Abstract
River runoff is a key attribute of the land surface, that additionally has a strong influence on society by the provision of freshwater. Yet various environmental factors modify runoff levels, and some trends could be detrimental to humanity. Drivers include elevated CO2 concentration, climate change, aerosols and altered land-use. Additionally, nitrogen deposition and tropospheric ozone changes influence plant functioning, and thus runoff, yet their importance is less understood. All these effects are now included in the JULES-CN model. We first evaluate runoff estimates from this model against 42 large basin scales, and then conduct factorial simulations to investigate these mechanisms individually. We determine how different drivers govern the trends of runoff over three decades for which data is available. Numerical results suggest rising atmospheric CO2 concentration is the most important contributor to the global mean runoff trend, having a significant mean increase of +0.18 ± 0.006 mm yr−2 and due to the overwhelming importance of physiological effects. However, at the local scale, the dominant influence on historical runoff trends is climate in 82% of the global land area. This difference is because climate change impacts, mainly due to precipitation changes, can be positive (38% of global land area) or negative (44% of area), depending on location. For other drivers, land use change leads to increased runoff trends in wet tropical regions and decreased runoff in Southeast China, Central Asia and the eastern USA. Modelling the terrestrial nitrogen cycle in general suppresses runoff decreases induced by the CO2 fertilization effect, highlighting the importance of carbon–nitrogen interactions on ecosystem hydrology. Nitrogen effects do, though, induce decreasing trend components for much of arid Australia and the boreal regions. Ozone influence was mainly smaller than other drivers.
Export citation and abstract BibTeX RIS

Original content from this work may be used under the terms of the Creative Commons Attribution 3.0 licence. Any further distribution of this work must maintain attribution to the author(s) and the title of the work, journal citation and DOI.
1. Introduction
Climate change, direct human activity and perturbed biogeochemical cycles are rapidly altering the hydrological cycle (Milly et al 2005, Huntington 2006). River runoff is a key component of the hydrological cycle, providing a robust metric of freshwater availability to humans and ecosystems (Oki and Kanae 2006). However, uncertainties exist in drivers of runoff variability, preventing a better understanding and quantification of spatio-temporal distributions of freshwater provision (Yang et al 2017). To reduce such uncertainty, the careful merging of measurements and models needs to continue. The knowledge gained enables the hydrological community to support adaptation and mitigation strategies for climate change and related sustainable management (Jiménez Cisneros et al 2014). In particular, better understanding increases capacity to perform more accurate projections of future runoff.
Multiple environmental factors cause variations in runoff, that can be both different in sign and magnitude, and show high local variability (e.g. Huntingford et al 2011). First, runoff is driven by climatic variables, which we call 'CLIM' forcings, and these include precipitation amount and intensity, temperature, wind speed, and radiation. Both precipitation amount and intensity play a direct critical role in runoff generation (Xue and Gavin 2008, Berghuijs et al 2014). Temperature, wind speed and radiation influence evapotranspiration, in turn affecting runoff. Moreover, global warming impacts vegetation growth via altered photosynthesis, plant respiration and phenology, which again influences runoff via evapotranspiration and interception changes (Ohmura and Wild 2002, McVicar et al 2012). Second, atmospheric CO2 concentration impacts runoff variability in two compensatory ways. Increased CO2 concentration leads to reductions in stomatal conductance, increasing plant water use efficiency (WUE), thus reducing evapotranspiration and increasing runoff (Gedney et al 2006). However, enhanced vegetation growth, via increased leaf area index (LAI) and extended growing seasons, increases evapotranspiration, so causing a decline in runoff. High LAI systems are likely to be dominated by the WUE effect, while in low LAI systems, the CO2 effect on WUE and LAI might counteract (Piao et al 2007). These two combined effects are named 'CO2'. Third, terrestrial nitrogen availability limits the CO2 fertilization effect, and thus affecting runoff. An earlier analysis using the O-CN model, which accounts for the interactions between the terrestrial carbon and nitrogen cycles, suggests that the effect of CO2 fertilization on carbon sequestration could be constrained by up to 70% when compared to only modelling the carbon cycle (Zaehle 2013); such carbon–nitrogen interactions would also impact runoff. Additionally, atmospheric nitrogen deposition, mainly occurring in the mid and high northern latitudes, could alleviate plant growth suppression in otherwise nitrogen limited systems. This may increase evapotranspiration and decrease runoff (Shi et al 2011, Mao et al 2015). These effects, we term 'CN&NDE'. Fourth, land use change ('LUC') alters canopy interception, land surface albedo, soil infiltration, and evapotranspiration, all of which can result in runoff changes (Mahmood and Hubbard 2003). Fifth, increases in atmospheric aerosols ('AER') can enhance plant photosynthesis via increased diffuse radiation conditions (Mercado et al 2009), and alter the water balance of ecosystems with associated changes in evapotranspiration and runoff (Gedney et al 2014). Sixth, tropospheric ozone ('O3') affects plant stomata and reduces photosynthetic rates, likely reducing transpiration rate and enhancing runoff (Sitch et al 2007, Felzer et al 2009, Lombardozzi et al 2015, Mills et al 2016, Oliver et al 2018).
Recent research has improved the understanding of the individual factors that control runoff variability. Yet the comparison of the relative magnitudes of the different mechanisms and factors that govern long-term trends of runoff, across scales, are poorly quantified. We provide a comprehensive local and global assessment of the balance among the contributions of the six environmental factors (i.e. CLIM, CO2, LUC, CN&NDE, AER and O3). We analyse changes to trends in global and local runoff over recent decades, based on the JULES-CN model. The previous standard JULES-C model, without terrestrial carbon–nitrogen interactions, has been used in many studies including benchmarking against a range of datasets (Blyth et al 2011), and detection and attribution analyses of runoff changes (Gedney et al 2006, Zulkafli et al 2013, Gedney et al 2014). The main advance here is to investigate refined estimates of runoff changes, enabled by a common modelling framework that now additionally includes interactions between the carbon and nitrogen cycles, and with tropospheric ozone impacts.
2. Data, modelling framework and factorial simulations
2.1. Runoff data
Observed monthly river discharge records, for years 1960–1999 inclusive, are used for JULES-CN model evaluation. Discharge measurements are from the farthest downstream stations, and for 42 large basins around the world (figure S1 is available online at stacks.iop.org/ERL/14/124075/mmedia). These are obtained from three sources: (i) Global River Discharge Centre (http://bafg.de/GRDC); (ii) China Statistical Yearbook (Bureau 2000); and (iii) river discharge archive by Dai et al (2009). The two main selection criteria for catchments are they need to have >80% available data for the study period, and catchment areas are >100 000 km2 to match the relatively large spatial resolution (gridbox of 1.25° lat × 1.875° lon, ∼60 000 km2) used in the JULES-CN simulations of this study.
2.2. Modelling framework
The Joint UK Land Environment Simulator (JULES; Best et al 2011, Clark et al 2011) is the land surface scheme of the UK Met Office Earth System Model. JULES can also be operated 'offline', as here, and forced with known surface meteorological conditions for the contemporary period. JULES evolved from the Met Office Surface Exchange Scheme (MOSES; Cox et al 1998, 1999), combined with a dynamic vegetation module called the Top-down Representation of Interactive Foliage and Flora Including Dynamics (TRIFFID; Essery et al 2003, Clark et al 2011). The current JULES version contains a sophisticated representation of canopy radiation interception (Mercado et al 2007) that defines explicitly the diffuse and direct components of the photosynthetically active radiation (Mercado et al 2009). It also includes a representation of the response of vegetation to tropospheric ozone deposition (Sitch et al 2007).
Notably, JULES-CN has implemented the nitrogen cycle into the dynamic global vegetation and hydrology components of the JULES model (Wiltshire et al 2019). In particular, processes of soil nitrogen dynamics, litter production, plant uptake, nitrogen allocation, response of photosynthesis and maintenance respiration to varying nitrogen concentrations in plant organs and inorganic nitrogen are now included in the model. This addition improves the simulation of vegetation distribution, as it responds to climate, CO2 and nutrient availability. This new JULES framework also allows an assessment of the impacts of vegetation carbon–nitrogen interactions on hydrological processes, including those driven by changing atmospheric nitrogen deposition. In brief, the nitrogen module acts to reduce Gross Primary Productivity (GPP) in regions where insufficient inorganic nitrogen exists to meet demand. In regions of nitrogen limitation, it is expected that the vegetation biomass and leaf area will be less stimulated under raised atmospheric CO2 concentrations, compared to the model version without nitrogen representation (i.e. JULES-C). The effect of nitrogen is to generally cause altered vegetation structure, as opposed to changes to stomatal conductance. Inorganic sources of nitrogen include deposition, fixation and soil net mineralization, and in some circumstances, these offset nitrogen limitation.
2.3. Simulation setup
We run two sets of simulations: one using the JULES model with carbon–nitrogen interactions (JULES-CN) and one without carbon–nitrogen interactions (JULES-C). Such simulations, named 'factorial', isolate the individual contributions of elevated CO2 concentration, climate change and LUC predicted by JULES-C and JULES-CN models (table 1). Here, JULES-C and JULES-CN simulate historical land surface conditions, driven by a 99 year (1901–1999) observation-based meteorological forcing dataset, CRU-NCEP v4 (Le Quéré et al 2012). In addition, annual atmospheric CO2 concentration data is from Keeling and Whorf (2005), LUC data from the HYDE dataset (Klein Goldewijk 2011) and nitrogen deposition from ACCMIP (Lamarque et al 2013). All simulations are 'spun up' to equilibrium (i.e. at 1901) under environmental conditions by a repeated 20 year climate forcing data (1901–1920) and fixed pre-industrial values of CO2, land-use and nitrogen deposition.
Table 1. Initial factorial simulations with JULES-C and JULES-CN. Driving factors include rising CO2, climate change, land use/land cover change, carbon–nitrogen interaction and nitrogen deposition. Factors changing over the transient period have the '√' symbol and factors that are fixed at the pre-industrial levels have no symbol.
| Model | Simulation | CO2 | CLIM | LUC | CN&NDE |
|---|---|---|---|---|---|
| JULES-C | Cctrl | ||||
| CCO2 | √ | ||||
| CCO2+CLIM | √ | √ | |||
| CCO2+CLIM+LUC | √ | √ | √ | ||
| JULES-CN | CNctrl+CN&NDE | √ | |||
| CNCO2+CN&NDE | √ | √ | |||
| CNCO2+CLIM+CN&NDE | √ | √ | √ | ||
| CNCO2+CLIM+LUC+CN&NDE | √ | √ | √ | √ | |
Comprehensive global observations of diffuse and direct partitioning of downward shortwave radiation and ozone concentrations are unavailable. The simulations in table 1 use the fixed diffuse fraction of 0.4 and the pre-industrial O3 concentration. To assess O3 and aerosol radiative effects on runoff changes, we add an extra second set of two JULES-CN simulations (table 2). We use HadGEM2-based estimates of diffuse fraction and O3 concentration, and combine with the same estimates of surface meteorological conditions that are used for the simulations in table 1 as the forcing. The radiative effects of atmospheric aerosols adjust the balance of downward shortwave between direct and diffuse levels. Here, the aerosol forcing data, similar to Mercado et al (2009), includes tropospheric aerosol species: black carbon, sulphate, mineral dust, sea salt and biomass burning. Distributions of aerosol optical depths for each species were simulated by the atmospheric model in HadGEM2-A, following Bellouin et al (2007). Radiative transfer calculations are used to estimate diffuse fraction at the land surface, based on these aerosol distributions, which surface level is input to JULES (Mercado et al 2009). The tropospheric ozone forcing data, similar to Sitch et al (2007), is generated by 'time-slice' simulations with a tropospheric chemistry model STOCHEM (Sanderson et al 2003). Values for the intermediate years are generated by linear interpolation.
Table 2. Second factorial simulations, including atmospheric aerosols and tropospheric O3 concentration effects. The symbol '√' means factors are changing over the transient period, while factors that are fixed at the pre-industrial levels and conditions have no symbol. Simulation CNCO2+CLIM+LUC+CN&NDE is identical between the tables 1 and 2.
| Simulation | CO2 | CLIM | LUC | CN&NDE | AER | O3 |
|---|---|---|---|---|---|---|
| CNCO2+CLIM+LUC+CN&NDE | ||||||
| CNCO2+CLIM+LUC+CN&NDE+AER | √ | √ | ||||
| CNCO2+CLIM+LUC+CN&NDE+O3 | √ | |||||
2.4. Scale dependence of relative dominant factors
To illustrate how the dominant drivers vary with spatial scale, we follow the method used by Jung et al (2017) and define the relative magnitudes of environmental components ('COMP') that force runoff trends. This metric is defined as the trend of runoff forced by an individual component, divided by the trends of runoff forced by all factors (trendALL):
This index is calculated for spatial windows of 1 × 1, 2 × 2, 4 × 4, 8 × 8, 16 × 16, 28 × 32, 56 × 48, and all the grid cells over the globe. The magnitude of spatial scales (in km) defined by the longitudinal distance at 45oN is also shown in figure 7.
3. Results
3.1. Evaluation of simulated present-day runoff
We first evaluate the JULES model performance in reproducing historical river discharge for period 1960–1999 (figure 1). The JULES-CN model performs well in capturing the long-term averages of annual discharge (figure 1(a)) and the inter-annual variability of annual discharge (figure 1(b)) for the 42 major basins, and for the period 1960–1999, when the effects of all six forcings are included.
Figure 1. Assessment of model performance. (a) Comparison of mean annual river discharge measured at gauging stations versus that simulated by the JULES-CN model with all forcings (CNCO2+CLIM+LUC+CN&NDE+AER simulation + O3 effects). (b) A map of Pearson correlation coefficients of modelled annual river discharge (again, from CNCO2+CLIM+LUC+CN&NDE+AER simulation + O3 effects) with the measured river discharge time series.
Download figure:
Standard image High-resolution imageThe JULES-CN model performs well for many basins e.g. Congo, Mississippi and Yangtze. However, it has a limited ability to reproduce observed runoff increases in a few basins, e.g. some Eurasian Arctic rivers, the Amazon and Pakistan basins. Increased precipitation plays a major role in observed Eurasian river discharge increases, but poor performance there could be partly related to the uncertainty in regional precipitation. For instance, the NCEP precipitation data shows smaller increases than other precipitation datasets in high latitudes (a point also noted in Pavelsky and Laurence 2006). In addition, these Eurasian Arctic rivers are highly affected by permafrost (figure S2), which as yet is not fully included in JULES-CN. The bias in trends for Asian basins may reflect poor representation of direct human intervention (notably dams, irrigation) on runoff (Yang et al 2018). Raised levels of irrigation and regulation enhance surface evaporation and possibly reduce runoff in intensively cultivated areas (hence our findings support those of Tang et al 2007, Haddeland et al 2014). In the Amazon basin, the model-data discrepancy might be partly related to an inadequate representation of the response to land use, notably deforestation.
There are strong similarities between figures 2(b)–(d), providing initial evidence that AER and O3 effects are likely relatively small drivers.
Figure 2. Runoff trends from 1960 to 1999 for the 42 major basins. Runoff trends are estimated from the Dai river runoff dataset (a), and from JULES-CN simulations under (b) CNCO2+CLIM+LUC+CN&NDE (c) CNCO2+CLIM+LUC+CN&NDE+AER and (d) CNCO2+CLIM+LUC+CN&NDE+O3. (b) has driving factors of CO2, CLIM, LUC and CN&NDE. (c) is the same as (b), but with AER added. (d) is the same as (b), but with O3 added.
Download figure:
Standard image High-resolution image3.2. Global runoff trends and factor contributions
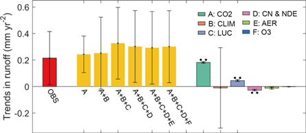
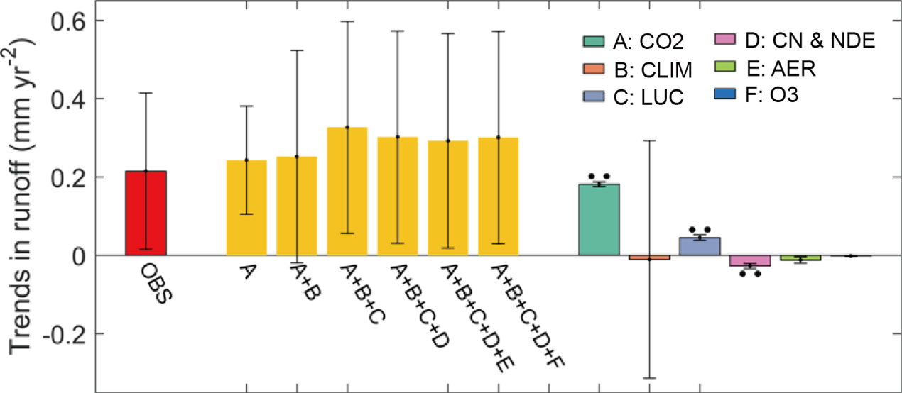
Annual global runoff averages are calculated from the 42 large river basins (figure S1), for comparison with observations. The time-evolving, observation-based global average of runoff has a small (but statistically significant) positive trend of +0.22 ± 0.20 mm yr−2 (+0.07 ± 0.06% yr−1) during the period of 1960–1999 (figure 3(a)). The JULES-CN simulation CNCO2+CLIM+LUC+NDE provides a comparable estimate of the global runoff trend of +0.30 ± 0.27 mm yr−2.
Figure 3. Global averages of observed (red) and modelled runoff linear trends (yellow, represents the factorial simulations) for the period of 1960–1999. Global averages are calculated from the river basins used in the study only. Modelled runoff changes due to the single effects of elevated CO2 concentration (A: CO2), climate change (B: CLIM), land use change (C: LUC), carbon–nitrogen interactions and nitrogen deposition (D: CN&NDE), aerosol radiative effects (E: AER) and tropospheric ozone changes (F: O3). Error bars show one standard error of the regression coefficients. Two dots indicate that the trend is statistically significant (P < 0.10).
Download figure:
Standard image High-resolution imageFurther analyses use the factorial simulations to quantify the contributions of six environmental factors to the global averages of modelled runoff linear trends for the period of 1960–1999 (figure 3). Values are also calculated from the 42 large study basins, and are first presented as the accumulation of each factor (yellow bars, figure 3), before showing the isolated effects of the individual drivers. Contributions from changing climate are small for the large-scale averages (just +0.01 ± 0.30 mm yr−2). Rising atmospheric CO2 concentration is the most important contributor to the global river runoff trend, with a significant increase of +0.18 ± 0.006 mm yr−2. Important contributions are also LUC (increase in total runoff of +0.05 ± 0.007 mm yr−2) and carbon–nitrogen interactions and nitrogen deposition (decrease of –0.03 ± 0.007 mm yr−2). The radiative effects of atmospheric aerosols adjusting the balance of downward shortwave between direct and diffuse levels, and ozone concentration changes, both exert a slightly negative influence on global runoff changes. Thus, there are no significant differences among the globally-averages of runoff change between CNCO2+CLIM+LUC+CN&NDE, CNCO2+CLIM+LUC+CN&NDE+AER and CNCO2+CLIM+LUC+CN&NDE+O3 simulations, supporting the noted small effects on global runoff trends of aerosol and O3 forcings (figures 2(b) versus (c) and (d)).
3.3. Local runoff trends and contribution from environmental factors
Figure 3 shows at global scale, almost all drivers have relatively little effect on runoff trends, except for increasing atmospheric CO2. However, the findings may be different regionally, as suggested by figure 2(a), which shows not only spatial heterogeneity but also large differences in sign. We return to consider geographical differences, and find that at the local level, JULES-CN simulates a significant increase in runoff during the late twentieth century over eastern United States, northern Europe, some areas in China and a large area in South America. Decreased runoff is simulated over some areas of Canada, central Africa and west Amazon (figure 4(b)). These changes compare well to data (figures 2(a) and 4(a)).
Figure 4. Drivers of runoff changes. Global patterns of trends in the river runoff from 1960 to 1999 from (a) Dai dataset (same as figure 2(a), different units) and from (b) JULES-CN model with all forcings (CNCO2+CLIM+LUC+CN&NDE+AER simulation + O3 effects). (c) Spatial pattern of the factor with the largest absolute value of increasing (or decreasing) trends in runoff for each grid. The affecting factors include rising CO2 (CO2), climate change (CLIM), carbon–nitrogen interactions and nitrogen deposition (CN&NDE), land cover change (LUC), the diffuse radiation effects of aerosols (AER), and ozone concentration changes (O3). A prefix '+' of the driving factors indicates a positive effect on runoff trends, whereas '−' indicates a negative effect. (d) Spatial pattern of the factor with the absolute second-largest increasing (or decreasing) trends in runoff for each grid cell. Notations identical to (c). Panel insets in (c) and (d) are the fraction of vegetated area (%) that is dominantly driven by each factor. The colours of bars (insets) are identical to those used in the global maps.
Download figure:
Standard image High-resolution imageFor local runoff trends, multiple factors show much more diversity in their relative contributions to runoff changes. The driving factor of the largest magnitude and for each grid cell, as calculated by JULES-CN factorial simulations, is presented in figure 4(c). Figure 4(c) shows that unlike the mean dominant contributors to the global runoff trends, climate change is the factor responsible for the absolute largest trends of runoff. Climate as the dominant driver is for over 82% of global land area (excluding Antarctica), whereas rising atmospheric CO2 concentration dominates runoff increases for <5% of global land area. For locations where climate change dominates, climate change impact on runoff is positive over 38% of global land area, and negative for the remaining 44%. For the remaining runoff increasing areas where climate is not the dominant driver, the main driving factor is either LUC or tropospheric ozone. This is especially notable for some regions in China and India (figure 4(c)). We also identify the factor with the second-largest absolute value of runoff trend, and observe this has strong geographical heterogeneity (figure 4(d)). Elevated CO2 concentration, via its physiological effects, contributes to an upward trend in the runoff, and is the second-largest effect over 35% of global land area. In contrast, carbon–nitrogen interactions and nitrogen deposition induced the second-largest decreasing trends in runoff over the nitrogen-limited regions, e.g. Australia and the boreal regions at the high latitudes. LUC contributes to the second-largest runoff increase in west Amazon.
Actual trend values for different drivers are presented in figure 5. Trends in simulated runoff due to climate change, over the period 1960–1999, are shown in figure 5(a). The climate change signal (figure 5(a)) is predominantly a function of increasing atmospheric CO2 concentration, which is the dominant driver when expressed via contribution to radiative forcing (IPCC 2013). Other smaller drivers are non-CO2 greenhouse gases, volcano effects, solar fluctuations and atmospheric aerosols. Hence, figure 5(a) is regarded as broadly, an indirect CO2 effect. Besides temperature increases, rainfall intensity increases in some areas, wind speed changes affect near-surface turbulent exchange and surface conditions, which in turn can adjust evapotranspiration. This also causes an indirect effect, where the response to changed surface conditions alters land-atmosphere CO2 exchange, and ultimately vegetation dynamics (McVicar et al 2012, Dourte et al 2015) (figure S3). However, the climate-induced runoff trends are correlated significantly with the trends of precipitation over 63% of global land area (figure S3), suggesting precipitation is the dominant local climate driver.
Figure 5. Global patterns of contributions of individual factors to modelled runoff trends over the period 1960–1999. Shown are (a) climate change ('CLIM'); (b) elevated atmospheric CO2 concentration ('CO2'); (c) land use change ('LUC'); (d) carbon–nitrogen interactions and nitrogen deposition ('CN & NDE'); (e) aerosol radiative effect ('AER'); (f) ozone change ('O3'). Stippling signifies that the linear trends at the local level are statistically significant at the 10% significance level.
Download figure:
Standard image High-resolution imageThe net physiological and structural effects of vegetation response and impact on runoff, caused by rising atmospheric CO2 concentration, is shown in figure 5(b). Higher CO2 concentrations generally enhance runoff in humid regions, whereas it slightly reduces runoff in arid regions. For the wet regions, JULES-CN simulations suggest that runoff increases are related to mostly reductions in transpiration caused by CO2-induced stomatal closure (figure S4(b) and text S1) reducing transpiration (figure S4(d)). In water-limited environments, the elevated CO2 concentration reduces stomatal conductance instantaneously, through stomatal closure, to alleviate plant dryness stress. Howver, over longer time periods (e.g. decades), elevated CO2 concentration leads to increased vegetation WUE, and which triggers increases in LAI and/or extended growing seasons. Such increases in LAI can enhance transpiration, through increased stomata density and number (figure S4(c)), which offset the retention effects of stomata closure (figure S4(d)). Additionally, higher LAI can raise canopy interception and related evaporation increases (figure S4(f)). The balance of all of these effects in JULES is to lead to a slight decrease in runoff.
Figure 5(c) shows the impact of LUC, leading to runoff increases over the wet tropical regions (especially in the Amazonian region) and decreases in Southeast China, Central Asia, the eastern USA. The net losses of forest area (due to deforestation and/or fire; Klein Goldewijk et al 2011) and cropland expansion during the past four decades play multiple important roles. In the Amazonian region, simulations with JULES-CN model suggest that when forest is replaced by cropland (figures 6(a)–(c)), ET decreases, resulting in overall runoff increases, since compared to cropland (or grassland), forest has higher transpiration rates (Mahmood and Hubbard 2003). In contrast, the replacement of croplands in Southeast China is more productive than the replaced forest (figure 6(d)), leading to an increase in ET and a decrease in runoff. Also, runoff in Central Asia has decreased due to the local expansion of agriculture. Interestingly, in the eastern USA, a vegetation shift from C4 grasslands towards C3 grasslands has likely occurred (figures S5(c) and (d)). C3 grasslands have low WUE, which implies their ability to maintain photosynthesis depends on using more water, thus leading to decreased runoff.
Figure 6. Spatial patterns of changes in the (a) forest and (b) cropland cover fractions for the period of 1960–1999. Panel (c) is the global Plant Function Type (PFT) transition maps for the same period. Cropland is referred to 'Grass' PFT in JULES-CN model. (d) Spatial patterns of contributions of land use change (LUC) to the modelled GPP trends over the period 1960–1999. White lands are omitted because linear trends of GPP are not significant.
Download figure:
Standard image High-resolution imageNitrogen availability limits plant growth, particularly over the temperate and boreal regions (LeBauer and Treseder 2008), potentially offset by raised nitrogen deposition. Explicitly modelling carbon–nitrogen interactions, JULES-CN simulations suggest that increased nitrogen deposition in Siberia, Middle East and southwest China results in increasing GPP, LAI and evapotranspiration, thereby decreasing runoff (figure 5(d)). However, in the Eastern Europe and North America, nitrogen limitation effects dominate, leading to decreasing leaf photosynthesis and transpiration, and thereby increasing runoff (figure S6).
Figure 5(e) shows that the impact of increases in aerosols in densely-populated and in biomass burning regions (figures S7(a) and (b)) during 1960–1999. This includes South America, central Africa, Australia, India, southern and western Asia. In contrast, most of south-west USA and western Europe experience aerosol decreases due to Clean Air policies. The upward trend of runoff in western Europe (except the Iberian Peninsula) and south-west US demonstrate the effect of diffuse radiation fraction (Mercado et al 2009 for details of diffuse fraction changes) decreases are larger than the opposing influence of total radiation increase. Raised atmospheric aerosol levels lead to diffuse fraction increases in South America, central Africa, Australia, India, southern and western Asia, which again dominant direct radiation changes. For these locations, this leads to increased transpiration and decreased runoff.
Finally, simulated changes in tropospheric ozone concentration over the study period leads to increased simulated runoff (figure 5(f)) with changes being statistically significantly over most of South America, Africa and southern China. Despite statistical significance, the magnitude of runoff trends due to ozone changes is relatively small.
4. Discussion
4.1. Scale dependence of relative dominant factors
Investigated further is our finding that at the local scale, climate change is the dominant driver of runoff trends, whereas when integrated globally, the dominant factors are elevated CO2 concentration and LUC. We explore whether compensatory effects of climate change when scaling from local to global scales explain this paradox. The calculated relative magnitude of climate-induced runoff trend (DCLIM) decreases with increasing spatial aggregation, while the relative magnitude of CO2-induced runoff trend (DCO2) increases (figure 7). The decreases in DCLIM is due to a compensation of positive and negative trends of climate-induced runoff between different grid cells (as shown in figure 5(a)), whereas the CO2-induced runoff trends are generally universal and positive (figure 5(b)). This strong dependence of main driver on scale has similarities to findings by Jung et al (2017), but with their analysis in terms of land-atmosphere CO2 exchanges.
Figure 7. The relative magnitude of climate-induced and CO2-induced runoff trends (i.e. DCLIM and DCO2) over different spatial scales of interest. This relative magnitude is calculated for spatial windows of 1 × 1, 2 × 2, 4 × 4, 8 × 8, 16 × 16, 28 × 32, 56 × 48 grid cells, and for all the grid cells over the globe. The longitudinal distance at 45oN is also marked along the x-axis for quantifying the magnitude of the spatial scales. Uncertainty bounds (given as shaded areas) refer to
1 standard deviations.
Download figure:
Standard image High-resolution image4.2. The influence of elevated CO2 concentration and N-cycle interactions
As outlined above, rising atmospheric CO2 concentration influences plants and associated water cycle in two contrasting ways. First, the CO2 fertilization effect changes vegetation structure, stimulates photosynthesis and raises the biomass of C3 plants. This first effect has three consequences: (i) it increases transpiration by raising the number of stomata due to increased LAI; (ii) it increases canopy interception loss due to raised LAI and (iii) soil evaporation decreases due to reduced available energy at the surface. Such changes reduce local runoff. Second, there is the direct physiological effect, causing stomatal closure, (although higher WUE), leading to transpiration decrease and runoff increase. JULES-CN calculate the balance between these two-opposing effect is such that runoff in drylands has decreased, but in wet regions it has increased. Gerten et al (2008) performed a similar analysis with the LPJmL model, which is a C-only model. They found rising atmospheric CO2 levels decreased runoff in some drylands and increased runoff in temperate and boreal regions, which is consistent with JULES-CN. However, LPJmL simulated non-significant trends in runoff over the tropics, which are smaller changes than we predict. Using the ORCHIDEE model (C-only model), Piao et al (2007) found the net effect of CO2 on runoff to be overwhelmed by CO2 fertilization effects (i.e. rather than direct stomata closure effects), and so negative across tropical wet and temperate regions, and thus different to our findings. In addition, using 13 land surface models, Mao et al (2015) found at elevated CO2, for most areas and especially these regions covered by tropical broadleaf evergreen trees and high latitude shrubs, showed decreasing trends in evapotranspiration, whereas dry areas with sparse vegetation showed increasing evaporation. This result is consistent with our findings, since runoff often changes in opposite directions to evapotranspiration (since runoff is equal to precipitation minus evapotranspiration and precipitation shows relatively little change for altered CO2).
In addition to the uncertainty associated with direct and indirect CO2 influences, until recently land surface models have lacked representation of the terrestrial carbon–nitrogen cycle. Terrestrial carbon uptake is modelled as limited by the availability of nitrogen in JULES-CN simulation. Specifically, an ecosystem becomes limited when insufficient nitrogen is available for plants to allocate net photosynthetic to growth, in which case photosynthesis is 'downregulated' to match the available inorganic nitrogen. Nitrogen does not directly affect photosynthetic capacity through leaf nitrogen concentrations, but instead acts indirectly by controlling the biomass and LAI. An increase in nitrogen limitation would generally act to suppress the evaporative fraction and vice versa for a decrease in limitation. In other words, CO2 fertilization is known to be constrained by nitrogen availability (Felzer et al 2009, Norby et al 2010, Zaehle 2013), and therefore models without a coupled C and N cycle may overestimate fertilization-related runoff decreases (Hungate et al 2003, Zaehle and Dalmonech 2011). We compare projections of runoff from JULES-CN (i.e. with carbon–nitrogen interaction processes) and JULES-C model (without carbon–nitrogen interaction processes). We find JULES-C projects a weaker increase in CO2-induced runoff trends over most regions of the world, especially for boreal forest regions, compared to the JULES-CN model (figure 8(b)). This is expected, as JULES-C model projects larger CO2 fertilization-induced runoff decreases, which offsets more runoff increases due to raised stomatal closure. Comparison of figures 8(a) and (b) shows the relative importance of the inclusion of the N-cycle on runoff. We note that our results are specific to the JULES model. We hope our analysis will act as an incentive for other DGVM groups, to determine the impact of new geochemical cycle modelling (and especially the nitrogen dynamics) on land impacts of concern, and in particular runoff.
Figure 8. The influence of elevated CO2 concentration on runoff and N-cycle interactions from the JULES model. (a) Global patterns of modelled runoff trends due to elevated atmospheric CO2 concentration derived from JULES-C model. Black dots denote where the trends are statistically significant at the 10% level. (b) Global patterns of differences in CO2-induced runoff trends between JULES-C model (without carbon–nitrogen interactions; figure 8(a)) and JULES-CN model (with carbon–nitrogen interactions; figure 5(b)).
Download figure:
Standard image High-resolution imageOur projections do have caveats. Our simulations are in 'offline' mode (forced by reanalysis data), hence lacking any land-atmosphere feedbacks in response to changes in land surface configuration (Smith et al 2016); this might modulate future predictions of runoff. Uncertainty remains in representation of several eco-hydrological processes, and including stomatal conductance-photosynthesis coupling and the transpiration response of plants (De Kauwe et al 2013, Swann et al 2016). Land models are known to exhibit strong differences and biases in their aggregation from leaf to full canopy fluxes (Lian et al 2018).
5. Conclusion
We study spatial and temporal variations in runoff at global and local scales during the period 1960–1999. Our advances here are using a land surface model with explicit accounting for nitrogen dynamics, which allows assessment of the effect that this geochemical cycle has on spatial and temporal variations in runoff at global and local scales. We find the JULES-CN model performs well in comparison to measurements, and this provides some confidence in the subsequent factorial analysis of individual drivers. At the global scale, changing runoff has been mainly a consequence of rising CO2 concentration. Rising atmospheric CO2 concentration and LUC make positive contributions to global runoff changes, of +0.18 mm yr−2 and +0.05 mm yr−2 respectively. In contrast, carbon–nitrogen interactions and nitrogen deposition make negative contributions to the global mean runoff trend (–0.03 mm yr−2). The relative roles of aerosol deposition and tropospheric ozone changes are small.
Locally, however, our simulations show the multiple factors instead cause much more diverse contributions to river runoff changes. Climate change is the factor with the absolute largest trends of runoff, covering over 82% of global land area. Note that as the climate change signal is predominantly triggered by increasing atmospheric CO2 concentration, the effect of climate change on runoff can be considered as an indirect effect of raised CO2 concentrations. We can explain the shift of the dominant control for runoff change from climate change at the local scale to the direct effect of the rising CO2 concentration at the global scale. Such scale dependence is due to temporal climate-driven runoff variations compensating as spatial length scales increase. This finding confirms that climate variation not only forces runoff changes locally but additionally and perhaps more importantly, the spatial covariation of climate variables makes the integrated global hydrological response different. This has similarities to the scale-dependent findings of Jung et al (2017), although their analysis is in the context of atmosphere-land CO2 exchange. Despite some drivers having relatively small impacts globally, spatial variation leads to the conclusion that the roles of non-climatic factors, including nitrogen deposition and interactions, LUC, aerosol and ozone changes, must be including when projecting local future changes in the water cycle and climate. Additional drivers, such as direct human intervention (e.g. dams, irrigation) and permafrost process, need routine inclusion in land surface models. We hope that extension occurs for the datasets used in this study, to test if the noted emerging signals have continued during the last two decades. With longer datasets, formal detection and attribution analyses (Allen and Stott 2003) may become possible, enabling deeper understanding of the amplitude of changes induced by each factor, as reflected in observations.
Acknowledgments
We acknowledge NERC National Capability Funding. HY recognizes support from the CSC scholarship, funding a 12 month visit to the UK Centre for Ecology and Hydrology. CH thanks the Newton program CSSP-China for support. LM and SS were supported by the Newton Fund through the Met Office Climate Science for Service Partnership Brazil (CSSP Brazil). The contribution of LM was also supported through the UK Natural Environment Research council through The UK Earth System Modelling Project (UKESM, Grant No. NE/N017951/1).
Data availability statement
The model data that support the findings of this study and the Matlab code are available from the corresponding author upon reasonable request.







