Abstract
Livestock production uses 37% of land globally and is responsible for 15% of anthropogenic greenhouse gas (GHG) emissions. Yet livestock farmers across Europe receive billions of dollars in annual subsidies to support their livelihoods. This study evaluates whether diverting European subsidies into the restoration of trees on abandoned farmland represents a cost-effective negative-emissions strategy for mitigating climate change. Focusing on sheep farming in the United Kingdom, and on natural regeneration and planted native forests, we show that, without subsidies, sheep farming is not profitable when farmers are paid for their labour. Despite the much lower productivity of upland farms, upland and lowland farms are financially comparable per hectare. Conversion to ‘carbon forests’ is possible via natural regeneration when close to existing trees, which are seed sources. This strategy is financially viable without subsidies, meeting the net present value of poorly performing sheep farming at a competitive $4/tCO2eq. If tree planting is required to establish forests, then ∼$55/tCO2eq is needed to break-even, making it uneconomical under current carbon market prices without financial aid to cover establishment costs. However, this break-even price is lower than the theoretical social value of carbon ($68/tCO2eq), which represents the economic cost of CO2 emissions to society. The viability of land-use conversion without subsidies therefore depends on low farm performance, strong likelihood of natural regeneration, and high carbon-market price, plus overcoming potential trade-offs between the cultural and social values placed on pastoral livestock systems and climate change mitigation. The morality of subsidising farming practices that cause high GHG emissions in Europe, whilst spending billions annually on protecting forest carbon in less developed nations to slow climate change is questionable.

Original content from this work may be used under the terms of the Creative Commons Attribution 4.0 license. Any further distribution of this work must maintain attribution to the author(s) and the title of the work, journal citation and DOI.
1. Introduction
Livestock production occupies ∼37% of land globally for grazing (IPCC, 2019), plus an additional 20% of cropland dedicated to feed-crop production (Foley et al 2011). As an industry, livestock production is responsible for ∼15% of total anthropogenic greenhouse gas (GHG) emissions, of which grazing systems directly contribute 20% (Garnett et al 2017), with fluxes dominated by methane from enteric fermentation and nitrous oxide release from excreta (Herrero et al 2016, Garnett et al 2017). Livestock also degrade land resulting in flooding, demand and pollute freshwater, and adversely affect biodiversity (FAO 2006). Despite this environmental damage, the livestock industry is widely subsidised. In 2013, the net value added of grazing livestock farms in the European Union (EU) constituted ∼50% of direct payment subsidies (European Commission 2016). ‘Less favoured areas’, regions inherently unsuited to production, are further subsidised to support farming livelihoods and to prevent land abandonment. Between 2007 and 2013, €12.6 billion was allocated for this purpose (European Commission 2018; equivalent to ∼US$ 14.1 billion).
Juxtaposing this European subsidy for a GHG-emitting land-use, tree planting is being promoted at the global scale as a cost-effective negative-emissions strategy for mitigating climate change, restoring forests, and progressing sustainable development goals (Chazdon et al 2015, Griscom et al 2018, FAO 2018). While there is engagement with this movement in Europe, current forest conservation and restoration actions focus primarily on less developed nations, especially in the tropics. For example, although the Bonn Challenge, a German and IUCN (International Union for Conservation of Nature) initiative, is intended as a global effort to restore degraded land, only 0.1% of currently committed land is in Europe (Bonn Challenge 2019). Despite Europe’s disproportionate historical contributions both to emissions and deforestation (Kaplan et al 2009, Althor et al 2016), it has the lowest percentage of protected forest area of any vegetated sub-region and limited recent increase in forest cover (Morales-Hidalgo et al 2015, EEA 2017).
Converting pastureland to forest across Europe has potential as a climate change-mitigation strategy, contributing to the restoration ambitions of the Bonn Challenge, whilst simultaneously mitigating the GHG emissions from livestock agriculture. The technical potential of such a strategy has already been investigated in the United Kingdom (UK). Read et al (2009) established that a 4% change in land cover to forestry could achieve an annual abatement of GHGs equivalent to 10% of UK emissions by 2050. This mitigation potential is an important pillar of recent GHG removal scenarios (Committee on Climate Change 2018, Royal Society & Royal Academy of Engineering 2018). More drastic land-use transformation is possible without compromising food production. For example, Lamb et al (2016) proposed that, by increasing productivity, 5 million ha of agricultural land could be spared, which, if coupled with habitat restoration, could reduce predicted emissions in 2050 by 80%. Thus, there are both strong moral and logical arguments for pasture conversion to forest. However, this strategy also has significant economic, social and cultural implications for rural communities, which are likely to limit its practical implementation (Lamb et al 2016). It is therefore necessary to analyse the socio-economic viability of such a strategy.
In this study, we use sheep farming in the UK as a case study to assess the financial implications of converting pasture lands to forestry. We first establish the economic viability of sheep pasture relative to ‘carbon forests’ under different production and tree-recovery scenarios. Secondly, we explore the circumstances under which conversion of pasture to forestry might be economically viable and discuss the cultural implications.
2. Strategy
Pasture covers ∼29% of UK land area, making it the most extensive land class (Rae 2017). The UK livestock industry is heavily dependent on subsidies: in 2018, up to 94% of livestock farm business income was from EU subsidies under the Common Agricultural Policy (CAP) (DEFRA 2018a). Sheep are the most numerous livestock animal in the UK (excluding poultry), it is one of the top 10 sheep producers worldwide (FAO 2018, DEFRA 2020), and production is commonly focused on marginal and unproductive land. There are over 70 000 farm holdings with breeding ewes and, in 2017, sheep farming generated 4.7 million tonnes of CO2-equivalent, accounting for ∼1% of total UK emissions (AHDB 2018, NAEI 2020). Simultaneously, UK tree cover is 8%, making it one of the least densely forested countries in Europe (FAO 2015, Forestry Commission 2017a). Historically covered in forest and with a suitable climate, the UK possesses large potential for reforestation as a climate change-mitigation strategy (Read et al 2009).
To assess the economic potential of conversion, the profitability of pasture and forest must be established. The economic success of pasture depends on the income from animal products and the costs incurred producing them. Here, the profitability of sheep farming is assessed without subsidies to evaluate the economic viability of alternative land uses without government support. The economic viability of pasture is then compared with land conversion to forest. Although the profitability of timber and coppice is competitive with pasture (Heaton et al 1999, Nijnik et al 2013, Hardaker 2018), there is a long time-lag between the costs of forest establishment and financial returns, which often discourages conversion (Lawrence and Edwards 2013). Therefore, instead of assuming income from timber production, this study assesses the feasibility of receiving payments solely for carbon sequestration.
Previous studies have investigated the relative profitability of carbon payments in the tropics (Fisher et al 2011, Gilroy et al 2014, Warren-Thomas et al 2018) and Australia (Comerford et al 2015, Evans et al 2015), showing that carbon farming can be economically competitive with pasture, but that viability depends on opportunity costs and attainable carbon price. However, as European countries have previously lacked a platform for carbon payments, there is a deficit of relevant research for Europe and temperate regions more broadly, making it necessary to assess the strategy in the European ecological and economic environment. The Woodland Carbon Code (WCC) is a UK scheme recently developed by the Forestry Commission that incentivises forestry, enabling landowners to claim money for every tonne of carbon dioxide (tCO2) they sequester (SI text 1). Landowners enter carbon credits on the UK Woodland Carbon Registry, which are voluntarily bought by companies or individuals to compensate for their own emissions (Forestry Commission 2018a).
Economic feasibility was evaluated under three distinct scenarios: the continuation of farming, natural forest regeneration and forest planting (as summarised in table 1).
- Scenario 1: Sheep farming on pasture continues, but without EU subsidies or equivalent. Farm accounting often does not incorporate unpaid labour carried out by the farmer(s). Since farming is compared to forest management, which has negligible labour requirements in comparison, we evaluate the profitability of sheep farming with and without labour costs. Farm performance in the UK is not spatially predictable by environmental conditions, instead being determined by individual farm efficiency (Wilson et al 2012). Varying productivity (in kg per ha) was therefore used to reflect the range in farm performance.
- Scenario 2: Sheep farming is abandoned and forests naturally regenerate, with carbon payments claimed. Crucially, Scenario 2 assumes that a seed source from nearby trees ensures that regeneration in pastureland is not limited by tree dispersal and establishment. Both mixed native deciduous woodland and coniferous scots pine forests are assessed.
- Scenario 3: Forests are established through planting, with carbon payments claimed. Forest planting involves different levels of disturbance to the existing environment. Ground disturbance results in loss of soil carbon, reducing the overall amount of carbon that can be claimed (Forestry Commission 2018a). Consequently, a conservative approach was adopted and planting was assumed to incur maximum disturbance.
Table 1. The scenarios for which economic viability was assessed and the benefits and costs incurred by each.
| Scenario | Benefits | Costs | |
|---|---|---|---|
| 1. | Sheep farming continues Farmer and spouse paid for labour | Income from sale of lamb and wool (no CAP subsidies) | Variable Costs: feed concentrates, veterinary and medicine, forage and miscellaneous costs (e.g. contract shearing etc) Fixed Costs: include regular labour, unpaid labour, power and machinery, and overhead costs |
| Farmer and spouse not paid for labour | As above but excluding a value for unpaid labour | ||
| 2. | Natural regeneration Sheep farming ceases and land is left for forest to grow naturally With either a.) Deciduous trees b.) Conifer trees | Payments for carbon sequestration | Costs of getting the carbon verified and of using the WCC register |
| 3. | Planted forest Forests are artificially established. Maximal ground disturbance is assumed, e.g. agricultural ploughing | Payments for carbon sequestration | Costs of carbon verification and of using the WCC register Establishment costs (first 15 yr) |
A common issue with carbon-offsetting schemes is permanence, i.e. the risk that the carbon sequestration can be reversed. The WCC accounts for this with a pooled buffer in which each WCC project contributes 20% of its carbon credits to the buffer to cover any loss of carbon (e.g. through storm damage) and any trees lost that must be replanted (Forestry Commission 2018a). In addition, woodlands cannot be felled in Britain without a licence (Forestry Commission 2018c). WCC projects must also conform with the UK Forestry Standard (Forestry Commission 2017b).
Given the negative environmental impacts of exotic conifer plantations, including loss of ground vegetation, acid run-off, modified hydrological systems and lower biodiversity (Brockenhoff et al 2008, Bunce et al 2014), we only considered the conversion of pasture to native woodland. However, the productivity and, therefore, sequestration potential of exotic conifers is significantly greater than that of natives (Read et al 2009).
3. Methods
3.1. Assessing economic feasibility
The net present value (NPV) of sheep pasture and forests receiving payments for carbon was calculated. This represents the benefits minus costs over a given time period; a positive NPV indicates net profit whereas a negative NPV signifies net loss. Following HM Treasury (2018), NPV was calculated over a 25 yr horizon with a discount rate of 3.5%. Rates of 7% and 10% were also applied to reflect higher discount rates in the private sector (Moran et al 2008, HM Treasury 2017). This range is consistent with existing literature (Nijnik et al 2013, Gilroy et al 2014, Warren-Thomas et al 2018).
3.2. Farming NPV
NPV was calculated, without any subsidies, for sheep that lamb in spring. Income and cost values were taken from the 2018 John Nix Pocketbook for Farm Management, which is produced by the Andersons Centre of Farm Business Consultants (Redman 2017). The pocketbook provides estimates of costs and income for low-, average- and high-performing farms. Values are based on the UK Farm Business Survey using 2017/18 prices and presented separately for upland and lowland farms due to their distinct characteristics. Upland farms deemed ‘Less Favourable Areas’ are characterised by lower-stocking densities and poor-quality land. Lowland farms are generally more intensive and have better access to markets (Hardaker 2018). The values in Redman (2017) were used to establish the range of farms in the UK, with the resulting distribution resampled 10 000 times to account for uncertainty and variability within these parameters. The underlying distribution of farm productivity across the UK was unknown, and consequently a uniform distribution was adopted, bounded by the values for high- and low-performing farms in each case. Productivity and NPV were then calculated for each iteration as:

where O is output, the income from lamb and wool sales less depreciation costs, calculated using a fixed price for lamb and wool; V is variable costs, those that vary with output and include feed concentrates, veterinary and medicine, forage and miscellaneous costs (e.g. contract shearing etc); F is fixed costs, which do not vary with output, including labour, power and machinery, and overhead costs. NPV is calculated both with and without labour costs. Rent was excluded from the analysis because prices can be distorted by subsidies (Patton 2008, DEFRA 2018a). r is discount rate and n is year (up to 25 yr).
3.3. Forest NPV
The quantity of claimable carbon sequestered was determined using look-up tables provided by the WCC, based on forest carbon models (Randle and Jenkins 2011). Carbon sequestration was estimated for native woodland over 25 yr and accounted for the soil carbon loss through disturbance, depending on the establishment method adopted (SI Text 1).
The amount of claimable carbon per ha was then multiplied by the price of carbon to estimate income from forests. Payments were assumed to be made each time carbon sequestration is verified: after the first 5 yr, then at 10 yr intervals. Forestry costs include carbon validation and registry use (table S1). Values were provided by Dr Vicky West, a member of the WCC executive board. When planting trees (Scenario 3, table 1), there are additional establishment costs; these were taken from Haw (2017) and cover the first 15 yr (table S1). NPV was then calculated as

where B0−5 is the benefit received from forestry (i.e. the income from carbon payments) in years 0–5, B5−15 the benefit received in years 5–15, and B15−25 the benefit received in 15–25 yr. B was based on carbon price, which we resampled across 10 000 iterations, under a uniform distribution bounded by the lowest price in the current UK carbon market (∼US$4 per tCO2) and the social price of carbon estimated by the UK government (US$68 t−1 CO2eq). C is the costs associated with carbon payments, allocated to 5 or 10 yr verification intervals. Following the WCC guidelines, no net carbon sequestration was assumed on pasture prior to conversion.
Total costs were divided by forest area, which was resampled under a uniform distribution 10 000 times, since a farmer may decide not to turn their entire farm to forest. Forest size was assumed to range from 5 to 125 ha, since forests <5 ha do not qualify as ‘standard’ in the WCC and >125 ha is the largest farm considered by Redman (2017), representing an upper limit to forest conversion. r is the discount rate. In both forest scenarios, it was assumed that the landowner prepares documentation for the WCC rather than contracting a project developer and, as such, no additional cost has been applied.
4. Results
4.1. Sheep farming continues (Scenario 1)
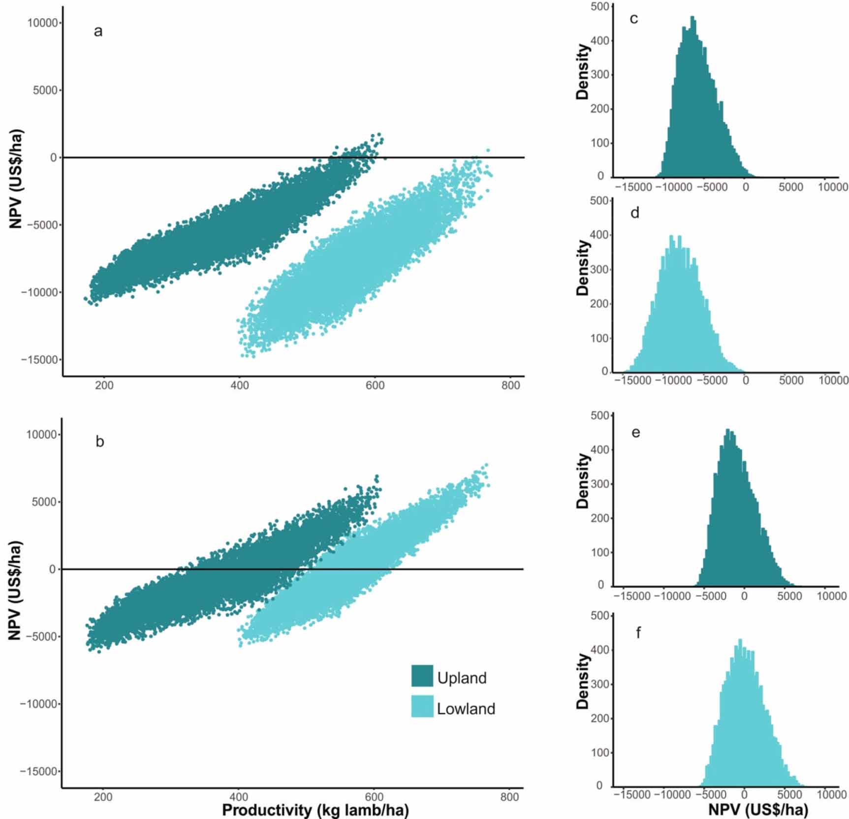
The NPV of sheep pasture increases with lamb productivity (figure 1(a)). When the farmer and spouse are paid for their labour, farmers normally make a net loss with only the most productive farms breaking even. Upland farms make smaller losses (median: $6016 ha−1) than lowland farms (median: $8010 ha−1) because of their lower costs (figures 1(c) and (d)). However, upland farms are also less productive (median: 364 vs. 563 kg ha−1).
Figure 1. Net Present Value ($ ha−1) of sheep farming calculated over 25 yr applying a discount rate of 3.5%. (a), NPV accounting for labour costs, (b), NPV when labour costs are not accounted for. (c), (d), (e) and (f) illustrate the distribution of NPVs accounting for the uncertainty and variation in parameters. Panels (c) and (d) represent the distribution of values when labour is included, i.e. the values shown in (a). Panels (e) and (f) represent the distribution of values when it is not, i.e. the values shown in (b). Points represent iterations of NPV at varying outputs and costs. Estimates of lamb weight, lambs per ewe, ewes per ha, forage cost per ha, as well as variable and fixed costs were resampled under a uniform distribution and NPV was calculated from equation (1). Colour signifies farm type (upland or lowland).
Download figure:
Standard image High-resolution imageWhen labour is unpaid, sheep farming can generate net profit (figure 1(b)), although the median remains negative ($586 ha−1). The difference between upland and lowland farms narrows, with median losses of $1150 ha−1 for upland farms and $26 ha−1 in lowlands, making lowland farms more profitable (figures 1(e) and (f)).
Varying discount rate produces the same patterns in NPVs. However, because future costs are reduced, the lowest NPVs are elevated as discount rate increases (figure S1 (available online at stacks.iop.org/ERL/15/104090/mmedia)).
4.2. Natural regeneration (Scenario 2)
The NPV of forests receiving carbon payments was calculated in relation to carbon market price and forest size (figure 2). The size effect arises because the verification costs of the WCC are fixed regardless of forest size. For a naturally regenerating deciduous woodland, at a low carbon price ($4 per tCO2), forests larger than ∼25 ha make a profit, but all forests become profitable at higher carbon prices (≥$20 per tCO2) (figure 2(a)). Deciduous woodland is projected to sequester a net total of 85 tCO2eq ha−1 over 25 yr. For conifer forests, changing carbon price has less effect on NPV (figure 2(b)). The largest conifer forests (>100 ha) break even at ∼$14 per tCO2, although even under the highest carbon prices, profit is minimal. Carbon sequestration is also markedly lower (7 tCO2eq ha−1) than deciduous woodland over 25 yr.
Figure 2. Net Present Value ($ ha−1) of a naturally colonised native (a) deciduous woodland and (b) coniferous woodland over a range of carbon prices and forest size. NPV is calculated over a 25 yr horizon with a discount rate of 3.5%. Points represent iterations of NPV at varying CO2 prices and forest area. CO2 prices and forest area were resampled under a uniform distribution and NPV was calculated from equation (2). Colour gradient indicates forest size.
Download figure:
Standard image High-resolution imageFor naturally regenerated deciduous woodland, increasing discount rates lowers the NPV. Higher discount rates reduce the gradient of NPV over carbon price: with a discount rate of 10% under the highest current carbon market price ($20 per tCO2), NPV only reaches ∼$170 ha−1 (figure S2).
4.3. Planted forest (Scenario 3)
Planted forests were not profitable within the 25 yr time-horizon, except under the highest carbon prices, breaking even at a carbon price of $55 per tCO2eq (figure 3). However, net carbon sequestration was high, at 147 tCO2eq ha−1.
Figure 3. Net Present Value ($ ha−1) of planted mixed native woodlands over a range of carbon prices and forest size. NPV is calculated over a 25 yr horizon with a discount rate of 3.5%. Points represent iterations of NPV at varying CO2 prices and forest area. CO2 prices and forest area were resampled under a uniform distribution and NPV was calculated from equation (2). Colour gradient indicates forest size.
Download figure:
Standard image High-resolution imageVarying discount rates had the same effect as seen in the natural regeneration; increasing discount rate reduces the effect of carbon price and the range in NPV (figure S3).
5. Discussion
5.1. Under what circumstances is pasture conversion to forest financially viable?
Sheep farming without subsidies is only profitable if farmer and spouse labour are unpaid (figure 1), even then, only the most productive farms break even (figures 1 and 4). In contrast, farmers can generate profits without subsidies by claiming payments for the carbon sequestered in deciduous forests that have naturally colonised former pasture land (figures 2 and 4). This is because of the minimal costs involved, particularly for forests larger than 10 ha when the carbon market price is high, and is consistent with previous studies showing that the natural regeneration of forest can be cost-effective (Macmillan et al 1998, Gilroy et al 2014, Evans et al 2015). However, slow carbon sequestration by naturally regenerated scots pine woodland means that this land-use conversion is only profitable when allowed (and is possible without deer fencing) across a large area and under high carbon prices (figures 2 and 4).
Figure 4. Summary of NPVs under each scenario. NPV is calculated over a 25 yr horizon with a discount rate of 3.5%. The calculations for livestock farming account for unpaid labour, and the greater range in livestock than carbon forest NPVs arises from the higher variation in parameters.
Download figure:
Standard image High-resolution imageWithout financial aid, planting woodland to claim carbon payments is not financially viable within a 25 yr time frame under current market prices ($4-20 per tCO2eq) because of high establishment costs, requiring a price of ∼$55 for the largest forests to become financially viable (figure 3). Though this exceeds the current market price of carbon, it is comparable to estimates of the social price of carbon. The social value of carbon is the economic cost generated by the additional emission of one tCO2 (Nordhause 2017), and represents the market price that society should be theoretically willing to pay. Estimates range by three orders of magnitude, with the UK government valuing the social cost at $68 t−1 CO2eq (2009 prices) (Valatin 2011), which exceeds the break-even value for large planted forests.
Compared to a naturally regenerating woodland, plantations sequester more carbon because higher yield classes and tree densities can be achieved. Consequently, NPV increases more rapidly with increasing carbon price, making plantations a more favourable climate change mitigation strategy. If a minimal disturbance scenario is adopted and the ground is prepared by hand, the net carbon sequestration and therefore NPV of plantations increases further. Moreover, planting trees produces timber of a higher quality, giving greater potential for the wood to substitute more GHG intensive materials or fuels, further enhancing the climate change mitigation potential (Cannell 2003, Morison et al 2012). We do not account for timber revenue however, if managed effectively, this can generate future economic return (Heaton et al 1999, Nijnik et al 2013, Hardaker 2018) and could generate different outcomes between plantations and natural regeneration over the longer-term. Carbon payments could be implemented as a means of revenue for farmers awaiting forest establishment and timber returns.
Plantations become more profitable if tree planting is subsidised. In England, the government-funded Woodland Carbon Fund (WCF) grant currently covers 80% of the establishment cost (Forestry Commission 2018b). Applying this grant allows larger forests to profit at carbon prices ∼$12−14/tCO2eq, and NPV to increase as high as $500 ha−1 under the highest current market price for carbon (figure S4). The benefits of forestry are diminished when subject to higher discount rates. However, the market price of carbon is expected to increase over time as restrictions on emissions are tightened (Valatin 2011), countering the effects of discounting. In addition, payments for carbon are often received upfront (Vicky West, Forestry Commission, pers. comm.), meaning they would not be subject to de-valuation over time.
5.1.1. Where would pasture conversion to forest be feasible?
Although the profitability of pasture conversion is greatest under natural regeneration, this is unpredictable. Forest regeneration depends on site-specific conditions, including the presence of seed sources, and the absence of competition and seed predation (Harmer 1994, 1995, Hodge and Harmer 1996, Harmer et al 2005). Establishment and carbon sequestration could thus take significantly longer than the 5 yr assumed by the WCC (Harmer et al 2001, Poulton et al 2003), lowering profits. However, natural regeneration is preferable, due to negligible loss of soil carbon and creation of woodlands that are environmentally well-suited, with greater structural diversity than plantations (Hodge and Harmer 1996, Harmer et al 2001). Where conditions are favourable, natural regeneration has been successful in the UK (Watt 1934, Hodge and Harmer 1996, Harmer et al 2001), and elsewhere in Europe (Lasanta et al 2015).
Natural regeneration is most likely to occur in close proximity to existing woodland, where agriculture has been less intense, and seed predation is minimised (Harmer 1995, Harmer et al 2005, 2011, Tasser et al 2007). Natural regeneration is also more likely on lower quality land, where there is reduced competition from other species (Harmer 1999, Thomas 2004). Presently, the WCC adopts a conservative approach and does not accept projects on organic soils to avoid an overall loss of carbon (Forestry Commission 2018a). Increasing the comprehensiveness of woodland target areas to incorporate different types of establishment would help land owners make decisions about their conversion potential. In addition, the benefits of ecosystem services are spatially sensitive and this should be reflected in grant or subsidy allocation (Bailey et al 2006, Gimona and van der Horst 2007).
It should be emphasised that the scenarios of natural regeneration and planting with maximum disturbance are extremes between which there is a gradient of intervention that varies with site requirements. An intermediate strategy of direct seed planting would be a cheaper alternative on better quality sites (Willoughby et al 2004). Similarly, nucleation, where a few trees are planted and left to spread naturally, would be cheaper than planting the full forest, but more reliable than natural colonisation where natural seed sources are distant (Corbin and Holl 2012). Predation intensity also affects the viability of woodland; if deer fencing is required, this will incur greater costs than stock fencing. Future research should evaluate the cost-effectiveness of alternative establishment methods under different site-specific conditions.
Although the profitability of pasture is not spatially defined in our analysis, it is likely that the farms most dependent on subsidies, i.e. upland farms in ‘less favourable areas’, would benefit most from conversion if subsidies cease. Consistent with our analysis, estimates in Hardaker (2018) range from $16 566 ha−1 to $14 496 ha−1, while Heaton et al (1999) observed a large reduction in the NPV of upland sheep pasture with subsidy withdrawal. They estimate a 25 yr NPV with 4% discount rate of $1862 ha−1 (now ∼$2500 ha−1), but do not account for unpaid labour, machinery or overhead costs. Sheep farming in upland areas is less productive than in the lowlands and is associated with higher GHG emissions, with upland flocks producing 13.8 versus 12.6 CO2eq per kg meat in lowland farms, because animals take longer to reach the same body mass (EBLEX 2009, Garnett et al 2017). An alternative spatial model would have captured the environmental heterogeneity of UK farming; however, this would overlook variability in farming practices which is highly influential for profitability (Wilson et al 2012).
5.2. Is tree planting all about money and carbon?
Planting exotic conifers such as Sitka spruce would generate a higher revenue from carbon payments because they are over three-times more productive than native deciduous trees (Read et al 2009). However, maximising carbon sequestration and associated payments are unlikely to be the sole objectives of tree planting, and both pasture and native woodland provide uncosted additional ecosystem services (table 2). Conversely, plantations of exotic tree species are considered ecologically and environmentally damaging (Brockerhoff et al 2008, Bunce et al 2014).
Table 2. Ecosystem services provided by forests and semi-natural grassland according to the UK National Ecosystem Assessment (UK NEA 2011).
| Ecosystem Service | Forest | Semi-natural grassland |
|---|---|---|
| Provisioning | Trees for timber and wood fuel | Livestock: meat and wool |
| Water supply | Water storage and recharging aquifers | |
| Non-timber forest products (berries, honey, fungi, deer cull etc) | ||
| Regulating | Climate: carbon sequestration and avoid climate stress | Climate: sequestration of carbon |
| Detoxification and Purification: of soil, water and the air. Can also reduce noise pollution. | Purification: can reduce pollution | |
| Pollination: provide habitat for a diversity of pollinators | Pollination and pest control spillover to crops | |
| Hazard: soil protection and flood and water protection | Wild species diversity: seed for restoration projects | |
| Disease and pests: woodland organisms can help regulate the spread | ||
| Cultural | Environmental settings: social value, education, artistic influence, outdoor pursuits and recreation (with health benefits), increase the diversity of landscape character | Environmental setting: heritage, grazing of rare species, ecological knowledge, training areas |
| Wild species diversity: habitat for a wide range of species | ||
| Supporting | Facilitate soil formation, nutrient cycling, water cycling, oxygen production | |
| Biodiversity |
Pasture is managed primarily for the provision of forage for grazing animals and this often comes at the cost of other ecosystem services. For example, fertiliser application and increased stocking densities can reduce biodiversity (Petit and Elbersen 2006, Firbank et al 2008, Emmerson et al 2016). Carbon storage is the only service explicitly considered in this study, but WCC projects provide multiple co-benefits, including recreation, water pollution regulation and flood control (eftec 2015; table 2). Consequently, the social and environmental benefits of forests in Great Britain was estimated at £2 billion a year (currently ∼US $2.5 billion; table 3; eftec 2015, ONS 2017), although this may not scale linearly with increased forest area. Regardless of their theoretical value, the relevance of ecosystem services depends on which ones, and by how much, governments choose to support. We may see subsidies re-structured to pay ‘public money for public goods’ (e.g. DEFRA, 2018c) but there will inevitably be trade-offs among services (Rodríguez et al 2006).
Table 3. Annual monetary values of ecosystem services provided by forests and farmland estimated by the ONS (2017). The estimate is not comprehensive and considers farmland rather than pasture specifically, but illustrates the generally higher natural capital value of forest.
| Type of service | Service | Forest (£million) | Farmland (£million) |
|---|---|---|---|
| Provisioning | Total timber removals | 227.5 | – |
| Crops and grazed biomass | – | 1330.1 | |
| Water abstraction | – | 3.8 | |
| Regulating | Carbon sequestration | 1045.7 | – |
| Pollution removal (1000 tonnes) | 767.0 | 176.0 | |
| Cultural | Time spent at habitat | 290.8 | 197.8 |
| Education visits | – | 1.8 | |
| Total | 2331 | 1709.5 |
5.2.1. Potential barriers to land conversion
Leakage or ‘indirect land-use change’ is a potential problem for all carbon-offsetting schemes (Searchinger et al 2018), especially if livestock production expands elsewhere, reducing or removing the overall abatement of emissions. We assume that future demand for meat is met by the sustainable intensification of agriculture to spare land for trees (Lamb et al 2016, Röös et al 2017, Committee on Climate Change 2018), coupled with reduced consumption of red meat, following scientific and government recommendations for a healthy, sustainable diet (Tilman and Clark 2014, Public Health England 2017, Yip et al 2018). Intensifying agriculture raises profit, such that carbon prices have to match the increase to remain competitive (Phelps et al 2013). However, given the dramatic loss incurred by sheep farming without subsidy, the majority of farms would require remarkable profit increases to break even.
Economic return is not the only factor influencing farmers, and forest grant uptake is low (Lawrence and Dandy 2014). Reduced flexibility, frequent changes to grant schemes, and the complexity, effort and uncertainty associated with the application process are barriers to uptake (Lawrence and Edwards 2013, Wynne-Jones 2013, Lawrence and Dandy 2014). Farmers were assumed to complete their own documentation (see SI Text 1 for details), and while required documentation is limited and support is provided through the WCC, this represents an uncosted time investment. Furthermore, employment of a project developer would raise the break-even carbon price. There is also a strong cultural divide between farmers and foresters, and a sense that it is wrong to plant trees on productive land (Lawrence and Edwards 2013, Wynne-Jones 2013, Lawrence and Dandy 2014, Thomas 2015). Attempts to change these attitudes will likely be more successful if farmers’ social networks are utilised, rather than imposing change externally (Torabi et al 2016).
The view that sheep farming is a heritage livelihood and the romanticising of pastoral landscapes throughout Europe are founded on the misconception that the pastoral environment is natural; yet it is a product of pre-historic and historic anthropogenic deforestation (Kaplan et al 2009, Woodbridge et al 2014). Moreover, the ‘high nature value’ placed on European pasture can be identified as a casualty of shifting baseline syndrome (Pauly 1995, Vera 2009). When compared to the pre-Neolithic ecosystems that predated agricultural expansion, their ‘high nature value’ becomes equivocal (Navarro and Pereira 2012).
Our results raise the question of whether the EU and other governing bodies should continue to subsidise financially and environmentally costly sheep farming, particularly when it does not do so for many other industries. The preservation of these landscapes based on cultural preference may be defensible locally, notwithstanding the strong embodied and uncosted negative environmental externalities. However, whether it is morally sound considering the pressure put on developing nations to prioritise climate change mitigation is highly questionable. Through payments which discourage pasture abandonment, developed nations actively prevent reforestation within their borders, whilst condemning tropical deforestation (Navarro and Pereira 2012) and advancing climate change-mitigation agendas in a neo-colonialist manner.
6. Conclusions
Sheep farming in the UK is not profitable without subsidies. Forests that sell carbon credits can be economically viable, but this depends on the level of intervention required in forest planting. Shifting subsidies to support a greater range of ecosystem services, would allow management of forests in exchange for carbon payments to prevail. Financial aid for forest establishment makes planting forest to sequester carbon financially viable. At present, subsidies in Europe sustain the uneconomic and environmentally detrimental livestock industry. Converting low-productivity pastureland to forest could ameliorate these detrimental impacts and break from the colonial tendencies that persist in climate change-mitigation strategies. The ultimate cost-benefit analysis depends on whether the cultural and social value placed on pastoral livestock production outweighs the global costs of climate change.
Acknowledgments
We would like to thank Dr Vicky West and all the resources provided by the Forestry Commission as well as Mark Reader for his constructive advice. We are grateful to the Farm Business Survey and all its respondents whose data was utilised in the Jon Nix Pocketbook. We thank David Beerling and David Read for constructive discussions about the work and the manuscript. This work was supported by the Grantham Centre for Sustainable Futures. CPO was supported by NERC grant NE/T000759/1.
Data availability statement
The data that support the findings of this study are available upon reasonable request from the authors.






