Abstract
Intensification of arable crop production degrades soil health and production potential through loss of soil organic carbon. This, potentially, reduces agriculture's resilience to climate change and thus food security. Furthermore, the expected increase in frequency of adverse and extreme weather events due to climate change are likely to affect crop yields differently, depending on when in the growing season they occur. We show that soil carbon provides farmers with a natural insurance against climate change through a gain in yield stability and more resilient production. To do this, we combined yield observations from 12 sites and 54 years of Swedish long-term agricultural experiments with historical weather data. To account for heterogenous climate effects, we partitioned the growing season into four representative phases for two major cereal crops. Thereby, we provide evidence that higher soil carbon increases yield gains from favourable conditions and reduces yield losses due to adverse weather events and how this occurs over different stages of the growing season. However, agricultural management practices that restore the soil carbon stock, thus contributing to climate change mitigation and adaptation, usually come at the cost of foregone yield for the farmer in the short term. To halt soil degradation and make arable crop production more resilient to climate change, we need agricultural policies that address the public benefits of soil conservation and restoration.
Export citation and abstract BibTeX RIS

Original content from this work may be used under the terms of the Creative Commons Attribution 4.0 license. Any further distribution of this work must maintain attribution to the author(s) and the title of the work, journal citation and DOI.
1. Introduction
Climate change is expected to bring more adverse weather conditions for agricultural production such as greater intra-annual climate variability and an increased likelihood of extreme weather events (Trnka et al 2014, Ray et al 2015, Moore and Lobell 2015). Adapting agriculture to climate change and improving farming's resilience is thus crucial for food security (Challinor et al 2014, Altieri and Nicholls 2017, IPCC 2019). The timing of adverse weather events can effect crop yields differently depending on when in the growing season they occur (Peltonen-Sainio et al 2011, Chenu et al 2013, Bourgault et al 2020). Thus, while there is a need to improve our understanding of the interplay between (intra-seasonal) weather variability and yields (Lobell and Burke 2008, Peltonen-Sainio et al 2011), we also need to include soil health in the analysis (Luo et al 2017).
Soil organic carbon (SOC) content is a fundamental indicator of soil health (Lal 2016). SOC correlates with different soil biodiversity dimensions such as microbial biomass, community structure, and its activities (Börjesson et al 2012, Mau et al 2015). Such soil-ecosystem structures are the base of soil-ecosystem functions and the production of a suite of ecosystem services that underpin yields (De Vries et al 2013, Bardgett and Van Der Putten 2014, Brady et al 2015, Oldfield et al 2019). Management practices that increase SOC tend to generate soils that hold more biodiversity, have better water holding capacity, provide more plant nutrients, and are less prone to erosion (Lal 2016, Minasny et al 2017, Manns and Martin 2018). However, common agricultural practices, such as intensive tillage can reduce SOC stocks and biodiversity (Tsiafouli et al 2015, Haddaway et al 2017). Intensification of arable crop production thereby degrades soil health and reduces production potential through loss of SOC (Lal 2016). Consequently, there is a trade-off between current intensification of arable crop production and soil health, and thus the resilience of future production. Soils can furthermore function as a carbon sink or contribute to emissions of greenhouse gases, depending on management systems (Griscom et al 2017, Schlesinger and Amundson 2019).
Implementing management practices that strengthen soil-ecosystem resilience could therefore be a prudent farming strategy for mitigating climate change, as well as simultaneously adapting to climate change (Locatelli et al 2015, Hamilton et al 2016, Paustian et al 2016). Soil health—unlike the weather—can be controlled by farmers; through appropriate management practices farmers can influence SOC content (Haddaway et al 2015, 2017, Sun et al 2020). How farmers manage their soils is not only instrumental for producing good yields under normal weather conditions, but also for producing stable yields despite the natural vagaries of the weather (Cong et al 2014, 2017, Manns and Martin 2018, Macholdt et al 2020). A resilience to adverse weather can generate what economists call an insurance value for arable farmers, if it reduces the uncertainty of future outcomes such as future yields for risk adverse beneficiaries (Baumgärtner and Strunz 2014, Bartkowski 2017, Quaas et al 2019).
Accordingly, climate change, crop growth, and soil management all matter simultaneously. Yet, the combined effects of temperature and precipitation variability during the different stages of crop growth remain underexplored. In order to identify climate change adaptation actions, we investigate the soil's ability to buffer the impacts of adverse weather events at different stages of the growing season on crop yields and the influence of crop management on SOC. To this end we pursue two research question: I) How does arable crop production respond to soil carbon levels under adverse weather across growing degree quartiles? II) Can crop rotations that promote soil carbon sequestration help farmers to adapt their management to an increasing likelihood of adverse weather events?
In this paper we combined historic weather data with yield data for two major cereal crops from long-term agricultural experiments from 12 sites and across 54 years in Sweden. The long-term experiments were originally set up to study soil fertility and provide fertilization recommendations to farmers (Carlgren and Mattsson 2001). They are based on a replicated set of fertilizer application rates for a set of crops and crop rotations with or without livestock manure application and grass leys. The crop rotations and the management have generated variations in SOC content within the sites. This enabled a production-function approach to estimate direct and interaction effects of soil carbon and weather variables on crop yields. To assess the effects of adverse weather at different stages of the growing period, we partitioned the growing season into four representative phases. Subsequently, we estimated the effects that management practices have on soil carbon by quantifying the effects of ley and manure application in crop rotations over time.
2. Materials and methods
We combined a data set from the long-term field experiments of the Swedish University of Agricultural Sciences providing data on yields, fertilizer rates and SOC levels (Carlgren and Mattsson 2001, SLU 2020, see section 2.1), with the European high‐resolution gridded dataset, E‐OBS version 17, providing weather data (ECAD 2018, Haylock et al 2008, see section 2.2). The final data set spans across the years 1962–2015 and includes yield, crop, crop rotation, crop variety, N- and PK fertilizer applications, topsoil carbon, topsoil pH, growing degree days (GDDs), and mean temperature and total precipitation data. The combined data set was analysed with a multilevel production-function approach (see section 2.3).
2.1. Long-term field experiment data
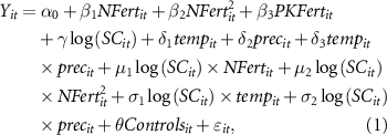
The data originates from six sites in southern Sweden (M-Series) and six sites in central Sweden (C, E, and R series, see figure 1(a)). The series differ in crops and rotations to represent a regionally typical type of crop rotation, but other than that follow the same experimental setup. At each site, two different types of crop rotations, four different rates of PK fertilizer, and four different rates of N fertilization were applied. All field experiments have two replicated blocks at each of the sites (figure
Figure 1. The experimental data. Panel (a) a map of the location of the experimental sites, with the regional series indicated in bold letters; panel (b) shows the yields for both barley and wheat over time, and their linear trends.
Download figure:
Standard image High-resolution image2.2. Historical weather data
Daily mean, minimum, and maximum temperature, and precipitation data was collected from the E-OBS observations (0.25 degree regular grid) for corresponding filed sites (ECAD 2018). There was a substantial warming effect in all seasons; mean annual temperature increased by ~2.6 °C from 1962 to 2015 across all 12 sites, while overall variation did not increase (figure 2 upper panels). The range between minimum and maximum daily temperatures was largest in summer with a mean range of 9.5 °C, compared to a mean winter range of ~5 °C. Regional temperature differentials between the southernmost M sites at around 56°N and the more northern C, E, and R sites (58–61°N) were most pronounced in autumn and winter. These and further temperature details such as site-specific patterns and the multi-annual variations in winter can be found in the supplementary information (figure s1 available online at https://stacks.iop.org/ERL/15/124034/mmedia). Precipitation patterns have remained relatively stable over spring and autumn but increase over summer and winter (figure 2 lower panels). Furthermore, the standard deviation of daily precipitation for each year increases, particularly in summer and to some extent in winter and spring (see also figure S2 in the supplementary information).
Figure 2. Long-term development of mean daily temperature and mean daily precipitation per season across all long-term field experiment sites. Long-term trends are displayed with a linear time trend (red) and a spline smoothing function (blue).
Download figure:
Standard image High-resolution imageWe calculated GDDs for each cultivar with the following baseline temperatures (Miller et al 2001). Starting at the beginning of the year, we chose the following values: winter wheat 0 °C (Ruiz Castillo and Gaitán Ospina 2016), and spring barley 0 °C (Juskiw et al 2001). To analyse climate change effects along growth stages, we divided GDD into quartiles to approximate different growth stages of the plants (Peltonen-Sainio et al 2011). The GDD quartiles roughly correspond to the following plant development stages for cereals: i) tillering, ii) stem extension, iii) heading, and iv) ripening (Miller et al 2001). For each of the GDD quartiles, we computed an average of daily mean temperatures, and summed total daily precipitation. The data shows an overall warming, and corresponding increases in growing season length and GDD, indicating that the climatic conditions for agricultural production have become more favourable for cereal production.
2.3. Response functions
We estimated yield response functions for winter wheat and spring barley through a multilevel model with site-specific random effects (intercepts) and site-specific means to account for all time-invariant, unobserved site-specific heterogeneity (Blanc and Schlenker 2017, Bell et al 2019). We controlled for standard quadratic fertilization yield functions, cultivation of new varieties, soil pH, and unobserved trends such as for example technological change and changing atmospheric carbon concentrations. We modelled the interaction between soil carbon and weather variables, to infer how the average effect of soil carbon plays out for various climatic conditions in terms of temperature and precipitation.
The general structure of the yield response functions is given by equation (1):

where
is the population level intercept,
is a vector of N fertilizer applications rates for site
and year
,
is a categorical PK fertilizer variable that allows to capture a non-linear relationship across four levels,
is soil carbon,
is a vector of mean temperature, and
represents total precipitation for each of the GDD quartiles. The temperature-precipitation interaction effect is only modelled within each GDD quartile.
capture topsoil pH, crop rotation, crop variety and the site-specific soil carbon mean, and a linear time trend. The random effects, that is site-specific intercepts, are sampled from a normal distribution varying around the population level mean (Bates et al
2015, Bell et al
2019). For the numerical estimates see table A3 in the appendix.
The computations are conducted in the lme4 package (Bates et al 2015) in R (R Core Team 2019) through restricted maximum likelihood estimations. The analytical code and the data can be found in both the supplementary material and/or in a public repository [link to be inserted]. Based on the general estimates, we predicted the interaction effects for each GDD quartile for 5th, 50th, and 95th percentile values of both mean temperature total precipitation, using the ggeffects (Lüdecke 2018) package in R, and plotted results using ggplot2 (Wickham 2016) and sjPlot (Lüdecke 2019). All other variables were held constant at specific values for each of the interaction plots in figures 4 and 5.
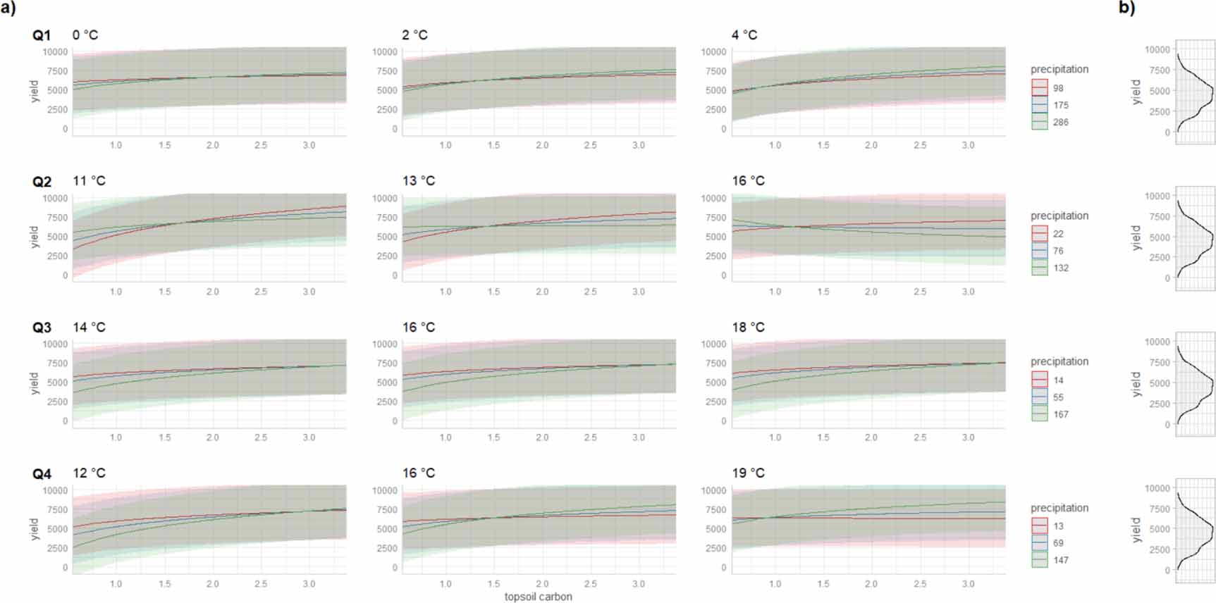
Figure 3. Yield response functions for winter wheat with regard to soil carbon, temperature and precipitation interactions. The figure displays predictions for final yields across quartiles of growing degree days (panels Q1–4) and temperature (in rows). The yield response functions with regard to soil carbon are displayed with lines of different colours for the values of the total precipitation per GDD quartile (5th percentile response functions in red, median in blue, 95th percentile in green). The confidence intervals are displayed as transparent colour shades. Furthermore, the yield response functions are predicted for 5th percentile, median, 95th percentile values of observed temperature per GDD quartile (panels left to right with degrees °C indicated above plots). The graphs at the right show the distribution of yields in kg ha−1. They show that predictions are within sample, but the uncertainty range is considerable—mainly due to multiple interaction effects.
Download figure:
Standard image High-resolution imageFigure 4. Yield response functions for spring barley with regard to soil carbon, temperature and precipitation interactions. The figure displays predictions for final yields across quartiles of growing degree days (panels Q1–4) and temperature (in rows). The yield response functions with regard to soil carbon are displayed with lines of different colours for the values of the total precipitation per GDD quartile (5th percentile response functions in red, median in blue, 95th percentile in green). The confidence intervals are displayed as transparent colour shades. Furthermore, the yield response functions are predicted for 5th percentile, median, 95th percentile values of observed temperature per GDD quartile (panels left to right with degrees °C indicated above plots). The graphs at the right show the distribution of yields in kg ha−1.
Download figure:
Standard image High-resolution imageFigure 5. The effect of crop rotations with and without leys on topsoil carbon. The figure depicts the log-linear model time trends for different management options where ley and livestock are (not) integrated into a 4-year crop rotation in red (blue). Panel (a) shows the average effects across all sites, and panel (b) specifies the site-specific random effects and year trends for ley in the rotation (red) and without (blue).
Download figure:
Standard image High-resolution imageFor the effect of ley (
) on soil carbon (
) we estimated a log-linear model to account for non-linear depletion rates over time, with the following specifications: a quadratic N-fertilization (
) function, categorical PK fertilizer (
) application rates, topsoil pH (
), mean temperature (
) and total precipitation (
) per GDD quartile, the interaction between precipitation and temperature per GDD quartile, a year trend (
), and ley crop rotation dummy and the interaction between crop rotation, accounting for site-specific intercepts and year trends through a multilevel random effects estimation, see equation (2). For the numerical regression results for soil carbon see table A4.

3. Results
3.1. Wheat yields
Generally, winter wheat yield benefits from higher temperatures but the response to precipitation varies over GDD (Q1–Q4) quartiles and with temperature (figure 3(a)). A typical condition for crop production is represented by the median value of temperature (centre column figure 3(a)) and precipitation (response function in blue figure 3(a)). The highest yields can be reached with comparatively humid and warm 1st and 4th GDD quartiles. Higher soil carbon provides generally better yield potentials for weather extremes in the final quartile, except for extremely low precipitation and high temperature where the effect is slightly negative. The uncertainty ranges are relatively large due to the interaction effects in the multilevel model, but the marginal-effect estimates are within the range of observed values (see t kernel density estimate plot figure 3(b)).
During the first GDD quartile, when the wheat tiller after winter, higher soil carbon levels are associated with higher final wheat yield predictions. There is a multiplicative pattern: the higher the precipitation, the higher the marginal effect of additional soil carbon, as the steeper high-precipitation response function (green) indicates for the first GDD quartile. Temperature in the first GDD quartile influences wheat yield slightly positively, as indicated by steeper response functions for higher temperatures. Rising temperature may thus further enhance the yield effect of soil carbon and precipitation.
During the second GDD quartile wheat yield varies with soil carbon, temperature, and precipitation. At temperatures lower than 11 °C higher soil carbon corresponds to higher final wheat yields for all precipitation levels. At the median temperature of 13 °C the response change and higher carbon is only associated with higher yields for the lower precipitation ranges (red and blue); showing that soil carbon buffers effects of drought events. Under higher precipitation rates (>76 mm GDD−1 quartile) combined with higher temperatures (>13 °C, see panel right hand panel for Q3), higher soil carbon content corresponds to lower yields. Lower temperatures during the 2nd GDD quartile are generally better for final yields when the plant is developing biomass and tillers.
During the third GDD quartile higher soil carbon content is always associated with higher yields, especially for higher precipitation. Extremely high precipitation lowers yield considerably at low soil carbon content but less so at the highest soil carbon content, which implies that soil carbon can also buffer the negative effect of excessive precipitation. Temperature does not influence yield in the third GDD quartile as response functions do not change over the temperature distribution. Thus, higher soil carbon insures final yields against increasing rainfall variability in Q3 (summer) when wheat is heading and filling grains.
In the fourth GDD quartile, when the wheat is ripening, soil carbon is positively correlated with the final wheat yields. The effect of precipitation changes with temperatures, as at lower temperatures (<15 °C, see left hand panel for Q4) high precipitation (>69 mm GDD−1 quartile) corresponds to lower yields for lower soil carbon, while for high soil carbon the negative impact of higher precipitation is eliminated. This buffering effect by soil carbon on yield increases at higher temperatures. In a warm fourth GDD quartile (>15 °C, see centre panel in Q4) more precipitation becomes increasingly positive for yields the warmer it gets, and with higher soil carbon. At high temperatures (~19 °C, see right hand panel in Q4) extremely low precipitation is detrimental for yields even at higher soil carbon levels. The maximum final yields are obtained at maximum precipitation, temperature and soil carbon in the last GDD quartile.
3.2. Spring barley yields
Generally, spring barley responds well to higher soil carbon at median values (blue response function at centre column figure 4(a)). It is, however, slightly more productive in the lower temperature range (left column figure 4(a)). At low precipitation (red response functions figure 4(a)), fields with high SOC generally produce higher yields, but barley is not resilient to high precipitation (green response functions figure 4(a)). Soil carbon seems to enhance a negative response of barley to extreme precipitation for 2nd and 3rd GDD quartiles at 95th percentile values (green response functions figure 4(a) Q2–3).
In the first GDD quartile, spring barley yields are positively correlated with soil carbon at higher temperatures, but not at lower temperatures (~7 °C) (figure 4(a) Q1). Higher precipitation is associated with lower yields over the entire temperature range. At higher temperatures a low soil carbon level will have particularly low yields. At higher soil carbon yield varies less with temperature. For early growth stages of spring barley, above median temperatures and below median precipitation show the strongest marginal effects on final yields.
In the second GDD quartile, when barley develops tillers, low precipitation is important for high final yields. Higher soil carbon levels produce higher yields for median to low precipitation while at high precipitation yields are lower (green response functions). The variation in yield increases with higher temperatures and with higher soil carbon as indicated by the growing divergence of response functions from left to right.
For the third GDD quartile, when barley develops stems and biomass, lower temperatures and lower precipitation are associated with higher final barley yields. Soil carbon is positively associated with yields, except for the highest precipitation level. Yet, for both the second and the third GDD quartiles the response function of the 95th percentile precipitation cannot be considered plausible, in particular for above median temperatures, as they predict negative yields. This shows the limits to the robustness of the modelled results at extreme values.
For the fourth GDD quartile, when spring barley ripens, higher temperatures produce lower yields. High precipitation is generally associated with lower yields as shown by the lower blue and green response functions in figure 4. Soil carbon is generally associated with higher yields, except under the maximum precipitation (188 mm GDD−1 quartile).
For combined 95th percentile values of precipitation and temperature in panel Q2 and Q3 we predict out of sample (that is into negative yield values for high carbon values and thus unreasonable ranges). This shows that barley yield predictions are only reliable for values closer to median as not all conditions of interacted variables are simultaneously observed at their extremes.
3.3. Soil carbon and management
Our analysis shows that soil carbon is generally depleted by the management practices used in the long-term experiments. Soil carbon declines on average across all sites (figure 5(a), see also tables A4 and A5) but at a lower rate under the ley-livestock management than under rotations with only annual crops (see the red ley-livestock crop rotation compared to the blue annual crop rotation in figure 5(a)). In some of the northern sites (E-9, C7, C8), we estimated slight soil carbon increases in the ley rotations. Partly this may be due to a 2 year ley in a 6 year rotation compared to 1 year of ley in a 4 year rotation in the southern sites. However, not all sites with a 2 year ley show increased soil carbon levels over time (R94, R95, E-10). For those that show an increase, the yearly gain of soil carbon is rather slow, increasing by a maximum of 0.25% over a period of 50+ years, at the costs of two foregone yields every 6 years.
4. Discussion
We show that relatively higher soil carbon levels (all other things equal) are generally associated with higher yields for favourable climatic conditions. Furthermore, higher soil carbon reduces yield losses arising from adverse weather events at different stages of the growing season. These mechanisms can be explained by soil carbon increasing a set of ecosystem services that changes soil structure allowing infiltration and also water retention through larger soil aggregates integrating the soil organic matter with the mineral particles (Lal 2016). Soil carbon thereby provides farmers with insurance against adverse weather events. Soil carbon has differing effects on yield, depending on the growing degree quartile in which rainfall or temperature deviate from averages. Here we show the complex relations between soil carbon, and the timing of weather events over the growing season. We can confirm that yields are less variable and even increase with higher soil carbon content within sites (Manns and Martin 2018, Oldfield et al 2019). As our experiment was set up to derive fertilization recommendations, we can include N-fertilizer application rates (Macholdt et al 2020) and N–C interactions (Zhang et al 2018) such that we do not bias yield-effects estimates through omitted fertilization variables or their interaction see table A3. More importantly, however, our results contribute evidence that the interaction effects of soil carbon and weather variables on yield need to be differentiated by the timing of weather variations over the growing season. The results have clear implications for both science and society as they specify how to better estimate climate change effects on crop yields and suggest soil management practices for improving the potentials of soils to insure against climatic change.
Regarding our first research question: How does arable crop production respond to soil carbon levels under climatic variations across growing degree quartiles?, we need to interpret our results against the background of observable climate trends to understand the implications of our results for farmers and society. Climate change and production conditions vary regionally (Trnka et al 2011, Moore and Lobell 2015) and effects of soil management practices vary with climatic conditions (Sun et al 2020). For the Swedish long-term experiments, the precipitation primarily increases in winter and summer, and this is likely to continue (Rowell 2005, Trnka et al 2014). We can confirm that for northern latitudes, temperature increases can be beneficial for winter wheat but negative for barley (Peltonen-Sainio et al 2011). Yet, our predictions for values that accordingly resemble likely future conditions in Southern Sweden, namely high temperatures and high precipitation in winter and summer, soil carbon maximizes potential gains from favourable conditions for both crops (i.e. for first and fourth GDD quartiles). For wheat, soil carbon minimizes yield losses from unfavourable precipitation conditions, such as low temperature and precipitation in GDD quartile three. This exemplifies how soil carbon can reduce financial, down-side risks of yield losses for farming due to adverse weather (Cong et al 2017). For spring barley, however, we predict substantial yield losses at extremely high precipitation over second and third quartiles in the range of the 95th percentile and this effect is not outweighed by soil carbon (with considerable uncertainty). Potentially, this raises important implications for the adaptation potential of temperate climate barley production given predicted climatic change (see Dawson et al 2015). Yet, at less extreme temperature soil carbon enhances barley yield according to our results. Thus, we show the importance of accounting for the timing of weather conditions on yield in interaction with soil carbon. These results clearly indicate benefits from having higher soil carbon, for both barley and wheat. Soil carbon enhances yields in the event of favourable conditions while moderating potential yield losses due to adverse weather, and therefore insures agriculture against increasing temperature and precipitation variability.
Regarding our second question: Can crop rotations that promote soil carbon help farmers to adapt to an increasing likelihood of adverse weather events?, there exists a multitude of possible measures to increase soil carbon content in arable production systems (West et al 2004, Haddaway et al 2015, Keel et al 2019), such as no-tillage (Haddaway et al 2017, Ogle et al 2019), cover crops (Poeplau and Don 2015) and ley years (Prade et al 2017, Zhou et al 2019). The more and longer soils are covered, and root biomass is accumulated, e.g. through fertilization, the more organic carbon will be stored below ground (for a recent overview see Sykes et al 2020). We observe both a generally positive trend for crop yields at the experimental sites over time, but also increasing yield variation. Moreover, current agricultural practices, such as those used in the Swedish long-term experiments, on average loose soil carbon. We show that declining soil carbon levels are associated with lower yields. Yet, effects in terms of declining yields are not directly observable by farmers as yields still increase over time. This may be explained because losses in soil carbon have so far been offset by technological development such as improved varieties (Fischer and Edmeades 2010). Such a hidden deterioration is problematic given the broader potential societal benefits from maintaining healthy soils (Lal 2016). In particular arable soils could even function as a carbon sink; and the 1.5 °C climate goals can only be achieved by including agricultural land use into emissions reductions (IPCC 2019). Given the long-time scales needed for SOC to recover, there is a mismatch between short- and long-term benefits (Brady et al 2015). As has been shown for the same experiments, ley-manure management can provide carbon storage (Carlgren and Mattsson 2001, Albizua et al 2015). Yet, as we show, this is not enough to stop the depletion of soil carbon stocks (for soil carbon balance calculations in the Swedish long-term experiments, see Kätterer et al 2014, Börjesson et al 2018, Keel et al 2019).
Overall, enhancing soil carbon can contribute to making agriculture more resilient to climate change by reducing the production risks that come with increasing frequency of adverse and extreme weather over the growing season, while enhancing the effects of favourable climatic conditions in higher latitudes. Our results furthermore imply that predictions of the impacts of climate change based on scenarios of average annual temperature and precipitation changes, general variability increases, or general GDD increase, are omitting the effects from weather variations over the growing season. Yet, it is important to note that, the societal benefits such as food security and carbon storage (Vermeulen et al 2019, Bossio et al 2020) provided by management options that promote soil carbon such as inclusion of ley or other measures (Albizua et al 2015, Poeplau and Don 2015, Bradford et al 2019) come at a cost for the farmer in terms of foregone yield (Bartkowski et al 2018). Our results indicate that a substantial increase from 0.5%–2.5% soil carbon comes with a maximum increased yield of 2.5 tonnes for both wheat (in a warm year with high precipitation) and barley (in a median year with low precipitation). In our case, to restore such a carbon stock would require foregoing yield every 6 years to grow ley for more than 200 years. As this is hardly a reasonable scenario, but there are public benefits of soil restoration in terms of food security, land degradation neutrality, and climate change mitigation, measures enhancing soil carbon could be supported by corresponding reforms of land-use and agricultural policies to compensate farmers for the provision of such public goods that comes at their expense in terms of current yield (Paustian et al 2016, Pe'er et al 2017, 2020, Cowie et al 2018, Hristov et al 2020). To halt soil degradation, improved soil management may thereby require agronomic and policy solutions to optimize SOC storage while minimizing short-term trade-offs with farmer incomes.
Acknowledgments
The authors gratefully acknowledge funding by the strategic research area Biodiversity and Ecosystem services in a Changing Climate (BECC, www.becc.lu.se/). Special thanks go to the Swedish University of Agricultural Science (SLU) for the maintenance of the Long-Term Experiments and the provision of data (www.slu.se/en/faculties/nj/this-is-the-nj-faculty/collaborative-centres-and-major-research-platforms/long-term-field-experiments-/). The authors also acknowledge the E-OBS dataset and the data providers in the ECA&D project (www.ecad.eu).
Conflict of interest
The authors declare no competing interests.
Author contributions
ND conducted the data preparation and analysis and wrote the first draft of the document. WM conceptualized the project and gathered the climate data. YC participated in the conceptualization of project and analysis. GB provided the agricultural experiment data and helped organizing it. MB led the project and conceptualized the analysis. KH co-led the project and conceptualized the analysis. All participated in interpretation of results and revision of the initial draft.
Data availability statement
The analytical code is available open access at: https://github.com/NilsDroste/SoilCarbonInsurance. Climate and yield data are available from the authors upon reasonable request.
: Appendix
Appendix. Experimental design
Figure A1. The experimental set up of the Swedish Soil Fertility Experiments. Block I and II are replicates of each other. With each block, and for each crop rotation (I or II), four different PK fertilizer rates (A–D) and four different N fertilizer rates (1–4) are applied. Source: Authors' translation based on the Swedish long-term experiment series R3-9001 plan (SLU 2020).
Download figure:
Standard image High-resolution imageAppendix. Descriptive statistics
Tables A1 and A2 provide summary statistics for both the winter wheat and the spring barley subsets. The observations used for this analysis can be found in the supplementary material and in a public github repository.
Table A1. Summary statistics of the combined long-term experiment climate data for the winter wheat subset.
| Statistic | N | Mean | St. Dev. | Min | Pctl(25) | Pctl(75) | Max |
|---|---|---|---|---|---|---|---|
| N-Fertilization (NFert) | 4278 | 69.1 | 52.0 | 0 | 40 | 120 | 150 |
| Yield | 4115 | 4495.0 | 1690.7 | 0.0 | 3272.3 | 5675.0 | 9380.7 |
| Observed soil carbon (SC_obs) | 1185 | 1.9 | 0.5 | 0.5 | 1.4 | 2.2 | 3.0 |
| Imputed soil carbon (SC_imp) | 4278 | 1.9 | 0.5 | 0.5 | 1.5 | 2.2 | 3.4 |
| Topsoil_pH (topsoil_pH) | 3513 | 6.5 | 0.6 | 4.5 | 6.0 | 6.9 | 8.0 |
| Growing Degree Day (GDD) | 4096 | 2128.5 | 216.0 | 1697.0 | 1991.0 | 2222.0 | 2821.0 |
| Mean temperature per GDD Quartile 1 (gdd_meantemp_Q1) | 4096 | 2.0 | 1.4 | −2.0 | 1.0 | 3.0 | 5.0 |
| Mean temperature per GDD Quartile 2 (gdd_meantemp_Q2) | 4096 | 13.3 | 1.5 | 11.0 | 12.0 | 14.0 | 17.0 |
| Mean temperature per GDD Quartile 3 (gdd_meantemp_Q3) | 4096 | 16.2 | 1.4 | 13.0 | 16.0 | 17.0 | 20.0 |
| Mean temperature per GDD Quartile 4 (gdd_meantemp_Q4) | 4096 | 15.7 | 1.9 | 10.0 | 15.0 | 17.0 | 20.0 |
| Mean precipitation per GDD Quartile 1 (gdd_prec_Q1) | 4096 | 182.5 | 58.2 | 68.4 | 139.1 | 218.0 | 355.0 |
| Mean precipitation per GDD Quartile 2 (gdd_prec_Q2) | 4096 | 75.3 | 32.5 | 12.7 | 52.9 | 95.1 | 156.9 |
| Mean precipitation per GDD Quartile 3 (gdd_prec_Q3) | 4096 | 72.0 | 61.0 | 2.8 | 33.4 | 91.8 | 320.3 |
| Mean precipitation per GDD Quartile 4 (gdd_prec_Q4) | 4096 | 74.7 | 41.8 | 2.3 | 43.9 | 102.4 | 214.3 |
| Per site mean of imputed soil carbon (SC_imp_site_mean) | 4278 | 1.9 | 0.4 | 1.1 | 1.4 | 2.2 | 2.6 |
Source: Authors' elaboration.
Table A2. Summary statistics of the combined long-term experiment climate data for the spring barley subset.
| Statistic | N | Mean | St. Dev. | Min | Pctl(25) | Pctl(75) | Max |
|---|---|---|---|---|---|---|---|
| N-Fertilization (NFert) | 3676 | 42.5 | 31.8 | 0 | 25 | 75 | 90 |
| Yield | 3652 | 3544.7 | 1323.6 | 0.0 | 2560.0 | 4447.5 | 7695.8 |
| Observed soil carbon (SC_obs) | 161 | 2.2 | 0.2 | 1.9 | 2.1 | 2.3 | 2.8 |
| Imputed soil carbon (SC_imp) | 3676 | 1.9 | 0.5 | 0.8 | 1.4 | 2.2 | 3.2 |
| Topsoil_pH (topsoil_pH) | 1636 | 6.6 | 0.6 | 4.5 | 6.1 | 7.1 | 8.4 |
| Growing Degree Day (GDD) | 3634 | 1762.2 | 180.1 | 1317.0 | 1643.0 | 1853.0 | 2606.0 |
| Mean temperature per GDD Quartile 1 (gdd_meantemp_Q1) | 3634 | 10.0 | 1.9 | 3.0 | 9.0 | 11.0 | 14.0 |
| Mean temperature per GDD Quartile 2 (gdd_meantemp_Q2) | 3634 | 14.4 | 1.2 | 12.0 | 14.0 | 15.0 | 18.0 |
| Mean temperature per GDD Quartile 3 (gdd_meantemp_Q3) | 3634 | 16.5 | 1.6 | 13.0 | 15.0 | 18.0 | 20.0 |
| Mean temperature per GDD Quartile 4 (gdd_meantemp_Q4) | 3634 | 15.8 | 1.7 | 11.0 | 15.0 | 17.0 | 20.0 |
| Mean precipitation per GDD Quartile 1 (gdd_prec_Q1) | 3634 | 51.5 | 33.9 | 2.1 | 28.0 | 73.9 | 215.3 |
| Mean precipitation per GDD Quartile 2 (gdd_prec_Q2) | 3634 | 57.5 | 29.2 | 17.8 | 32.4 | 76.6 | 144.8 |
| Mean precipitation per GDD Quartile 3 (gdd_prec_Q3) | 3634 | 51.8 | 28.3 | 4.9 | 27.1 | 73.2 | 115.2 |
| Mean precipitation per GDD Quartile 4 (gdd_prec_Q4) | 3634 | 68.2 | 42.5 | 2.9 | 41.8 | 88.9 | 240.4 |
| Per site mean of imputed soil carbon (SC_imp_site_mean) | 3676 | 1.9 | 0.5 | 1.1 | 1.4 | 2.2 | 2.6 |
Source: Authors' elaboration.
Appendix. Regression analysis
In tables A3 and A4 we provide the multilevel regression estimates derived by the methods described in 'Data and Methods' equations (1) and (2). The reported estimates are the foundation for the graphical display in the 'Results' section we map out the interaction effects along various dimensions. Table A3 provides the results of the restricted maximum likelihood estimates for both wheat and barley.
Table A3. Results for multilevel random effects crop response functions.
| Dependent variable: | ||
|---|---|---|
| Wheat yield | Barley yield | |
| log(SC_imp) | 9673.5*** (1685.0) | 9540.9*** (3627.9) |
| Nfert | 40.4*** (2.1) | 48.3*** (3.1) |
| NFert2 | −0.1*** (0.01) | −0.3*** (0.03) |
| PKFertB | 248.3*** (42.6) | 165.9*** (35.3) |
| PKFertC | 399.9*** (42.7) | 368.1*** (35.4) |
| PKFertD | 476.1*** (44.7) | 433.5*** (37.7) |
| topsoil_pH | 90.8 (80.2) | 327.2*** (91.6) |
| gdd_meantemp_Q1 | −256.1*** (98.7) | −486.1*** (63.6) |
| gdd_meantemp_Q2 | 214.8*** (49.4) | 480.1*** (88.8) |
| gdd_meantemp_Q3 | 105.1** (53.1) | −94.4 (64.9) |
| gdd_meantemp_Q4 | 30.7 (46.2) | −322.8*** (80.1) |
| gdd_prec_Q1 | −2.6* (1.5) | −9.6*** (2.8) |
| gdd_prec_Q2 | 23.2*** (5.5) | 147.9*** (17.6) |
| gdd_prec_Q3 | −7.5 (5.9) | 49.1*** (12.7) |
| gdd_prec_Q4 | −37.5*** (6.4) | 26.0*** (9.5) |
| Year | 36.1*** (7.0) | −65.5*** (12.2) |
| log(site_mean_SC_imputed) | −1654.5 (1315.9) | −1282.3 (2109.2) |
| log(SC_imputed) × Nfert | −10.1*** (3.3) | −5.6 (4.7) |
| log(SC_imputed) × NFert2 | −0.001 (0.02) | 0.1 (0.1) |
| log(SC_imputed) × gdd_meantemp_Q1 | 190.4* (98.4) | 649.5*** (84.0) |
| log(SC_imputed) × gdd_meantemp_Q2 | −457.9*** (62.2) | −381.3*** (139.7) |
| log(SC_imputed) × gdd_meantemp_Q3 | −10.4 (71.4) | −310.8*** (99.8) |
| log(SC_imputed) × gdd_meantemp_Q4 | −171.3*** (64.8) | 43.9 (92.5) |
| log(SC_imputed) × gdd_prec_Q1 | 3.8** (1.7) | −7.2 (5.0) |
| log(SC_imputed) × gdd_prec_Q2 | −18.5*** (2.7) | −40.5*** (5.4) |
| log(SC_imputed) × gdd_prec_Q3 | 7.7*** (1.4) | −24.5*** (7.3) |
| log(SC_imputed) × gdd_prec_Q4 | 12.2*** (1.8) | −8.9** (4.0) |
| gdd_meantemp_Q1 × gdd_prec_Q1 | 0.8** (0.4) | 0.9*** (0.3) |
| gdd_meantemp_Q2 × gdd_prec_Q2 | −1.3*** (0.4) | −10.3*** (1.1) |
| gdd_meantemp_Q3 × gdd_prec_Q3 | −0.1 (0.4) | −3.6*** (0.8) |
| gdd_meantemp_Q4 × gdd_prec_Q4 | 2.0*** (0.4) | −1.6*** (0.6) |
| Constant | −73 518.0*** (13 862.3) | 133 336.0*** (24 163.1) |
| Crop rotation dummy | Yes | Yes |
| Crop variety dummies | Yes | Yes |
| Observations | 3375 | 1476 |
| Log Likelihood | −27 546.2 | −11 124.9 |
| Akaike Inf. Crit. | 55 182.0 | 22 331.7 |
| Bayesian Inf. Crit. | 55 463.8 | 22 548.9 |
Notes: Significance levels: *p < 0.1; **p < 0.05; ***p < 0.01. Standard errors in parenthesis.
Table A4. Results for multilevel random effects soil carbon response functions.
| Dependent variable: | |
|---|---|
| log(SC_imp) | |
| PKFertB | 0.015*** (0.002) |
| PKFertC | 0.015*** (0.002) |
| PKFertD | 0.030*** (0.002) |
| NFert | 0.0005*** (0.00003) |
| Fert2 | −0.00000*** (0.00000) |
| topsoil_pH | −0.008** (0.003) |
| gdd_meantemp_Q1 | −0.0001 (0.0004) |
| gdd_meantemp_Q2 | −0.006*** (0.001) |
| gdd_meantemp_Q3 | −0.005*** (0.001) |
| gdd_meantemp_Q4 | −0.004*** (0.001) |
| gdd_prec_Q1 | −0.00003 (0.00002) |
| gdd_prec_Q2 | −0.001*** (0.0002) |
| gdd_prec_Q3 | −0.001*** (0.0002) |
| gdd_prec_Q4 | −0.001*** (0.0001) |
| year | −0.002*** (0.0004) |
| crop.rotation = II | 3.131*** (0.223) |
| gdd_meantemp_Q1 × gdd_prec_Q1 | 0.00002*** (0.00000) |
| gdd_meantemp_Q2 × gdd_prec_Q2 | 0.0001*** (0.00001) |
| gdd_meantemp_Q3 × gdd_prec_Q3 | 0.0001*** (0.00001) |
| gdd_meantemp_Q4 × gdd_prec_Q4 | 0.0001*** (0.00001) |
| year × crop.rotation = II | −0.002*** (0.0001) |
| Constant | 4.915*** (0.735) |
| Observations | 8505 |
| Log Likelihood | 11 110.7 |
| Akaike Inf. Crit. | −22 169.4 |
| Bayesian Inf. Crit. | −21 986.1 |
Notes: Significance levels: *p < 0.1; **p < 0.05; ***p < 0.01. Standard errors in parenthesis.
Table A4 provides the results of the restricted maximum likelihood estimates for estimating the effect of having ley in the crop rotation on soil carbon.
Table A5 indicates the estimated random effects with conditional variances for 'site'.
Table A5. Site specific random effects for the soil carbon response function model reported in table A4.
| site | Intercept | Year |
|---|---|---|
| M-1 | 0.65867 | −0.00047 |
| M-2 | 3.27786 | −0.00158 |
| M-3 | 0.84645 | −0.00042 |
| M-4 | 1.24870 | −0.00091 |
| M-5 | 7.83231 | −0.00411 |
| M-6 | 3.64158 | −0.00166 |
| R-94 | −1.30607 | 0.00069 |
| R-95 | 0.08398 | −0.00002 |
| E-10 | 3.01203 | −0.00146 |
| E-9 | −6.06158 | 0.00309 |
| C-7 | −6.34618 | 0.00330 |
| C-8 | −6.88776 | 0.00354 |





