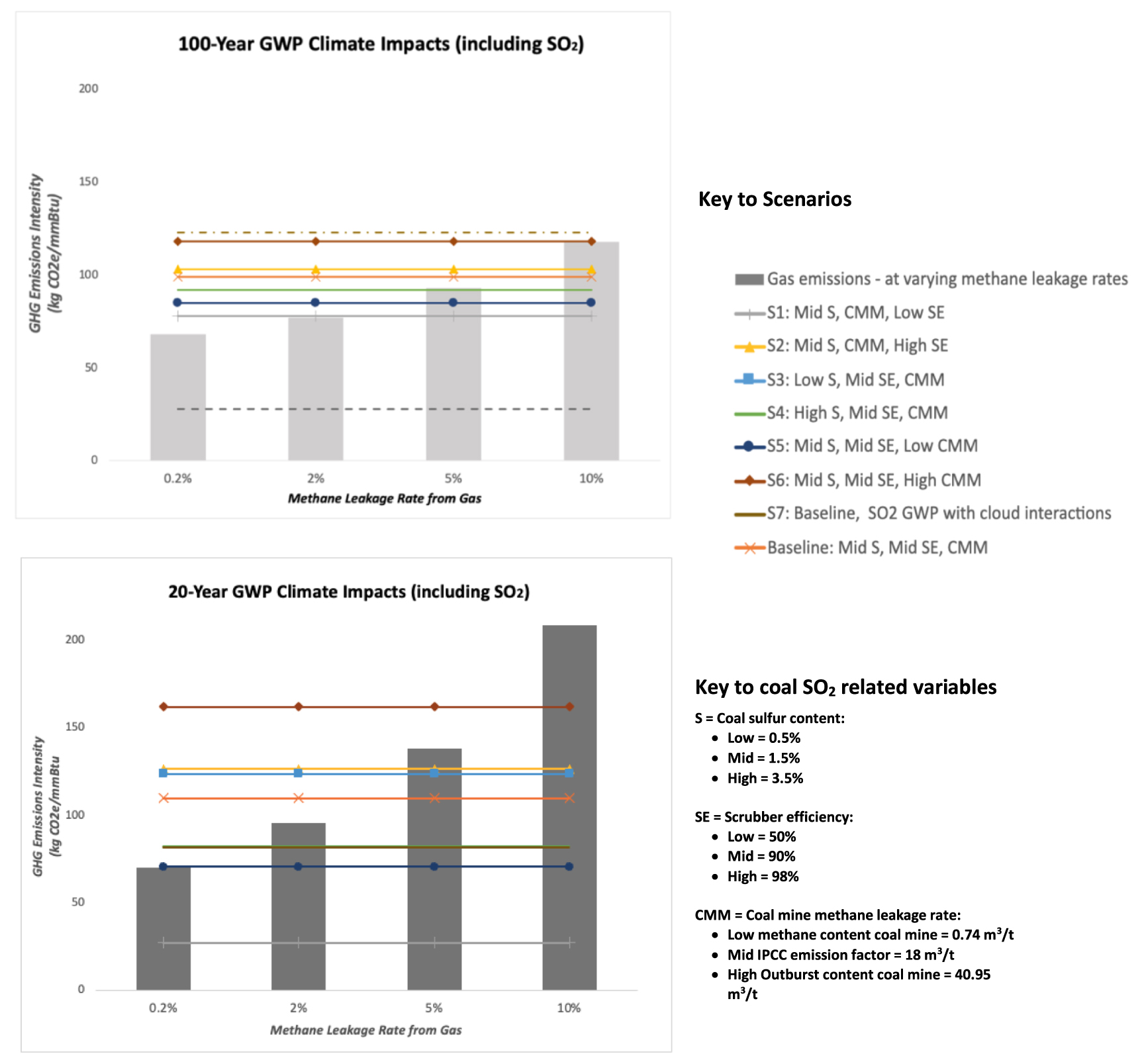
Figure 3. Gas (grey bars) versus coal (colored lines) comparison of life-cycle GHGs including SO2 at variable methane leakage rates using GWP100 and GWP20.
Download figure:
Standard image High-resolution imageIn the 100 year timeframe, the lowest coal emitting scenario analyzed (grey dotted line: high sulfur coal, low scrubber efficiency, low CMM), gas with as little as a 0.2% leakage rate has greater climate impacts than coal. But in the highest coal emitting scenario analyzed (brown dotted line: low sulfur coal, high scrubber efficiency, high CMM), gas with a 10% leakage rate is about on par with coal. The remaining coal scenarios show parity between these energy sources clustered around gas with a 5% leakage rate, as shown in figure 3.
In the 20 year timeframe, two scenarios (grey line, navy blue line: low scrubber efficiency and low CMM) find that coal and gas are on par at 0.2% methane leakage from gas or lower. Considering cloud interactions with sulfate aerosols moves baseline coal emissions closer to parity with gas with a 2% leakage rate (brown line). All but one scenario has gas greater than or on par with coal climate impacts at 5% methane leakage from gas. And at gas leakage rates indicated in the survey of studies discussed in the next section that range from <1% to 66%, the coal scenarios analyzed find that gas can generally have higher climate impacts than coal over a 20 year timeframe.
4. Discussion
When only end-use combustion is considered, gas emits one-half as much CO2 than coal. This comparison changes when methane leaked from both gas and coal is included. In our baseline analysis, we find that global gas systems that leak over 4.7% of their methane (when considering a 20 year timeframe) or 7.6% (when considering a 100 year timeframe) have life-cycle emissions intensities on par with coal. Additionally, low methane coal mines are on par with gas leaking as little as 1.8% methane. Leak-free gas systems could help avoid methane emissions in this sector [41]. For example, reducing US gas leakage system-wide from 3% to 0.2% can reduce as many GHG emissions as removing 40% of the cars off America's roads [42].
While our findings are on a global energy basis (per mmBTU rather than kWh), they are within range of previous studies that find 2%–5% leakage puts gas fired power plants on par with coal power plants in a 20 year time frame, and up to 9% over a 100 year time frame [7, 10–12]. In addition to confirming top-line findings, this study builds on previous literature that asserts the benefits of coal to gas switching, especially those studies focused on specific geographies. We re-emphasize the role of methane, chart methane leakage from gas systems and coal mines from recent remote sensing studies, and compare scenarios along numerous dimensions (resource specifications, operational efficiencies, timescales). This allows academics, policy makers, and civil society groups to input their own assumptions to determine parity in net emissions intensities between gas and coal.
When considering SO2 aerosol emissions from coal, we find in our scenario analyses that global gas systems that leak over 1% of their methane (when considering a 20 year timeframe) or 3.3% (when considering a 100 year timeframe) have life-cycle emissions intensities that are on par with coal leaking methane at the IPCC emissions rate. And gas with ∼0.2% methane leakage rate has higher life-cycle GHGs than coal from low methane coal mines, considering 20 year timeframe effects.
The most impactful variables are SO2 emissions from coal and methane emissions from gas. SO2 emissions from coal can mask warming from CMM. This can shift climate impacts because the direct and indirect cooling from SO2 emissions from coal combustion at low- to mid-scrubber efficiency can offset low CMM leakage. Yet, large uncertainties exist in the net climate impacts from SO2 emissions (discussed in SI).
4.1. Survey of methane leakage from recent studies
Methane leakage from gas systems is being detected and routinely reported by satellite systems, aircraft, and remote sensing operators. Studies find methane leakage rates ranging from 0.65% to 66% in numerous US oil and gas basins, as surveyed in table S5. Wide-ranging methane leakage from gas has also been observed globally [15]. For example, studies using regional satellite measurements calculate 2019 country-level methane leakage estimates from upstream Middle East oil and gas systems. Methane leakage rates range from a high in Iraq (17.6%) to a low in Qatar (0.06%), Saudi Arabia (0.14%), and Kuwait (0.15%), as shown in figure S1 [43]. These US and international studies focused on upstream methane emissions do not account for methane leakage from remaining parts of the gas value chain. An additional 1% can be appended to production methane losses [11].
4.2. Opportunities to reduce methane leakage from gas supply chains
The IPCC reports that there is significant untapped potential to halve GHGs by 2030 [44]. These actions underpin rapid climate alignment reasserted at COP26, including the global methane pledge. Today's high natural gas price means that it can be cost effective to entirely prevent its leakage [45]. Over one-half of methane emissions from global gas operations can be prevented at a net negative marginal cost yielding a profit [46]. Efforts are underpinned by industry declarations [47, 48], voluntary certification standards [49, 50], and legislative action [51].
4.3. Further leak prevention with methane remote sensing
Gas systems expand over wide global geographic areas, so instruments that can monitor methane commensurately will play an important role in detecting and preventing leakage. Today, most satellites in orbit with publicly available data, such as European Space Agency's TROPOMI, conduct broad global scans providing methane intelligence at the regional level. A new generation of public and private satellite instruments operating recently or in the year ahead, including NASA's EMIT, GHGSat, Carbon Mapper, and MethaneSat, will contribute capabilities for detecting and attributing large emissions sources at finer scales. This will greatly expand the empirical data on super-emitter sources from individual facilities and entire regions [52, 53]. Methods are already being proposed to empirically quantify methane 'super-emitter intensity,' which represents a lower bound on true emissions intensity [54]. Pairing remote sensing with multi-scale observing systems including aerial and ground-based systems can help evaluate and ensure low methane emissions intensity from global gas and coal systems.
5. Conclusion
Numerous scenarios run in this study indicate that the benefits of gas do not outweigh coal at certain methane leakage rates. Super-emitting gas production systems being assessed globally by satellites and high-altitude aircraft are demonstrating gas leakage rates that meet emissions intensity parity with coal. This underscores the need to scale remote methane detection to accelerate emissions management practices. Visibly tracking and quantifying the extent of climate damage done by leaking gas can help public and private decision makers prioritize and accelerate methane emissions controls so that global gas assets emit GHGs well below coal.
Acknowledgments
Part of this research was carried out at the Jet Propulsion Laboratory, California Institute of Technology, under a contract with the National Aeronautics and Space Administration. Additionally, we thank the anonymous journal reviewers for their constructive comments.
Data availability statement
All data that support the findings of this study are included within the article (and any supplementary files).


