Abstract
Climate adaptation is a priority for Arctic regions which are witnessing some of the most rapid warming globally. Studies have documented examples of adaptation responses in the Arctic, but assessments evaluating if and how progress is being made over time remain scarce. We identify and examine adaptation progress in the Arctic using a systematic tracking methodology to compare adaptations documented during 2014–19 to those documented for the period 2004–2013 in a benchmark study by Ford et al (2014). Utilising the peer reviewed literature as out data source, we find no noticeable increase in reported adaptations across the two time periods, with the profile of adaptations undertaken remaining largely the same. The majority of documented adaptations continue to be reported in North America, are being undertaken most often in the subsistence-based hunting and fishing sector, are primarily developed in response to a combination of climatic and non-climatic stimuli, are reactive and behavioural in nature, and are mainly carried out at the individual/community scale. Climate change is observed, however, to have a more prominent role in motivating adaptation between 2014–19, consistent with intensifying climate-related exposures in the Arctic. There is limited evidence in the reported adaptations analysed that potential opportunities and benefits from the impacts of climate change are being targeted. The paper provides a general characterisation of adaptation across the Arctic and how it is evolving, and needs to be complimented in follow-up work by studies using alternative data sources on adaptation and research at national to regional scales.
Export citation and abstract BibTeX RIS

Original content from this work may be used under the terms of the Creative Commons Attribution 4.0 license. Any further distribution of this work must maintain attribution to the author(s) and the title of the work, journal citation and DOI.
1. Introduction
The Arctic is experiencing the some of the most dramatic climate change globally, warming at least twice the global average [1]. Impacts on natural and human systems have been far reaching [2], threatening the human rights of Arctic residents [3]. Projections indicate temperatures will continue to increase in the Arctic over the next century [2, 4]. The negative impacts of such warming are significant, potentially undermining the livelihoods of Arctic Indigenous populations [5], damaging infrastructure, reconfiguring interconnected Arctic socio-ecological systems, and making some settlements uninhabitable [1]. New opportunities associated with enhanced shipping routes and resource development are expected, varying by region [6, 7]. To manage these impacts and take advantage of new opportunities, there is increasing interest in climate adaptation across the Arctic [8, 9].
There is evidence that Arctic governments, communities, and businesses are already adapting to a rapidly changing climate, with multiple adaptation strategies, initiatives, policies, practices, and programmes evident [10]. For example, the Pan-Canadian Framework on Clean Growth and Climate Change (2016) recognizes adaptation as an essential component of future policymaking processes across the Canadian Arctic [11]. In Alaska, development plans and programmes involving the built environment and implemented by regional and local governments stress the importance of adaptation [12, 13]. In Greenland, the Self-Government has requested that sector ministries include climate change aspects in their annual planning documents [14], and in the European Arctic, the European Union issued an Arctic policy framework to respond to the impacts of climate change on the European part of the circumpolar north [15]. At the Pan-Arctic level adaptation has emerged as a first-order issue for intergovernmental structures such as the Arctic Council [1, 16, 17].
Despite evidence of adaptation responses, however, our understanding of the extent to which adaptation is progressing over time is limited in the Arctic [18, 19], and also globally [20]. To address this gap, we examine progress in adaptation over time, using Ford et al's [10] study as a benchmark from which to compare adaptations documented between 2004–2013 with those from 2014–2019. The study utilises the same systematic tracking methodology and data source as Ford et al [10]—using adaptation reporting in peer reviewed articles as our data source—underpinning a consistent, coherent, comprehensive, and comparable approach for tracking adaptation [21]. Our focus on assessing progress over the last 5 years reflects a number of factors, including the importance of regularly examining whether adaptation is taking place, where, how, and focusing on what risks [22]; the rapid development of adaptation as a focus in Arctic decision making yet lack of studies examining what is being undertaken; and the need for the development of methodologies for tracking adaptation to inform 'stocktaking' processes [20]. While the focus on the last 5 years has the potential to overlook adaptation planning processes taking place over longer periods of time, the timeframe is sufficient to capture the emergence of groundwork actions which generate information and establish strategic directions to guide adaptation, track if more substantive adaptation efforts have been initiated by previous groundwork actions, and is consistent with other studies that have attempted to assess adaptation progress over time [22, 23].
2. Methodology
Our approach to tracking adaptation progress is derived from the systematic tracking methodology of Ford et al [10]. We first create a dataset of adaptations for the period 2014–2019 based on a systematic literature review of the English-language peer-reviewed literature, comparing this to a benchmark of Arctic adaptation established by Ford et al [10]. To optimise the quality of the review, we followed PRISMA's guidelines for reporting in systematic reviews, consistent with other systematic literature reviews carried out in an adaptation tracking context [22–25], with full details provided in supplementary materials (available online at stacks.iop.org/ERL/15/093009/mmedia).
2.1. Data collection
Reported adaptation actions documented in the English language peer-reviewed literature and published between 1 January 2014 and 31 December 2019 were selected as our data source. We demarcate the Arctic according to the Arctic Human Development Report (AHDR) to encompass Alaska, Canada north of 60°N together with northern Quebec and Labrador, all of Greenland, the Faroe Islands, Iceland, and the northernmost counties of Norway, Sweden, and Finland, and in Russia the Murmansk Oblast, the Nenets, Yamalo-Nenets, Taimyr, and Chukotka autonomous okrugs, Vorkuta City in the Komi Republic, Norilsk and Igsrka in Krasnoyarsky Kray, and those parts of the Sakha Republic whose boundaries lie closest to the Arctic Circle [26]. This area covers 40 million square kilometers with almost 4 million inhabitants [26]. We define adaptation consistent with the Intergovernmental Panel on Climate Change (IPCC) as 'adjustments in human systems in response to actual or expected climatic stimuli or their effects, that moderate harm or exploit beneficial opportunities' [27; pp. 5], using 'adaptation' and 21 adaptation synonym search terms to search for relevant literature (see supplementary materials).
We revised the database searches of Ford et al [10] to retrieve adaptations taking place between 2014–2019 (see supplementary materials for more information). All other aspects of the searches were unchanged from the benchmark study. Searches were performed in the following databases: ISI Web of Knowledge, Scopus, PubMed, CINAHL, PAIS Index (formerly PAIS International), and Environmental Science and Pollution Management (now a part of the Proquest Environmental Management Collection). These databases provide a wide coverage of adaptations in the health, socioeconomic, environment, political, scientific and technical literature. An initial search produced 2483 potentially relevant articles. After importing the results into reference management software (i.e. EndNote X9), duplicates were deleted, and the titles of the remaining 1522 were scanned, with irrelevant results being removed from the analysis. The abstracts of the remaining 595 articles were read with reference to the inclusion/exclusion criteria (table 1). Finally, backwards and forwards citation tracking was conducted for the remaining 141 articles, with 14 additional articles included for full review. 155 articles were identified for full review, and from these articles 107 were removed because evidence for exclusion was found (final n = 48). From this corpus, each discrete adaptation initiative documented in an article was recorded for coding (n = 89).
Table 1. Inclusion/Exclusion criteria based on Ford et al [10].
| Included if | (i) Peer-reviewed journal article; (ii) published on or after 1 January 2014/on or before 31 December 2019 (iii) in English; (iv) substantial focus on human adaptation to experienced or anticipated effects of climate change in the Arctic |
| Excluded if | Primary focus on (i) paleo-adaptation; (ii) vulnerability, resilience, adaptive capacity assessments; (iii) conceptual and methodological approaches to adaptation; (iv); future projections/hypothetical adaptation scenarios; (v) adaptation recommendations; (vi) conservation-focused adaptations; (vii) adaptation in natural systems |
2.2. Data analysis
Our analysis built upon the coding scheme developed by Ford et al [10]. Each discrete adaptation initiative was coded according to adaptation type, scale, timing, status, country and region where adaptation is taking place, and who and what sectors were involved in implementing adaptation. Adaptations were also coded by stage: groundwork actions generate information and establish strategic directions to guide adaptation (e.g. impact and vulnerability assessment, conceptual tool development, stakeholder networking); adaptation actions aim to tangibly reduce vulnerability to climate change impacts (e.g. infrastructure/innovation/technology, regulation, surveillance and monitoring, financial support) [10, 26]. Furthermore adaptations were coded as transformational, where adaptation is adopted at a much larger scale or intensity; is truly new to the region or resource systems; or transforms place-based human-environment systems, including shifts of such systems to other locations (e.g. relocation of high-risk villages). The full coding scheme and associated descriptions are provided in supplementary materials.
During the full review process, data were extracted and entered into a Microsoft Excel spreadsheet. Following data entry, descriptive statistics were used to identify and characterize the characteristics of documented adaptation initiatives for the period 2014–19. To assess the progress made since Ford et al [10] we focused on documenting and comparing the nature and scope of adaptations reported to be taking place (i.e. as captured by the coding scheme), along with the total number of adaptations documented (i.e. adaptation intensity), comparing to Ford et al [10] as a benchmark.
2.3. Limitations
Efforts to track adaptation have been challenged by the absence of readily available metrics for assessing progress [27]. There is no comparable metric to greenhouse gas emissions for assessing adaptation progress, necessitating the development of proxies of adaptation [5]. In developing such proxies, Ford and Berrang-Ford [21] argue that approaches to adaptation tracking need to: (i) utilize a consistent and operational conceptualization of adaptation, (ii) focus on comparable units of analysis, (iii) use and develop comprehensive datasets on adaptation action, and (iv) be coherent with our understanding of what constitutes real adaptation. Our study is designed according to these '4Cs', and uses peer reviewed journal articles as the data source as they are easily accessible, can underpin rapid assessment, contain high quality reporting from varying scales, and are consistent in terms of the types of reporting on adaptation they typically contain. Other studies have also used peer reviewed articles as the basis for assessing adaptation (e.g. [22, 24, 28]), and, similarly, conference abstracts [29].
In using peer reviewed articles as our data source, caution is also required in interpreting the results. Many adaptations are undocumented or documented outside of peer reviewed scholarship, with potential underrepresentation of initiatives occurring in the private sector and in non-English-language literature. There is potential for bias in the types of adaptation documented in the peer reviewed literature, and the time it takes for adaptations to be reported. In urban areas, for example, complex political processes may result in time lags for adaptations to be reported, complicating assessment of progress over time. Furthermore, our review is also affected by limitations encountered in all systematic reviews: relevant documents may have unintentionally been missed; reported information is assumed to be accurate and thorough; and data extraction is influenced by research subjectivity to some extent [24]. As with other adaptation tracking work, we thus note that this study offers a proxy of how adaptation is occurring at a broad scale, and needs to be complimented with more targeted in-depth evaluations of adaptation in particular regions and contexts.
Many of these challenges bedevil efforts to track adaptation. Studies that have attempted to use grey literature or policy documents as a data source, for example, have found challenges of discrepancies in reporting, lack of standardization, wide variations in quality, reporting bias, and difficulties around identifying, retrieving and collating information [20, 29–32]. New methodologies around machine learning offer opportunities to manage some of these challenges [33], but many are unlikely to be reconciled and require the use of multiple data sources from which to triangulate findings.
3. Results
3.1. There is no discernible increase in reported adaptation activity over time
Eighty-nine discrete adaptation initiatives were documented in the Arctic between 2014 and mid-2019, with an average of 18 recorded initiatives per year. Comparing this result to the 5-yearly average for other years as documented in Ford et al [10], the number of reported initiatives substantially varied over time, with the period 2003–2007 and 2008–2013 reporting an average of 8 and 21 initiatives per year, respectively. Consequently, reporting on adaptation initiatives slightly increased in the peer-reviewed literature since 2014 compared to early 2000 levels, yet, as happens with the number of publications, documented initiatives did not exceed previous 2008–2012 levels (figure 1).
Figure 1. Arctic peer-reviewed publications and initiatives per year and key developments in Arctic research since 2005 (until mid-2019).
Download figure:
Standard image High-resolution image3.2. Reported adaptations remain geographically constrained to North America
The highest number of initiatives were documented in Alaska (45%) and Canada (33%) between 2014–2019, with adaptations also documented in Greenland (4%), Russia (3%), and Finland (2%). No initiatives were identified for Iceland, Norway, and Sweden during this time period in the peer reviewed literature, with only eight adaptations (9%) documented at the Pan-Arctic level between 2014–2019. The geographical patterning of reported adaptations changed somewhat in relation to 2004–2013: Canada was initially the 'leading' adaptor in 2004–2013, but between 2014–19 the most adaptations are documented in Alaska; in the European Arctic, Finland documented the biggest change, increasing the number of documented initiatives from 0 in Ford et al [10] to 2% in this study. Although 'popular' focal points of adaptation remained unaltered (Alaska and Canada), the numbers of reported initiatives varied over time, with most adaptations documented in Alaska (figure 2).
Figure 2. Compared findings from Ford et al [10] (white) and this analysis (grey): (i) Number of documented adaptation initiatives, by country. (ii) Importance of non-/climatic factors in motivating adaptation initiatives. (iii) Number of documented adaptation initiatives solely motivated by climate-related factors. (iv) Number of documented adaptation initiatives solely motivated by non-climate-related factors (values are cumulative). Based on Ford et al [10].
Download figure:
Standard image High-resolution image3.3. Climatic stimuli combined with non-climatic stressors continue to be the main factors motivating reported adaptations
Climate-related factors were reported to be the sole motivation for adapting in 34% of cases (n = 30) between 2014–2019. Wildlife distribution and abundance (21%) and reductions in sea ice extent, stability, and/or duration (16%) functioned as main climatic factors motivating adaptation since 2014; these trends are largely consistent with 2004–2013 (figure 2). In the majority of cases it is climatic stimuli combined with non-climatic stressors (n = 35, 39%) that is motivating reported adaptation initiatives. For example, Inuit in the Canadian Arctic have modified hunting behaviours in response to climatic stressors and to inadequate access to sufficient quantitates of country food [34] (table 2). The most frequent non-climatic stressors reported within the reviewed literature between 2014–2019 were food insecurity (30%) and livelihood transitions (e.g. subsistence to cash-based livelihoods) (16%); by contrast, cultural changes and economic stressors were the most frequently non-climatic stressors reported in 2004–2013 (figure 2). While in both time periods it is a combination of climatic and non-climatic factors that are reported to be the main motivator for adaptation, the number of adaptations occurring solely in response to climatic stimuli increased by 12% for 2014–19, while responses where climate change was of equal or lesser importance than social, economic, or political stressors decreased by 11%.
Table 2. Illustrative adaptive responses occurring in the Arctic between 2014–2019.
| Arctic region | Stressors | Adaptation | Article |
|---|---|---|---|
| Alaska (USA) | Sea ice extent/stability/duration decline, wildlife changes, weather uncertainty | The Alaska Native Tribal Health Consortium (ANTHC) Local Environmental Observation (LEO) platform—system for sharing information on environmental impacts and community health effects | Berner et al [17] |
| Inuit Nunangat (Canada) | Sea ice extent/stability/duration decline, weather uncertainty | Additional preparation, online weather forecast, additional guidance from elders, extra supplies | Archer et al [34] & Fawcett et al [25] |
| Nunatsiavut (Canada) | Temperature increase, environmental conditions uncertainty, wildlife changes | Use of new transportation means (e.g. ATV) to travel on land; extra precautionary measures | Goldhar et al [58] |
| Greenland | Wildlife changes, weather uncertainty, Sea ice extent/stability/duration decline | Accommodating new modern technologies (e.g. GPS, snow scooters) with existing means of navigation | Tejsner et al [59] |
| Siberia (Russia) | Extreme events, Environmental conditions uncertainty | Altering organizational habits; additional infrastructural arrangements centred on mobility (e.g. lighter packaging) | Bodenhorn et al [35] |
| Pan-Arctic | Temperature increase, permafrost thawing | Development of the International Circumpolar Surveillance Climate Change and Infectious Disease Group | Ruscio et al [60] |
3.4. Reported adaptations continue to have a strong focus on hunting and subsistence activities and are being primarily led by Indigenous individuals/households
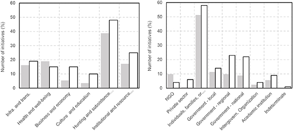
The majority of reported adaptation initiatives between 2014–2019 were documented in the subsistence-based hunting and fishing sector (39%), with 97% led by Indigenous individuals/households. Adaptations were also documented to focus on health and well-being (19%), institutional and resource management (17%), and infrastructure and transportation (16%), with local governments (11%), NGOs (10%), and national governments (9%) frequently mentioned as initiating adaptation between 2014–2019 (figure 3). This profile of reported adaptations, primarily individual/household-led and focused on hunting and fishing, mirrors that for 2004–2013.
Figure 3. Compared findings from Ford et al [10] (white) and this analysis (grey): (i) Number of reported adaptation initiatives, by sectors. (ii) Number of documented adaptation initiatives, by leader (values are cumulative). Based on Ford et al [10].
Download figure:
Standard image High-resolution imageFor more than half of the reported adaptive responses vulnerable populations (e.g. children, elderly, socio-economically disadvantaged, etc) were identified to be the main focal point in both time periods. For reported adaptations targeting specific populations, there was a shift with respect to communities in Canada and Alaska, where reporting on adaptation among Inuit in Canada decreased and increased for Alaskan Yup'ik from pre-2014 levels. This finding reflects the shift occurred from 2014 in the number of initiatives being reported to a larger extent in Alaska. Focus on other vulnerable groups in reported adaptations (elderly, youth, disabled, etc) changed little over time, representing in general trends less than 5% of the total reported adaptations in both review periods, raising potential social justice concerns.
3.5. Reported adaptations remain largely behavioural in nature and are undertaken in response to observed change
Reported adaptation initiatives were largely taken in response to observed and experienced climate-related stressors in both 2004–2013 and 2014–19, with reactive responses being reported approximately in 54% of the cases. These adaptations were largely identified as behavioural in nature, involving changes in activities at the individual level. This reflects the predominance of adaptive responses occurring in the hunting and subsistence sector, where behavioural changes regarding altering hunting grounds and traveling routes in response to sea ice instability were predominantly reported in the literature (e.g. [36]). Proactive adaptations designed to respond to future risks were documented, for instance, in [37] and [38], and included initiatives focused on monitoring and evaluating climate-related threats and enhance the built environment to manage the risks and opportunities emerging from climatic stimuli (e.g. infrastructure projects for roads, railways, etc.), similar to 2004–2013.
3.6. The status of reported adaptation has changed little
In both time periods the status of reported adaptation is similar, with the majority of adaptations classified as adaptation actions involving tangible changes to socio-ecological systems in response to experienced or anticipated climate change impacts. Groundwork responses approximately encompassed 40% of the total reported adaptation initiatives in both reviews (figure 2). From a spatial perspective, reported adaptation actions were higher in Greenland and Canada, while reported groundwork initiatives are fairly evenly distributed across the Arctic, being most often reported for sectors involving infrastructure and regulation. In terms of the involved sectors, actions dominated in the hunting and subsistence harvesting sector, and in the culture and education sectors both before and after 2014, but with groundwork responses changing over time to entirely dominate in the institutional and management and in the infrastructure and transportation sector. For 2004–2013, groundwork actions were represented at least in half of all the sectors excluding the hunting and harvesting subsistence and culture and education sectors (table 3).
Table 3. Illustrative adaptive responses occurring in the Arctic between 2014–2019, by sector and stage.
| Sector | Stage | Adaptation | Article | |
|---|---|---|---|---|
| Infrastructure and transportation | Action | Financial support—investing in community centres, relocation archives, and biochar projects | Dannenberg et al [37] | |
| Groundwork | Establishing partnerships between city planners and researchers and agencies to improve baseline data about local water resources | Loring et al [39] | ||
| Health and well-being | Action | The Climate Change and Health Adaptation Program (CCHAP)—supporting indigenous communities in conducting research in climate change and health | Richards et al [61] | |
| Groundwork | Characterising mental and physical health vulnerabilities by gender | Bunce et al [62] | ||
| Business and economy | Action | Selecting stressed trees for commercial harvest; integrating knowledge of the dieback (site conditions) into operational planting | Oakes et al [63] | |
| Groundwork | None documented in the review | – | ||
| Culture and education | Action | Mobilizing cultural expressions—resurgence of traditional musical practices, performances, and emotional transformations among performers and community members | Sakakibara [64] | |
| Groundwork | None documented in the review | – | ||
| Hunting and subsistence harvesting | Action | Adjusting timing of seasonal hunting calendars, harvesting different species, using alternative travel routes and means of transportation (e.g. ATV or boat) | Pearce et al [65] | |
| Groundwork | Impact and vulnerability assessment of traditional food systems and of coping strategies used for dealing with food-related stresses | Statham et al [66] | ||
| Institutional and resource management | Action | Developing community-based monitoring systems for hunters and fishers to observe changes in the environment | Danielsen et al [67] | |
| Groundwork | Examining the preparedness of different levels of government to adapt in the Canadian Arctic territory of Nunavut | Ford et al [17] | ||
The status of reported adaptation in the Arctic has changed little over time. Approximately 60% of all reported adaptations are on-going responses with no definitive end date. No evidence of formal adaptation evaluations was found in either time period. Furthermore, we found little evidence of transformational adaptations in both review periods despite the considerable risk posed by climate change in some regions and sectors (e.g. high-risk coastal villages in northern Alaska). However, several studies reviewed in both time periods clearly classified reported adaptations as maladaptive, where adaptation impacts adversely on, or increases the vulnerability of other systems, sectors or social groups (including ecosystems) [40]. For example, Pearce et al [36] documented that Inuit hunters in Ulukhaktok, Northwest Territories, have tended to rely more on muskox for food and income through guided hunts since there has been a downturn in the number of caribou and their proximity to the settlement. This response, in turn, has been reported to have long-term negative consequences for the population's health and abundance as since this change in hunting behaviour, muskox are reported to be fewer in number and further from the settlement [36].
4. Discussion and conclusion
Adaptation is now firmly established as a central component of climate policy, with increasing interest in documenting if and how adaptation is occurring [20, 33, 34, 41]. In response, adaptation tracking research has grown rapidly over the last decade, focusing on a diversity of regions [34, 36, 41], contexts [38, 40, 42], and sectors [43, 44]. To our knowledge, this paper is the first to use a systematic tracking approach to examine progress in adaptation in the Arctic, the region witnessing the most dramatic climate change globally, using peer-reviewed articles as our data source.
The results document a diversity of adaptations reported to be occurring in the Arctic, but documents little evidence of progress since the earlier benchmark study of Ford et al [10]. First, when comparing the number of adaptations across the two time periods, there is no discernible increase in reported adaptation activity. While it is not possible to make judgments solely by the number of documented adaptation initiatives, these results suggest that adaptation continues to remain in its infancy, consistent with findings of broader research on adaptation in diverse contexts globally [10, 24, 43, 45, 46], and a smaller body of work in the Arctic (e.g. [14, 47]).
Secondly, based on our analysis of reported adaptations, there has been limited change in terms of who is leading adaptation and how adaptations are occurring in the Arctic. The majority of adaptations we document remain in the subsistence hunting and fishing sector, where local-level leadership and innovation are underpinning autonomous adaptations undertaken by individuals and households. Adaptations taking place in urban areas or infrastructure remain underreported, similar to Ford et al [10], despite the fact that three-quarters of the Arctic's population are recognised as urban dwellers [26]; we note however, that complex political structures and decision making processes in urban areas may result in a longer lag-time for adaptation to be reported, and progress may thus be happening but is not yet captured. The majority of reported adaptations we reviewed do not provide evidence on integrating potential future trajectories of climate change, with potential implications for the long-term suitability of adaptations [24, 48]. Given that climate change is projected to deeply change Arctic socio-ecological systems in the near future [2], and to ensure implemented adaptations are consistent with such changes, there is a need for adaptive responses across multiple socio-economic and political sectors to consider what these changes mean and how they can be addressed. Such efforts will need to combine both Indigenous/local and scientific knowledge, and mainstream adaptation across levels of government [8, 9, 24, 49].
Thirdly, none of the adaptation gaps previously identified by Ford et al [10] are currently being addressed by the adaptations we documented for 2014–2019. As such, few of the reported adaptations are focusing on potential opportunities and benefits from the impacts of climate change on resource development, the forest industry, and tourism; there is no evidence of the monitoring and evaluation of adaptations; and the effectiveness of reported adaptations is unclear. These findings contrast with the few studies in other regions that have examined adaptation progress, including [22] who find an 87% increase in reported adaptation policies and measures in high income nations between 2010–2014, and [50] who find that Dutch water boards are making progress from a complete absence of adaptations to developing groundwork actions.
Finally, the results come against a backdrop of increasing interest in adaptation across Arctic nations. The Arctic Council's Arctic Monitoring and Assessment Program (AMAP), for example, specifically commissioned an adaptation focused assessment [1, 8], while high-level political statements have drawn attention to the need to manage the impacts and opportunities of a rapidly changing Arctic. We show a potential gap between high level statements and on-the-ground action—albeit a gap that requires further investigation drawing on other data sources on adaptation. Combined with other assessments [8, 9], however, the results suggest adaptation remains in its early stages in the Arctic, with a number of factors identified to be constraining readiness for adaptation. These include an absence of political leadership on adaptation, particularly in the context of Russia, the existence of pressing socio-economic problems, institutional and governmental barriers, limited knowledge of future climate risks, and lack of financial resources [5, 8, 9, 13, 47, 51, 52]. In Alaska, for example, the need to relocate high risk villages has been recognised by researchers, decision makers, and communities for some time but institutional barriers have resulted in negligible progress [39, 50, 53].
In developing a baseline characterization of the progress in adaptation in the Arctic, our study contributes to the rapidly growing field of adaptation tracking. We have much to learn from what is and is not being done on adaptation, and future work is needed to investigate in greater detail adaptation initiatives and outcomes in specific nations and regions of the Arctic. Developments in the use of data analytics for climate policy analysis and crowdsourcing also offer opportunities for using multiple data sources to build up a more comprehensive profile of Arctic adaptation [54–57].
Acknowledgments
We would like to thank the anonymous reviewers for their detailed and constructive feedback, and whose comments have greatly improved this manuscript. Thanks also to David Fawcett from the University of Northern British Columbia for his technical assistance in the final stages of this project.
Data availability statement
The data that support the findings of this study are available upon request from the authors.


