Abstract
Quantification of the sector-specific financial impacts of historical global warming represents a critical gap in climate change impacts assessment. The multiple decades of county-level data available from the U.S. crop insurance program—which collectively represent aggregate damages to the agricultural sector largely borne by U.S. taxpayers—present a unique opportunity to close this gap. Using econometric analysis in combination with observed and simulated changes in county-level temperature, we show that global warming has already contributed substantially to rising crop insurance losses in the U.S. For example, we estimate that county-level temperature trends have contributed $US2017 27.0 billion—or 19%—of the national-level crop insurance losses over the 1991–2017 period. Further, we estimate that observed warming contributed almost half of total losses in the most costly single year (2012). In addition, analyses of a large suite of global climate model simulations yield very high confidence that anthropogenic climate forcing has increased U.S. crop insurance losses. These sector-specific estimates provide important quantitative information about the financial costs of the global warming that has already occurred (including the costs of individual extreme events), as well as the economic value of mitigation and/or adaptation options.
Export citation and abstract BibTeX RIS

Original content from this work may be used under the terms of the Creative Commons Attribution 4.0 license. Any further distribution of this work must maintain attribution to the author(s) and the title of the work, journal citation and DOI.
1. Introduction
Although world governments have agreed to pursue actions that curb future greenhouse gas emissions and stabilize global temperature [1], large gaps exist between the aggregate country-level commitments and the rate of decarbonization that is necessary to achieve the agreed upon climate goals [2]. A major barrier to closing that gap is the question of whether the benefits of achieving those climate goals exceed the investment required to generate sufficiently rapid greenhouse gas mitigation [3]. While there is a long history of attempting to answer this cost-benefit question (e.g. [4–7])—including a rapidly emerging empirical literature quantifying the relationship between climate variations and economic outcomes (e.g. [8–10])—inquiry into the economic impacts of global warming has primarily focused on future changes in climate (e.g. [3, 11–13]). However, global warming has already reached ∼1.1 °C above the pre-industrial baseline [14]. Financial impacts caused by that historical warming are a critical source of additional insight, both for evaluating the economic value of greenhouse gas mitigation, and for predicting the costs associated with the additional climate change that will occur even if the UN's 1.5 °C or 2 °C target is achieved.
There is now a robust literature attributing numerous impacts to historical climate change (e.g. [15]), including the individual extreme events that account for a large fraction of climate- and weather-related losses (e.g. [16, 17]). There is also growing interest in using attribution research to assign responsibility for impacts, including financial losses [18–22]. However, studies explicitly quantifying the economic impacts of historical climate change have focused primarily on measures of aggregate economic activity [23, 24]. Relatively few attribution analyses have quantified sector-specific financial losses attributable to historical anthropogenic forcing (e.g. [25]), particularly attribution of sector-specific financial costs of individual events [26, 27].
Insured crop losses offer a potent opportunity for that quantification [28]. Although the sensitivities of crop yields to climate have been thoroughly studied (e.g. [29–31])—including the impacts of historical warming [29, 32–35]—the financial losses associated with these agricultural impacts remain largely unquantified [10, 12, 36]. Studies analyzing the impacts of climate change on crop yields provide some implicit insight into the financial costs—and can even be used to calculate financial implications of production losses [36]—but their scope is limited by the fact that they largely focus on a subset of key crops [33, 36] or on individual growing regions [37]. In contrast, the indemnities claimed by U.S. farmers and paid by the U.S. government under the federal crop insurance program represent a direct measure of financial losses across the full suite of crops grown in the U.S. Further, because more than 80% of total agricultural acreage is insured [38], crop indemnity data are a representative measure of overall financial losses in the sector. Finally, because U.S. taxpayers provide billions of dollars in subsidies to the U.S. crop insurance program [39], the burden of insured crop losses extends far beyond the agricultural sector.
Data documenting individual claims are available at the county level for the last three decades from the U.S. Department of Agriculture [40]. We use these county-level data to quantify the influence of variations in growing season temperature and precipitation on annual U.S. insured crop losses. We then use that empirical relationship to quantify counterfactual U.S. insured crop losses for a world without global warming, based on both observed county-level temperature trends and a large suite of global climate models. Using these counterfactuals, we quantify the contribution of historical temperature change for both total cumulative U.S. insured crop losses and the most costly single year in the U.S.
2. Methods
2.1. Crop insurance data
We analyze county-level crop indemnities using the 'Cause of Loss Historical Data Files' from the United States Department of Agriculture Risk Management Agency (USDA RMA) [40], which have been used in previous climate-focused analyses [10, 28, 41]. Indemnity data are provided by USDA RMA at the county level for each 'crop year'. We sum all indemnity entries for each year in each county, creating county-level annual time series of total crop indemnities from 1991 to 2017. We then convert the total indemnity values in each year to 2017 dollars using the ratio between the 2017 CPI and the CPI in each respective year, yielding inflation-adjusted total crop indemnities for each county in each year from 1991 to 2017. (Approximately 20% of county-years do not have indemnity claims, and our results are robust to different options for including the county-years without claims; table S1.)
2.2. Climate observations
We calculate county-level seasonal climate variables using the 4 km daily maximum temperature and daily precipitation data from gridMet [42]. In order to generalize our specification across the broad suite of crops grown throughout the U.S., we focus our analysis on standardized climate conditions during the core April to October (Apr–Oct) growing season. For each gridMet climate variable, we average the values that occur between 1 April and 31 October of each year, generating an Apr–Oct seasonal-mean value for each year at each grid point. We then aggregate the Apr–Oct seasonal-mean values from the native 4 km grid to the county-level, generating time series of Apr–Oct temperature and precipitation in each county in each year. Finally, for each county-level time series, we convert the annual values to z-scores, yielding annual time series of standardized Apr–Oct temperature and precipitation in each county in each year. This standardization allows us to compare counties across the U.S., which span a broad range of climate regimes, and in which many different types of crops with varying absolute temperature thresholds are grown.
Because many U.S. counties cover large areas and/or contain varied land use types, a key question for our regression model formulation (which is described in the following section) is whether variation in county-level temperature is representative of variation in temperature in the areas of the county where crops are grown. To test this, we calculate the Pearson correlation between the standardized temperature time series at each 4 km grid point and the standardized temperature time series for the county in which each respective 4 km grid point falls. We find that 98.1% of grid points have correlation >0.9, 93.4% of grid points have correlation >0.95, and 62.0% of grid points have correlation >0.99. We thus conclude that variation in county-level standardized temperature is representative of variation in standardized temperature of the areas of the county where crops are grown.
2.3. Panel regression
We use panel regression with fixed effects to calculate the relationship between temperature, precipitation and crop indemnities. As described in detail for a related setting in Burke et al [11], the fixed effects regression framework allows us to isolate the effect of temperature and precipitation from (a) time invariant factors that differ between counties and could affect indemnities (e.g. different levels of insurance uptake or different average crop mix), (b) abrupt events that introduce shocks across units and could affect indemnities (e.g. national or global price movements, or changes to crop insurance programs), and (c) slowly changing factors that are specific to each state and could affect indemnities (e.g. state-specific trends in insurance uptake, cropping patterns, and/or average temperature or precipitation).
Of the many studies that have followed Burke et al [11], our general implementation in this study is closest to Davenport et al [25], but in this case we analyze the relationship between county-level climate variations and county-level crop indemnities (rather than country-level temperature variations and country-level aggregate economic growth in Burke et al [11] or state-level precipitation variations and state-level flood damages in Davenport et al [25]). To do so, we fit a new panel regression model that is distinct from those used in previous studies.
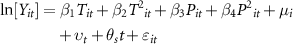
Our main specification tests quadratic relationships with temperature and precipitation:

where Yit
is the annual inflation-adjusted total crop indemnities (in $US2017) in county i in year t; Tit
is the Apr–Oct seasonal-mean standardized temperature anomaly in county i in year t; Pit
is the Apr–Oct seasonal-mean standardized precipitation anomaly in county i in year t; μi
are county-fixed effects; υt
are year-fixed effects; θs
t are state-specific linear time trends; and
it
is an error term accounting for arbitrary serial correlation within counties over time, as well as within a state in a given year.
In essence, this approach quantifies whether indemnities in a given county are higher or lower in a year in which temperature or precipitation is higher or lower than average for that county, after accounting for any common differences in either weather or indemnities that are shared with other counties in that year. Given the important role that non-climatic factors such as exposure play in influencing disaster losses over space and time (e.g. [43]), and the risk that we could conflate these differences in exposure with differences in warming, we visually verify that the county- and year-fixed effects and state-specific time trends in our regression model help to account for average differences and long-term trends at the unit level. To do so, we compare the raw county-level time series of total crop indemnities (figure S1 (available online at https://stacks.iop.org/ERL/16/084025mmedia)) with the time series of county-level indemnities after taking out the fixed effects and state-specific time trends (figure S2). This comparison suggests that the controls in our panel regression are indeed accounting for common trends in indemnities caused by changes in exposure or other factors.
We conduct a number of analyses to test the robustness of the results of our main panel regression model:
First, we test alternative specifications of the temperature and precipitation relationships. These alternatives include both binned regression and higher-order polynomial relationships (figure 2), as well as specifications that interact temperature and precipitation (tables S1–S3), which together support the use of the quadratic specification in the main regression model (figure 2).
Second, we follow previous studies (e.g. [3, 11, 23, 25, 44]) and calculate bootstrapped confidence intervals of regression parameters, sampling counties with replacement (1000 samples). We also test the sensitivity of the results to different treatments of county-years in which no indemnities were reported, and find the results to be robust (figure S3 and table S1); in calculating the main model, we remove county-years without indemnities (figure 2). We also compare the regression calculated for indemnities for all crops (which total $US2017 140.5 billion) with the regression calculated just for indemnities for corn (which at $US2017 49 billion is the single largest source of indemnities), and find very similar relationships for both the binned and quadratic models (figure S4).
Finally, we use a related 'long differences' approach to shed additional light on whether crop losses have responded to variation in longer term (multi-decadal) trends in temperature [34]. Instead of comparing counties to themselves over time as temperature and precipitation fluctuate, as in the panel approach, this long differences approach compares whether crop losses accelerated more quickly in counties that warmed more quickly over the entire study period. To implement this approach, we first separately estimate the linear trend in crop losses, temperature, and precipitation for each county in which indemnities were reported for all years in the 1991–2017 period. We then regress trends in crop losses on trends in temperature and precipitation. These regressions have much smaller sample sizes than our panel regressions, as the time series of data in each county is collapsed to one data point.
2.4. Quantifying the impacts of observed long-term change in growing-season temperature on total crop indemnities
As in previous studies (e.g. [17, 25]), we quantify the influence of the long-term climate trend on individual event magnitudes. We conduct this analysis using the standardized temperature time series that was used in calculating the panel regression. For each county, we create a counterfactual temperature time series (Tcounterfactual) by removing the 1991–2017 linear trend from the actual standardized temperature time series (Tactual). Then, for each county i in each year t, the temperature difference (ΔT) contributed by the historical temperature trend is equal to the difference between the actual and counterfactual standardized temperature:

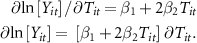
This temperature difference ΔT can be used to calculate the contribution of the long-term county-level temperature trend to the actual crop indemnities in each year. To calculate the difference in Y with respect to T, we differentiate the regression equation, which yields:

We then use the equation for the difference in Y with respect to T to calculate the impact of the actual temperature in a given year relative to the counterfactual temperature that would have occurred in the absence of the historical temperature trend:


Hence, for a given county i in year t, the counterfactual crop indemnities (Ycounterfactual) that would have occurred in that year in the absence of the historical temperature trend can be calculated from (a) the actual indemnities that occurred in that county in that year, (b) the actual standardized Apr–Oct temperature anomaly that occurred in that county in that year, (c) the counterfactual standardized Apr–Oct temperature anomaly for that county in that year, and (d) the values of β1 and β2 calculated from the panel regression across all counties in all years:

From these counterfactual indemnities, we calculate the impact of the county-level temperature trend for each county in each year by taking the difference between the actual and counterfactual indemnities:

We calculate the annual national-level impact by summing the annual county-level impacts in each year. We calculate the cumulative county-level impact for each county by summing the respective annual county-level impacts in all years from 1991 to 2017. Finally, we calculate the cumulative national-level impact by summing the annual impacts across all counties in all years from 1991 to 2017.
To quantify uncertainty in the impacts of temperature change arising from uncertainty in the regression coefficients, we repeat the calculation of the counterfactual indemnities for each of the 1000 bootstrap iterations of the panel regression. We then calculate the percentile values across the 1000 impact calculations.
2.5. Global climate model analysis
Given the strong influence of climate variability on regional and sub-regional temperature trends (e.g. [17, 45]), any county's 1991–2017 temperature trend reflects a mix of both 'external' anthropogenic forcing and 'internal' climate system variability. This ambiguity between the forced response and internal variability is particularly acute at small spatial scales [17, 45, 46], such as the county-scale analyzed here, and can cause the trend in temperature observations to be non-linear (e.g. [47]). In addition, the 1991–2017 trend only reflects warming in the recent decades, and does not capture warming caused by greenhouse gas emissions over the full industrial era (i.e. since the mid-19th century).
Given these limitations of the observations-based counterfactual approach, we also use a suite of climate model simulations from the Coupled Model Intercomparison Project (CMIP5) [48] to generate counterfactual temperature time series that reflect uncertainty in the response of county-level temperature to industrial-era anthropogenic forcing. The CMIP5 Historical simulations use anthropogenic and natural climate forcings through the year 2005, while the Natural simulations use only natural climate forcings through the year 2005. The influence of anthropogenic forcings can thus be calculated by taking the difference, or 'delta', between the respective Historical and Natural realizations of each climate model. The distribution of Historical-minus-Natural delta values across the CMIP5 realizations reflects uncertainty in the climate response to anthropogenic forcings as well as the influence of internal climate system variability, allowing us to quantify uncertainty in the county-level temperature response that is not captured by removing the linear trend from the observational time series.
We use 36 paired Historical and Natural climate model realizations from CMIP5. For each pair, we first interpolate the climate model temperature data to the gridMet observational grid. We then calculate the county-level Apr–Oct mean temperature for the IPCC baseline period (1986–2005) in the respective Historical and Natural climate model simulations, and calculate the county-level Apr–Oct 'delta' (Historical minus Natural value) in standardized units, thereby normalizing for structural biases in the GCM simulation. Then, for each county, we apply that county's simulated standardized temperature delta to that county's observed standardized temperature anomaly in each Apr–Oct season to create a counterfactual realization for a world in which there had been no anthropogenic climate forcing.
We repeat the calculation of counterfactual crop indemnities for each of the 36 GCM counterfactual temperature realizations, as described above for the single detrended observational counterfactual temperature time series. In order to isolate uncertainty contributed by differences in the GCM-simulated temperature delta, we use the main panel regression calculated from the historical observations to calculate the counterfactual crop indemnities for each of the 36 GCM counterfactual temperature realizations.
3. Results
Cumulative national-level crop indemnities totaled $US2017 140.5 billion from 1991 to 2017 (figure 1(A)). There have been substantial positive trends in U.S. crop indemnities over that period, with the largest trends exceeding $US2017 2000 000 yr−1 in the Central Valley of California (figure 1(B)). Many counties in the western U.S. exhibit trends that exceed $US2017 100 000 yr−1 (including many of the agricultural counties in California and eastern Washington), as do a large swath of counties in the central U.S. (including much of the 'Corn Belt', the Great Plains, and the Mississippi River Valley). Within this central region, many counties exhibit trends exceeding $US2017 500 000 yr−1, and a small subset exhibit trends exceeding $US2017 1000 000 yr−1. County-level trends that exceed $US2017 25 000 yr−1 are relatively common throughout the eastern U.S., including areas of the Atlantic Coast that exceed $US2017 100 000 yr−1.
Figure 1. (A) Total crop indemnities accumulated in each county from 1991–2017 (expressed in 2017 dollars using the consumer price index, or CPI). The total CPI-adjusted indemnities across all counties exceed $140 billion in 2017 dollars. (B) The 1991–2017 time trend in county-level CPI-adjusted indemnities. (C) The 1991–2017 time trend in mean county-level daily-maximum temperature for the April–October season. (D) The 1991–2017 time trend in mean county-level daily precipitation for the April–October season.
Download figure:
Standard image High-resolution imageCross-sectional comparison shows high concentration of annual indemnities in years with Apr–Oct seasons that are warm and dry, along with a secondary peak in years with Apr–Oct seasons that are wet and cool (figure 2(A)). Apr–Oct temperature increased in most U.S. counties over the 1991–2017 period (figure 1(C)). Although there is substantial noise, there is a general weighting towards larger increases in indemnities in counties with higher rates of warming (figure 2(B)). Most of the eastern U.S. has exhibited positive trends in Apr–Oct precipitation, while most of the western U.S. has exhibited little change (figure 1(D)). As a result, there is even greater noise in the relationship between county-level trends in crop indemnities and trends in Apr–Oct precipitation, with the largest trends in crop indemnities spanning both positive and negative trends in precipitation (but weighted towards positive precipitation trends; figure 2(B)).
Figure 2. (A) Cross-sectional comparison of the distribution of county-level crop indemnities for 1991–2017. Colors show the percentage of total 1991–2017 CPI-adjusted indemnities across all counties that fall in each standardized April–October temperature-precipitation bin. (B) Scatterplots of county-level 1991–2017 trends in CPI-adjusted crop indemnities versus county-level trends in April–October temperature (left) and precipitation (right). (C) Results of the panel regression with fixed effects, which controls for unit-specific fixed effects and time trends to isolate the influence of variations in individual climate variables from other confounding variables (see methods). We calculate a number of different specifications of the panel regression, including a binned model (left) and different polynomial models (right). (For the binned model, y-axis values are expressed relative to a bin with climate anomalies >2 standard deviations below the mean, and the rightmost bin includes climate anomalies exceeding 2.5 standard deviations above the mean.) We use the quadratic model (right) as our main panel regression model; alternative specifications are shown in tables S1–S2 and figures S3–S5.
Download figure:
Standard image High-resolution imageTo further isolate the influence of climatic variations from other potentially confounding time invariant or time-trending variables, we estimate panel fixed effects regressions that exploit within-county variation in both climate and crop losses—an approach that has been used widely in the climate impacts literature (e.g. [9, 11–13, 25, 44, 49]). We calculate both a binned regression model and different polynomial models, all of which suggest a significant quadratic relationship between the natural logarithm of total crop indemnities and standardized temperature and precipitation anomalies (figure 2(C) and table S1).
Both the binned and polynomial regressions indicate that crop indemnities increase sharply in conjunction with anomalously high or low temperature and/or precipitation (figure 2(C)). We stress that these regression coefficients account for long-term trends and time invariant factors within each unit, as well as abrupt events that introduce shocks experienced across units. Therefore, although generated using fundamentally different variation in the data, the results of the panel regression (figure 2(C)) agree qualitatively with the cross-sectional relationship between U.S. crop indemnities and county-level temperature and precipitation anomalies (figure 2(A)).
As yet another check on our results, we adopt a 'long differences' approach [34] and estimate whether counties that experienced larger trends in temperature or precipitation over our study period also experienced larger trends in indemnities. An advantage of this approach is that it allows direct identification of the impact of longer-run trends in climate, rather than inferring responses to these trends from annual fluctuations (as in the panel model). A substantial disadvantage relative to the panel model is a much smaller sample size, with decades of annual observations collapsed to one observation (i.e. an estimated trend) over the period. We find that long difference estimates of the effect of temperature trends on indemnities are slightly larger than panel estimates but much less precisely estimated (table S3), and confidence intervals on long difference estimates contain the estimates from panel models (tables S2 and S3). We interpret these results as further evidence that increases in temperature, either at an annual or decadal time scale, increase insured crop losses in the U.S.
Given this evidence, we use our panel regression estimates (figure 2(C)) to quantify the impact of long-term county-level temperature trends on historical county- and national-level crop indemnities, for both individual years and aggregated over the 1991–2017 period (see methods). Our main estimate (i.e. using the quadratic model) is that county-level temperature trends have contributed $US2017 27.0 billion—or 19%—of the total national-level crop indemnities for 1991–2017 (figure 3). The main estimate of the contribution of county-level temperature trends to county-level accumulated indemnities exceeds 20% for numerous counties throughout the U.S., and exceeds 30% for some counties in the central U.S. (figure 3(B)).
Figure 3. (A) The accumulated impact of the 1991–2017 trend in county-level temperature on total crop indemnities accumulated in each county from 1991–2017. The contribution of the 1991–2017 county-level temperature trend in each year is calculated using the temperature coefficients calculated using the panel regression with fixed effects (figure 2(C)). (B) The fraction of the total accumulated crop indemnities contributed by the 1991–2017 trend in county-level temperature. (C) Comparison of the range of estimates of the impact of 1991–2017 county-level temperature trends on accumulated national-level crop indemnities (pink) with the range of estimates of the impact of anthropogenic forcing calculated from the CMIP5 global climate models (purple).
Download figure:
Standard image High-resolution imageThe crop indemnities that occurred in 2012 ($US2017 18.6 billion) were the largest of the past three decades, and represent >13% of the 1991–2017 U.S. total (figure 4). Much of the U.S. experienced an intense drought in 2012 that was initiated by severe precipitation deficits and amplified by what was at the time the hottest summer on record in the U.S. (e.g. [50]). Areas exhibiting large crop indemnities (figure 4(B)) generally experienced both warm temperature anomalies and dry precipitation anomalies for the Apr–Oct season (figure 4(A)), including a large swath of the central U.S. with temperature reaching >2 standard deviations above the mean and precipitation reaching >2 standard deviations below the mean (figure 4(A)). Our main estimate is that long-term county-level temperature trends accounted for $US2017 8.8 billion—or 47%—of the total U.S. crop indemnities in 2012 (figure 4(C)), with the impact of long-term temperature trends accounting for >50% of 2012 indemnities within many individual counties in the central U.S. (figure 4(B)).
Figure 4. (A) Standardized county-level April–October precipitation (left) and temperature (right) anomalies for 2012. (B) The impact of the 1991–2017 trend in county-level temperature on 2012 county-level crop indemnities, expressed as the magnitude of impact (left) and the fraction of actual indemnities (right). (C) Comparison of the range of estimates of the impact of 1991–2017 county-level temperature trends on 2012 national-level crop indemnities (pink) with the range of estimates of the impact of anthropogenic forcing calculated from the CMIP5 global climate models (purple).
Download figure:
Standard image High-resolution imageAlthough these estimates reflect uncertainty in the relationship between temperature, precipitation and crop indemnities (figure 2(C)), they rely solely on the observed historical temperature trend, and therefore do not reflect uncertainty in the response of county-level temperature to anthropogenic forcing. Because the time-evolution of county-level temperature reflects both the response to 'external' anthropogenic forcing and 'internal' climate system variability, we repeat our counterfactual analysis using the CMIP5 global climate models, which simulate the physical response of the climate system to anthropogenic forcing within the context of internal variability (see Methods).
We find that the median national-level impact of temperature change calculated from the CMIP5 GCMs ($US2017 30.0 billion and 7.9 billion for 1991–2017 and 2012, respectively) is of a similar magnitude as the median national-level impact calculated from observed county-level temperature trends (figures 3(C) and 4(C)). In contrast, the range in the estimated temperature impact across the GCMs substantially exceeds the range across the regression bootstraps for both 1991–2017 and 2012 (figures 3(C) and 4(C)), highlighting the uncertainty in the response of county-level temperature to historical anthropogenic forcing. However, despite this uncertainty in magnitude, the estimated temperature impact exceeds 10% of actual indemnities in 94% and 97% of GCMs for 1991–2017 and 2012, respectively. Further, the estimated temperature impact is >0 in 100% of GCMs for both 1991–2017 and 2012, leading to high confidence [51] in the conclusion that anthropogenic warming has increased U.S. crop insurance losses.
4. Discussion
There is ample evidence that the increasing occurrence of severe heat has impacted a variety of natural and human systems, including agricultural crops (e.g. [29, 31, 33, 52–54]). However, there has been much less research on how historical warming has influenced the financial costs of those crop impacts. In particular, although it is possible to infer potential financial costs from estimated yield impacts [36], the existing literature on yield impacts has not spanned the full range of crops grown across the U.S. In analyzing indemnity data that span >80% of cultivated area and the full suite of U.S. agricultural crops, we find that (a) most indemnities occur in years with growing seasons that are both dry and warm (figure 2(A)), (b) panel regression identifies strongly significant quadratic relationships with both standardized temperature and standardized precipitation (figure 2(C)), and (c) a substantial fraction of historical indemnities have been contributed by historical warming (figure 3), including during one of the U.S.'s most severe drought years (figure 4).
Together, these results suggest that global warming has contributed substantially to rising crop indemnities, including increasing the financial impacts caused by drought. More broadly, these results suggest that continued warming is likely to have substantial sector-wide financial costs that can be expected to increase non-linearly with progressively more extreme temperature departures. As stated above, the fact that the U.S. crop insurance program is heavily subsidized by U.S. taxpayers means that these costs are felt far beyond the agricultural sector.
Our analysis could be refined with a number of more subtle implementations of the panel regression. For example, regional differences in the relationships between temperature, precipitation and crop indemnities can be quantified using groupings of different states within the U.S. (e.g. [25, 44]). We find that the overall pattern of a quadratic relationship with temperature largely holds for regional groupings (figure S5). The Midwest states—which contain a large fraction of the country's heavily cultivated counties—most closely resemble the U.S.-wide model. The Pacific Coast states exhibit the greatest uncertainty, which is consistent with the region's widespread irrigation and year-round growing seasons. There is also regional variation in the relationship with negative standardized temperature anomalies, with the Midwest states showing the strongest relative increase in damages from cold Apr–Oct seasons.
In addition, while our specification uses standardized temperature and precipitation for the core U.S. growing season in order to be generalizable across the full suite of climate regimes and crops grown within the U.S., our emphasis on standardized seasonal conditions presents some limitations. First, climate anomalies outside of this core growing season can impact the U.S. agricultural sector, particularly in the warmer regions with year-round growing seasons, as well as for high-value perennial crops (e.g. [55, 56]). Second, daily- and hourly-scale extremes can have non-linear impacts, particularly for crop-specific absolute temperature thresholds (e.g. [49, 55, 57]). One of the clearest non-linear responses to absolute temperature identified in the literature is for corn [49]. Our analysis suggests that the relationship with standardized seasonal temperature is very similar between total crop indemnities and corn indemnities (figures 2 and S4), and between total crop indemnities in the U.S. and total crop indemnities in the Midwest region (which is the major corn production region within the U.S.) (figures 2 and S5). However, it is possible to quantify the relationship between daily-scale absolute temperature and crop indemnities [10, 28], which would enable exploration of potential impacts from the changes in shorter-duration extreme hot and cold events that have been documented over the U.S. (e.g. [17, 58]). Further, whereas our analysis only quantifies the contribution of historical changes in temperature to historical crop indemnities, changes in extreme precipitation have contributed substantially to increasing costs of flooding in the U.S., which include crop losses [25].
The regional variations in the panel regression (figure S5) and the potential for sensitivity to shorter-duration extremes have implications for quantifying the contribution of historical warming to the financial costs of individual extreme climate events. This is an important consideration given growing efforts to assign legal liability for the impacts of global warming [18–22]. Our results suggest that—as with methods for testing the influence of anthropogenic forcing on individual extreme climate events (e.g. [17, 22])—care should be taken to customize damage-attribution frameworks to individual sectors, regions and events, including when quantifying empirical relationships with historical climate variations and when accounting for climate model biases.
5. Conclusions
There has been ∼1.1 °C of global warming above the pre-industrial baseline [14]. The magnitude of this historical warming offers an opportunity for empirical analyses to quantify the economic impacts associated with anthropogenic climate change. For example, 'bottom up' quantification of historical sector-specific impacts can complement existing 'top down' estimates of aggregate economic impacts when evaluating the value of achieving different policy goals, such as those in the UN Paris Agreement (e.g. [3]). In addition, even if the UN Paris goals are met, there will still be additional global warming beyond what has already occurred. Quantification of historical sector-specific impacts can complement existing 'bottom up' assessments of future economic damages (e.g. [13]) when evaluating both the costs associated with additional warming and the value of investing in adaptation measures to avoid those costs.
Our results—using either the observed temperature trend or a large suite of global climate models—suggest that the global warming that has already occurred has contributed substantially to rising crop insurance losses in the U.S. This includes a main estimate of ∼$27 billion in total losses from rising temperatures over the past three decades, including almost half of the $18.6 billion in losses in 2012. Given the rising frequency and magnitude of disaster losses (e.g. figure 1(B); [25, 26, 59–61]), the scale of this estimate suggests that the lower levels of global warming agreed upon in the UN Paris Agreement are likely to yield substantial savings in the form of avoided damages. Further, the frequency of extreme conditions such as those that occurred in 2012 are projected to at least double within the 2 °C warming target (e.g. [62]), suggesting that financial damages from crop losses are likely to grow substantially even if the UN Paris goals are achieved. However, it is possible that investments in adaptation could increase tolerance to the hot, dry conditions that dominate U.S. crop indemnities (e.g. [34, 52, 54, 62]). Our estimates of the contribution of historical temperature change to U.S. insured crop losses can thus help to quantify the value of both mitigation and adaptation options.
Acknowledgments
We thank two anonymous reviewers for their insightful and constructive comments that greatly improved the manuscript, and Christopher Callahan for very timely and insightful feedback. The USDA RMA crop indemnity data are available at www.rma.usda.gov/en/Information-Tools/Summary-of-Business/Cause-of-Loss. The gridMet data are available at www.climatologylab.org/gridmet.html. The CMIP5 global climate model data area available at https://esgf-node.llnl.gov/projects/cmip5/. We acknowledge the modeling groups and DOE's PCMDI for access to the CMIP5 data. This research was supported by Stanford University.
Data availability statement
All data that support the findings of this study are included within the article (and any supplementary files).



