Abstract
As Puerto Rico ('PR') makes long-term investments in the reconstruction of its built environment following Hurricanes Maria and Irma, a fundamental research question remains unanswered: who will benefit from these recovery and resilience efforts? The article presents 30-year demographic projections (2017–2047) that show current fiscal and infrastructure planning efforts overestimate the size and composition of the future PR populations who may be the direct and indirect beneficiaries of post-Hurricane recovery and resilience investments in the built environment. Our projections suggest long-term projected depopulation are inconsistently applied in the fiscal and infrastructure planning, shaping both recovery and resilience efforts. As PR moves forward with long-term plans and capital investments, consistently deployed, long-range population projections are critical for determining the optimal stewardship of public resources and as a check on the construction of a built environment that might be beyond the sustainable capacity of PR to utilize, maintain, and pay for.
Export citation and abstract BibTeX RIS

Original content from this work may be used under the terms of the Creative Commons Attribution 4.0 license. Any further distribution of this work must maintain attribution to the author(s) and the title of the work, journal citation and DOI.
1. Introduction
In 2017, Puerto Rico ('PR') was severely impacted from Hurricanes Maria and Irma (the 'Hurricanes'). As PR and the US government make long-term investments in the reconstruction of PR's built environment, a fundamental research question remains unanswered: who will benefit from these recovery and resilience efforts? This article seeks to evaluate the proposition that current fiscal and infrastructure planning efforts are misestimating the size and composition of future populations who may be the direct and indirect beneficiaries of post-Hurricane recovery and resilience investments in the built environment (the 'Proposition'). To evaluate this Proposition, the findings from 30-year demographic projections for PR (2017–2047) are presented to highlight the extent to which population projections are critical for long-term capital planning and the efficient, effective and fair distribution of resources. This article explores various institutional pathways from which the subject findings and demographic projections may represent adaptations sufficient to support investments that advance post-disaster social and environmental welfare (Cutter 2016, Opdyke et al 2017), community resilience (Sharifi 2016, Saja et al 2018), and the engineering resilience of PR's built environment serving future populations (Alderson et al 2015, Bundhoo et al 2018).
The challenge for PR is to invest in not only in the recovery from the Hurricanes and recent earthquakes, but also to build a robust adaptive capacity for future populations and civic institutions, particular in circumstances where top-down engineering resilience logics may be inadequate. Early-stage climate science research has suggested a defensible measure of attribution to climate change for the extreme levels of rainfall that devastated PR during Hurricane Maria (Keellings and Hernández Ayala 2019). While many aspects of the relationship between tropical cyclones ('TC') and climate change are uncertain, there is a growing consensus that the intensity of TCs in the Western Atlantic represents an elevated climate-risk for the future of PR (Knutson et al 2019). However, the occurrence of the Hurricanes was merely one component of a broader confluence of events that have defined the contextual socio-economic vulnerability (van den Berg and Keenan 2019) of PR, including a public debit crisis (Dolan 2018), an aging society (Pérez and Ailshire 2017), poor quality infrastructure (Lugo 2018), degraded environmental quality (Wu and Heberling 2013), climate-exacerbated droughts (Herrera et al 2018), seismic risks (Van Der Elst et al 2020), and a legacy of social marginalization and environmental (in)justice (Brown et al 2018).
Climate change is merely one component of global change shaping the future of PR. As the demographic findings of this article highlight, the significant depopulation of PR before and after the Hurricanes is likely one of the most significant factors shaping PR's future (Meléndez and Hinojosa 2017, Mora et al 2017, Hinojosa 2018). Whether it is declining economic productivity associated with out-migration or a constrained labor force to support the recovery, the short-term implications of this recent depopulation are beginning to be understood (FRBNY 2018). Consistent with an affirmation of the Proposition, the findings suggest that the long-term implications for projected depopulation are inconsistently internalized within existing institutions driving recovery and resilience efforts in the built environment. As PR moves forward with long-term plans and capital investments, consistent application of population projections are critical for not only determining the optimal stewardship of public resources for planning for the right number of schools desks and power substations, but also as a check on the those institutions of 'disaster capitalism' whose material inclinations may dictate the construction of a built environment that is beyond the sustainable capacity of PR to utilize, maintain, and pay for (Klein 2018). In this regard, a lack of sustainable capacity represents a direct challenge to the welfare of PR's natural environment whose extrinsic and intrinsic values are central to the cultural and social vitality of the islands.
2. Research design and methodology
The research question was formulated incidental to cost-validation activities being undertaken on behalf of US federal agencies by various external stakeholders, including the authors of this article. However, the research question, the Proposition and the findings of this article are entirely independent and not associated with these predicate activities. The first phase consisted of a literature review, as well as publicly available policy documentation (Silverman 2016). Thereafter, semi-structured interviews (n = 18) with third-party contractors, bankers, lawyers, public management consultants, planners and academic researchers provided additional insight to support the development of the Proposition and for the triangulation of the primary findings from document and policy review presented herein (Clifford et al 2016).
The second phase of research consisted of the development a demographic model for thirty-year demographic projections for PR (2017–2047) in order to better understand the potential future demand for infrastructure. The resultant population projections involve assumptions, built on historical trends and current estimates, regarding the future. We project Puerto Rico's population using cohort-change ratios ('CCRs') (Hamilton and Perry 1962, Swanson et al 2010, Hauer 2019) in a set of Leslie matrices (Caswell 2001) based on 18 five-year age groups (0–85+) and two sex groups (Male and Female). The general projection methodology is described elsewhere (Hauer 2019) and is otherwise provided in detail in appendix
3. Institutional context
The Hurricanes caused catastrophic damage to PR. For a more detailed summary of the socioeconomic and physical impacts, please see appendix
While the final amount of Congressional appropriations and supplemental appropriations are still outstanding, existing total appropriations from which PR is eligible amounts to $61.1 billion (COR 2018a, Painter 2018). These appropriations fall within two major buckets: (i) FEMA's Section 428 Public Assistance ('PA') program (n = $37.4 billion); and, (ii) US Department of Housing and Urban Development's ('HUD') Community Development Block Grant Disaster Recovery program (n = $19.9 billion) ('CDBG-DR'). In addition, approximately $3 billion is available from FEMA's Section 404 Hazard Mitigation Grant program, which is intended to support the engineering resilience of public infrastructure in PR ('HMGP'). PR's current amendment to the Action Plan for the CDBG-DR program (the 'CDBG-DR Action Plan') lists unmet needs of $9.7 billion, with approximately 42% of that allocated to housing and 16% allocated to infrastructure (DOH 2019). In certain circumstances, CDBG-DR funding may be counted as a matching for Section 428 PA projects that require between 0% and 25% matching funding from recipients.
Section 428 PA is an alternative procedure to the normal process that funds the reconstruction based on a pre-event capacity (FEMA 2020). The advantage is that the recipient (e.g. PR) can retain excess funds, make sub-awards and otherwise prioritize where and what needs to be constructed—often with a measure of hazard mitigation and engineering resilience functionality (id.). The downside for recipients is that projects are based on up-front fixed-costs estimates, wherein the recipient's bear the risk of cost-overruns. As such, there is an observed tendency of recipients to inflate projects costs. The flipside is that cost-estimation and cost-validation efforts for FEMA are challenging in light of the uncertainty associated with large economic inputs to the economy and price uncertainty associated with materials and labor in PR. For PR, there are 20 steps over five phases from operations planning to final obligation of an award. As of December 2019, the total number of identified PA projects in PR is 9618 and only 205 projects have reached the final stage of approval and obligation (COR 2019b). A plurality of projects (n = 4271) are in an early stage of planning and processing (id.).
As previously cited, a vast majority of planned investments are anticipated to go into infrastructure. Excluding housing, 48% ($52 billion) of investments are planned to go directly in energy, water, communications, transportation and public facilities infrastructure (COR 2018a). In the two plans guiding this investment–the PR Recovery Plan and the CDBG-DR Action Plan–the treatment of long-term demography varies significantly. As will be discussed within the context of the Proposition, one could argue that optimal public and environmental stewardship of these investments would require some empirical parity between futuredemography associated with users and ratepayers and the useful life of the associated infrastructure. The CDBG-DR Action Plan makes no mention of long-term future demographic trends and only draws reference to comparatively recent out-migration. The PR Recovery Plan formally defines 'long-term' as three to ten years (COR 2018a, p. 54). What the plans share in common is a passing reference to the consolidation of populations in a select few urban areas and the 'right-sizing' of infrastructure, although the CDBG-DR Action plan tends allocate significant resources to highly vulnerable low-to-moderate ('LMI') populations within comparatively rural areas. While both the final and draft PR Recovery Plans highlight various long-term projections, only the draft plan provides a time horizon for these modeled scenarios leading into 2060 (COR 2018b, p. 41). Likewise, only one of the four long-term demographic projections were produced by a professional demographer (Levin and Rivera 2018). While the PR Recovery Plan highlights the 'importance of monitoring the population's size and updating assumptions about trends in fertility and residents relocating outside of Puerto Rico,' the plan does not explicitly highlight how the cited long-term population projections are being internalized into project planning and development, if it all (id., p. 42). In addition, there are currently no comprehensive plans to attract inbound migration. This is reasonable in light of the immediate necessity to consider the welfare of existing populations. However, as will be discussed, attracting residents will be key to mitigating the overall trajectory of a declining population.
4. Demographic projections
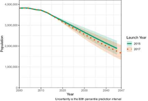
PR's population is projected to decrease from 3.33 M people in 2017 to 1.65 M people in 2047 (80% prediction interval: 1.33 M–2.04 M), representing a nearly 50% decrease in population over the next 30 years. Had a population projection been undertaken in 2015, prior to the Hurricanes in 2017, PR's population would be projected to be 1.89 M in 2045 (80% prediction interval: 1.58 M–2.25 M)—approximately 200 000 more people. Thus, the impact of Hurricanes on the projected PR population is approximately 200 000 fewer residents over the next 30 years. These results are graphically represented in figure 1.
Figure 1. Projections of Puerto Rico's population (2017–2047). These compare Puerto Rico's projected population if projected prior to the hurricanes (2015) and after the hurricanes (2017). The uncertainty is the 80% prediction interval.
Download figure:
Standard image High-resolution imageThe projection methodology makes use of age and sex breakdowns and allows for projections by age group. Here, PR's historic and projected population is broken into three primary age groups: (i) the population aged 0–14; (ii) the population aged 15–64; and, (iii) the population aged 65+. These roughly correspond to typical dependency ratios in demographic analysis. PR's working age population (aged 15–64) is projected to decrease from 2.15 M people in 2017 to 0.84 M in 2047 (80% prediction interval: 0.67 M–1.05 M). This is a rather dramatic decrease in the working age population, totaling approximately 1.3 million fewer people in the working age population in just 30 years. Even in the absence of the Hurricanes, the working age population would be projected to decrease by approximately 1.1 million persons (1.01 M working age persons, 80% prediction interval: 0.84 M–1.21 M). Thus, the impact of the hurricanes on the projected working age population is approximately 175 000 fewer working age persons. These results are graphically represented in figure 2. Of the approximately 200 000 fewer projected Puerto Rican residents, over 85% of the decrease is attributable to changes in the working age population.
Figure 2. Projected population for select age groups for Puerto Rico (2017–2047). These also compare Puerto Rico's projected population, if projected prior to the hurricanes (2015) and after the hurricanes (2017).
Download figure:
Standard image High-resolution imageThe Hurricanes not only impacted migration rates, but also fertility rates as well. The average Puerto Rican woman had a period total fertility rate ('TFR') of 1.45 in 2015. This TFR fell to 1.31 in 2017—a 10% decrease. These changes in fertility will manifest in changes in the future workforce 15–20 years in the future. Changes in fertility behavior after disasters is not necessarily uncommon (Davis 2017). However, there has been some discussion in PR about the capacity of increased wages and economic inputs associated with the recovery having a positive impact on TFR. To provide some sensitivity, the projection was modified to include the largest observed increase (%) in TFR to see how it would impact the findings herein. As such, the largest single year increase in TFR occurred in Iceland between 1889 and 1890, when TFR increased from 3.38 to 4.44—a 31% increase (Hauer and Schmertmann 2020). As highlighted in figure 3, a modified projection assumed that PR has a 31% increase in TFR between 2015 and 2020 and that the increase stays there for the entire projection period. Again, this could be hypothetically motivated by an increase in wages amid broader economic stimulus associated with the reconstruction efforts.
Figure 3. Projected population total for Puerto Rico, 2017–2047. Projections of Puerto Rico's population launched in 2015 and 2017. These compare Puerto Rico's projected population if projected prior to the hurricanes (2015 in red), after the hurricanes (2017 in blue), and prior to the hurricane but with a 31% increase in fertility rates (green). The uncertainty is the 80% prediction interval.
Download figure:
Standard image High-resolution imageA 2015 population projection yields a 2045 population of 1.88 million and a 2015 projection assuming a 31% increase in TFR yields a 2045 population of 2.05 million—a difference of just 164 000 persons. As such, it is projected that PR cannot 'birth' its way out of its population decline. In the most favorable scenario for PR (2015 launch instead of 2017; 31% increase in fertility rates), Puerto Rico is still projected to lose 1.3 million residents for a 40% decline in population—and this if Puerto Rico is able to sustain the single largest increase in fertility rates observed over the last 250 years.
5. Analysis
The demographic projections highlight not only the challenges associated with planning for post-disaster recovery, but also the long-term challenges associated with economic activity sufficient to meet future public debt and pension restructuring obligations made pursuant to PROMESA proceedings. The Puerto Rican government's Revised Fiscal Plan for Puerto Rico is only utilizing a five-year population time horizon based on population projections produced by a consultant who is not a professional demographer (PRFA 2019). As reflected in ongoing PROMESA court proceedings, PR is incentivized to underestimate population projections to their advantage to underestimate the population's future capacity to pay-off their restructured debt obligations (Wolfe 2018). Conversely, FOMB may be incentivized to overestimate.
At the same time, consistent with the Proposition, it can be argued that PR is incentivized to overestimate future populations to maximize federal appropriations through Section 428 PA and CDBG-DR. This sets up a conflict that is ripe for Congressional oversight wherein the interests of federal taxpayers are subservient to the representative interests of the FOMB. It also raises the question as to why some measure of debt forgiveness has not been included as part of the broader recovery investments. Indeed, partial debt forgiveness may have the effect of attracting some measure return migration back to PR, particularly among skilled working-age cohorts. In reciprocal terms, the long-term capital liabilities of excess infrastructure may operate to undermine fiscal stability efforts. Therefore, getting the right population numbers right is critical for all parties.
Consistent with an affirmation of the Proposition, the current CDBG-DR Action Plan utilizes pre-disaster demographic data to determine un-met needs (DOH 2019). In particular, the plan does not resolve a declining population with a parallel challenge associated with large amounts of vacant and abandoned housing in PR (HUD 2018). However, these expenditures are unlikely to have a deterministic effect in shaping future settlement patterns.
To the contrary, it can be argued that a failure to engage best-available long-term demography in Section 428 PA is fundamentally more problematic given the long-term multi-sector infrastructural investments associated with the program. By example, under Section 428 PA, PR could be incentivized to overestimate—in good faith—the amount of future school children for the cost-estimate associated with the development of a school. Thereafter, PR could revise down the number of seats and use the excess expenditures to manage cost-overruns and/or 'share funding from a fixed-cost subaward across any of its other fixed-cost subawards and eligible facilities in order to best meet its post-disaster recovery needs' (FEMA 2019, p 16). While there is no direct evidence that this has yet happened in a manner consistent with the Proposition, the institutional context and the rules would support outcomes consistent with the Proposition. A spot review of ongoing project development suggests opaque estimates of future demand and utility. Both the Section 428 PA and CDBG-DR institutional limitations fundamentally relate to the efficiency of the distribution of resources. In this sense, inefficient expenditures represent opportunity costs that may be better utilized elsewhere, including paying for the marginal costs associated with engineering resilience. They may also raise issues associated with effectiveness of reaching future populations in that entire projects may be developed in many geographies that will not be sustainable in the future as a function of either demographic trends or environmental exposure. This is not to mention the environmental and climate impacts of obsolescent infrastructure.
As previously cited, the principle planning documents and initiatives associated with these programs make only passing reference to long-term population trends, as well as the near-term implications for urbanization. Where there is a reference, the master PR Recovery Plan heavily relies on long-term demographic projections produced by the same non-demographer consultant that is cited in the PROMESA proceedings. While it is uncertain how these projections are being internalized into long-term planning, the widespread reliance on the same non-demographer are potentially problematic given the potential competing interests and incentives to under- and over-estimate population.
There is one important nexus where long-term demography, fiscal planning, and post-disaster recovery in the built environment intersect—energy. The modernization of the energy system is estimated to cost $20.3 billion, of which $12.2 billion (60%) is for the reconstruction of transmission and distribution infrastructure that is consistent with standards associated with future TC risks (COR 2019a). PR is currently planning on using Section 428 PA to help cover a significant portion of these expenditures (id., p. 17). It can be argued that the physical and economic investments in energy infrastructure will have a strong influence on development pathways and fiscal path dependency that is likely to shape PR's built environment for generations.
To support this energy sector modernization, the state-owned Puerto Rico Electric Power Authority ('PREPA') commissioned the Puerto Rico Integrated Resource Plan 2018–2019 (the 'IRP Plan'), which is currently in draft form (Siemens 2019). Among other things, the IRP Plan models various scenarios for future demand leading into 2038. This is an important exercise for correctly sizing the capital assets associated with generation, transmission and distribution. It is also critically important for determining future revenue and revenue growth for bond financing. Future demand is PR is based on a Classical Linear Regression Model based on 15 variables including, among other things, future estimated cooling degree days, gross national product ('GNP'), and population (id., p 3–3). According to the authors, '[p]opulation was found not to have a statistical significance for industrial [rate payers]. Therefore, manufacturing employment was substituted for population as an independent variable in the regression analysis used to forecast industrial energy consumption' (id.). However, as represented the IRP Plan's Exhibit 3–9, the manufacturing employment numbers are based on dubious FOMB sources and methods and are not consistent with population projections contained herein. More specifically, the IRP Plan relies on a future working-age manufacturing population in 2038 that is larger than today's population, which is contrary to the projections. Even if the IRP Plan projections were accurate, they imply an increase in the share of manufacturing employment among the working age population of 3.3% in 2017 to 6.5% in 2038. These inconsistencies provide the most direct evidence of the overestimation of population consistent with an affirmation of the Proposition.
Even more problematically, the IRP Plan relies on FOMB's questionable projections for overall population projections and GNP estimates, which is reciprocally dependent by some measure on population. This arguably undermines the validity of the overall gross energy demand and gross sales demand by residential, commercial and industrial customer classes. Between the period 2019 and 2038, the IRP Plan estimates a compound annual growth rate of −0.061% for residential and −0.32% for commercial sales demand, with an overall positive increase of 1.38% for industrial (id., p 3–10). Assuming that the population projections made in this article would be accurate, this means that the entirety of the industrial sector would have to double its productivity over this period as a function of using roughly half as many people as the IRP Plan projects. Across the board, these estimates appear to be logically inconsistent as an order of magnitude associated with the population projections made herein. While there is a measure of uncertainty associated with increased power consumption (e.g. increased use of air conditioning), and with fuel and energy transition associated with the electrification of urbanization (e.g. more electric cars and less oil fuels), the rate of change commensurate with this increase in consumption raises significant questions as to the soundness of the underlying assumptions. These uncertainties only amplify the risk and uncertainties associated with the technological innovations envisioned in the Grid Modernization Plan (COR 2019a).
Across other infrastructural sectors, there are a great deal of inconsistencies in how long-term demographics are internalized as it relates to users and ratepayers. Like energy, the water sector is dependent on future revenue from ratepayers. The Puerto Rico Aqueduct and Sewer Authority ('PRASA') highlighted in its most recent fiscal plan that 'population [is] expected to continue [to] decreasing billings but [is] slowly approaching [a] steady state' (PRASA 2019, p 33). Depending on the definition of 'steady state,' it is unlikely the population projections herein would support such an assertion as it relates to residential accounts. As cited in a prior fiscal plan, PRASA appears to be using the same questionable 30-year demographic projections cited in the IRP Plan (PRASA 2018, p. 185).
By contrast to other plans, the Puerto Rico Highways and Transportation Authority ('PRHTA') has produced the most methodologically transparent population projections, among the aforecited projections, for utilization in long-term multimodal transportation planning (PRHTA 2018). Pursuant to the 2045 Puerto Rico Long Range Multimodal Transportation Plan ('HTA 2045 Plan'), the 2045 PR population is projected to decline 15.2% from its 2016 count to reach a population of 2 893 950 (id., p 83). According to the population projections made herein, the same population is projected to fall by 2047 to 1.65 M with an 80% prediction interval between 1.33 M and 2.044 M. Even on the outside of the range, the difference between PRHTA's population projection and this article's projections is approximately 850 000 people. Accurate population projections are critical for planning of everything from vehicle miles traveled ('VMT') for the construction of highways and bridges to the estimation of revenue from future tolls, fines, transit revenue, license fees, and fuel taxes (collectively, 'Transportation Revenue').
In contradiction to the short-term population figures from the HTA 2045 Plan and the population projections made herein, the PRHTA's Revised Fiscal Plan has all categories from Transportation Revenue as flat over the next five years, while at the same time proclaiming no increase in the amounts of tolls, fees and taxes (PRHTA 2019). More importantly, like PREPA (energy) and PRASA (water), PRHTA is relying on Section 428 PA, CDBG-DR, and other federal emergency transportation appropriations (n = $642 million) to cover the costs of recovery and resilience. More problematically, transportation infrastructure is cost-intensive to maintain and any capital investments that do not align with future projected transportation demand may steer away constrained revenue from more immediate future capital and operation expenditures. Overall, the range of inconsistencies between the demographic projections made herein and those of questionable source and method by PR provide the most robust evidence in support of an affirmation of the Proposition.
6. Conclusions
PR not only has the burden of recovering from the Hurricanes, it also has the opportunity to advance the engineering resilience of its built environment and the community resilience of future populations who are the beneficiaries of post-Hurricane investments. PR has a dual mandate of restructuring its long-term fiscal obligations while at the same time making new investments to address global change impacts. This dual mandate dictates that PR must argue for fewer people to pay back old debts and pension obligations, while at the same time arguing that more people will benefit from federal appropriations or will provide more revenue stability as ratepayers. Public institutions were designed for localized disaster recovery, not the broadscale transformation of economies and institutions. While climate change shifts the calculus for environmental exposure, the changing demography associated with global change challenges nearly every assumption driving public policy in PR.
This article provide evidence that PR is likely overestimating the nature of future beneficiaries of recovery and resilience investments in various infrastructure sectors. Whether it is the utilization of pre-Hurricane short-term demographics to support CDBG-DR planning or the incentive to overestimate populations that is structurally inherent with the Section 428 PA program, the institutional context favors a disregard for the long-term demographic trajectory of PR. As evidence by an overestimation of population associated with users and ratepayers in the energy, water and transportation sectors, there are a number of critical pathways from which population overestimation can lead to long-term maladaptation in the fiscal capacity to build and maintain the built environment. In this case, infrastructure financed on erroneous future revenues represents a material risk to the financial feasibility of broader ambitions to modernize PR's infrastructure and develop systematic infrastructural resilience. To this end, a failure to modernize is also a failure to achieve robust climate mitigation goals.
As PR accelerates planning for future Section 428 PA and CDBG-DR investments, will future housing consumption and multi-sector infrastructure demand also be overestimated? If so, what is the opportunity cost or long-term capital and operating liabilities associated with this excess production and capacity? Building excess capacity may represent an unsustainable measure of resilience that is otherwise maladaptive—for both people and the environment. These are the research questions that are critical for shaping current policies associated with recovery and resilience planning and project development. Moving forward, the challenge for PR is to develop more robust population projections that are consistently applied for both fiscal planning and infrastructure planning. As highlighted, the inconsistencies between fiscal and infrastructure planning is likely undermining the intent and quality of both endeavors.
Acknowledgments
The demographic modeling portion of this research was supported by a Research Subcontract Agreement with the RAND Corporation. All other portions of this research were advanced without external research funding.
Data Availability Statement
The data that support the findings of this study are available upon request from the authors.
Appendix A.: Demographic Methodology
The general projection methodology is described elsewhere (Hauer 2019) and is otherwise summarized as follows. We project Puerto Rico's population using cohort-change ratios ('CCRs')(Hamilton and Perry 1962, Swanson et al 2010, Hauer 2019) in a set of Leslie matrices (Caswell 2001) based on 18 five-year age groups (0–85+) and two sex groups (Male and Female). Hauer showed that errors with this method tend to be comparable with other cohort-component population projection methods (Hauer 2019).
CCRs take the following general form and are considered a simplified version of the ubiquitous cohort-component method for demographic projection:


Where
is the population aged x to x + n in time t and
is the population aged x − y to x + n—y in time t and y refers to the time difference between time periods.
It is unlikely CCRs will remain constant over the projection period. To incorporate possible change in CCRs, we project all CCRs using an autoregressive integrated moving average ('ARIMA') model that takes the form of an ARIMA(0,1,1), producing forecasts equivalent to simple exponential smoothing. An ARIMA(0,1,1) is


Where
is independent and identically distributed as
. We model all age/sex CCRs in individual ARIMA models.
The calculation using the general CCR equation is possible for all but two age groups. Two age groups require special consideration: the population aged 0–4 (
) contains no preceding age group and the age group in the open-ended interval (85+;
) contains no proceeding age group. To project the population aged 0–4, we use the child-woman ratio (CWR) in place of traditional fertility rates. The CWR closely approximates the total fertility rate (Hauer and Schmertmann 2020), the primary fertility index of a population.


Where
is the projected CWR resulting from an ARIMA(0,1,1) model. We assume a 1.05 sex ratio at birth for the projected child population in time
.
To project the open-ended age interval (
),


We construct CCRs and CWRs using a single data source: the US Census Bureau's intercensal population estimates for the period 2000–2017.
To examine the impact of the Hurricanes' on the long-range projection of PR's population, we produce two sets of projections. The first uses the base period 2000–2017, to project PR's population for the period 2017–2047. This projection can be interpreted as the impact of the hurricanes on PR's long-range population. We do not explicitly model changes in PR's migration due to the hurricane. Instead, we implicitly capture changes in PR's migration due to the hurricane via reduced CCRs in the post-hurricane period. The second uses the base period 2000–2015 to project PR's population for the period 2015–2045. This projection can be interpreted as a counter-factual; as PR's long-range population without the hurricanes. Within the body of the article, we compare the two projections to interpret how the hurricanes altered the future population trajectory of the island.
Appendix B.: Socioeconomic and Physical Impact of the Hurricanes
One estimate of excess deaths in the immediate aftermath of the Hurricanes was 4645—representing a 62% increase in the mortality rate when compared with the same time period in 2016 (Kishore et al 2018, Santos-Lozada and Howard 2019). The Hurricanes caused the longest power outages impacting the most amount of people in US history and resulted in the longest sustained military air mission in US history for food and water (n = 62 d); the largest air mission in US history (n = 4214 missions); and, the largest disaster commodity mission in US history (n = 67 million liters of water and 61 + million meals) (HUD 2018). Over a million households (n = 1134 947) registered with the Federal Emergency Management Agency (FEMA) for disaster assistance leading to 788 507 building inspections, with 307 000 total homes being identified with moderate to severe damage, including 13 382 homes that were destroyed (id., p. 19). The power grid of PR was largely destroyed with a 100% loss in power resulting from a 25% loss of transmission towers (COR 2018a). In the immediate aftermath of the storm, approximately 50% of the population did not have access to potable water and communication infrastructure damage resulted in 95% of the cellular service and 85% of internet and phone service being offline (OCESER 2017). In the immediate aftermath, just 400 miles (2.4%) of 16 700 miles of roads were accessible and 75% (n = 586) of public buildings reported damage (COR 2018a). With a loss of nearly 31 million trees, the release of 3.7 billion gallons untreated sewage, and the creation of an equivalent of almost 5 years' worth of landfill (id.), FEMA reimbursed $576 million in debris removal and clean-up costs and spent $3 billion in emergency protection measures (GAO 2019). By end of 2017, approximately 179 00 people left PR on one-way airline tickets and 6600 households changed their permeant address to locations in the continental US ('CONUS') (HUD 2018, Alexander et al 2019).


