Abstract
Despite improvements in the management of flood risk and the introduction of new regulations, losses from flooding remain high. An important driver is the continuation of new assets being built in flood prone locations. Over the last decade over 120 000 new homes in England and Wales have been built in flood prone areas. While the yearly rates of new homes in flood risk areas have increased only moderately on the national level, significant differences between and within regions as well as between different flood types exist. Using property level data on new homes built over the last decade and information on the socio-economic development of neighbourhoods, we analyse spatial clusters of disproportional increase in flood exposure from recently built homes and investigate how these patterns evolve under different future climate scenarios. We find that a disproportionately higher number of homes built in struggling or declining neighbourhoods between 2008 and 2018 is expected to end up in areas at a high risk of flooding over their lifetime as a result of climate change. Based on these findings, we discuss issues regarding future spending on flood defences, affordability of private level flood protection and insurance as well as the role of spatial planning for adaptation in the face of climate change.
Export citation and abstract BibTeX RIS

Original content from this work may be used under the terms of the Creative Commons Attribution 4.0 license. Any further distribution of this work must maintain attribution to the author(s) and the title of the work, journal citation and DOI.
1. Introduction
Flood risk is commonly understood as a function of hazard, exposure and vulnerability and can be altered through de- or increasing any of the three components [1]. The largest share in increases in flood risk and subsequent losses over the last decades in many areas of the world including the UK can be mainly attributed to an increase in exposure [2], but is likely to be exacerbated by climate change (CC) through an increase in extreme rainfall events and the mid- to long-term effects from sea level rise [3].
Therefore, managing the creation of new risk through spatial planning and other incentives that aim to reduce the amount of new assets in flood prone areas (including areas that are likely to become flood prone in the future) is seen as a key component of long-term flood risk management and adaption [4].
At the same time altering the flood vulnerability of communities by making people and assets more resilient to flooding through adaptation and efficient recovery is increasingly included in national policies and local flood risk management practice [5]. In the context of flood risk management and adaptation the term resilience has been defined differently, but a common distinction also used in this study is between asset-level engineering resilience and system-level community resilience [6–8]. Engineering resilience describes in this context the design (e.g. use of flood resistant materials, elevated floors etc) and use of buildings, that aim to prevent any harmful impacts from flooding on the asset level. Community resilience describes the ability of communities on a system level to withstand, adapt to, and recover from shocks (such as a flood event) in a way that it enables them to pursue their social, ecological and economic development objectives [8, 9].
With a shift of the responsibility towards private households and businesses to manage their own flood risk over the last decades, the question of an uneven distribution in the capacity of communities or neighbourhoods and individuals to respond to and recover from flooding in the context of environmental justice and resilience to flooding is emerging in both the academic literature and policy debate [10, 11]. This also includes discussions on the implications for spatial planning, with a growing recognition of the importance of underlying local differences in social vulnerability. Resilience in this context is criticised to be often interpreted or misused as an attempt to attenuate existing issues of environmental justice rather than challenging the underlying paradigms that caused them [12, 13].
In in the context of social vulnerability and environmental justice, several studies linking local deprivation with flood exposure have been conducted in the UK [14–20], the US [21, 22] and elsewhere [23].
However, only few studies have analysed the long-term changes under the effects of CC and no studies are available that provide an empirical analysis that captures the effects of recent spatial planning decisions on the dynamic changes in flood exposure in interaction with differences in the development of local communities in the context of CC .
Yet, understanding the long-term effects of new properties and their flood exposure in the context of the wider socio-economic development of communities is an essential step to be able to consider long term community resilience in planning decisions. This is especially important in cases where trade-offs exist between the anticipated stimulation of the local economy through investments in the property market and the long-term effects of an increase in the exposure to flooding in a community. Not taking these trade-offs into account by not considering the system-level resilience of communities they are built in, in a forward looking way, can jeopardise the long-term sustainability of entire neighbourhoods.
This also applies to cases in which asset-level engineering resilience is the main strategy to ensure long-term sustainability as the relevant property-level measures might be attenuated or waived during the planning process to not threaten the economic viability and affordability of new property developments or might become less effective in case of changing hazards under CC [24].
In this paper, we address this lack of evidence on the long-term effects of recent increases in flood exposure in the context of community resilience for the example of England and Wales by investigating (a) where new homes have been built between 2008 and 2018 in England and Wales geographically and over time, (b) how they are contributing to the current and future flood risk of their neighbourhoods, and (c) how the socio-economic development of the neighbourhoods they have been built in might affect their resilience to flooding under changing flood hazards as a result of CC.
We discuss how the findings in this study can support an improved spatial planning system by identifying neighbourhoods that, without further adaptation and efforts to increase community resilience, might face socio-economic tipping points such as sudden large-scale out-migration [25] following a flood event, significant increases in mortgage defaults and foreclosures [26] or a drop in insurability with implications for systemic risk [27–29].
2. Background
Flood risk management has long been seen as an isolated task with the purpose to prevent harm to people and assets, mainly through structural defences that should keep the water out [30]. Devastating flood disasters over the last decades in the UK and elsewhere with structural flood defences failing led to increasingly risk based approaches [27, 31].
One component to manage floods in an risk-based approach is to avoid increases in exposure by shifting development to areas with the lowest flood risk probability [32]. In this context the Planning Policy Guidance Note 25 (PPG25) was introduced in 2001 in England and Wales making the environment agency a statutory consultee on applications for planning permissions in flood risk areas [33] 1 . This should ensure that local planning authorities, who are largely independent in setting their local development plans, only permit new property developments in areas at risk of flooding if no other options are available, the sustainable benefits out weight the increase in flood risk and that the new property developments are both resilient (i.e. asset-level engineering resilience) and resistant to flooding [35].
However, facing competing interests and institutional agendas such as constrains on building on protected land and pressure to meet national housing targets, new developments are frequently permitted in areas at risk of flooding. The Adaptation Committee of the UK's Committee on Climate Change estimated in 2019 that 54 500 new properties were built in flood zones between 2014 and 2017 [36]. While the planning system stipulates that new buildings should only been built in accordance with requirements to ensure their current and future (engineering) resilience to flooding, there are no nation-wide data sets available to monitor whether these requirements are met.
In addition, most of these requirements are based on current flood risk levels not taking into account a potential future increase in flood risk as a result of CC [24]. At the same time, the effectiveness of other attempts to disincentivise new homes in areas at risk of flooding such as the exclusion of homes build after 2009 from the national flood insurance pool FloodRE remains unclear [27].
There are significant gaps in the understanding on how new properties in or near areas at risk of flooding affect the wider long-term future sustainable development and system-level resilience in the neighbourhoods and communities they are built in. This concerns both the potential changes to the flood hazard as a result of CC as well as local socio-economic changes over the lifetime of new property developments.
In this context, we analyse where new homes over the last decade have been built in areas at risk of flooding in England and Wales and investigate the links between the socio-economic development trajectories of the neighbourhoods they have been built in. We also investigate how CC might affect these new homes over their lifetime by applying three different CC scenarios as used by the UK Committee on Climate Change [37].
3. Materials and methods
We combine property level information on the location of new residential dwellings built between 2008 and 2018 in England and Wales from the AddressBase Premium dataset provided by Ordnance Survey (OS) with information on their current and future risk of getting flooded under three different CC scenarios as well as the socio-economic development trajectories of the neighbourhoods the new residential homes have been built in. The flood risk of a new home is determined by whether the geolocation of the property is inside an area at risk of flooding defined by the official risk maps for flooding from river and sea (RoFRS) as well as from surface water (RoFSW) available for England and Wales. The flood risk maps have national coverage, include local expertise, and take into account flood defences and their condition.
Homes are considered as being at a high to medium risk of flooding (HFR), when the property is in an area with a 1% (0.5% for sea) or higher annual chance of flooding. Properties are considered to be at a low risk of flooding (LFR) in case they are located in an area with a 1% (0.5% for sea) to 0.1% annual chance of getting flooded (for further details see appendices A.1.1 and A.1.2).
The change in the flood risk by the 2050s as a result of CC is estimated for the different flood types (sea, surface, river) across England and Wales based on three CC scenarios as defined by the UK Climate Change Committee (CCC) [38]: a lower end scenario based on a 2∘ change in global mean temperature (GMT) (2C), a 4 ∘C change (4C) and a worst case scenario (H++) which does not refer to a specific GMT, but is considered a credible high end change scenario. A total of 11 908 local impact areas with sizes ranging from 3 to 23 km2 are defined across England and Wales to capture the local and flood type specific changes to the areas at risk of flooding for the different CC scenarios. Following the approach from [37] we derive impact functions for each of the local impact areas and flood types by counting the number of new build properties that would get flooded for a 3%, 1% and 0.1% annual chance of flooding. Assuming no future changes in structural flood protection, we use the different regional scenarios for changes in the return period or standard of protection for river, sea and surface water flooding and the local impact functions to estimate the change in the number of properties built between 2008 and 2018 having a 1% or higher annual chance of flooding for each flood impact area by the 2050s for the three different CC scenarios (see appendix A.1.4 for details).
The information of the recently built homes and their current and future risk of flooding under CC is then combined with information on the socio-economic development of the neighbourhoods the homes have been built in. The neighbourhood development trajectory data set developed by [39] uses gridded information on demographic characteristics, socio-economic development and housing data of decadal censuses from 1971 to 2011 to first create representative neighbourhood typologies for each census year and then use sequence analysis to derive seven representative trajectories characterising the wider socio-economic development of neighbourhoods from longitudinal transitions of these neighbourhood typologies over time (see appendix A.1.3 for details). The data is available as a 1 km2 grid for England and Wales.
In accordance with the three research questions outlined in section 1, we conduct three different analysis:
First, we analyse year to year changes in new homes in flood risk areas for the period between 2008 and 2018, both in total and by flood type. We use the non-parametric Mann-Kendall (MK) test to analyse trends in the absolute number and share of new homes in HFR and LFR. The non-parametric Theil–Sen estimator is used to estimate the magnitude and direction of both the national trend for England and Wales as well for each local authority (LA) district with the significance of the trend determined by a MK test [40]. The difference in slope from the Theil-Sen estimator between the national trend and the trend in each LA district is used as a measure for the strength of the local deviation from the national trend.
Second, we analyse spatial trends in flood exposure of homes built between 2008 and 2018. For that we analyse the number of new homes in HFR both for the current and the future flood hazard levels for the 2050s for the three CC scenarios. Hot spots are assessed by using local spatial auto-correlation. We use the local Gi (d) statistic (local Getis Ord) to identify clusters [41] of local flood impact areas. For each local flood impact area the local Gi (d) statistic is estimated based on the distance between neighbouring flood impact areas and both the respective absolute number and share of homes in HFR. The threshold distance for neighbouring flood impact areas was set that each area has at least one neighbour (see appendix A.2.1 for details).
Third, we analyse how the flood exposure of homes built between 2008 and 2018 is distributed among different socio-economic neighbourhood types. We calculate for each of the seven neighbourhood types the difference between the share of all new build homes and those in HFRs. This difference provides a measure whether the share of homes in HFRs for a specific neighbourhood type is higher (positive values), or lower (negative values) compared to what would be expected based on the overall distribution of homes built between 2008 and 2018 in the respective neighbourhood type. The difference is calculated for current and future flood risks under different CC scenarios to analyse how future changes in the flood hazard is affecting the recently built homes over their lifetime in different socio-economic neighbourhood types (see appendix A.2.2 for details).
4. Results
For the property data set, we find that for current hazard levels around 5% of the 1.3 million homes built between 2008 and 2018 in England and Wales are located in HFRs. Another 10% of new homes were built in LFRs. The majority of the 62 413 homes in HFRs are either affected by river (42%) or surface water flooding (41%). Full summary statistics are presented in table B1 in the appendix.
4.1. Time trends
We find significant trends for the year-to-year share of new build homes in flood risk areas in some local authority (LA) districts. Of the 335 LA districts in which new homes have been built between 2008 and 2018, 29 show significant trends in the share of new build homes for HFR and 38 for LFR. Of those LA districts with significant trends seven LA districts for HFR and nine for LFR have trends below the national trend, while the majority of LA districts with significant increases have trends above the national trend. Only three out of the 335 LA districts have significantly declining trends in the share of new homes built in HFR and 8 LA districts in LFR. Figure B1 in the appendix shows all LA districts with significant year to year trends in the share of new build homes in flood risk areas including their deviation from the national trend.
For the absolute number of new build homes in flood risk areas in England and Wales between 2008 and 2018 we find a significant positive trend in LFR and no significant trend in HFR areas based on the MK trend test (90% confidence level)(see figure 1). When analysing the share of new build homes in flood risk areas in England and Wales for the same period we find no significant trends for both LFR and HFR areas (based on the MK trend test) (see figure B2 in the appendix).
Figure 1. Number of new homes build per year in high/medium (HFR;
1%) and low (LFR, 1%–0.1%) flood risk areas between 2008 and 2018.
Download figure:
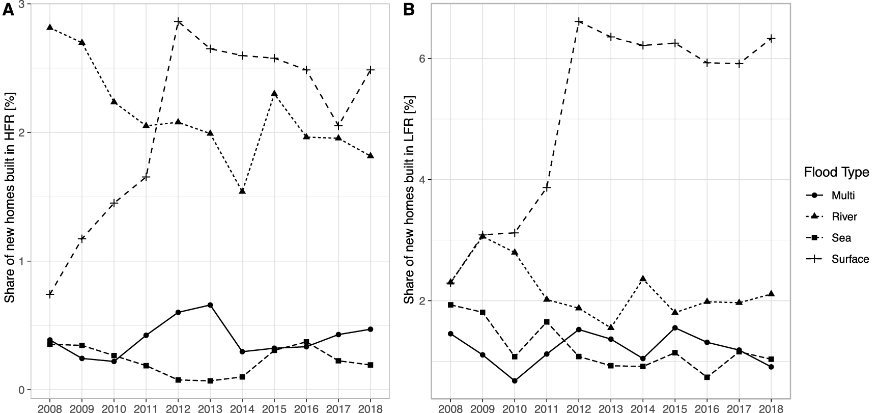
Standard image High-resolution imageLooking at the different flood types, we find that the rate of new homes built in areas at risk from surface water flooding has almost tripled between 2008 and 2012 and remains at a high level after reaching a peak in 2012, while the rate of new homes in areas at risk from river has decreased over time. Figure 2 shows the yearly rate of new build homes by flood type for HFR and LFR respectively. While the available data does not allow for a detailed analysis of the reasons for the different year-to-year changes between different flood types, one influencing factor could be the introduction of flood maps and subsequent zoning regulations as part of the land use planning process to further restrict developments in areas at risk of flooding: flood risk maps for river and sea were formally introduced in today's shape and form in 2004, while surface water flood risk maps were first introduced in 2008 and updated in 2010 and 2013 [42], around the time when the rate of new homes at risk from surface water flooding starts to stabilise.
Figure 2. Year to year change in the share of new homes built in flood risk areas as percentage of all new build homes for different types of flooding. A shows results for high/medium flood risk (HFR;
1%) areas. B shows results for low flood risk areas (LFR, 1%–0.1%).
Download figure:
Standard image High-resolution image4.2. Spatial trends and hot spots
We find a high total number of new build homes in HFR in parts of London and in the Thames Valley for current hazard levels. Other clusters include urban areas in estuaries such as in Liverpool, Hull or Bristol as well as smaller areas along rivers in the East Midlands or Yorkshire and the Humber (see figure 3—top left).
Figure 3. Top: homes built between 2008 and 2018 in high/medium flood risk (HFR;
1%) areas in absolute numbers (left) and as share of the total number of homes built in the same time period (right) for local impact areas across England and Wales. Center left—bottom left: change in share of homes (in percentage points) built between 2008 and 2018 in HFR areas by the 2050s as a result of changing flood hazard levels for three different CC scenarios (2C: 2 degree warming by 2100, 4C: 4 degree warming by 2100 and H++: credible high end warming scenario).
Download figure:
Standard image High-resolution imageLooking at the share of new build homes in HFR as a proportion of all buildings built in the respective area during the same period, a strong clustering with high shares appear mainly in estuaries on the border between the East of England and the East Midlands as well as along the river Trent in Yorkshire and the Humber (figure 3—top right). This is also confirmed by the hot spot analysis based on local spatial auto-correlation (figure 4): we find two significant local clusters with high shares of new build homes in HFR in estuaries on the border between the East of England and the East Midlands and along parts of the river Trent. The latter was severely affected during the 2019/2020 winter flood season [43].
Figure 4. Spatial clusters (hot spots) with high shares of new build homes in high/medium flood risk (HFR;
1%) areas, 2008–2018. High positive Z-score values indicate hot-spots with a high number of neighbouring impact areas with a high share of new build homes in flood zones.
Download figure:
Standard image High-resolution imageFor the different CC scenarios we find that existing hot spots are expected to be further amplified with more homes built between 2008 and 2018 expected to fall into HFRs by the 2050s, increasing the share of new homes in HFRs in many areas without further action. But also new hot spots are expected to emerge without further intervention for these homes, especially along lower lying coastal areas in the South East of England, along the Thames river banks in London and along the Ouse in Yorkshire and the Humber (figure 3). We find the highest expected shift in the share of homes built between 2008 and 2018 in HFR by 2050 as a result of CC to range from 2%-points for the 2C scenario to 35%-points for the high-end scenario (H++). Here, the largest changes are expected along coastal areas and estuaries in the East of England and in Yorkshire and the Humber, but also in smaller areas in the South East and the North West of England. Results of the local hot spot analysis for different CC scenarios are shown in figure B3 in the appendix.
4.3. Current and future flood exposure by neighbourhood type
Figure 5 shows the distribution of homes in HFR built between 2008 and 2018 by the different socio-economic development trajectories of the neighbourhoods they have been built in (see section 3 and appendix A.1.3 for details on the socio-economic neighbourhood development data). When comparing to the overall number of homes built in the different neighbourhood trajectory types in the same period, we find that under current flood hazard conditions a disproportionately lower share of new homes in HFR in England and Wales were built in areas with Increasing struggling homes-owners, characterised by [39] as areas transitioning from a 'families in council rent type to a struggling (home-owner) type' as well as in Upwarding thriving neighbourhoods, described as neighbourhoods that have persistently been thriving over the last four decades. A disproportionately higher share of new homes in HFR were built in the Ageing manual labour (describing neighbourhoods transitioning from blue collar families to an ageing demographics type) and Stable affluent (describing neighbourhoods that have persistently remained affluent over the last four decades) neighbourhood types. For other neighbourhood types the share of new homes in HFR is nearly proportionate to all new homes built between 2008 and 2018 in those respective areas.
Figure 5. Deviation of the share of new-build homes (2008–2018) in high/medium flood risk (HFR) areas from the share of all homes built in the respective neighbourhood types based on [39] in percent points. Positive values (in blue) indicate a disproportionately higher, negative values (in yellow) a disproportionately lower share of homes in HFR areas relative to the share of all homes in a specific neighbourhood type. The deviations are shown for the seven different neighbourhood types and for current flood hazard conditions as well as for flood hazard conditions for the 2C, 4C and H++ climate change scenarios. Dots represent the best estimate for the 2050s. Error bars show the range of expected outcomes for the entire projected lifetime of the analysed buildings from the 2020s to the 2080s.
Download figure:
Standard image High-resolution imageUnder the assumption that neighbourhoods across England and Wales remain on their current socio-economic development trajectories over the coming decades, we find that the increase in the proportion of homes built between 2008 and 2018 exposed to flooding as a result of CC differs depending on the neighbourhood type they are located in. The results show a polarisation in the increase in the flood exposure of homes built between 2008 and 2018 over their lifetimes with increasing deviations in the share of homes located in HFR in three of the eight neighbourhood types (figure 5). Most noticeably in the Increasing struggling homes-owners neighbourhood type, where a CC induced change of the flood hazard is expected to lead to a disproportionately larger increase in the share of homes built between 2008 and 2018 ending up in a HFR by the 2050s for all CC scenarios, while its share under current hazard levels is disproportionately smaller.
5. Discussion and conclusion
Our study extends previous research on flood exposure, spatial planning and environmental justice [10, 11, 14–17, 19, 20] in the context of community resilience to flooding by including the effect recently built homes have on the flood exposure of different socio-economic neighbourhood types. We further investigate how changes in the hazard due to CC is affecting these homes over their lifetime in the socio-economic context of the neighbourhoods they were built in.
Our analysis shows that around 17 000 new homes have been built in HFR and LFR areas in England and Wales on average each year over the last decade. These homes are not only highly spatially concentrated with 34 local authority districts (10% of all local authority districts where new homes have been built) being responsible for 90% of all new homes built in flood risk areas, but also unevenly distributed between different socio-economic neighbourhood types. Our results indicate that a spatial shift in flood risk areas as a result of CC is expected to result in more homes built over the last decade to end up in HFR areas over their lifetime without further action. This increase is expected to be disproportionately higher in multi-cultural urban neighbourhoods and areas dominated by increasingly struggling home-owners.
It is difficult to consider all dynamic and mutually influencing processes when analysing the interplay between new build homes, current and future flood exposure and socio-economic development of neighbourhoods in a forward looking analysis including the effects of CC.
Our study shows where new homes have been built between 2008 and 2018 and how their risk of getting flooded is changing over the coming decades in conjunction with changes in the socio-economic characteristics of their respective neighbourhoods. However, it is possible that the development trajectories of neighbourhoods might change in the future in case of significant disruptions. For example neighbourhoods might experience a change in investment flows (e.g. when a council decides it can no longer defend a neighbourhood from increasing flood hazards) [44] or simply as as result of changes in preferences or demand (e.g. raise in attractiveness of suburban or countryside homes). We partly address this issue by using a new data set of neighbourhood classifications from long-term longitudinal data [39]. This data set takes into account a larger set of variables characterising the longitudinal socio-economic development of different neighbourhood types over the last four decades and by that also helps increasing the robustness of development projections looking into the future. Other approaches use either proxy variables that are very sensitive to the overall economic development such as real estate prices or use relative measures such as the frequently used index of multiple deprivation (IMD), which does not allow longitudinal analysis over time.
Another source of uncertainty regards future changes in the flood hazard as a result of CC which is both affected by uncertainties in the link between changes in the GMT and the resulting changes in the frequency and intensity of floods (e.g. through rising sea levels and changes in rainfall patterns). While we use highly localised flood impact areas across England and Wales to cover the different local impacts of CC on the flood hazard, assumptions need to be made on the functional relationship between the change in flood hazard levels and number of homes affected by this change (a more detailed discussion of the assumptions and limitations can be found in the appendix A.1.4).
Future investments in structural flood defences could offset some of the identified increases in hazard levels, but it is uncertain where and to what degree this can and will be done. However, as the current spatial planning regime works under the assumption that new homes in flood risk areas are built and designed to be able to resist flooding (by means of engineering resilience) over their expected lifetime, we do not consider any future changes in structural flood defences to specifically protect these homes.
As there are so far no regular assessments of the actual engineering resilience of individual new build properties and recordings if they meet the requirements set in the planning process, it remains uncertain to what extent the increase in exposure shown in this study can be offset by property level engineering resilience to avoid an increase in flood damage. While assumptions on the rate and effectiveness of for example private level adaptation have been made in previous studies, they generally rely on limited evidence and it remains unclear to what extent they reflect reality [45].
Based on the considerable differences in the change of flood exposure of new build properties between different neighbourhood types as a result of CC shown in this study, it is very likely that the socio-economic characteristics of these neighbourhoods are also closely linked to differences in their community resilience. In this context especially struggling communities with increasing flood exposure are likely to become less resilient to flood disasters without further action. While this study is a first step towards establishing an empirical link between the role of spatial planning decisions and the flood resilience and long term sustainable development of communities, more research is needed to better utilise spatial planning in supporting CC adaptation and community resilience as requested by the CCC and others [44, 46]. This also requires more research in supporting a better understanding and measurement of community resilience, which is still in its early stages [47, 48].
Such an approach also needs to include financial implications of community resilience: The majority of the homes in our analysis is not covered through the subsidised insurance pool FloodRE, due to the exemptions of homes built after 2009 and insurance cover may become unavailable or not affordable for theses new build homes. In this context, previous studies have shown that changes both in flood exposure and insurance premiums negatively affect property values, with expected negative effects on community resilience through reduced financial resources [49, 50].
Our results indicate that already struggling neighbourhoods will face this issue more likely than other types of neighbourhoods. This can lead to knock-on effects where a low or lacking ability to cope with increasing flood risks of individual households or properties can decrease both the attractiveness and property value of a larger area as chances for a full recovery after a flood event decrease and community development is impaired [25]. This could bear a wider risk with systemic implications such as an increase in mortgage defaults and foreclosures due to a combination of decreasing real estate prices and lower chances of financial recovery [26].
Acknowledgments
We would like to thank Ordnance Survey for providing us with the raw data from which the new location of new build homes were derived. We also would like to thank Nikos Patias, Francisco Rowe and Stefano Cavazzi for allowing us to use their data set on neighbourhood development trajectories. We are grateful for peer review comments from Kathryn Brown and Paul Sayers as well as from the editor and two anonymous reviewers of this journal.
Data availability statement
The data that support the findings of this study are available upon reasonable request from the authors.
Funding
This work was supported by the Z Zurich Foundation, Switzerland; the Grantham Foundation for the Protection of the Environment and the ESRC via the Centre for Climate Change Economics and Policy under Grant No. ES/R009708/1.
Appendix A: Material and methods
A.1. Data
A.1.1. New build properties 2008–2018
We construct a property level data-set of newly build dwellings between 2008 and 2018 in England and Wales by combining information on the dwelling type, location, occupancy and postcode from the AddressBase Premium product provided by Ordenance Survey [51] with postcode information from the publicly available postcode directory from the Office of National Statistics (ONS) [52] through their unique post code. AddressBase Premium contains detailed information on address and types of assets for every property in the UK. By filtering the dataset by the property type and the introduction year of a new postcode from the ONS postcode directory, we are able to identify new residential homes and the year of their completion (i.e. the year the address has been activated). The resulting data set comprises of around 1.3 mio data points representing new homes in England and Wales built between 2008 and 2018, their year of completion, their location and the dwelling type (flat, detached, semi-detached, terraced, other). This approach is different from previous approaches such as by [53], which compared reversed versions of the AddressBase data base for specific snapshots in time, to allow for a higher temporal resolution.
The constructed data set contains both new developments on green- and brown fields associated with land-use change as well as conversions or redevelopments in existing urban structures. Individual homes are defined as self-contained units with their own registered address. The data set has been validated by comparing historic high-resolution satellite imagery from GoogleEarth from a year before and after the stated year of construction for 50 random addresses.
A.1.2. Flood hazard maps
The flood hazard maps used in this study are the publicly available flood maps provided by the Environment Agency for England and by Natural Resources Wales for Wales. For the flood hazard from river and sea the 'Risk of Flooding from Rivers and Sea (RoFRS)' flood maps are used [54, 55]. For surface water flooding the extent maps from the Risk of Flooding from Surface Water (RoFSW) are used [56, 57]. The flood maps have nation-wide coverage, are available as GIS shapefiles and shows the chance of flooding as one of four flood risk categories, taking into account flood defences and their condition.
In this study we consider homes being at a high/medium risk of flooding, when the property is in an area with a 1% or higher annual chance of flooding from river and surface water and a 0.5% or higher annual chance of flooding from sea. We consider areas with a low risk of flooding in case they have between a 1% (0.5% for sea) and 0.1% annual chance of getting flooded. Whether a home is at risk from flooding is determined by its location within or outside the respective flood risk area.
A.1.3. Neighbourhood development
To identify the development trajectories of neighbourhoods in combination with their flood exposure, we use a gridded, spatio-temporal consistent neighbourhood trajectory data set developed by [39]. The data is available on a 1 km2 grid for England and Wales. The approach uses neighbourhood-level information of the four decadal censuses between 1971 and 2011 to create neighbourhood typologies for each census year. The neighbourhood typologies are based on in total 21 variables on demographic (age, place of birth), socio-economic (socio-economic group, occupation, proportion of students, unemployment, mode of travel to work) and housing data (ownership, social housing, vacancy rate) (a full list and of all variables considered in the analysis is shown in [39]). Sequence analysis was used to derive seven representative trajectories of neighbourhood development from longitudinal transitions of these neighbourhood typologies over time. The names and descriptions of the seven trajectories are shown in table A1. This approach allows for a spatially and temporally consistent and representative classification of development paths of neighbourhoods in a community, identifying neighbourhoods with stable, upward and downward socioeconomic development pathways. Compared to the widely used English and Welsh indices of multiple deprivation (IMD), which only allow to analyse changes in deprivation between two snap-shots in time relative to other neighbourhoods, sequence analysis allows to capture the evolution of neighbourhoods transitioning through phases of development, growth, stability and decline over time. More details on the methodology that was used to derive the representative trajectories can be found in [39]. For the analysis in this study, the neighbourhood a new home was built in is determined by its geographical location. In cases where new developments are not in a neighbourhood trajectory grid cell (either through small inaccuracies caused by the grid approach or through greenfield developments that have not been considered as part of the neighbourhood before) we apply a nearest neighbour approach to link the new build homes to the nearest neighbourhood. This is only done in cases where the new build home is less than 1 km (or 1 grid cell) away from the closest neighbourhood, based on the assumption that developments further away need to be considered as independent new neighbourhoods which are likely to have their own development trajectories.
Table A1. Names and key features of the seven main neighbourhood trajectories as described in [39].
| Neighbourhood trajectory name | Description |
|---|---|
| Stable affluent | Areas remaining persistently affluent over 1971 and 2011. |
| Ageing manual | Areas transitioning from being dominated by blue collar families to an older striving neighborhood type. |
| Increasingly socio-economically diverse | Areas transitioning from a struggling or blue collar families type to a mixed workers suburban type. |
| Increasingly struggling home-owners | Areas transitioning from a families in council rent type to a struggling type. |
| Stable multicultural urban | Areas remaining multicultural in urban locations. |
| Rejuvenating | Areas transitioning from an older striving type to a mixed workers suburban type. |
| Up-warding thriving | Areas transitioning from an older striving type to, or remaining in, a thriving suburban type. |
A.1.4. Climate change scenarios
For this study the future flood hazard projections for three CC scenarios for the 2050s as defined by the UK Climate Change Committee (CCC) are considered [38]: a lower end scenario based on a 2∘ change in Global Mean Temperature (GMT) (2C), a 4∘C change (4C) and a worst case scenario (H++) which does not refer to a specific GMT, but is considered a credible high end change scenario. All changes in GMT are expressed for the year 2100 relative to the 1961-90 baseline as by the UK Climate Change Projections (UKCP09) provided by the Met Office. Based on these climate projections [37] developed future flood hazard projections for the UK including relative sea level rise around the English and Welsh coastline, changes in peak river flows for the 12 major catchment areas in England and Wales as well as changes in storm rainfall depth and intensity influencing the surface water flood risk. Using the same approach and assumptions as in [37] for the UK Climate Change Risk Assessment the relative changes in sea level rise, peak river flow and storm rainfall depth and intensity are translated into changes in the annual chance of flooding/changes in the level of protection for different hydrological regions, land use types (i.e. urban and not urban) and coastal regions and features (i.e. beaches, cliffs, levees etc). Change parameters for all flood types, different return periods and the different scenarios used in this study can be found in [58]. Table A2 gives an overview of the regional differences and differences in the susceptibility for the different flood types considered in this study. To analyse the potential local effect of CC on the future exposure to floods of new build properties, we create local impact areas based on a 5 by 5 km grid across England and Wales for surface water flooding. For sea and river flooding, we use the same grid to split areas potentially affected by flooding from river or sea (based on current shapefiles of flood risk areas from the RoFRS). This allows us to define a total of 11 908 local flood impact areas across England and Wales with sizes ranging from 3 to 23 km2, that are spatially consistent in regard to their flood risk. Based on the mentioned regional CC parameters we derive impact functions for each flood type and for each of 11 908 local impact areas. The impact functions describe the functional relationship between the current annual chance of flooding (i.e. 3%, 1% and 0.1%) and the respective number of homes built between 2008 and 2018 at risk from flooding. The impact functions are then used to translate the change in the flood hazard for the three different CC scenarios into the change in the number of homes that are expected to have 1% or higher annual chance of flooding by the 2050s under the 2C, 4C and H++ scenarios. To do that, we assume linear relationships between the change in the area with a 1% or higher annual chance of flooding and the additional number of homes that fall into that area.
Table A2. Regional differences and differences in susceptibility considered in the three different climate change scenarios.
| Flood type | Change indicator | Regional differences | Susceptibility differences |
|---|---|---|---|
| Sea | Relative sea level rise | 5 coastal regions (E, SE, SW, MW, NW) | 3 coastal defence types (sea wall, embankment, beach) |
| River | Peak river flow | 12 hydrometric regions | — |
| Surface | Storm rainfall depth & intensity | — | 2 runoff types (rural, urban) |
For the hypothetical example of a local impact area with 10 homes with currently a 1% or higher annual chance of flooding from sea and an additional 20 homes with currently an annual chance of flooding from sea between 1% and 0.1%, the expected shift in the number of houses at 1% or higher annual chance of flooding as a result of climate change would be estimated as follows: based on the CC scenarios for that area sea level rise is expected to lead to a shift in flood probability so that the equivalent of a 1% or higher annual chance of flooding in the 2050s would be the equivalent of 1.2% or higher annual chance of flooding today. This 20% increase for the equivalent of a current 1% or higher annual chance of flooding is estimated to lead to a 20% increase in the number of homes that are currently in the next higher risk band, i.e. the 20 homes that currently have between a 1% and 0.1% annual chance of getting flooded. With 10 homes already with a 1% or higher annual chance of getting flooded and an additional 20% of the 20 homes with currently an annual chance of getting flooded between 1% and 0.1%, the estimated number of home with a 1% or higher annual chance of flooding in the 2050s is 14.
This approach assumes that homes in higher risk bands are randomly distributed in space within the spatial area of that risk band. This assumption needed to be made as currently no consisted flood risk maps with national coverage are available that show expected changes in flood probability for a location in high spatial resolution. However, as this approach is applied individually to the 11 908 local flood impact areas with high spatial resolution (3–23 km2), the effect of this simplification on the uncertainty of our results are expected to be small.
A.2. Methods
A.2.1. Spatial trends
We calculate for each local flood impact area i across England and Wales the share of homes in high/medium flood risk areas (HFR;
1% annual chance of flooding for river and surface,
0.5% for sea) Pfl
by taking the ratio between the number of homes that have been built in HFR areas from 2008 to 2018
and the total amount of homes built in the respective flood impact area
:

is calculated for the current climate, as well as for the 2C, 4C and H++ CC scenarios. To estimate the potential change in the spatial distribution of the share of recently built homes in flood risk areas by the 2050s, we calculate the difference in percent points between the current share and the share for the three different CC scenarios:

Hot spots and spatial trends are assessed by using local spatial auto-correlation. We use the local Gi (d) statistic (local Getis Ord) to identify clusters [41]. For each local flood impact area the local Getis Ord statistic is estimated based on the distance between neighbouring flood impact areas and both the respective absolute number and share of homes in HFR areas. The threshold distance for neighbouring flood impact areas was set that each area has at least one neighbour.
A.2.2. Flood exposure and neighbourhood development
For each of the seven neighbourhood development trajectories across England and Wales, we calculate the deviation between the proportion of homes built in HFR areas with the overall proportion of homes build in each neighbourhood type:

with
representing the difference in percent points between the share of new build homes in HFR areas for a specific neighbourhood type
and the total share of homes for this neighbourhood type
.
provides a measure whether the share of homes in flood risk areas for a specific neighbourhood type is higher (positive values), on par (around 0), or lower (negative values) compared to what would be expected based on the overall distribution of new homes between the different neighbourhood types. We calculate
both for the current state as well as for the 2C, 4C and H++ CC scenarios to be able to estimate how the distribution of recently built homes in HFR areas is expected to shift between the different neighbourhood development trajectories with CC.
Appendix B: Results
B.1. Summary results
Table B1. Summary statistics showing all homes build in high/medium flood risk areas (1% or greater annual chance of flooding from rivers and surface water and 0.5% or greater annual chance of flooding from sea) and low flood risk areas (between 0.1% and 1% annual chance of flooding from rivers and surface water and between 0.1% and 0.5% annual chance of flooding from sea) by country, dwelling type and flood type.
| England | Wales | ||||||||
|---|---|---|---|---|---|---|---|---|---|
| High/medium flood risk area | River | Sea | Surface | Multiple | River | Sea | Surface | Multiple | Total |
| Houses (detached, semi-detached, terrace) | 9850 | 935 | 12 483 | 2126 | 1120 | 40 | 513 | 224 | 27 291 |
| Flats (self-contained) | 15 403 | 1841 | 12 459 | 2335 | 289 | 171 | 223 | 54 | 32 775 |
| Other | 1035 | 95 | 1116 | 16 | 13 | — | 72 | — | 2347 |
| Total | 26 288 | 2871 | 26 058 | 4477 | 1422 | 211 | 808 | 278 | 62 413 |
| England | Wales | ||||||||
| Low flood risk area | River | Sea | Surface | Multiple | River | Sea | Surface | Multiple | Total |
| Houses (detached, semi-detached, terrace) | 8515 | 5391 | 31 406 | 7175 | 1189 | 1938 | 1339 | 777 | 57 730 |
| Flats (self-contained) | 16 227 | 5011 | 30 452 | 6732 | 697 | 3112 | 500 | 746 | 63 477 |
| Other | 1221 | 198 | 2889 | 453 | 6 | 171 | 75 | 4 | 5017 |
| Total | 25 963 | 10 600 | 64 747 | 14 360 | 1892 | 5221 | 1914 | 1527 | 126 224 |
B.2. Time trends
Figure B1. Local authority districts (LA) with significantly increasing or decreasing trend in year-to-year ratios of new build homes in flood risk areas over time (2008–2018) based on the Mann-Kendall trend test with 0.05 significance level. Deviation on y-axis shows the difference in slope between each LA and the national trend. Slope is calculated based on the non-parametric Sen's slope. Bars in light-blue show decreasing trends (negative slope); bars in dark-blue show increasing trends (positive slope). A shows results for high/medium flood risk areas (1% (0.5% for sea flooding) or higher annual chance of flooding). B shows results for low flood risk areas (between 1% (0.5% for sea flooding) and 0.1% annual chance of flooding).
Download figure:
Standard image High-resolution imageFigure B2. Share of new homes build per year (in percent of all homes build per year) in high/medium (HFR;
1%) and low (LFR, 1%–0.1%) flood risk areas between 2008 and 2018.
Download figure:
Standard image High-resolution imageB.2.1. Spatial trends and hot spots
Figure B3. Spatial clusters (hot spots) with high shares of new build homes in flood risk areas, 2008–2018 for 2C, 4C and H++ climate change scenarios. High positive Z-score values indicate hot-spots with a high number of neighbouring impact areas with a high share of new build homes in flood risk areas.
Download figure:
Standard image High-resolution imageFootnotes
- 1
The planning policies are likely to be superseded by new legislation currently discussed and outlined in the Planning for the Future White paper [34].







