Abstract
Identifying the future threats to crop yields from climate change is vital to underpin the continuous production increases needed for global food security. In the present study, the vulnerability of European wheat yield to heat and drought stresses around flowering under climate change was assessed by estimating the 95-percentiles of two indices at flowering under rain-fed conditions: the heat stress index (HSI95) and the drought stress index (DSI95). These two indices represent the relative yield losses due heat stress or drought stress around flowering that could be expected to occur once every 20 years on average. The Sirius wheat model was run under the predicted 2050-climate at 13 selected sites, representing the major wheat-growing regions in Europe. A total of 19 global climate models (GCMs) from the CMIP5 ensemble were used to construct local-scale climate scenarios for 2050 (RCP8.5) by downscaling GCMs climate projections with the LARS-WG weather generator. The mean DSI95 due to extreme drought around flowering under the baseline climate (1981–2010) was large over Europe (DSI95 ∼ 0.28), with wide site variation (DSI95 ∼ 0.0–0.51). A reduction of 12% in the DSI95 was predicted under the 2050-climate; however, vulnerability due to extreme drought around flowering would remain a major constraint to wheat yield (DSI95 ∼ 0–0.57). In contrast, HSI95 under the baseline climate was very small over Europe (HSI95 ∼ 0.0–0.11), but was predicted to increase by 79% (HSI95 ∼ 0.0–0.23) under the 2050-climate, categorising extreme heat stress around flowering as an emergent threat to European wheat production. The development of wheat varieties that are tolerant to drought and heat stresses around flowering, is required, if climate change is not to result in a reduction of wheat yield potential under the future climate in Europe.
Export citation and abstract BibTeX RIS

Original content from this work may be used under the terms of the Creative Commons Attribution 4.0 license. Any further distribution of this work must maintain attribution to the author(s) and the title of the work, journal citation and DOI.
1. Introduction
The increasing probability of more intense and extreme climatic events occurring in the future, such as high temperature and drought episodes, is a major threat to sustaining food production at current levels, let alone achieving the increases in food production required for global food security in the coming decades. An estimated 25%−70% increase in global food production is required by 2050 to feed the predicted population by that time of >9 billion people [1, 2], yet extreme climatic events will increase the risk of yield loss and crop vulnerability [3, 4]. The Intergovernmental Panel on Climate Change (IPCC) has defined vulnerability to climate change as a 'predisposition to be adversely affected' [5]. Thus, crop resilience to extreme adverse weather events would be critical under future climatic conditions. Quantifying the vulnerability of current crop cultivars to extreme events under the future climate could provide guidance and direction to plant scientists and breeders for developing crop adaptation strategies and improving germplasm to maintain and raise yield potential [6].
Wheat (Triticum aestivum L.) is one of the key staple cereals in food security, providing about 20% of the global population's dietary calories and protein needs [7]. Europe is a major wheat producer, contributing around 35% of global wheat production [8], but the frequency and intensity of heat and drought stresses are predicted to increase across Europe under the future climate [9, 10]. Consequently, the probability of yield loss is expected to rise under future climatic conditions [11–13]. However, evaluations of the absolute magnitudes of wheat vulnerability under the future climate due to extreme but short-term heat and drought stresses are sparse [14, 15].
The magnitude and types of impacts of heat and drought stress depend on the crop phenological stage at which the stress occurs, together with the intensity and duration of the stress [16–18]. Season-long high temperature and draught negatively impact final grain yield by affecting both source and sink strengths in several ways, including restricted transpiration and photosynthesis, faster leaf senescence, shortened grain filling duration, early anthesis and maturity, reduced relocation of mobile reserve carbohydrate into the grain, decreased floret fertility and primary grain setting number, and reduced grain size and weight [19–21]. Severe drought and heat stresses can even lead to complete crop failure due to abrupt termination of the crop life cycle. The reproductive stage or flowering in wheat is the most susceptible to heat and drought stresses, with reproductive tissues sensitive to heat stress as early as the young microspore stage of pollen development [22, 23]. Heat stress at the beginning of grain filling also affects early endosperm development and limits the upper limit of grain weight, but it is the reproductive stage that is most critical in determining maximum sink strength and grain yield [18, 21, 24]. The present study therefore focuses primarily on the impacts of short-term extreme heat and drought stress around flowering.
Extreme temperature during reproductive development can reduce wheat yield by up to 20% for every 1 °C rise in average maximum temperature above the optimum (25 °C–30 °C at flowering depending on the genotype) [24–26]. The effects of high temperature around flowering include abnormal ovary development as well as considerably reduced floret fertility, pollen viability, fertilisation and primary seed set [27–30]. Similarly, short spells of severe drought stress around flowering can drastically decrease grain set and yield potential by triggering premature abortion of florets, malfunctioning of male and female reproductive organs, reduced viability and irreversible abortion of male and female gametes causing male and female infertility [20, 23, 31, 32]. Thus, even a short spell of drought and/or heat stress around flowering could limit potential sink strength and final grain yield by reduced spike fertility and primary seed setting [18, 22, 33].
Well-validated, process-based eco-physiological crop models are important tools to estimate the impacts of extreme heat and drought stress on grain yield in a target environment, such as under future climatic conditions. Sirius is such a model, which has been calibrated and extensively validated for many modern local wheat cultivars across Europe and the world under diverse climates, including free-air carbon dioxide enrichment (FACE) experiments to incorporate the effects of increasing CO2 [11, 15, 34–42]. Based on the results of these experiments, the impacts of extreme heat and drought events around flowering on the potential sink strength or primary grain set in wheat have recently been incorporated into Sirius [40, 41].
Predictions of the impacts of extreme climatic events in the future, such as high temperature and drought stress, vary due to the uncertainty in future climate projections from different global climate models (GCMs). The use of a multi-model ensemble is therefore recommended for the projection of future climate and climatic extremes to capture the unavoidable uncertainty due to CGMs [43–45]. The impact of extreme high temperature and drought stress may also vary with different soil types: soil with high available water capacity (AWC), for example, could reduce the impact of both drought and heat stress, whereas soil with lower AWC could intensify the impact [12]. Agronomic management practices are also important, such as early sowing, may enable the crop to complete flowering and set seed before being exposed to heat and drought stress [46].
The main objective of the present study was to assess wheat vulnerability to extreme heat and drought stresses around flowering under the projected 2050-climate across Europe by using the Sirius wheat model and local-scale climate scenarios downscaled from the CMIP5 multi-model ensemble by the LARS-WG weather generator.
2. Materials and methods
2.1. Study area
Wheat is the major crop in Europe and a total of 13 sites representing major wheat growing regions were selected for the present study. These study sites cover most of the dominant and contrasting wheat production climatic conditions across Europe (figures 1 and S1, table S1 (available online at stacks.iop.org/ERL/16/024052/mmedia)). Two sites were selected from the north-west (NW) Europe viz. RR: Rothamsted, UK and WA: Wageningen, Netherlands, and another two sites were selected from north-east (NE) Europe viz. TR: Tylstrup, Denmark; KA: Kaunas, Lithuania. Four sites were chosen from central-east (CE) Europe viz. HA: Halle, Germany; VI: Vienna, Austria; DC: Debrecen, Hungary and SR: Sremska, Serbia. Three sites were selected from central-west (CW) Europe viz. CF: Clermont-Ferrand and TU: Toulouse, France and MO: Montagnano, Italy. Two sites were chosen from south-west (SW) Europe viz. LL: Lleida and SL: Seville, Spain.
Figure 1. (A) Locations of 13 selected study sites, representing major wheat growing regions across Europe, and baseline climate (1981–2010) viz. average minimum and maximum air temperature, and mean monthly precipitation. (B) Average annual air temperature and precipitation under baseline, and 2050 climate as predicted by 19 global climate models (GCMs) from the CMIP5 multi-model ensemble for representative concentration pathways RCP8.5. Each box plot represents the 5th percentile, 25th percentile, median, 75th percentile and 95th percentile of projections based on 19 GCMs. SL: Seville, Spain; LL: Lleida, Spain; MO: Montagnano, Italy; TU: Toulouse, France; SR: Sremska, Serbia; CF: Clermont-Ferrand, France; DC: Debrecen, Hungary; VI: Vienna, Austria; HA: Halle, Germany; RR: Rothamsted, UK; WA: Wageningen, Netherlands; KA: Kaunas, Lithuania; TR: Tylstrup, Denmark.
Download figure:
Standard image High-resolution image2.2. Baseline and future climate scenarios
The LARS-WG stochastic generator (LARS-WG 6.0) (available at https://sites.google.com/view/lars-wg/) [45, 47, 48] was used to generate the baseline climate based on the observed daily weather for the period 1981–2010, and the predicted future 2050-climate for the period 2041–2060, based on the climate projections from 19 GCMs from the CMIP5 ensemble for the RCP8.5 emission scenario [49]. Observed daily weather during 1981–2010 were collected from local meteorological stations at 13 study sites through the European MACSUR project. A 100 year baseline climate was generated by using LARS-WG for each site with the same statistical characteristics as the observed data for 1981–2010 and an atmospheric CO2 concentration ([CO2]) of 364 ppm. The 100 year, site-specific baseline climates were used to account for variation in wheat yield due to inter-annual variability in climate and climatic extreme events, and to make our study comparable with other climate impact studies [15, 34, 39, 50]. The mean annual air temperature and precipitation of the baseline climate ranged from 7.1 °C to 19.2 °C and 344 to 801 mm yr−1, respectively (figure 1). The north European study areas are generally cooler and moist, whereas southern are relatively warmer and drier. A total of 19 GCMs from the CMIP5 multi-model ensemble [49] used in the IPCC Assessment Report 5 (AR5) [51] were used for climate projections for the 2050-climate (period 2041−2060) assuming a representative concentration pathway RCP8.5 with an atmospheric [CO2] of 541 ppm (table S2). The RCP8.5, business-as-usual or a worst-case emission scenario, combines assumptions about high population and modest technological improvements, leading to high energy demand, with the highest greenhouse gas concentration and a radiative forcing of +8.5 W m−2 by 2100 [52]. The period 2050 was used as 'near future', usually used in model-based assessments of climate change impact on crop productivity [11, 50], whereas RCP8.5 was used as the most extreme or worst emission scenario to assess wheat vulnerability in Europe [52]. Using 19 GCMs from the CMIP5 ensemble allowed to estimate uncertainty in simulated wheat yield and vulnerabilities under future climate due to GCMs. LARS-WG was used to downscale GCM projections to a local scale [45]. At each site and for each GCM climate projection for the 2041−2060 period, with RCP8.5, 100 year of daily future weather data were generated using LARS-WG, hereafter defined as the 2050-climate. Averaged over the GCMs, the predicted average annual air temperature under the 2050-climate increased by 2.4 °C compared with the baseline climate, whereas annual precipitation decreased by 1.2% in Europe with wide site and seasonal variations (figures 1 and S1). For example, predicted future 2050 climate in the northern Europe is characterized with warmer (1.6 °C–2.6 °C) and wetter (7%–12%) spring and winter, whereas warmer (2.0 °C–2.4 °C) and drier (4%–7%) summer than the baseline climate. On the other hand, southern and eastern Europe is mostly hotter (2.0 °C–3.4 °C) and drier (3%–19%) in spring and summer under 2050 climate than the baseline.
2.3. Sirius
The Sirius wheat model [38, 40, 41, 53, 54] was used to simulate crop growth and grain yield under baseline and future climatic conditions across Europe. Sirius is a process-based eco-physiological crop model, consisting of different sub-models that describe soil, plant, water and nitrogen uptake, photosynthesis, phenological development, and partitioning of photosynthates into leaf, stem, grain and root. Sirius runs on a daily time-scale and requires daily weather data, soil descriptions, crop management and cultivar information as inputs. Photosynthesis and biomass production are estimated from intercepted, photosynthetically active radiation and radiation use efficiency (RUE), limited by temperature and water stresses. Radiation interception depends on leaf area and the light extinction coefficient. Wheat canopy is simulated as a series of leaf layers associated with individual mainstem leaves. Leaf area development in each layer is simulated by a thermal time sub-model. The final leaf numbers are determined by combined responses to day length and vernalisation. Crop phenological development is linked to the mainstem leaf appearance rate (phyllochron), day length and vernalization responses, and duration of grain filling. Leaf senescence is expressed in thermal time and linked to the rank of the leaf in the canopy. Total canopy senescence synchronizes with the end of grain filling. In Sirius, RUE is proportional to atmospheric CO2 concentration, which agrees well with different field experiments for a C3 crop such as wheat [55]. Soil is described as a cascade of 5 cm layers up to a user-defined depth. Roots continue to grow until reaching a soil-dependent maximum depth or until anthesis, whichever occurs first. Each soil layer contains root available water (RAW) (water potential <−1.5 MPa) and unavailable water (water potential >−1.5 MPa), depending on its water retention characteristics. Only a proportion of the available soil water can be extracted by plants from each layer of the root zone on any day, depending on the efficiency of water extraction and the rate of root water uptake. Daily evapotranspiration is calculated as the sum of transpiration and soil evaporation. Temperature, water stresses and nitrogen shortage could accelerate leaf senescence and limit photosynthesis and assimilates production, phenological development, grain filling period and crop-duration, as well as translocation of the plant labile photosynthate reserve into the grain, and finally grain yield.
In addition to the effects of temperature and water stresses throughout a crop's lifecycle, the impacts of short-term climatic extreme events, such as heat and drought stresses around flowering, on primary fertile grain setting number and grain size have been incorporated into Sirius, based on current knowledge of crop physiology from field experiments [40, 41]. In the absence of heat and drought stresses around flowering, grain yield will be determined by the source capacity of the crop, and the potential sink capacity of the grains (Ypot, g m−2), which is estimated as the product of dry matter accumulation in ears prior to anthesis (DMear, g m−2), the potential primary grain setting number per unit of ear dry mass (Npot, grains g−1) and the potential weight of an individual grain (Wpot, g grain−1) [40, 41]:

The actual number of primary fertile grains set (grains g– 1) is reduced due to heat and drought stresses around flowering, as described below. Table S3 shows important cultivar parameters used in Sirius.
2.3.1. Simulation of the impact of heat stress around flowering in Sirius
To account for the effect of high temperature on meiosis and fertilization, the number of fertile grains produced per unit of ear dry mass is reduced when the maximum canopy temperature TA max (°C) during a period from 10 d before to anthesis exceeds a threshold temperature TN (°C) by using a heat reduction factor of fertile grain number (RH, dimensionless) [41]:

where SN (°C–1) is the slope of the grain number reduction per unit of canopy temperature above TN. A frost reduction factor of fertile grain number (RF, dimensionless) decreases linearly from 1 to 0 if the minimum canopy temperature TA min (°C) during a period from −3 to +3 d around flowering is below a threshold of 0 °C [41]:

The actual number of grains per unit of ear dry mass (NH, grains g–1) is the product of the potential number of grains by the heat and frost reduction factors [41]:

The potential weight of each grain (Wpot) could be limited by heat stress during endosperm development. Wpot is reduced if the maximum canopy temperature TS max (°C) exceeds a threshold temperature TW (°C) around 5–12 d after flowering; i.e. at the beginning of grain filling. The actual weight of a single grain limited by heat stress (W, g grain–1) is estimated as [41]:

where SW (°C–1) is the slope of the potential weight reduction per unit of canopy temperature above TW .
2.3.2. Simulation of the impact of drought stress around flowering in Sirius
Under drought stress around flowering, the number of primary fertile grains set is reduced due to abnormal reproductive development and abortion, and male and female sterility [20, 23]. In Sirius, the number of primary fertile grains set per unit of ear dry matter is reduced due to drought stress around flowering by using a drought stress factor (DSF, dimensionless) and drought reduction factor (R, dimensionless) [40]. The DSF is estimated from the ratio of actual transpiration (Ta) to potential transpiration (Tp) during reproductive development. The actual number of grains per unit of ear dry matter (ND, grains g−1) is estimated as the product of the potential number of grains and RD [40]:

where RD=1, if DSF>DSGNT; RD=DSGNRMax+ S × (DSF−DSGNS), if DSGNS<DSF< DSGNT; RD=DSGNRMax, if DSF⩽DSGNS; DSGNT is the drought stress grain number reduction threshold, while DSGNRMax is the maximum drought stress grain number reduction, DSGNS is the drought stress grain number reduction saturation, and S is the slope of the grain number reduction.
The actual wheat yield limited by drought and heat stresses around flowering, Y, is calculated as [40]:

2.4. Model set-up
In the present study, site-specific current local wheat cultivars were used for both baseline and 2050-climates, viz. Avalon, Cartaya, Claire, Creso, Mercia and Thesee (table S1). All cultivars were assumed to be sensitive to heat and drought stress around flowering [40, 41]. The detailed cultivar characteristics can be found in table S3. Sirius version 2018 (available at https://sites. google.com/view/sirius-wheat) was used in the present study. A common medium soil with the AWC of 177 mm was used at all sites to eliminate site-specific soil effects from the analysis. Sirius was run in rainfed conditions with no nutrient limitation. An optimal crop management was assumed under the baseline and future 2050-climates, i.e. no yield losses due to disease, pests or competition with weeds were incorporated. The baseline simulations (bs) were done by running Sirius for local cultivars with the medium soil for 100 years of baseline climate, with an atmospheric [CO2] of 364 ppm. Future model simulations in 2050 (2050) were done by running the model for local cultivars with the medium soil for 100 years of 2050-climate, with an atmospheric [CO2] of 541 ppm as defined in RCP8.5. In simulations, the atmospheric CO2 concentration of 364 ppm was fixed under the baseline climate, whereas CO2 concentration of 541 ppm was fixed for 2050-climate.
In addition to climate change impacts, the effects of early sowing on wheat yield and yield vulnerability were assessed by sowing wheat 30 d earlier than the corresponding local current sowing dates, both under baseline climate (bs.30) and 2050-climate (2050.30). The impact of soil type was assessed by running Sirius with a soil characterised by low AWC (125 mm) and high AWC (243 mm) at each site both under baseline and 2050-climate. These medium, low and high AWC were selected from Sirius soil dataset to cover the diverse range of soils in the major wheat growing regions of Europe. To estimate the effect of CO2 concentration on wheat yield under future climate, Sirius was run for 2050-climate with an atmospheric [CO2] of 364 ppm (2050.CO2364) and compared with the grain yield with an atmospheric [CO2] of 541 ppm, as under 2050-climate for RCP8.5 (2050).
2.5. Indices of yield vulnerability
Wheat yield vulnerability due to extreme or severe heat and drought stress around flowering was quantified by computing 95-percentile (95p) of two indexes, viz. 95p of Heat Stress Index (HSI95) and 95p of Drought Stress Index (DSI95) [40, 41]. Heat Stress Index (HSI) is defined as [41]:

where Y is the water-limited yield of a cultivar tolerant to heat and drought stress around anthesis, while YH is the water-limited yield of a cultivar sensitive to heat stress around flowering only. Drought Stress Index (DSI) is defined as [40]:

where YD is the water-limited yield of a cultivar sensitive to drought stress around flowering only. HSI95 and DSI95 represent the relative yield losses due heat stress or drought stress around flowering that could be expected to occur once every 20 years on average. HSI95 and DSI95 were used to compare wheat yield vulnerability under bs and future (2050) climates.
3. Results & discussion
3.1. Simulated current and future wheat yields under climate change
The simulated grain yield of local wheat cultivars under bs varies from 6 t ha−1 in SW-Europe (LI, Lleida, Spain) up to 10 t ha−1 in NW-Europe (RR, Rothamsted, UK and WA, Wageningen, Netherlands), with an average yield of 7.7 t ha−1 over Europe as a whole (figure 2). These simulated grain yields represent the yield of current wheat cultivars under optimal agronomic management in current climatic conditions across Europe. The current simulated wheat yields are close to the actual yields achieved in a good year and the optimal yield potentials under best management (4–12 t ha−1) across Europe [56–60]. Elevated temperature under a future climate would accelerate the rate of phenological development, bringing forward anthesis and maturity [61]. Averaged over GCMs and study sites, simulated anthesis and maturity were 12 d and 15 d earlier, respectively, under the predicted 2050-climate compared with the baseline (figure 3). Thus, mean crop-duration (sowing to maturity) for the currently grown wheat cultivars could be reduced by 5%–8% across Europe under the 2050-climate, resulting in reduced cumulative intercepted radiation, grain filling period and ultimately grain yield. On average, a 2.5% yield reduction was projected under the 2050-climate with a maximum decrease of 13% at the SL site (Seville, Spain) if the atmospheric CO2 concentration remains at the baseline level of 364 ppm. However, the climate change impact was positive at the TR site due to the avoidance of drought stress because of early flowering and maturity (figures 2–4).
Figure 2. Simulated grain yield of local wheat cultivars under baseline climate (bs), and under 2050-climate with an increased atmospheric [CO2] of 541 ppm as in RCP8.5 (2050) and with the baseline atmospheric [CO2] of 364 ppm (2050.CO2364) across major wheat growing regions in Europe. Each box plot represents the 5th percentile, 25th percentile, median, 75th percentile and 95th percentile including mean (red line) of simulations based on 19 global climate models (GCMs) from CMIP5 multi-model ensemble.
Download figure:
Standard image High-resolution imageFigure 3. Simulated flowering (top) and maturity time (bottom) as days after sowing (DAS) of local wheat cultivars under baseline climate (bs), and under 2050-climate (2050) across major wheat growing regions in Europe. Each box plot represents the 5th percentile, 25th percentile, median, 75th percentile and 95th percentile including mean (red line) of simulations based on 19 global climate models from CMIP5 multi-model ensemble.
Download figure:
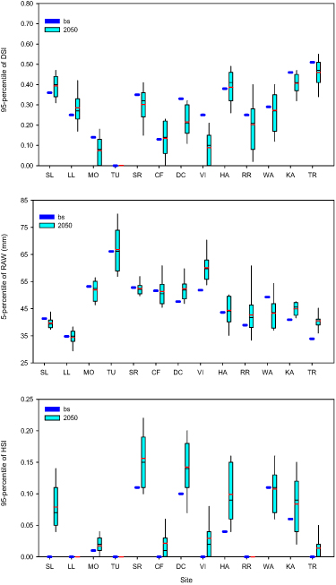
Standard image High-resolution imageFigure 4. The 95-percentile of drought stress index (DSI) (top), 5-percentile of root available water (RAW) (middle) and 95-percentile of heat stress index (HSI) (bottom) at flowering for local wheat cultivars under baseline climate (bs) and 2050 climate (2050) across major wheat growing regions in Europe. Each box plot represents the 5th percentile, 25th percentile, median, 75th percentile and 95th percentile including mean (red line) of simulations based on 19 global climate models from CMIP5 multi-model ensemble.
Download figure:
Standard image High-resolution imageRising atmospheric CO2 concentration was predicted to increase crop productivity and compensate for the yield reduction due to warming in 2050. When the CO2 effect under the 2050-climate was included (CO2 rising to 541 ppm), the yield of current wheat cultivars (2050) varied from 5 to 12 t ha−1 across GCMs and study sites, representing an average increase in grain yield of 12% compared with the baseline. A total of 19 GCMs from CMIP5 (table S2) were used in the present study to assess uncertainty in the predicted 2050-climate. The mean coefficient of variation (CV) of yield (2050) due to the different GCMs was 5.6% (figure 2).
The present study revealed that an increase in the atmospheric CO2 level to 541 ppm (RCP8.5) under the 2050-climate could increase wheat yield by 12%–18% across Europe (figure 2). Although the magnitude of the effect of CO2 fertilization on crop yield under the future climate is uncertain, different FACE experiments across the world have reported 8%–26% increases in grain yield with an elevated atmospheric [CO2] of 550 ppm, compared with 360 ppm [62]. Sirius responses to increased temperature and CO2 concentration were calibrated and validated against the Free-Air CO2 Enrichment (FACE) experiments [35, 37, 63] and tested in several global AgMIP studies [15, 34, 39]. In Sirius, RUE increases with increasing atmospheric [CO2], with an increase in RUE of 30% for a doubling in [CO2] compared with the baseline of 364 ppm, which agrees well with different field-scale CO2 enrichment experiments for C3 crops, including wheat [55]. A similar response has been used by other wheat models in various studies [35, 64, 65]. Many regional and global studies have projected both positive and negative climate change impacts on wheat yield across the world, but most agreed to a net small positive impact on wheat yield at higher latitudes, such as in Europe [11, 34, 66].
3.2. Wheat yield vulnerability under future climate due to extreme drought around flowering
The mean DSI95 due to extreme drought around flowering under the baseline climate was large (DSI95 ∼ 0.28) over Europe, with high site variation. The highest DSI95 was in NE-Europe (0.46–0.51), followed by SW- and CE-Europe (0.25–0.38), NW- and CW-Europe (0–0.29) (figure 4). Early flowering due to elevated temperature under the 2050-climate would help by increasing RAW slightly (∼4%) at flowering compared with the baseline climate, and thus may reduce yield losses to some degree from drought stress around flowering (figures 3 and 4). Hence, mean DSI95 was predicted to reduce by 12% under the 2050-climate compared with the baseline. However, DSI95 could increase under the 2050-climate in some parts of Europe, particularly SW-Europe where a 9%–12% increase was predicted. The mean uncertainty in DSI95 due to the different GCMs 2050 climate projections was moderate (CV = 0.40) with a wider variation across study sites (0 < CV ⩽ 0.90). Nevertheless, overall wheat yield vulnerability due to severe drought around flowering under the 2050-climate in Europe remained high (DSI95 ∼ 0.25). The highest wheat vulnerability was predicted in SW- and NE-Europe (0.15 ⩽ DSI95 ⩽ 0.57), followed by CE- (0 ⩽ DSI95 ⩽ 0.50), NW- (0 ⩽ DSI95 < 0.50) and CW-Europe (0 ⩽ DSI95 ⩽ 0.27). Wheat yield loss due to extreme drought stress around flowering has been reported to range between 10% and more than 50%, depending on the cultivar and the intensity, frequency and duration of exposure to the drought stress [20, 22, 23, 31, 40].
3.3. Wheat yield vulnerability under future climate due to extreme heat around flowering
In contrast to the DS195, the HSI95 under the baseline climate was small across Europe (HSI95 ∼ 0–0.11), with an average HSI95 of 0.03 over the study sites (figure 4). However, in spite of early flowering under the 2050-climate, wheat HSI95 was predicted to rise at most of the sites, with an average increase of 79%. The hot spots of wheat yield vulnerability due to severe heat events around flowering under future climate were predicted to be in the CE-Europe (HSI95 up to 0.23 at the SR, DC and HA sites), NW-Europe (HSI95 up to 0.17 at the WA site), SW- and NE-Europe (HSI95 up to 0.16 at the SL and KA sites). The CV of DSI95 due to GCMs varied between 0 < CV ⩽ 0.76 across all the sites, with a mean of 0.24. Grain yield loss due to heat stress varies widely depending on the timing, duration and intensity of heat stress [16]. The observed wheat grain yield reduction from field experiment has been reported to be between 4% and 7% for every 1 °C rise in average maximum temperature above the optimum at anthesis depending on the wheat cultivar [24].
3.4. Impact of early sowing on future wheat yield and its vulnerability
The impact of early sowing of current wheat cultivars on future yield vulnerabilities was estimated by comparing DSI95 and HSI95 for current and earlier sowing dates. The 30 d early sowing under the baseline and future climates increased mean grain yields (bs.30 and 2050.30) overall marginally (1%–4%) compared with the current sowing dates (bs and 2050) (figure S2). However, the 30 d early sowing of current wheat cultivars under the 2050-climate could reduce the DSI95 by up to 53%, for example at SL, while increasing the DSI95 at other sites, for example HA and RR (figure S2). Similarly, 30 d early sowing could reduce the HSI95 under the 2050-climate by up to 77%, for example at the SL and CF sites, but might increase the HSI95 at some other sites (figure S2). Some recent studies have indicated that heat and drought stress impacts on crop yield could be avoided to some degree under the future climate by early sowing, as a result of early flowering before the onset of heat and/or drought stress [46, 67]. However, the benefits of early sowing in this study were highly site-specific due to local climatic conditions and agronomic management practice, including the choice of cultivars. Our study indicates that the average impact of early sowing on wheat yield vulnerability due to extreme drought and heat stress around flowering in the future climate would possibly be relatively small (4%–11%) over Europe.
3.5. Impact of soil type on future wheat yield and its vulnerability
The simulated grain yield of current wheat cultivars under the baseline climate with a soil characterised by low AWC (125 mm: bs.AWC125) varied from 2.8 to 7.4 t ha−1, with a mean yield of 4.8 t ha−1 (figure S3). Mean yield under the future climate (2050.AWC125) was predicted as 5.4 t ha−1, with DSI95 and HSI95 at 0.69 and 0.07, respectively (figure S3). Thus, future wheat yield vulnerability with a lower AWC (125 mm) could be 1.8 times greater from extreme drought and 15% higher from extreme heat compared with the corresponding DSI95 and HSI95 with a medium AWC of 177 mm. The reduced grain yield, and greater future yield vulnerability of current wheat cultivars grown in a soil with lower AWC result from lower RAW at flowering due to the lower AWC (figure S3) [13].
In contrast, the baseline yield with a soil characterised by high AWC (243 mm: bs.AWC243) varied from 7.6 to 11.0 t ha−1, with a mean yield of 8.8 t ha−1 (figure S4). Average grain yield was predicted as 9.8 t ha−1, with DSI95 and HSI95 under the 2050-climate at 0.04 and 0.05, respectively (figure S4). Thus, DSI95 and HSI95 under the 2050-climate with higher AWC (243 mm) could be 85% and 10% lower, respectively, compared with the corresponding yield vulnerabilities with a medium soil type (AWC = 177 mm). Increased RAW due to larger AWC resulted in higher grain yield, as well as lower yield vulnerability under the future climate (figure S4).
Wheat-growing soils vary considerably across Europe and site-specific soils might not represent the most important wheat-growing soils. It is common practice to use a representative soil type in studies of climate change impacts on crop genotypes in order to eliminate site-specific soil effects from site comparisons of the climate signal [12, 50, 68]. However, the results presented here show that future wheat yield as well as yield vulnerability would vary with soil type. The simulated management optimal wheat grain yields under rainfed baseline climate (bs ∼ 6–10 t ha−1; bs.AWC125 ∼ 3–7 t ha−1; and bs.AWC243 ∼ 8–11 t ha−1) obtained in the present study, and the reported management optimal rainfed wheat yields or yield potentials in Europe (4–12 t ha−1) [56, 58] indicate that a medium soil type (AWC = 177 mm) is a good representation of an average wheat-growing soil for a climate change impact study, such as this one. Our study did not consider irrigation, as the majority of Europe wheat production is rainfed and future irrigation opportunities are likely to be limited by the scarcity of water resources and existing legal requirements [69].
3.6. Limitation of the study
There are few limitations in the present study. All six local cultivars selected in this study have the same set of parameters for heat and drought susceptibility around flowering due to lack of experimental data for individual cultivar calibration. Cultivar parameters for heat stress were calibrated using data sets from the hot serial cereal experiment and a temperature treatment experiment [41, 70, 71], whereas cultivar parameter for sensitivity to drought stress around flowering were based on expert knowledge and previous experience [40].
The impacts of heat and drought stresses around flowering on grain numbers and grain yields were modelled independently, and the combined effect of heat and drought stresses on yield formation was not investigated. In the current Sirius implementation, the potential grain yield will be reduced by the reduction factor R =min (RH , RD), where RH and RD are reduction factors of the potential grain number Npot as a result of heat or drought stress around flowering. As an alternative formulation, reduction factors due heat or drought stresses could interact with each other, e.g. R = RH × RD. The lack of experimental data did not allow us to differentiate between these two alternative formulations.
Elevated CO2 generally causes reductions in stomatal density, stomatal conductance and as a result in reduction of leaf transpiration and an increase in water-use efficiency. Yet, the reverse response might occur as well, when elevated CO2 interacts with other climatic factors [72]. In Sirius, elevated CO2 increases radiation-use efficiency, but stomatal responses to elevated CO2 was not modelled. Still, Sirius was able to reproduce well wheat growth and water uptake for different CO2 and drought treatments in a field environment in FACE experiments in Maricopa, Arizona compared with other wheat models where stomatal responses to elevated CO2 were incorporated [35]. However, uncertainty still remains if stomatal responses to elevated CO2 might reduce the effect of drought during reproductive development on yield formation.
4. Concluding remarks
Drought is the most significant environmental stress in rainfed agriculture worldwide and improving yields in water-limited environments is a major challenge for plant breeders that must be met if food security goals are to be achieved [73, 74]. Some researchers have suggested that the impact of drought on crop yields will increase in the future under climate change, emphasising the importance of breeding for drought-tolerant crops globally, including in Europe [15, 75]. However, the present study demonstrates that drought stress around flowering will not increase the vulnerability of the current wheat cultivars under climate change in Europe, and relative yield losses are likely to decrease. Nevertheless, extreme drought around flowering will remain a major constraint (DSI95 ∼ 0.25) to wheat yield under future climate in Europe. Recent research developments have shown that short-term drought stress around flowering could be most critical for limiting actual yield potential [4, 20, 23, 33], and drought tolerance at flowering has been identified as an important trait to raise wheat yield potential under the future climate in Europe [6, 40].
High temperature stress around flowering and during grain filling also limit crop yield, and recent studies have shown short-term heat stress around flowering to be critical in controlling actual yield potential [3, 24, 25, 27]. Although the impact of high temperature events on wheat yield vulnerability is relatively small at present, yield loss due to extreme heat stress around flowering was predicted to increase substantially (79%) by 2050. Few studies have indicated heat stress to be an imminent constraint for wheat yield [26, 29, 76, 77]. However, we identified extreme heat stress around flowering to be an emergent threat to European wheat production. New wheat cultivars tolerant to drought and heat stress at flowering will, therefore, be required if climate change is not to result in a reduction of wheat yield potential under the future climate. In conclusion, given the limited time and resources available, crop scientists and breeders must select the most appropriate traits for crop improvement and focus on the development of wheat varieties that are tolerant to drought and heat stress around flowering.
Acknowledgments
We thank the reviewers and the editor for their constructive comments which helped to improve the manuscript. Rothamsted Research receives grant-aided support from the Biotechnology and Biological Sciences Research Council (BBSRC) through Designing Future Wheat (BB/P016855/1) and Achieving Sustainable Agricultural Systems (NE/N018125/1).
Data availability statement
All data that support the findings of this study are included within the article (and any supplementary files).
Conflicts of interest
The authors declare no conflicts of interest.



