Abstract
Background. Recent studies on temperature-related mortality burden generally found higher cold-related deaths than heat-related deaths. In the future, it is anticipated that global warming will, on one hand result in larger heat-related mortality but on the other hand lead to less cold-related mortality. Thus, it remains unclear whether the net change in temperature-related mortality burden will increase in the future under climate change.
Objectives. We aimed to quantify the impact of climate change on heat-, cold-, and the total temperature-related (net change) mortality burden taking into account the future demographic changes across five districts in Bavaria, Germany by the end of the 21st century.
Methods. We applied location-specific age-specific exposure-response functions (ERFs) to project the net change in temperature-related mortality burden during the future period 2083–2099 as compared to the baseline period 1990–2006. The projections were under different combinations of five climate change scenarios (assuming a constant climate, Representative Concentration Pathway [RCP] 2.6, RCP4.5, RCP6.0, and RCP8.5) and six population projection scenarios (assuming a constant population, Shared Socio-economic Pathway [SSP] 1, SSP2, SSP3, SSP4, and SSP5). Our projections were under the assumption of a constant vulnerability of the future population. We furthered compared the results with projections using location-specific overall all-age ERFs, i.e. not considering the age-effect and population aging.
Results. The net temperature-related mortality for the total population was found to increase significantly under all scenarios of climate and population change with the highest total increments under SSP5-RCP8.5 by 19.61% (95% empirical CI (eCI): 11.78, 30.91). Under the same scenario for age ≥ 75, the increment was by 30.46% (95% eCI: 18.60, 47.74) and for age <75, the increment was by 0.28% (95% eCI: −2.84, 3.24). Considering the combination SSP2-RCP2.6, the middle-of-the road population and the lowest climate change scenario, the net temperature-related mortality for the total population was found to still increase by 9.33% (95% eCI: 5.94, 12.76). Contrastingly, the mortality projection without consideration of an age-effect and population aging under the same scenario resulted in a decrease of temperature-related deaths by −0.23% (95% eCI −0.64, 0.14), thus showing an underestimation of temperature-related mortality. Furthermore, the results of climate-only effect showed no considerable changes, whereas, the population-only effect showed a high, up to 17.35% (95% eCI: 11.46, 22.70), increment in the net temperature-related deaths.
Conclusion. The elderly population (age ≥ 75), highly vulnerable to both heat and cold, is projected to be about four folds the younger population (age < 75) in the future. Thus, the combined effect of global warming and population aging results in an increase in both the heat- and the cold-related deaths. The population-effect dominates the climate-effect. Mitigation and age-specific adaptation strategies might greatly reduce the temperature-related mortality burden in the future.
Export citation and abstract BibTeX RIS

Original content from this work may be used under the terms of the Creative Commons Attribution 3.0 licence. Any further distribution of this work must maintain attribution to the author(s) and the title of the work, journal citation and DOI.
1. Introduction
The association between ambient temperature and mortality outcomes has been studied extensively [1–4]. There is agreement that there exists a temperature of minimum mortality (MMT) at which the Relative Risk (RR) of temperature-related mortality is one [5–8]. Exposure-response functions (ERFs) between temperature and mortality are found to be U-, J- or V-shaped deviating from this MMT [6, 8] and are location-specific depending upon climatic, geographic and demographic characteristics [5, 7, 8]. Nevertheless, it makes, of course, a difference, if the deaths can be attributed to cold or to heat. A multi-country study conducted in 13 nations estimated 7.29% of the total mortality attributable to cold and only 0.42% to heat [9]. Thus, low ambient temperature seems to contribute more temperature-related mortality than high ambient temperature.
Under a changing climate, the surface temperature of the earth is projected to increase in the future [10]. There exists evidence that a warming climate would result in higher future heat-related mortality [11–14]. Several studies also show an increasing impact of climate change on heat-related cause-specific mortality burden, such as cardiovascular and respiratory causes [15, 16]. Yet, with increasing temperatures and assuming no adaptation of the future population, cold-related mortality burden will decrease in the future [8, 17–20]. Thus, heat-related mortality might be outnumbered by the reduction in cold-related mortality, resulting in a decrease of the net temperature-related mortality [8]. Given a certain geographic location, the direction of the net change however, depends on the ERF, the projected temperature, and the population changes of that specific location.
A number of international studies have projected the impact of climate change on the total, i.e. both heat and cold-related mortality burden in different locations of the world [3, 8, 18, 20–23]. Most of the studies so far have incorporated only the climate change scenarios [3, 8, 18, 20, 21, 23] and only a few have considered the range of possible future population scenarios [22]. Furthermore, only a limited number of these studies have incorporated age-specific exposure-response curves for future mortality projection [3, 20, 22, 23]. Moreover, some of these studies were based on the older climate projection scenarios [3, 20] while others have not taken into account the demographic changes in the future [23] or considered only a limited number of climate and population change scenarios [22]. Some recent studies on mortality projection due to climate change take into account the population aging, but focus on heat-related impacts ignoring the cold-related impacts [24, 25].
Thus, there still exists a gap in estimating future net temperature-related mortality burden under recent climate models considering both climate change and age-effect. A research gap that exists in estimating future net temperature-related mortality considering both demographic age-structure changes and age-specific ERFs under a full range of plausible combinations of socioeconomic development pathways (SSPs) and climate scenarios (RCPs). Our study, based on new climate projection scenarios, attempts to address these gaps.
In this study, we aim to assess the impact of climate change on heat, cold and the net temperature-related mortality burden across five districts of Bavaria under different scenarios of climate and population projection. We incorporated age-specific ERFs considering the age-specific future demographic changes to project the total temperature-related mortality burden and furthermore compared our results with a mortality projection using the overall ERF for all ages and the overall population change, i.e. not considering the age-effect and population aging.
2. Methods
2.1. Overview
We conducted this study in five districts within the state of Bavaria, Germany. Bavaria, the largest state in Germany is located in the south-eastern part [26]. The five districts included in this analysis were Augsburg, Fürstenfeldbruck, Munich, Nuremberg, and Rosenheim. A map of Germany with the study areas is in the supplement figure S1.1 is available online at stacks.iop.org/ERL/14/124080/mmedia. These five locations encompass a wide range of socio-economic and demographic variations [27] (see suppl table S1.1 for location-specific information). Munich, the capital of Bavaria is the largest Bavarian city with a population of 1.79 million in 2015. Nuremberg is the second largest city in Bavaria with a population of 509 975 in 2015. The districts Augsburg, Rosenheim and Fürstenfeldbruck each had a population of 531 974; 317 918; and 213 481 respectively in 2015 [28].
The analysis was carried out in three stages. We derived an age-specific ERF for the association between mean daily temperature and mortality in each of the five locations during the baseline-period (1990–2006; 17 years), thus considering differences in vulnerability between age groups. The ERFs were then applied to project temperature-related mortality in the future-period (2083–2099; 17 years) under different combinations of climate scenarios-Representative Concentration Pathways (RCPs) and population scenarios-Shared Socioeconomic Pathways (SSPs). Under the different SSPs, age-specific demographic changes were considered, thus including the impact of population age-structure changes. The future-period was specifically chosen in order to keep it consistent with the 17 year baseline period and to include the year 2099, the end-year of the 21st century. We then calculated the difference in the net attributable number (∆AN) of deaths, defined as the sum of total heat- and cold-related deaths, between the future-period and the baseline-period under each climate and population change scenarios. Finally, the relative change (percentage change) in the temperature-related mortality burden during the future period as compared to the baseline period were calculated as the ratio of ∆AN during the respective scenario and corresponding total deaths during the baseline period. The analysis assumed a constant vulnerability of the future population.
2.2. Data sources
2.2.1. Baseline temperature and mortality
We obtained daily mean temperature for the baseline-period from the German Weather Service and the Bavarian Environment Agency. Daily total death counts and age-specific death counts were obtained from the Bavarian State Office for Statistics and Data Processing. International Classification of Diseases 9th Revision (ICD-9) codes for the period 1990–1997 and International Statistical Classification of Diseases and Related Health Problems 10th Revision (ICD-10) codes for the period 1998–2006 were used for classifying the causes of death. All non-accidental deaths were included as total number of deaths for our analysis. The dataset was used in two previous publications [27, 29].
2.2.2. Temperature projections
The daily mean temperature for the future-period was obtained from the spatial dataset of the four global climate models (GCMs) based on Climate Model Intercomparision Project (CMIP5) [30]. This spatial dataset includes downscaled daily climate projections on a horizontal grid with 0.5° × 0.5° resolution from four GCMs (i.e. GFDL-ESM2M, HadGEM2-ES, IPSL-CM5A-LR, and MIROC5) corrected for bias based on the EartH2 Observe, WFDEI and ERA-Interim data Merged and Bias-corrected for ISIMIP (EWEMBI) dataset [31, 32]. We obtained location-specific daily temperature series for future period under all the four GCMs for each of the four climate change scenarios, i.e. for RCP 2.6, RCP4.5, RCP6.0, and RCP8.5 by extracting the temperature projections from the corresponding grid cell covering the centroid of the location—a method similar to previous studies [21, 33]. The centroid represents the spatial centre point of the location. The extracted temperature series were further calibrated with the location-specific observed data using a recently proposed calibration approach [34]. The observed temperature from the German Weather Service were used for calibration purpose. This resulted in 16 (four models for each of the four RCPs) bias corrected and calibrated temperature projections for each location. The distribution of the baseline observed and modelled temperature series with the cumulative distribution of the modelled and calibrated temperature are presented in the supplementary figure S1.2. Additionally, our projection also included a constant climate scenario, i.e. assuming the baseline temperature to remain constant in order to see the population-only effect.
2.2.3. Population projections
In order to analyse the climate-only effect on temperature-related mortality, our first analysis was under constant population scenario i.e. assuming that the population structure in the future-period will remain the same as in the baseline-period. For this, we applied a previously proposed method [35] and computed future annual series of total mortality counts as the average for each day of the year from the baseline daily mortality data in order to control for the seasonal trends of the observed mortality series. We also obtained population projections for each of the five locations under the five SSPs for the year 2090 (as reference for the future-period) from a high-resolution global spatial population projection downscaled from 1/8 degree to 1 km grid cell from the National Centre for Atmospheric Research (NCAR) [36]. The assumption for the population projection for Germany under different SSPs are medium fertility, low mortality, medium migration and high education for SSP1; medium fertility, medium mortality, medium migration and medium education for SSP2; low fertility, high mortality, low migration and low education for SSP3; low fertility, medium mortality, medium migration and polarised education for SSP4; and high fertility, low mortality, high migration and high education for SSP5 [37]. Location-specific population projections were calculated by taking the sum of the populations of each grid cell covering the area of the location, a method used previously [16]. Additionally, we corrected the obtained projected population for bias by extracting the population for the year 2010 from the NCAR dataset and comparing it with the population record of the same year from the German census authority [26] in order to find the location-specific correction factor. We then calculated a population change factor for each location under each of the five SSPs, which is defined as the ratio of the population in the future period to the population of the baseline period. The year 2010 (the NCAR-SSP dataset starts at this year) and 2090 were taken as a reference for the baseline and future period, respectively. The formerly computed location-specific annual series of total mortality counts were then multiplied by the location-specific and SSP-specific bias-corrected population change factor to obtain the SSP-specific annual total mortality count series. Thus obtained yearly mortality count series were repeated along the 17 years future period. We obtained six sets of population scenarios for each location and 30 population scenarios in total. Similarly, the age-specific population projection for each location under each SSP was obtained from the International Institute for Applied System Analysis (IIASA) [38]. The projected and bias-corrected age-specific annual series of total mortality counts for all population scenarios for each location were obtained with the same procedure as described above.
2.2.4. Combination of future scenarios
We used different RCP-SSP scenario combinations for the projection based on plausibility as explained by O'Neill et al [39]. The scenarios SSP1 (Sustainability), SSP2 (Middle of the Road) and SSP4 (Inequality) were combined with low to high (RCP 2.6-6.0) and not with the very high (RCP 8.5) climate change scenarios. Only the scenario SSP5 (Fossil-fuel development) was combined with RCP 8.5. Similarly, SSP3 (Regional rivalry) was also not combined with the low climate change scenario-RCP2.6. Furthermore, all SSPs were analysed also under a constant climate scenario and all RCPs under a constant population scenario. The combination of the RCP-SSP scenarios incorporated in the analysis is diagrammatically represented in figure 1.
Figure 1. Diagrammatic representation of the plausible RCP-SSP combinations used for projection. C = constant climate scenario.
Download figure:
Standard image High-resolution image2.3. Statistical analysis
2.3.1. Exposure-response function (ERF)
We applied distributed lag nonlinear models with a quasi-Poisson distribution extending the lag period to 21 d to establish the age-specific ERFs for each location for the baseline temperature-mortality relationship. The two age categories were age < 75 years and age ≥ 75 years. We used natural cubic splines centred around the location-specific MMT with three internal knots placed at 10th, 75th and 90th percentiles of the location-specific mean temperature. Natural splines are advantageous for future projections using modelled temperature as they facilitate the log-linear extrapolation of the function beyond the observed temperature series [35]. The regression also included an indicator for the day of the week and 7 degrees of freedom per calendar year to control the seasonal and long-term trends. The lag-response curve for temperature was modelled with a natural cubic spline with three knots placed at equally spaced values on the log scale. The association was then reduced to the overall temperature-mortality association, cumulating the risk during the lag period. The location-specific overall cumulative exposure-response association was then pooled using a multi-variate meta-analytical model from which we obtained the best linear unbiased prediction (BLUP) of each location-specific temperature-mortality association. This approach has been previously described [40] and applied by a large international study [21].
2.3.2. Impact assessment on temperature-related mortality burden
We estimated the mortality counts attributable to heat and cold. Deaths below the MMT were declared as cold-related mortality and deaths above the MMT as heat-related mortality. The net temperature-related mortality was then calculated as the sum of heat and cold-related mortality for the baseline and the future periods according to a previously established approach [40]. To estimate the future temperature-related mortality, we applied the previously estimated ERFs and the modelled daily series of temperature and mortality to calculate the daily temperature-attributable deaths. Firstly, under each RCP, we incorporated the four GCMs and derived four projections of temperature-related mortality. The average of these four projections was considered as the estimate of the temperature-related mortality under each RCP. We calculated the total attributable number by summing the contributions from all the days of the series. Finally, the relative change (%) in the temperature-related mortality burden during the future period as compared to the baseline period under each projection scenario were reported. The approach was applied for each city to obtain location-specific temperature-related mortality estimate.
To account for uncertainty in both ERF and the projections of future climate and population models, we used Monte Carlo simulations to obtain 95% empirical confidence intervals (95% eCI). Describing the derivation of 95% eCI for an estimate under one of the RCP-SSP combination for a single location, we first obtained the empirical distribution across 5000 samples of random parameter sets describing the ERF in the distributed lag nonlinear model under the specific SSP for each of the four GCMs for the RCP [21, 40]. Thus obtained 20 000 Monte Carlo Simulations under each RCP (5000 simulation under each of the four GCMs) were used in deriving the 95% eCI for the estimate under the corresponding RCP-SSP scenario. The above procedure was repeated for each RCP-SSP combination scenario and for each location.
To explore the impact and weigh the anticipated advantage of the application of the age-specific ERF, we performed additional analyses applying the same above mentioned steps but now using an overall all-age ERF and the overall population change, i.e. not considering the age-effect and the impact of the structural change in the population in the future.
We performed all analyses in R version 3.4.3 [41] using the packages 'dlnm' [42] and 'mvmeta' [43].
3. Results
3.1. Baseline temperature-mortality association
Depending upon the location, we found U- or J-shaped associations between mean daily temperature and mortality during the baseline period (figure 2). The MMTs ranged from 17.6 °C to 19.5 °C (table 1). When considering the age-specific ERFs, the RR for the older age category was found to be higher for both cold and heat effects than the lower age category with CIs overlapping in certain locations. Table 1 presents heat, cold and net temperature-attributable mortality fractions during the baseline period. For all five locations, the cold-attributable mortality fractions were found to be higher than the heat-attributable mortality fractions. (Supplement table S1.1 for AN.)
Figure 2. Location-specific exposure-response associations. Age-specific cumulative exposure-response association in five locations: Exposure-response associations presented as best linear unbiased prediction with 95% eCI (shaded) and temperature distributions during the baseline period. Dotted lines represent the minimum mortality temperature, dashed lines the 2.5th and the 97.5th percentiles, respectively. RR=relative risk.
Download figure:
Standard image High-resolution imageTable 1. Baseline overall (all age) and age-specific temperature-attributable mortality fraction (1990–2006; 17 years).
| Administrative areas (MMT) | Age categories | Attributable fractions of deaths | ||
|---|---|---|---|---|
| Total (CI) | Cold (CI) | Heat (CI) | ||
| Augsburg (17.6 °C) | Age < 75 | −0.69 (−16.31, 12.45) | −0.22 (−15.83, 12.40) | −0.46 (−1.78, 0.59) |
| Age ≥ 75 | 8.99 (0.33, 16.48) | 7.98 (−0.28, 15.14) | 1.01 (0.24, 1.69) | |
| Fürstenfeldbruck (18.1 °C) | Age < 75 | 5.88 (−12.27, 20.22) | 5.86 (−11.37, 19.78) | 0.01 (−1.55, 1.20) |
| Age ≥ 75 | 15.67 (6.10, 23.94) | 14.12 (4.41, 22.54) | 1.54 (0.80, 2.20) | |
| Munich (19.4 °C) | Age < 75 | 4.35 (−7.09, 14.07) | 3.98 (−7.02, 13.26) | 0.37 (−0.28, 0.98) |
| Age ≥ 75 | 9.50 (3.74, 14.77) | 9.03 (3.50, 14.28) | 0.46 (0.02, 0.87) | |
| Nuremberg (19.5 °C) | Age < 75 | −0.24 (−13.69, 10.87) | −0.45 (−13.75, 10.22) | 0.20 (−0.62, 0.92) |
| Age ≥ 75 | 12.40 (5.98, 18.19) | 11.47 (5.39, 17.1) | 0.92 (0.49, 1.34) | |
| Rosenheim (18.8 °C) | Age < 75 | 9.47 (−10.48, 24.94) | 8.93 (−11.31, 23.78) | 0.54 (−0.72, 1.52) |
| Age ≥ 75 | 15.52 (4.13, 25.08) | 14.36 (3.33, 23.65) | 1.15 (0.46, 1.75) | |
| Bavaria | Age < 75 | 2.84 (−4.24, 8.89) | 2.68 (−4.19, 8.42) | 0.16 (−0.30, 0.56) |
| (Total) | Age ≥ 75 | 10.75 (7.08, 14.05) | 9.98 (6.55, 13.20) | 0.77 (0.49, 1.30) |
CI = Confidence Interval (95%); MMT = Minimum Mortality Temperature; Bavaria (Total) = results from all five cities summed up.
3.2. Climate and population projections
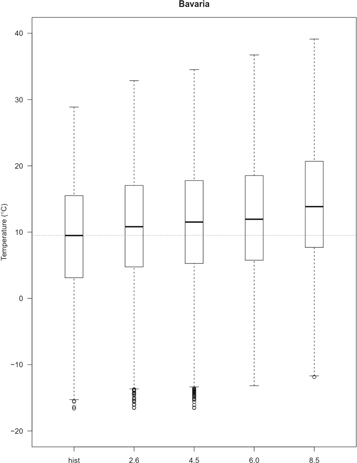
Under all RCPs, the mean temperature was projected to increase in the future period. The mean increases in temperature in Bavaria under different RCPs during the future period 2083–2099 were 1.48 °C for RCP 2.6; 2.37 °C for RCP 4.5; 2.82 °C for RCP 6.0 and 4.93 °C for RCP 8.5. Figure 3 shows the distribution of temperature during the baseline period and the future period under different RCPs. (Supplement figure S1.3. for location-wise temperature distribution.) For the population projections under different SSPs, we found the highest increment factor under SSP5 and the lowest under SSP3. Under all SSPs, the increment factor for population of age ≥ 75 years is on an average 4 folds the increment of age < 75 years (figure 4).
Figure 3. Baseline and projected calibrated annual mean temperature of Bavaria for the baseline period (hist) and the different RCPs.
Download figure:
Standard image High-resolution imageFigure 4. Projected population increment factor under different SSPs: ratio of future and baseline population.
Download figure:
Standard image High-resolution image3.3. Change in overall temperature attributable mortality
For the age group <75 years, there was no significant relative changes in the net temperature-related mortality for all scenarios of climate and population under the assumption of constant vulnerability (figure 5). However, for the older age group ≥ 75, temperature-attributable mortality burden increased significantly for all scenarios of climate and population, except for the constant population scenario. The highest increment for this age group, when considering no adaptation, is for SSP5 and RCP 8.5 where the temperature-related mortality increases by 30.46% (95% eCI:18.60, 47.74) (suppl table S1.2). Whereas, under the same scenario, for the age < 75, the net temperature-related mortality increases by only 0.28% (95% eCI: −2.84, 3.24) (suppl table S1.2). Considering the scenario combination SSP2-RCP2.6 (the middle-of-the road population scenario and the lowest climate change scenario), the net temperature-related mortality of the total population, incorporating the age-specific ERF and the age-specific demographic changes and under the assumption of constant vulnerability of the population, increases by 9.33% (95% eCI: 5.94, 12.76) (suppl table S1.2). The relative change in the temperature-attributable mortality fraction for the two age groups is summarised in figure 5. Similarly, the cold- and heat-attributable mortality did not have significant changes for the age group <75. Nevertheless, for the older age category ≥ 75, both cold- and heat- attributable mortality were found to be increasing under all scenarios of climate and population change. (Suppl table. S1.3.)
Figure 5. Projected age-specific location-specific relative change (%) in heat-related, cold-related and net temperature-related mortality with 95% eCI under different climate and population change scenarios during the future period (2083–2099) as compared to the baseline period (1990–2006). Relative change (%) projected with the location- and age-specific ERFs. const pop = constant population; C = constant climate, 2.6 = RCP2.6, 4.5 = RCP4.5, 6.0 = RCP6.0, 8.5 = RCP8.5.
Download figure:
Standard image High-resolution image3.4. Changes under constant population (climate-only effect) and constant climate scenario (population-only effect)
The results of the constant population scenario under all climate scenarios showed insignificant changes in the net temperature-related mortality, meaning that if the present day Bavarian population is subjected to any of the proposed climate scenarios, the net temperature-related mortality either remains constant or changes insignificantly. Even under the highest climate change scenario—RCP8.5, in an event of constant population, net mortality considering no adaptation increases insignificantly by 0.51% (95% eCI: −1.12, 3.74) (suppl table S1.2). Surprisingly, on the other hand, keeping the climate constant and considering only the population scenarios, the net temperature-related mortality increases significantly under all SSPs by up to 17.35% (suppl table S1.2). The highest increment is under SSP5 scenario, where the net temperature-related mortality of the total population increases significantly by 17.35% (95% eCI: 11.46, 22.70) (suppl table S1.2).
3.5. Comparison with the approach using the overall all-age ERF and population growth
The detailed results of the projection using the overall all-age ERF is included in the supplementary data (S2). In general, the results of projections using the age-specific ERFs when compared to the overall all-age ERFs shows that there is an underestimation of risk when incorporating the overall all-age ERF for future temperature-related mortality projection. Under the previous SSP2-RCP2.6 scenario, the net temperature-related mortality using the overall all-age ERF was found to decrease by −0.23% (95% eCI: −0.64, 0.14). Similarly, under the previous highest increment scenario, SSP5 and RCP 8.5, temperature-related mortality was found to increase only by 5.79% (95% eCI: 2.67, 11.81) (suppl table S2.2), clearly showing an underestimation of the net temperature-related mortality. The comparison of the results using these two approaches is summarised in figure 6. The projection under the constant population scenario, with a reduced x-axis is in suppl figure S2.3.
Figure 6. Projected relative change (%) in the heat-related, cold-related and net temperature-related mortality with 95% eCI in the five Bavarian cities under different climate and population change scenarios during the future period (2083–2099) as compared to the baseline period (1990–2006). const pop = constant population; C = constant climate, 2.6 = RCP2.6, 4.5 = RCP4.5, 6.0 = RCP6.0, 8.5 = RCP8.5. Relative change (%) projected with the location-specific age-specific (considering the age-specific population growth factor) and the overall all age (considering the overall population growth factor) ERFs.
Download figure:
Standard image High-resolution image4. Discussion
We estimated the change in cold-, heat- and the net temperature-related mortality burden for Bavaria considering five large districts within the state of Bavaria until the end of the 21st century (2083–2099) compared to the baseline period (1990–2006) under different combinations of climate and population projections. The net temperature-related mortality burden increased significantly under all SSPs and RCPs, when no adaptation of the future population was considered. For the older age group ≥75 years, which was, based on our age-specific ERFs highly vulnerable to both heat and cold and which is, also expected to have a higher population in the future, we observed that both heat- and cold-related mortality increased significantly under all RCPs and SSPs. This would result in a significant increase in the future relative net temperature-related mortality. Additionally, the results of climate-only and population-only effect suggest that the effect of population change with changing demographic structure is much higher than the effect of climate. A similar projection without the consideration of the age-effect and population aging showed an underestimation of temperature-related mortality.
A previous study in the same locations has also shown an increased vulnerability of the older population to temperature extremes [29]. Exposure to either heat or cold stress increases mostly the cardiorespiratory morbidity and mortality. The effects of heat stress like sweating, dehydration, salt depletion, increased blood circulation and cardiac work, as well as hemoconcentration are the causes of myocardial infarction, heart failure and stroke [29, 44]. Similarly, cold stress is seen to cause increase in heart rate and blood pressure, fibrinogen and factor VII in blood, and these changes in blood markers lead to a higher risk for ischemic heart diseases [44]. While the underlying mechanisms are less clear for respiratory morbidity and mortality during extreme weather events, respiratory outcomes are often seen to occur in combination with cardiovascular events [44]. It has been often recognized that people with pre-existing chronic obstructive pulmonary disease are mostly affected during the event of unfavorable ambient temperature. Changes in blood towards a more coagulant state as well as other vascular changes activate the complement system and thus trigger the respiratory distress syndrome resulting in various respiratory outcomes [44, 45].
When computing the temperature-related mortality burden during the baseline period, we found similar results with a previous multi-country observational study that found the cold-related mortality burden (7.29%) to be much higher than the heat-related mortality burden (0.42%) [9]. The total cold-attributable mortality fraction for the older age category during the baseline period was 9.98% (95% eCI: 6.55, 13.20) and that attributable to heat was 0.77% (95% eCI: 0.49, 1.30). The observations were consistent for all locations included in our study. However, for the lower age-category, relative change in the temperature-related mortality were not found to be significant.
With the projected increase in the average surface temperature of the earth, we expected to see a decrease in overall cold-related mortality. A number of previous studies have already shown a decrease in future cold-related mortality [8, 17–20]. One of the studies found cold-related mortality to decrease by 8.9% by 2050 s at a scenario of constant population [18]. In the same population scenario and under RCP 8.5, our study found cold-related mortality to decrease by around −3.44% (95% eCI −4.91, −1.82) until 2099 for the age ≥ 75 (suppl table S1.3). However, for all other scenarios of population and climate change, the relative cold-related mortality increased significantly. A significant reduction was seen under all RCPs for age ≥ 75 under the assumption of no-population change, meaning that if the present day elderly population of Bavaria was exposed to the future climate change scenarios, there will be a significant reduction in cold-related mortality under all RCPs. Thus, the reduction in deaths attributable to cold in the future is only under the assumption of constant population and no potential shifts in acclimatization. On the other hand, the decrease for age <75 was found to be insignificant. On the contrary, when the overall all-age ERF is applied for mortality projection, cold-related mortalities are found to be decreasing under all scenarios of climate and population change, except SSP5 (suppl table S2.3), thus confirming the underestimation of cold-related mortality.
The increasing surface temperature would result in higher future heat-related mortality. The projection under all climate and population scenario shows a consistent and significant increase in future heat-related mortality, except for the scenario of constant population (suppl table S1.3). The highest increase in the temperature-related mortality burden for age ≥75 was under the scenario of RCP 8.5 and SSP5 where relative heat-related mortality increased by 16.87% (95% eCI: 5.87, 34.27) (suppl table S1.3). Even under the low emission scenario RCP 2.6, there is a consistent increase in heat-related mortality for each population scenario, except the constant population scenario where the changes are insignificant (suppl table S1.3). Hence, these result suggests the need for immediate mitigation actions to combat climate change.
The results of projections using the overall all-age ERFs and the overall population change when compared to that using the age-specific ERFs and the age-specific population change shows that there is an underestimation of risk when not considering the age-effect and the changes in the age-structure of the population. Under SSP2-RCP2.6 scenario, the net temperature-related mortality using the overall all-age ERF was found to decrease by −0.23% (95% eCI: −0.64, 0.14) (suppl table S2.2). In contrary, mortality projection under the same scenario incorporating the age-specific ERF showed the net mortality to increase by 9.33% (95% eCI: 5.94, 12.76) (suppl table S1.2), clearly showing an underestimation of the temperature-related impacts. Only a few studies until date have accounted for age-effect [3, 20, 22, 23]. The consideration of age is important as different age groups react differently to temperature. The older population is generally found to be more vulnerable to both heat and cold effects as compared to the younger population [3, 20, 22, 23]. In our analysis, for the age group <75 years, both future heat- and cold-related mortality did not change considerably. Nevertheless, for the age group ≥75 years, both cold- and heat-related deaths increased significantly under all climate and population scenarios. Thus, the higher vulnerability of elderly to temperature-effects was confirmed by our study. Another reason for considering age for the projection of temperature-related mortality burden is that the population of the elderly is estimated to increase much more in the future than the younger population [38], thus increasing the population at risk. The above-discussed difference in mortality projection using the overall population change compared to that using the age-specific population change also adds evidence to this.
The five population projection pathways also incorporate scenarios under different challenges to adaptation and mitigation. Four of the pathways (SSP1, SSP3, SSP4 and SSP5) include various combinations of high or low challenges. SSP1 would be the sustainability pathway, also called taking-the-green-road. Whereas, the SSP2 pathway, also called middle-of-the-road pathway, represents the future population under moderate challenges to adaptation and mitigation, i.e. the world would follow a path in which social, economic, and technological trends do not shift markedly from historical pattern [46]. The results of our study reflect, even under the ideal SSP1 or the usual SSP2 pathway, there will be a significant increase in the net temperature-related mortality under all RCPs by the end of the 21st century (figure 6).
To our best knowledge, this the first study which investigates a full range of plausible combined climate and population scenarios using most recent RCP and SSP scenarios and which also incorporates the age-effect together with demographic age-structure changes for future net temperature-related mortality projection. We observed that the projection of future mortality based on the overall ERF for all ages would lead to an underestimation of temperature-related deaths. Furthermore, our results conclude that the effect of population aging is much higher that the effect of climate. Therefore, it is of critical importance to consider the age-effect and population aging when projecting future temperature-related health impacts under climate change.
4.1. Strengths and limitations
The strength of our study comprises the projection of change in future temperature-attributable mortality burden under a full range of plausible combined scenarios of climate (RCPs) and population projection (SSPs). We used four GCMs for each RCP and downscaled a high-resolution data frame to derive the population under each SSP. We also captured and addressed the sources of uncertainties in our analysis, for example, the baseline temperature-mortality ERF, the temperature projection, and the population projection. Additionally, we explored all heat- cold- and the net temperature-related mortality burden separately in each location. We also incorporated both the age-specific and the overall all-age ERF for the projection of future temperature attributable mortality and compared the results of projections under the two approaches.
We acknowledge certain limitations of our study. Our study did not take into account the future adaptation of the population to a changing temperature. All the analyses were performed under the assumptions of no future adaptation, which may overestimate the future temperature-related mortality burden [18]. Thus, our results should be interpreted as future temperature-related mortality burden in the absence of adaptation. Moreover, we only used fixed weather stations for temperature exposure assessment, thus exposure assessment error was inevitable. However, this error might bias our estimates rather towards the null [47]. Our study also does not consider the shifts in cause-specific morbidity and mortality that are likely to occur in the future.
5. Conclusion
In conclusion, we found that with a projected increase of the older age group in the future, also the vulnerable group for both heat and cold will increase, thus, resulting in a consistent and significant increase in the net temperature-related mortality burden in the future period of 2083–2099 in Bavaria, Germany. We also found that the population-effect dominates the climate-effect. The results thus demand immediate mitigation and age-specific adaptation strategies to address the problem of climate change and better adapt the aging population.
Acknowledgments
We acknowledge the MOHIT project group baseline period (1990–2006) data. We thank the climate and population modelling groups (see manuscript) for producing and making the data available. This research did not receive any specific grant from funding agencies in the public, commercial, or not-for-profit sectors.
Data availability
The data that support the findings of this study are available from the corresponding author upon reasonable request.





