Abstract
Regenerative Agriculture (RA) claims to build soil organic carbon (SOC) and increase crop yields through simultaneous adoption of a suite of management practices which restore soil health. However, this claim is largely unevidenced as few studies of fully integrated regenerative systems are currently available. As a first step to addressing this knowledge gap, we here examine three practices now being promoted as part of RA: reducing tillage intensity, cover cropping and including a grass-based phase in arable rotations (ley-arable rotations). Our Bayesian meta-analysis of 195 paired SOC and crop yield observations from a systematic review of published studies finds statistically significant increases in SOC concentration for reduced tillage intensity (0.06 g C · 100 g−1) and ley-arable rotations (0.05 g C · 100−1 g yr−1 of ley) compared to conventional practice over an average study duration of 15 years, but no effect of cover crops. None of these practices reduce yield during cropping years, although we find no evidence of a win–win between increasing SOC and enhanced agricultural productivity following adoption. Future work should also evaluate the net greenhouse gas emission implications of each practice and potential for synergistic effects if RA practices are adopted in combination. Nevertheless, our results suggest that the RA practices investigated here can be promoted by land managers and policy makers without crop yield losses.

Original content from this work may be used under the terms of the Creative Commons Attribution 4.0 license. Any further distribution of this work must maintain attribution to the author(s) and the title of the work, journal citation and DOI.
1. Introduction
There is longstanding awareness of the need to adopt alternative management practices on agricultural land to maintain or improve productivity while preventing soil degradation, expressed in management paradigms such as organic farming, agroecology, climate-smart or conservation agriculture and sustainable intensification [1–5]. These frequently draw on similar suites of management practices, which in arable systems include reducing soil tillage intensity in seedbed preparation, growing over-winter cover crops to protect soils between arable crops, and integrating multi-year grass-based leys into arable rotations to build fertility (table 1). These practices gained interest due to their potential to increase soil organic carbon (SOC) [6–12] and farmland soil carbon sequestration which can contribute to climate change mitigation [13–15]. However, their impact on crop yields is less clear, with previous syntheses finding variable effects [7, 16–19] and little work to date for ley-arable rotations.
Table 1. Definitions and selected benefits and limitations of regenerative agriculture practices investigated in this systematic review.
| Intervention | Synonyms | Definition | Benefits | Limitations |
|---|---|---|---|---|
| No- or reduced tillage | Direct drilling, conservation tillage, minimum tillage | Absence or reduction of mechanical soil disturbance in seedbed preparation [8]. | Improved soil structure and biological activity, decreased risk of soil erosion [58], improved water quality [87]. | Can compact soils, increasing nitrous oxide emissions, limiting SOC gain for equivalent soil mass, and risk of waterlogging. Increased requirement for herbicides for weed control [58]. |
| Cover crops | Catch crops, green manure | Inclusion of temporary fast-growing plants to cover the soil between arable crops [11] typically over winter, present for under a year. | Reduce nitrogen leaching [17], enhance soil microbiota [88]. | Inclusion of legumes can increase nitrous oxide emissions [82], can require cultivation or herbicides to terminate. |
| Ley-arable | Integrated crop-livestock, mixed farming | Temporary grass-based ley included for one or multiple consecutive years within arable rotation [64]. | Ley phase builds fertility for following arable crops and can provide livestock fodder [66–68, 89]. | No arable crop and often lower income from ley phase of rotation compared to continuous arable cropping, which could displace production thereby increasing emissions elsewhere (leakage). Requires cultivation or herbicides to terminate. |
a Although no/reduced tillage and use of cover crops are both components of conservation agriculture, conservation agriculture is not a synonym for either of these practices in isolation.
Alternative land management practices such as these are currently receiving further attention as part of the Regenerative Agriculture (RA) paradigm. This has been defined as ‘an approach to farming that uses soil conservation as the entry point to regenerate and contribute to multiple ecosystem services’ [20]. RA is rapidly gaining popularity among land managers, policy makers, non-governmental organisations and corporates [21–23], in part due to an appealing proposed win–win between increasing SOC and crop yields [24]. However, there is currently limited evidence to verify this claim of RA from whole-system adoption in temperate regions. A substantial evidence base exists for individual management actions now being adopted as part of a regenerative approach (table 1), but existing syntheses typically only consider the impact on one of SOC [9, 25–27] or yield [19, 28–30] of these practices. However, verifying whether such practices can deliver a win–win requires analysis of paired SOC and yield observations and remains a key knowledge gap. Further, although evidence to date suggests that crop yield tends to increase with SOC, particularly at low concentrations [31, 32], it is still unclear whether this relationship varies between different practices that build SOC [33, 34].
This study aimed to fill these knowledge gaps by using paired SOC-yield observations analysed across multiple interventions to investigate the influence of three management practices (reduced tillage intensity, cover cropping and ley-arable rotations, table 1) on SOC and crop yield in temperate arable systems.
We addressed this aim by undertaking two interlinked objectives:
- (a)Determination of whether different practices currently promoted as part of RA simultaneously increase SOC and crop yield in temperate oceanic arable systems.
- (b)Understanding the relationship between SOC and yield across different management interventions.
We assembled a database of 195 paired observations of SOC and crop yield across tillage, cover crop and ley-arable interventions for quantitative meta-analysis from relevant studies conducted in regions with a temperate oceanic climate (Köppen–Geiger Cfb) using systematic review methods. We then used this database to parametrise Bayesian multivariate meta-analyses of SOC and yield. Our findings indicate that this approach can deliver important insights into the influence of agricultural management practices on soil carbon and crop productivity.
2. Methods
2.1. Systematic review
We followed the Collaboration for Environmental Evidence guidelines [35] to address the systematic review question ‘What are the impacts on soil carbon and crop yield from reducing tillage, adopting cover crops and integrating leys into rotations in temperate oceanic arable systems?’, using the Population, Intervention, Comparator, Outcome and Location framing (table S1). Full details of our systematic review following the Reporting standards for Systematic Evidence Syntheses framework [36] are given in the supplementary methods, building on the methods of Haddaway et al [8, 37]. All data extracted from relevant studies is provided in the supplementary data and further supplementary files are available online [90].
Previously, Haddaway et al [37] systematically mapped the effects of a broad range of agricultural management practices on soil carbon in boreo-temperate systems, subsequently updated in part for tillage studies [8]. We utilised, expanded and updated these previous searches, focusing on tillage, cover crops and ley-arable interventions in temperate oceanic regions. Climatic and wider environmental variation can be accounted for in meta-analyses by: (a) including climate zone or environmental variables as a predictors in the meta-analytical model [6, 16, 38]; (b) restricting the scope of the meta-analysis to a particular climatic or geographic region [7, 39–41]; or (c) a combination of the two [8, 9]. We selected approach (b) here, because we decided it was more appropriate for ascertaining findings generalisable to a specific context of interest.
We considered individual interventions, focusing on measures that are likely to affect yield predominantly through soil properties, unlike RA practices such as silvoarable which impact crop yield through competition for resources [42]. We also selected practices which had sufficient evidence available for quantitative synthesis, which meant excluding practices such as pasture cropping [43]. Our final list of interventions considered here are no or reduced soil tillage in seedbed preparation for crop establishment, overwinter cover cropping in place of crop stubble with exposed soil, and incorporating a grass-based ley phase into arable rotations.
We conducted searches in Web of Science, CAB Abstracts and Scopus (details in table S2, supplementary method 1.1) and screened records at title, abstract and full text levels using pre-determined inclusion and exclusion criteria (table S3), with consistency checking between reviewers (supplementary method 1.2). Data from relevant studies was extracted to a spreadsheet (supplementary data 1, supplementary method 1.3), and assigned a critical appraisal score reflecting the study quality (table S4). For studies that present SOC and yield data for multiple sampling dates, we extracted only the most recent data (i.e. study ‘endline’). We also extracted SOC baseline (i.e. pre-intervention) measurements, but no studies in our systematic review present baseline data for yield. Where SOC data were presented by studies in our systematic review as stocks (t ha−1) we converted these to concentration (g · 100 g−1) using soil bulk density measurements presented alongside these in the same article (table S5). We extracted within-treatment standard errors for study SOC and yield estimates where available. Where a different measure of within-treatment variability was presented, these were converted to standard error using conventional formulae (table S5). If measures of variability presented were between-treatment only, these were not extracted. Where desired data was missing from articles (table S6), we attempted to contact the corresponding author with a request for data (supplementary method 1.4).
Our systematic review resulted in a database of 30 articles containing 40 studies across ten countries with temperate oceanic regions (figures 1 and S1). From this, we extracted 195 paired observations of SOC and crop yield across tillage, cover crop and ley-arable interventions for quantitative meta-analysis (supplementary data 1). Although including studies that measured SOC or yield separately would have increased data availability, this would not have provided the same strength of inference in identifying synergies or trade-offs between these outcomes across management practices.
Figure 1. Systematic map. A total of 40 relevant studies identified by systematic review process for inclusion in meta-analysis, created using the Thalloo framework [91]. Position of pie charts reflects study locations (degrees decimal coordinates), size of pie charts is proportional to the number of studies in that region (or the site when zoomed in online), and the colour of the chart segments shows the number of studies of each intervention (see legend). Inset shows southern Hemisphere studies. An interactive version of this evidence map with the accompanying study database is available online at https://oxlel.github.io/evidencemaps/oceanic_climates/.
Download figure:
Standard image High-resolution image2.2. Meta-analysis
To analyse the dataset assembled by our systematic review, we fitted Bayesian multivariate hierarchical (i.e. random effects) meta-analyses using the brms package in R version 4.0.3 [44–47]. Our R code is available online [90] and further details of the analysis approach and model summary outputs are given in the supplementary methods, including details of model priors used, tests for model convergence and publication bias, and how figures were plotted. In the following sections, we describe the models fitted, how response and explanatory variables are expressed, and sensitivity analyses we conducted to determine the influence of data quality and availability on our results.
We did not compute comparative effect size metrics (i.e. between treatments, or between control and treatment), instead directly analysing the outcome mean per treatment reported by studies in our systematic review. This is because: (a) within each response variable (SOC concentration, g · 100 g−1, and crop yield, t ha−1) data across all treatments and studies are directly comparable on the same scale; (b) the cover crop and ley-arable interventions are best expressed as continuous variables; (c) some studies include multiple interventions of interest; and (d) the outputs from the model are easily understood and biologically meaningful. Because some studies contained data on more than one intervention, we analysed the three interventions together, rather than fitting individual models.
We fitted the following models together in a multivariate analysis:


where
- SOCE corresponds to ‘endline’ estimate of SOC concentration (g · 100 g−1), accounting for its standard error,
- YieldE corresponds to ‘endline’ estimate of crop yield (t.ha−1), accounting for its standard error,
- Tillage is a categorical variable of tillage regime; conventional tillage (reference category), reduced tillage or no tillage, with variables dummy coded,
- Cover crop reflects the frequency of cover crops in arable rotation, expressed as a proportion where 0 is no cover crops (reference) and 1 is cover crops present every year,
- Ley is the duration (years) of the ley-phase of the arable rotation (reference = 0, i.e. arable-only rotation),
- Duration corresponds to the total duration of study (years), from implementation of treatment interventions to the most recent data presented in the original article,
- Latitude is the absolute Latitude of the study site, in decimal degrees,
- Clay is the soil clay content (%) of the study site,
- Depth provides the soil sampling depth (cm) soil to measure SOC,
- SOCB corresponds to the true baseline, i.e. pre-intervention, estimate of SOC concentration (g · 100 g−1),
- Crop indicates the crop harvested to give YieldE measurement,
- Unique study ID is an ID code we generated and included as a random effect to account for the hierarchical structure of the data.
We assessed the statistical significance of fixed effect model predictors (i.e. all apart from Unique study ID) based on whether their 95% Credible Intervals included zero. We used Bayes R2 to estimate the proportion of variation explained by the overall model and fixed effects only [48]. All models fitted explained a large proportion of variation in the data, with Bayes R2 ranging from 0.85–0.99 and 0.34–0.94 for the full model and fixed effects respectively (table 2).
Table 2. Estimates of soil organic carbon (g · 100 g−1) and arable crop yield (t.ha−1) following implementation of no or reduced tillage, cover crops or ley-arable rotations. 95% Credible Intervals are given in square brackets, with * denoting where these do not overlap with 0. The — symbol denotes predictors not included in that model. Study duration, absolute latitude, baseline SOC, % clay and soil sampling depth were centred before the analysis to assist interpretation of model output. The intercept corresponds to ‘conventional’ practice (reference category: conventional tillage, no cover cropping or ley phase) for these centred predictor values, with other columns showing the difference from this intercept for one increment in the unit of the respective predictor. Results are presented for six iterations of the analysis with different levels of data availability and quality (see section 2.3 for further details), with EIBI results discussed in the text. Full model summary outputs are provided in the supplementary methods. Effect sizes for practice predictors across all models are visualised in figure S6 to facilitate model comparison.
| Standard deviation parameters | SOC-yield residual correlation | R2 | n | |||||||||||||||
|---|---|---|---|---|---|---|---|---|---|---|---|---|---|---|---|---|---|---|
| Model | Response | Intercept | No till | Reduced till | Cover crops | Ley-arable | Study duration | Latitude | SOC baseline | Soil % clay | Soil sampling depth | Within studies | Between studies | Whole model | Fixed effects | Data | Studies | |
| EP: error present | SOC | 1.52 [1.28, 1.76] | 0.11 [0.03, 0.18]* | 0.10 [0.02, 0.18]* | 0.07 [−0.06, 0.20] | 0.04 [0.01, 0.06]* | 0.00 [−0.01, 0.01] | 0.05 [−0.05, 0.13] | — | −0.02 [−0.07, 0.01] | −0.05 [−0.10, 0.00] | 0.07 [0.05, 0.09] | 0.45 [0.29, 0.73] | 0.33 [0.03, 0.57]* | 0.969 | 0.528 | 66 | 16 |
| Yield | 70.98 [63.9, 77.9] | −1.85 [−6.36, 2.53] | −0.70 [−5.39, 4.11] | −1.72 [−9.01, 5.59] | 0.23 [−0.75, 1.23] | −0.29 [−0.67, 0.12] | 0.14 [−1.03, 1.34] | — | — | — | 5.10 [4.14, 6.29] | 1.20 [0.04, 3.81] | 0.947 | 0.944 | ||||
| EI: error imputed | SOC | 1.75 [1.47, 2.02] | 0.06 [0.00, 0.11]* | 0.09 [0.03, 0.14]* | 0.06 [−0.01, 0.13] | 0.05 [0.03, 0.08]* | 0.00 [−0.00, 0.00] | 0.04 [−0.04, 0.12] | — | −0.04 [−0.08, 0.00] | −0.06 [−0.09, −0.02]* | 0.10 [0.08, 0.12] | 0.86 [0.67, 1.11] | 0.15 [−0.01, 0.31] | 0.983 | 0.435 | 195 | 40 |
| Yield | 12.7 [6.01, 19.1] | −0.85 [−2.37, 0.68] | −0.46 [−1.93, 1.00] | 0.09 [−1.83, 2.03] | 0.20 [−0.38, 0.77] | −0.05 [−0.16, 0.06] | 0.33 [−0.87, 1.59] | — | — | — | 2.99 [2.63, 3.40] | 11.5 [8.90, 15.0] | 0.946 | 0.478 | ||||
| EIBP: baseline present, error imputed | SOC | 1.30 [1.08, 1.51] | 0.07 [0.00, 0.14]* | 0.02 [−0.05, 0.09] | 0.06 [−0.02, 0.15] | 0.05 [0.02, 0.08]* | 0.00 [−0.00 0.00] | 0.03 [−0.04, 0.09] | 0.76 [0.36, 1.13]* | 0.01 [−0.05, 0.05] | −0.01 [−0.07, 0.04] | 0.08 [0.05, 0.10] | 0.34 [0.21, 0.58] | 0.20 [−0.06, 0.43] | 0.980 | 0.778 | 79 | 14 |
| Yield | 9.28 [3.38, 14.9] | −1.18 [−2.77, 0.38] | −0.12 [−1.77, 1.55] | 0.04 [−2.08, 2.21] | −0.16 [−0.94, 0.54] | −0.03 [−0.10, 0.05] | 0.10[−0.57, 0.74] | — | — | — | 2.09 [1.46, 2.73] | 3.43 [1.81, 6.05] | 0.851 | 0.669 | ||||
| EIBI: baseline and error imputed | SOC | 1.73 [1.46, 2.00] | 0.06 [0.00, 0.11]* | 0.09 [0.03, 0.14]* | 0.07 [−0.01, 0.15] | 0.0 [0.03, 0.08]* | 0.00 [−0.00, 0.00] | 0.04 [−0.04, 0.12] | 0.06 [−0.10, 0.19] | −0.03 [−0.07, 0.00] | −0.05 [−0.09, −0.02]* | 0.10 [0.08, 0.12] | 0.84 [0.64, 1.10] | 0.12 [−0.07, 0.30] | 0.983 | 0.451 | 195 | 40 |
| Yield | 12.6 [6.01, 19.1] | −0.86 [−2.39, 0.66] | −0.46 [−1.94, 1.02] | 0.09 [−1.84, 2.04] | 0.19 [−0.38, 0.77] | −0.05 [−0.16, 0.06] | 0.35 [−0.88, 1.59] | — | — | — | 2.99 [2.63, 3.40] | 11.5 [8.87, 15.0] | 0.946 | 0.476 | ||||
| Sensitivity analysis: critical appraisal (CA) | SOC | 1.47 [1.22, 1.71] | 0.04 [−0.01, 0.10] | 0.04 [−0.01, 0.09] | 0.06 [−0.00, 0.12] | 0.05 [0.03, 0.07]* | 0.00 [−0.00, 0.00] | 0.02 [−0.07, 0.10] | 0.13 [−0.04, 0.42] | −0.03 [−0.07, 0.01] | −0.07 [−0.10, −0.03]* | 0.08 [0.06, 0.10] | 0.61 [0.45, 0.85] | 0.10 [−0.08, 0.27] | 0.981 | 0.568 | 144 | 26 |
| Yield | 6.70 [3.64, 9.57] | −0.76 [−1.76, 0.24] | −0.26 [−1.21, 0.69] | 0.23 [−1.00, 1.45] | 0.17 [−0.14, 0.49] | −0.03 [−0.08, 0.02] | 0.07 [−0.41, 0.53] | — | — | — | 1.64 [1.42, 1.89] | 3.26 [2.19, 4.87] | 0.975 | 0.889 | ||||
| Sensitivity analysis: study duration (SD) | SOC | 1.59 [1.16, 2.01] | 0.09 [0.02, 0.16]* | 0.09 [0.03, 0.16]* | 0.06 [−0.04, 0.15] | 0.07 [0.04, 0.10]* | — | 0.09 [−0.04, 0.21] | −0.01 [−0.14, 0.10] | −0.01 [−0.06, 0.05] | −0.03 [−0.08, 0.03] | 0.09 [0.07, 0.11] | 1.00 [0.72, 1.43] | 0.35 [0.12, 0.55]* | 0.986 | 0.373 | 105 | 23 |
| Yield | 8.48 [6.30, 10.7] | −0.01 [−0.52, 0.47] | 0.13 [−0.37, 0.64] | 0.07 [−0.62, 0.74] | 0.24 [0.04, 0.43]* | — | 0.20 [−0.42, 0.82] | — | — | — | 0.55 [0.42, 0.73] | 3.79 [2.67, 5.49] | 0.948 | 0.336 | ||||
aConventional tillage and no cover crops or ley-phase in rotation. bEstimated effect where cover crops are present in every year of the rotation. cEstimated effect of one year of ley in a rotation, would increase as multiple of total ley duration within rotation. dAbsolute latitude.
We chose to represent Ley duration in years to capture the duration-dependence of sward and root development during the ley phase. However, a proportion was used for Cover crops because these were less than a year in duration—typically sown after one autumn-harvested arable crop and terminated before the following spring-sown crop—resulting in little difference in duration of individual cover crop events within or between studies. Non-intervention-specific predictors (Duration, Latitude, Clay, Depth, SOCB and Crop) were included based on previous work which identified these factors as influencing SOC and/or yield [8, 10, 11, 19, 49]. Where missing in the original article, clay data were extracted from the WISE30sec harmonised global soil property database [50] using study site coordinates. We centred the Duration, Latitude, Clay, Depth and SOCB predictors around their respective means, so that the model output intercept was biologically meaningful and corresponded to conventional practice (i.e. conventional tillage and no cover cropping or ley phase in the arable rotation).
Climate (e.g. precipitation, temperature) and intervention management variables (e.g. cover crop planting and termination dates, tillage depth, fertiliser regime) have also been found to be important determinants of SOC and yield in previous syntheses [8, 9, 19, 25]. However, we were unable to include these here due to limited data availability; there were both too few observations to identify these predictors in analysis and insufficient studies presenting information on these variables. Instead, by restricting our meta-analysis to temperate oceanic regions (Köppen–Geiger Cfb), we were able to minimise the influence of climate variables on our results because the study sites included are all located in a similar climatic zone.
Many studies did not present both SOC and crop yield results factorially across fertiliser treatments or failed to specify fertiliser applications. As a result, we were unable to include fertiliser as a predictor in the yield analysis. In addition, it would have been desirable to account for soil properties such as texture (Clay) and organic matter content (SOCB as a proxy) in the yield analysis, but the large number of levels in the Crop categorical variable restricted our ability to include other predictors. However, the results of the yield model fitted on data where errors were present rather than imputed (table 2) had a Bayes R2 for the fixed effects of 0.94, suggesting most variation in the data was captured by existing predictors. Lower fixed effects R2 for models with imputed errors (values between 0.34 and 0.89, table 2) are likely due to a combination of uncertainty introduced by the imputation process and studies with missing errors potentially being more heterogenous.
We used SOC concentration (g · 100 g−1) in our analysis to allow us to investigate the relationship between crop yield and soil carbon across studies. Although stocks (t.ha−1) are the most relevant unit of SOC for assessing carbon sequestration and therefore greenhouse gas mitigation potential, this depends both on sampling depth, which differed between studies, and soil bulk density, which differed both between studies and treatments within studies. There was limited availability of treatment-specific bulk density measurements in studies (table S6) to transform SOC concentrations (more-commonly reported) to stocks.
For studies that investigated different tillage regimes, depth-stratified soil carbon values were commonly given for each treatment, with only one corresponding yield value. Therefore, to perform our multivariate analysis, we averaged soil carbon to 30 cm (weighted by the soil thickness of each stratified sample where this differed), such that each experimental treatment had only one row of data. Because not all studies sampled soil to 30 cm deep, sampling depth was included as a predictor in the meta-analysis to account for studies with shallow sampling only (e.g. 10 cm). We did not investigate whether different tillage regimes changed the depth distribution of soil carbon as this was not relevant to our objectives in the analyses here, although this has recently been empirically addressed elsewhere [51, 52].
To investigate if the relationship between SOC and Yield changed between interventions, we fitted a univariate model:

All parameters are the same as defined above, except SOCe which is the ‘endline’ estimate of SOC concentration (g · 100 g−1) without accounting for its standard error, due to the modelling difficulties of incorporating this in predictor terms. Conditional effects plots of the interaction terms allowed us to identify whether the slope of the SOC-yield regression line differed between adoption of each intervention.
2.3. Imputation and sensitivity analyses
Of the 195 paired observations of SOC and crop yield identified in our systematic review, 66 had within-treatment standard errors presented or calculable for both SOCE and YieldE. In contrast, 78 data did not include a measure of within-treatment variability for SOCE, 105 did not include a measure of within-treatment variability for YieldE, and 116 did not include SOCB. Unless values are missing at random, discarding data with missing values risks biasing the meta-analysis [53]. We therefore used multiple imputation methods to fill missing values, which has the advantage of explicitly representing the variability associated with the imputation process in the meta-analysis [54]. We used the mice package in R, which uses chained equations to impute missing values, to generate ten imputed datasets before model fitting in brms [55].
Due to the large number of missing values in our dataset, we ran the analysis four times with different data availability, to test the sensitivity of the results to the level of imputation. In addition, we used the critical appraisal scores assigned during our systematic review (table S4, supplementary method 1.3) to run a further analysis excluding studies with fewer than three true replicates or that did not specify treatment allocation (i.e. were not split-plot, blocked, randomised, or equivalent), to test the sensitivity of our results to study quality. Finally, study duration is known to influence the ability to detect changes in SOC [56]. Although we did not apply a minimum study duration in our meta-analysis unlike previous meta-analyses [8], we repeated our analysis excluding studies with durations less than 10 years to detect whether our results were affected by this. Therefore, we conducted a total of six analyses with different levels of data availability (due to imputation or sensitivity analyses), as follows:
- (a)EP: SOCE and YieldE standard errors available, SOCB not included in model as predictor (66 data from 16 studies, average duration 8.6 years).
- (b)EI: SOCE and YieldE standard errors imputed where missing, SOCB not included in model as predictor (195 data from 40 studies, average duration 15.1 years).
- (c)EIBP: SOCE and YieldE standard errors imputed where missing, SOCB available from study and included as predictor (79 data from 14 studies, average duration 12.5 years).
- (d)EIBI: SOCE and YieldE standard errors imputed where missing, SOCB imputed where missing and included as predictor (195 data from 40 studies, average duration 15.1 years).
- (e)CA: same as [4], but data from studies with low or unclear validity based on critical appraisal scores excluded (144 data from 26 studies, average duration 12.5 years).
- (f)SD: same as [4], but studies with durations of less than 10 years were excluded (105 data from 23 studies, average duration 18.6 years).
We present model outputs from all analyses in table 2 for comparison and plot model effects for the practice predictors in figure S6. We use the results from EIBI throughout the paper and in figures 2 and S5, as this includes the greatest number of observations while accounting for baseline soil carbon in the SOC analysis. We discuss the sensitivity of the EIBI results to data availability and quality below.
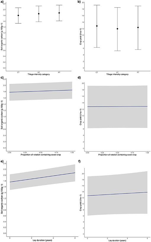
Figure 2. Effects of interventions on SOC concentration and crop yield. Conditional effects of (a) and (b) reducing tillage intensity, CT: conventional tillage, RT: reduced tillage, NT: no tillage, (c) and (d) cover cropping, proportion of years present in arable rotation, (e) and (f) ley-arable rotations, length of ley phase within the arable rotation in years, for soil organic carbon (g · 100 g−1) and arable crop yield (t ha−1) respectively for each intervention. Error bars show 95% Credible Intervals. Results from the EIBI analysis, see section 2 for further details. Conditional effects show the model-fitted values for individual interventions when all other model predictors are at the reference category (i.e. conventional practice for the other interventions).
Download figure:
Standard image High-resolution image3. Results
We found that the RA management practice of converting from conventional full-inversion tillage to no tillage increased SOC concentration by 0.06 g C · 100 g−1 (95% Credible Intervals, CI, [0.00, 0.11]), and reduced-tillage by 0.09 [0.03, 0.14], over an average study duration of 15 years (table 2, figure 2(a)). There was no impact on crop yield (95% CI of effect size included 0, table 2, figure 2(b)). These data were extracted from a total of 106 tillage intensity treatments (figure S2) from 23 studies that measured the effect of changing tillage intensity on SOC and yield (figure S1) identified by our systematic review.
Twelve studies investigated incorporating cover crops into arable rotations (figure S1), providing 79 observations of SOC and yield. From these, we found no effect of cover cropping in every year of an arable rotation on SOC (95% CI [−0.0, 0.15] g C · 100 g−1) or yield (table 2, figures 2(c) and (d)) compared to when no cover crops were present.
Regarding integrating a grass-based ley phase into arable rotations, we found 13 studies that reported SOC and yield (figure S1). This resulted in 70 data points with ley duration ranging from zero to six years within the rotation (figure S4). We found that inclusion of a one-year ley phase increased SOC concentration by 0.05 g C · 100 g−1 (95% CI [0.03–0.08] table 2, figure 2(e)) after 15 years compared with an arable-only rotation. This effect size could be multiplied by ley duration in years to estimate the impact of longer ley phases on soil carbon. Arable crop yields were not affected by the inclusion of a ley-phase in the rotation (95% CI of effect size include 0, table 2, figure 2(f)). Although not explicitly quantified here, the inclusion of a grass-based ley in a rotation results in a complete absence of arable crop yield in those years, so note that the total crop output (e.g. tonnes of cereal) of the overall rotation is reduced in proportion to the duration of the ley-phase in ley-arable rotations.
We also found that differences in study duration and absolute latitude had no effect on SOC concentration or crop yield (table 2). In addition, soil clay content (%) did not significantly predict SOC concentration (table 2). SOC concentration decreased by 0.05 g C · 100 g−1 (95% CI [−0.09, −0.02], table 2) per cm of increased sampling depth, included as a predictor in the analysis to control for the different sampling depths between studies which ranged from 5 to 30 cm.
3.1. Sensitivity analyses
We ran six iterations of our analysis to account for different levels of data availability and quality (see section 2), to test the sensitivity of the EIBI results reported above. Use of multiple imputation where standard errors were missing from observations did not affect the significance or direction of results, i.e. these are consistent with the analysis of a smaller dataset containing only observations where standard errors were reported (EP, table 2, figure S6). Where baseline SOC values were reported in studies, this was a significant predictor of endline SOC (EIBP, table 2), with an increase in endline values of 0.76 g C · 100 g−1, 95% CI [0.36, 1.13], for every 1 g C · 100 g−1 increase in baseline SOC. However, this relationship was not preserved when missing baseline SOC values were imputed (EIBI, table 2), suggesting the imputation process did not perform sufficiently well for use on this predictor. The EIBP analysis also did not find a significant effect of reduced tillage or soil sampling depth, which could be a feature of the data in this smaller number of observations or due to SOC baseline explaining this variation in the data instead. Our finding of an increase in SOC when a ley-phase is included in arable rotations was robust to exclusion of studies with low or unclear validity (CA), but the positive effects of no- and reduced tillage on SOC were not preserved (table 2, figure S6). Our findings were also robust to exclusion of short-duration studies (less than 10 years, SD analysis), apart from the effect of ley duration on yield which increased 0.24 t ha−1 yr−1 of ley in the rotation in this analysis (95% CI [0.04, 0.43], table 2, figure S6).
3.2. SOC-yield relationship
Despite finding a positive correlation between SOC and yield as expected overall, our univariate analysis of crop yield did not identify any significant interactions between interventions and SOC (table S8); i.e. the relationship between SOC and yield did not differ when each intervention was adopted or between interventions (figure 3). We found a significant residual correlation between SOC concentration and crop yield in the EP and SD models (i.e. after all other predictors were accounted for), but this was not retained in other analyses (table 2).
Figure 3. Differences in correlation between soil carbon and yield between levels of adoption of each intervention. Conditional effects of interactions between soil organic carbon (g · 100 g−1) and (a) reducing tillage intensity, CT: conventional tillage, RT: reduced tillage, NT: no tillage, (b) cover cropping, proportion of years present in arable rotation, (c) ley-arable rotations, length of ley phase within the arable rotation in years, on arable crop yield (t ha−1). Error bars show 95% credible intervals. Results from univariate yield analysis using EI data, see section 2 for further details. Conditional effects show the model-fitted values for individual interaction terms when all other model predictors are at the reference category (i.e. conventional practice for the other interventions). This demonstrates that although SOC and yield are strongly correlated in our dataset, the relationship between SOC and yield does not significantly differ when each intervention is adopted or between interventions.
Download figure:
Standard image High-resolution image4. Discussion
Results from our meta-analysis demonstrate that reducing tillage intensity and incorporating temporary grass-based leys into arable rotations can significantly enhance SOC without reducing yield during years with arable crops. In comparison, our results indicate that cover cropping does not increase SOC. Overall, the results from our meta-analysis do not verify the claim that RA practices can simultaneously increase SOC and crop yield [24] in temperate oceanic regions. Nevertheless, our demonstration of the potential for increases in SOC without yield loss supports further adoption of these practices as part of strategies to restore soil health and mitigate climate change. Regarding our second objective, we do not find any evidence of differences in the relationship between SOC and yield between interventions, implying that changes in soil properties or differences in other aspects of management between interventions is either minimal or does not impact yield.
Increased SOC following a reduction in tillage intensity has also been found in previous analyses from Europe [7, 57], temperate regions [8] and globally [6]. Mechanisms underpinning this likely include enhanced soil aggregation and lower soil temperatures due to reduced disturbance, both of which protect SOC from microbial degradation [18]. Accumulation of crop residues at the soil surface, which will occur with reduced tillage particularly if crop residues are not removed as straw, can also contribute to higher soil carbon concentration measurements when only shallow sampling depths (⩽30 cm) are considered [51]. This is the case in our analysis and can lead to an overestimation of the SOC gains of reducing tillage intensity. Research that has accounted for this through deeper soil sampling has found a redistribution of SOC within the soil profile and smaller overall increase [51, 52, 58]. Our finding that reduced tillage may increase SOC more than no tillage is interesting, although there is substantial overlap between the Credible Intervals and a small magnitude of difference between these effects (table 2, figure 2(a)). As such, the seemingly higher SOC in RT treatments may be explained by other differences between studies, as few studies considered both NT and RT.
Regarding yields, previous syntheses have shown that reduced tillage intensity can negatively impact crop productivity through lower soil temperatures and increased compaction which can impair root growth, drainage and aeration [16, 18, 19]. Yield gains are typically only found in water-limited conditions in dry climates due to the moisture retention benefits of surface crop residues and undisturbed soil aggregates [16, 18, 19]. In contrast to previous European analyses [7, 59], we do not find a trade-off between increased SOC and reduced crop yield following a reduction in tillage intensity in temperate oceanic regions. Rather our findings agree with Sun et al [16] that no-till with residue retention and crop rotation can increase SOC without changing crop yield in humid regions.
We found no effect of interannual cover cropping on SOC or yield, in line with other work from Europe [7]. Although cover crops can build SOC through increasing plant residue inputs to soil, this mechanism may be less effective in the temperate oceanic regions we considered here due to three factors. Firstly, there are typically high rates of fertiliser application in northwest Europe, New Zealand and southeast Australia where the studies analysed here were conducted, which may reduce the benefits of cover crops. Secondly, higher latitudes and lower temperatures in these regions likely limit the cover crop growing season resulting in poor plant development. Thirdly, some cover crops grown in studies analysed here were grass-based rather than legume or mixed, resulting in a higher C:N ratio which potentially increases the time taken to build SOC [10, 11, 17].
In terms of impact on yield, leguminous cover crops can fix nitrogen and could therefore enhance soil fertility while non-legumes may help retain existing soil nutrients. This could potentially increase arable crop yield, but cover crops may also compete with subsequent arable crops for nutrients particularly if they are not terminated correctly. These competing mechanisms are reflected in previous syntheses which have reported inconsistent effects of cover crops on yield within the commonly-used categories of legume, non-legume and mixed [17]. Further work is required to adequately explain differences in reported trends.
Our finding that including a grass-based ley phase in temperate oceanic arable rotations increases SOC was expected in line with previous studies [6, 12]. There are likely multiple mechanistic reasons for this increase in soil carbon. Firstly, better-established root systems increase plant residue inputs, particularly from root litter. Secondly, a temporary break from cultivation protects SOC from degradation. Thirdly, soil microbiological activity is enhanced, which improves the stability of soil aggregates and so further protects SOC from degradation during cultivation in the arable phase of the rotation [60, 61]. Previous work has demonstrated that permanent conversion of cropland to grassland typically increases SOC [12, 62, 63]. It is therefore likely that ley-arable rotations will fluctuate between increasing SOC during the ley phase and declines during the arable phase, resulting in soil carbon values that are higher than continuous cropping [6, 12, 60, 64, 65].
We did not find an increase in crop yields following a ley-phase in arable rotations, which was unexpected due to the long-established fertility building properties of temporary leys driving their current widespread adoption in organic arable systems [64, 66–69]. However, it may be that the fertility benefits of leys take several years to translate into improved yields, given our analysis excluding studies shorter than 10 years did identify a positive relationship between including ley in the rotation and crop yield (SD analysis, table 2). There is also a confounding effect of study fertiliser applications; the positive association between crop yield and duration of the preceding ley has been found to disappear as crop fertiliser applications increase [70, 71]. In terms of practical limitations, ley-arable rotations require a proportion of total cropland to be taken out of arable crop production each year to establish leys. This potentially results in compensatory cultivation elsewhere leading to overall SOC losses [72]. Measures to avoid this include re-orientating livestock feeding to reduce the area of arable cropland required per year [73] or reducing overall demand for animal products via waste reduction or dietary change [74].
Despite our findings that some RA management practices can significantly increase SOC, there are important limits to the generalisability of our findings to RA in practice. Firstly, we considered individual interventions that can be part of a RA approach, rather than comparing ‘regenerative’ systems that simultaneously implement multiple interventions with ‘conventional’ systems. This was due to the current lack of studies specifically evaluating RA systems, although our method for analysis enabled us to best represent studies that implemented multiple interventions factorially. On the one hand, this prevented us from identifying potential synergistic benefits of these interventions in combination, but conversely masked any difficulties of implementing these simultaneously in a real-world context. There are also other interventions that can be adopted as part of an RA approach that we did not include here (e.g. agroforestry, pasture cropping) due to reasons set out in the section 2.
Secondly, RA practitioners typically use a holistic and adaptive management philosophy [75–77]. This can result in prescriptive treatments in scientific studies inadequately reflecting practitioner behaviour [75, 78]. Although our analysis provides an important first step to evidencing claims about the benefits of RA, further work to address this knowledge gap could include qualitative studies which give a more holistic overview of RA and observational studies of paired regeneratively and conventionally managed farms, as has been done in the USA [79, 80]. This could also incorporate other potential benefits of RA, including lowered risk of soil erosion and enhanced soil biodiversity from reducing tillage intensity, decreased nitrogen leaching and therefore water pollution by growing cover crops, and increased soil fertility and control of crop pests and diseases through rotation diversification (table 1).
Finally, the low number of studies which measure both SOC and crop yield for the interventions considered here, and the large heterogeneity within individual studies (figures S2–S4), affect the certainty of our results and likely explain the large Credibility Intervals we identified (table 2, figure S6). Increasing the number of studies captured by expanding our systematic review to other climate zones would result in a larger dataset for analysis and enable the influence of climatic variation on the impacts of RA practices to be determined.
Overall, we do not find evidence to support a win–win between increased soil carbon and crop yield when adopting certain RA practices considered here in temperate oceanic arable systems. Rather, we find increases in SOC concentration, with crop yield remaining relatively unchanged. RA is receiving substantial attention as a climate change mitigation strategy, which requires consideration of the impact of these practices on SOC stocks. Further modelling work finds that if individual practices considered here were implemented across all arable land in Great Britain, this could mitigate 16%–27% of current agricultural emissions (corresponding to cover crops in every year of an arable rotation, and a four year ley—two year arable rotation, respectively) thus significantly contributing to emissions abatement efforts [81]. In contrast, the magnitude of effect we identify for reduced tillage intensity and ley-arable rotations on SOC concentration in our current analysis is low, with Credible Intervals close to zero (table 2), similar to previous meta-analyses [6–8, 12]. Furthermore, baseline SOC data was a much stronger predictor of endline values than the three management practices considered here (EIBP analysis, table 2). This is likely due to relatively short study durations (average 12.5 years) meaning there was limited time for SOC to change substantially in response to management regime, resulting in much variation in endline SOC still being explained by its baseline value.
In addition to soil carbon and crop yield, there are other factors relevant to the climate change mitigation potential of these practices not considered here, which include: (a) soil greenhouse gas emissions, for example reduced tillage and cover cropping can increase soil N2O emissions [58, 82–85]; (b) machinery operations, which, for example, decrease with reduced tillage; and (c) requirements for manufactured inputs, including fertilisers and pesticides. Future work should build on our findings to conduct full greenhouse gas inventories of RA practices to determine their suitability for inclusion in climate change mitigation strategies, in addition to considering their impact on other soil functions and ecosystem services [86]. If this provides further support for adoption of these interventions, uptake by land managers could be incentivised through policies such as the recently reformed Common Agricultural Policy in the European Union or the new Environmental Land Management schemes in England which seek to enhance environmental outcomes through implementing beneficial management practices on farms.
5. Conclusion
We identify that two RA practices—reducing tillage intensity and incorporating leys into rotations—increase soil carbon concentration without negatively impacting crop yield in temperate oceanic arable systems. Maintenance of yields in arable cropping years is likely to appeal to land managers considering adopting these practices. However, the loss of crop production during the grass-phase of ley-arable rotations is likely to limit adoption of this practice without compensatory cultivation elsewhere or a restructuring of livestock feeding systems in these regions. Notwithstanding the fact that there are other advantages to reducing tillage, adoption of cover crops and ley-arable rotations, currently available evidence does not support a win–win between SOC and yield that some suggest RA can offer in temperate oceanic regions. Our analysis demonstrates the importance of considering soil carbon and agricultural productivity in combination, to identify synergies and trade-offs in outcomes from changes in land management. Future work could build on our results and the evidence base assembled here to conduct full greenhouse gas inventories to assess the overall climate change mitigation potential of RA. Further primary research should investigate the potential synergies and trade-offs between implementing multiple regenerative practices simultaneously by comparing RA with conventional management at a system-scale.
Acknowledgments
We would like to thank R D Armstrong, S J Crittenden, J Deru, B Dumont, J Eriksen, C Garbisu, A Jacobs, T Kautz, H J Koch, B Mary, J Peigne and F Schulz for responding to requests for additional information on their studies, and Leo Petrokofsky for generating the online evidence map.
This work was supported by funding from the Biotechnology and Biological Sciences Research Council (BBSRC) (Grant No. BB/M011224/1). PCB would like to acknowledge funding by Deutsche Forschungsgemeinschaft (DFG, German Research Foundation) under Germany’s Excellence Strategy (EXC 2075–390740016).
The authors declare that they have no known competing financial interests or personal relationships that could have appeared to influence the work reported in this paper.
Data availability statements
The data that support the findings of this study are openly available at the following URL/DOI: https://doi.org/10.5281/zenodo.5517419 [90].





