Abstract
In the US, more than 80% of fatal cases of heat exposure are reported in urban areas. Notably, indoor exposure is implicated in nearly half of such cases, and lack of functioning air conditioning (AC) is the predominant cause of overheating. For residents with limited capacity to purchase, maintain, and operate an AC system, or during summertime power outages, the ability of buildings to maintain safe thermal conditions without mechanical cooling is the primary protective factor against heat. In this paper, we use whole-building energy simulations to compare indoor air temperature inside archetypical single-family residential buildings without AC at the start and middle of the century in eight US cities. We ran the models using hourly output from 10 year regional climate simulations that explicitly include heating from mid-century projections of urban development and climate change under a 'business-as-usual' emissions scenario. Moreover, to identify the impacts from evolving construction practices, we compare different versions of building energy standards. Our analysis shows that summertime overheat time may increase by up to 25% by the middle of century. Moreover, we find that, while newer building energy codes reduce thermal comfort under moderate outdoor weather, they perform better under extreme heat.
Export citation and abstract BibTeX RIS
1. Introduction
Documented negative health impacts of acute and prolonged exposure to heat include, but are not limited to, reduced cognitive performance (Simmons et al 2008), heat stroke, exhaustion, and syncope (Dixit et al 1997), cardiovascular and respiratory problems (Pantavou et al 2011, Pyrgou and Santamouris 2018), and reduced sleep quality (Obradovich et al 2017). Under extreme scenarios, heat can result in severe permanent damage to organ systems (Dematte et al 1998) and death (CDC 2017). The US Center for Diseases Control and Prevention identifies heat as the underlying cause of death in more than 8000 cases from 1999 to 2010 in the US While indoor exposure to heat is generally associated with more than 40% of all heat-related deaths (MCDPH 2016, NWS 2016), during extreme events, it is implicated in 50%–80% of mortality cases (Fouillet et al 2006, Cadot et al 2007). In almost all of these cases, lack of functioning mechanical cooling is reported as the cause of exposure to fatal levels of heat (Fraser et al 2016, MCDPH 2016). Summertime power outages, lack of an air conditioning (AC) system (e.g. in climates that generally do not require it), or limited financial resources to maintain and operate the system are typical causes of indoor overheating. Physical and psychological limitations to properly run and maintain the AC system are the other documented causes of indoor overheating (Hondula et al 2015). Because of these implications, part of the building science literature is dedicated to passive survivability of buildings (the ability to maintain safe indoor thermal conditions in the absence of functional AC). The ongoing shift in residential construction practices toward lighter wood-frame buildings with increased window area, evolving energy efficiency codes (Baniassadi et al 2018a, Sailor et al 2019), urban development in harsher climates such as southwest US (Arsenault 1984), warming of urban climates (Mirzaei et al 2012, Mirzaei et al 2015, Mitchell and Chakraborty 2015), and climate change (Rodrigues et al 2013, Dosio et al 2018) are key drivers of this line of research. Despite the significant differences in building and climate characteristics investigated in these studies, their findings can be summarized as follows. First, in climates with high AC prevalence (e.g. Phoenix, AZ) passive survivability of typical residential buildings is poor even under current climates (Nahlik et al 2016, Baniassadi and Sailor 2018). This is attributed to the AC technology itself, which discourages climate-adaptive architecture, and facilitates urban development in harsh climates (Arsenault 1984). Second, unexpected heatwaves in cold climates with low AC prevalence (such as northern Europe or Northwest US) can cause extreme indoor overheating in typical residential buildings (Mavrogianni et al 2012, Pathan et al 2017). Third, the impact of stringent building energy code requirements (e.g. increase in insulation and airtightness) on passive survivability is dependent on the underlying climate, and can potentially be negative (Alam et al 2016, Baniassadi et al 2018a). For example, there is evidence suggesting that regulations in colder European climates increase overheating inside residential buildings during summer (McLeod et al 2013, Ren et al 2014, Pyrgou et al 2017). Finally, a combination of urban warming (Oikonomou et al 2012) and climate change (Mavrogianni et al 2012) is expected to increase indoor exposure to extreme heat in the absence of functioning AC. Despite prior research efforts, there are two important research gaps in the existing literature.
The first gap is the limited knowledge on passive survivability of residential buildings in the US. This is probably due to the fact that more than 87% of residential buildings in this country have some type of AC (EIA 2015), with a higher saturation in hot climates. Nevertheless, as explained earlier, the mere existence of an AC system does not guarantee its proper operation. For example, in Maricopa County, Arizona, 61 (40%) of the 154 heat-related deaths in 2016 were associated with an indoor place of injury, with an AC system present in 85% of them. However, in almost all cases, the system was not functioning due to a system failure (67%) or lack of power (10%). In the rest of the cases (23%), the AC was intentionally turned off because of psychological and economic factors (MCDPH 2016). This is also supported by survey studies (Hayden et al 2011, Hayden et al 2017) that show a considerable portion of population in hot climates (such as Phoenix, AZ or Houston, TX) report feeling 'too hot' inside their homes and/or have heat-related symptoms despite the presence of an AC system. In these surveys, limited financial resources to repair a broken system or pay the electricity bill was implicated as a major factor. In addition to these socio-economic barriers to using AC, there is the risk of large-scale summertime power outages (Nahlik et al 2016, Moslehi and Reddy 2018, Sailor et al 2019) that are projected to increase due to climate change (Panteli and Mancarella 2015, Bartos et al 2016, van Vliet et al 2016, Burillo et al 2017) as well as the increasing vulnerability of energy grids to hacking and cyber-attacks (Xiang et al 2017). The other important factor that makes US an interesting case for this type of study is the population ageing. It is well-documented that age negatively impacts physiological response to heat in addition to reducing the ability to sense heat and take adaptive measures (e.g. opening the windows)(Kenney et al 2014, Kenny et al 2018). On the other hand, it is projected that by mid-century, the fraction of people 65 and older in the US will increase by around 7% (from the baseline of 13.7% in 2012) (Ortman et al 2014). Hence, it can be inferred that even in the absence of other factors (such as climate change or improved resiliency of communities), the US population will become more vulnerable to heat by the mid-century.
The second (and more important) limitation in the published literature is that studies on future overheating risks often do not use reliable climate projections and do not include the impacts from local effects. The reason is that future weather data is often obtained using the 'morphing' approach, which neglects the impacts of urban induced warming, urban morphology, and assumes the same hourly profiles as the historic records (Sailor 2014). Moreover, many of these studies are limited to snapshot years, whereas recorded and projected data suggest that seasonal temperature variations between consecutive years could be of similar magnitude to long term climate trends (Krayenhoff et al 2018).
In this study, we address these research gaps and investigate passive survivability of residential buildings under a changing urban climate in eight US cities. We used whole-building Energy models driven by output from an urbanized regional climate model to capture the effect of urban expansion and climate change on indoor air temperature in archetypical buildings without functional AC. Our results use an urbanized atmospheric model with explicit inclusion of projected urban development as well as dynamical downscaling of projected future climate. This approach represents the state-of-the-art in terms of assessment of interaction between projected future atmospheric conditions and local urban thermal impacts, including interaction between urban development and climate change and associated heatwaves. Because the area of a grid cell is approximately 25 times smaller in our simulations compared to a GCM, the atmospheric conditions forcing the urban temperature in each urban grid cell are more realistic compared to those in GCM modeling of projected future urban climates. To avoid focusing on a single outlier year, we ran simulations for continuous 10 year periods. In addition, we considered different versions of building energy efficiency codes to identify how evolving building regulations in different US climates may affect passive survivability of buildings.
2. Materials and methods
We ran decadal simulations of thermal conditions inside archetypical residential buildings without functional AC for the start and middle century in eight cities (representing eight ASHRAE climate zones). For each city examined, we simulated buildings compliant to 2003 and 2018 International Energy Conservation Codes (IECC), which is the only standard applicable to single-story residential buildings in US at a national level.
2.1. Whole-building energy model
Whole-building energy models are physics-based models that dynamically solve energy and mass balance equations for all spaces within a building (while considering all modes of heat transfer and internal gains) and can be used to study indoor thermal conditions. In this study, we used EnergyPlus, a widely evaluated simulation engine developed and maintained by the US Department of Energy (DOE). EnergyPlus is a state-of-the-art tool used in most studies of indoor thermal comfort in buildings (Mavrogianni et al 2012, Oikonomou et al 2012, Virk et al 2014, Ramakrishnan et al 2016). The model's global energy balance has been validated according to ANSI/ASHRAE Standard 140 (Crawley et al 2001). Recent examples of validation studies by researchers include the work of Zhuang et al (2010) who reported a maximum error in indoor temperature estimates of 8.3%. Moreover, Sailor et al (2019) recently validated the indoor air temperature predictions of EnergyPlus under power outages in apartment buildings in Phoenix, AZ, and Houston, TX.
2.2. Building archetypes
As a common approach in the building science literature (Swan and Ugursal 2009, Caputo et al 2013), we used archetypical building models as representatives of the building stock. According to the Energy Information Agency (EIA 2015), 63% of residential units in US are single-family residential units (figure 1). In the eight cities studied here, single-family detached homes are 2–4 times more common than the next most common residential building type, multi-family apartments (USCB 2017). Notably, they are more common among elderly (<65), who have the highest vulnerability to heat (table 1). Therefore, it was selected as the archetype in this study.
Figure 1. Outline of the single-family detached building archetype.
Download figure:
Standard image High-resolution imageTable 1. Prevalence of single-family detached units in the selected cities by age group.
| Fraction of detached single-family homes (%) | ||
|---|---|---|
| City | Among general population | Among people aged 65 and older |
| Atlanta | 70 | 79 |
| Baltimore | 47 | 53 |
| Boston | 51 | 59 |
| Chicago | 55 | 57 |
| Dallas | 64 | 74 |
| Denver | 62 | 64 |
| Los Angeles | 50 | 63 |
| Phoenix | 68 | 71 |
| Portland | 63 | 68 |
In each city, we simulated buildings compliant to two energy code versions (2003 and 2018) that regulate envelope properties such as insulation level, airtightness, and window properties. We refer to the 2003 IECC building as the baseline and use the 2018 version to show how passive survivability of residential building stock in US is evolving. We ran a separate set of simulations for selected cities of Chicago and Dallas that included buildings with improved passive survivability through a combination of non-regulated passive strategies (PS) and active occupants. More details regarding the building models and EnergyPlus inputs are provided in appendix A.
2.3. Climate data and future projections
EnergyPlus requires outdoor weather variables at an hourly time interval to run (listed in table 2). These data are produced by dynamically-downscaling ensemble member 6 of the CMIP5 Community Earth System Model (CESM) global climate model runs with the Weather Research and Forecasting (WRF) regional climate model (Skamarock and Klemp 2008). Note that CESM approximates the CMIP5 model median in terms of US summertime warming magnitude by mid-late 21st century. The WRF domain encompasses the contiguous US at 20 km resolution, and simulations span two 10 year periods: 2000–2009 (start of the century; SOC) and 2050–2059 (middle of the century; MOC). The WRF model timestep is 60 s, and all climate data for ingestion in EnergyPlus are output at hourly intervals.
Table 2. List of WRF outputs used in EnergyPlus simulations.
| Weather variable | Unit |
|---|---|
| Diffuse horizontal radiation | W m−2 |
| Direct normal radiation | W m−2 |
| Dry-bulb temperature | °C |
| Horizontal infrared radiation | W m−2 |
| Atmospheric pressure | Pa |
| Precipitation | mm h−1 |
| Relative humidity | % |
| Snow depth | mm h−1 |
| Wind direction | degrees |
| Wind speed | m s−1 |
| Cloud cover | tenths |
| Dew point | °C |
WRF is coupled to the single-layer urban canopy model (Kusaka et al 2001) to capture the complex radiation, hydrodynamic (including convection), and heat storage (conduction) impacts of the built environment. Moreover, WRF simulations include dynamic urban growth based on the A2 2060 projection obtained from the Environmental Protection Agency's Integrated Climate and Land Use Scenarios (ICLUS, v1.3.2). Further information on the regional climate model simulations, associated WRF calibration and extensive evaluation can be found in (Krayenhoff et al 2018).
To bracket warming impacts, we considered the RCP 8.5 greenhouse gas emissions scenario (i.e. 'business-as-usual') and selected climate data from the WRF grid square in each city with the largest projected urban development defined by the increase in impervious fraction. Thus, dynamically-downscaled climate data ingested into EnergyPlus includes warming impacts of business-as-usual urban development and greenhouse gas induced global climate change.
2.4. Characterization of indoor thermal conditions
To help interpret the simulation results, we defined three ranges of indoor air temperature. The comfortable range was defined as indoor temperatures below 24 °C, which is the most desired thermostat set-point in residential buildings (EIA 2015). In addition, World Health Organization guidelines state that no heat-related health impact can be expected below 24 °C. Hence, we assumed that an average US household would not require mechanical cooling in this range. The second indoor temperature range (24 °C–28 °C) represents thermal conditions that are not desired but pose no acute heat-related health risk. Nevertheless, there is evidence of reduced sleep quality and shortened REM cycles in this range (Muzet et al 1983, Kim et al 2010). Finally, the overheating threshold of 28 °C was selected based on empirical observations of Klenk et al (2010) and Kim et al (2012) that are specific to elderly populations. In addition, 28 °C is the upper overheating threshold (not to be exceeded for more than 1% of occupied time) in UK guidelines for residential buildings (Porritt et al 2012). The existing body of research on thresholds of indoor overheating is very limited (Anderson et al 2013, Holmes et al 2016). Therefore, there is still no consensus on the exact indoor temperatures above which a strong health signal can be observed. Nevertheless, the main goal of this characterization is to help interpret the results. Our sensitivity analysis showed that at relative humidity levels below 70% (typical range in residential buildings without humidity control (Kubota et al 2009, Baniassadi and Sailor 2018)), the key findings reported here do not change when thresholds are shifted by up to 2 °C (26 °C–30 °C instead of 24 °C–28 °C). Notably, 30 °C was the highest reported threshold in the literature (Stéphan et al 2004, Holmes et al 2016) with respect to heat mortality and acute symptoms of heat exposure in vulnerable groups.
It is well-documented that a high level of relative humidity impacts both thermal comfort and overheating thresholds because it reduces the body's ability to lose heat through perspiration. Therefore, many studies (specially those that focus on comparison between different types of climates) use metrics that also include relative humidity—e.g. discomfort index (DI), wet-bulb globe temperature (WBGT). Since the focus of this study is on the effect of climate change and building characteristics rather than comparing different type of underlying climates, we use dry-bulb air temperature to represent indoor thermal conditions because it is easier to interpret and minimizes the number of assumptions needed (e.g. air velocity assumption in the calculation of WBGT). Moreover, most of the existing thresholds for residential environments are in the form of dry-bulb temperature (such as WHO or CIBSE guidelines). To make sure excluding relative humidity does not change the overall findings of this study regarding the impacts of climate change, urban induced warming, and building characteristics, we used the relative humidity output from EnergyPlus and calculated DI (the average of dry and wet-bulb temperatures) for Phoenix and Atlanta, that are the driest and most humid cities in our set (see appendix A). By doing so, we confirmed that the overall conclusions will be similar regardless of the metric used.
3. Results
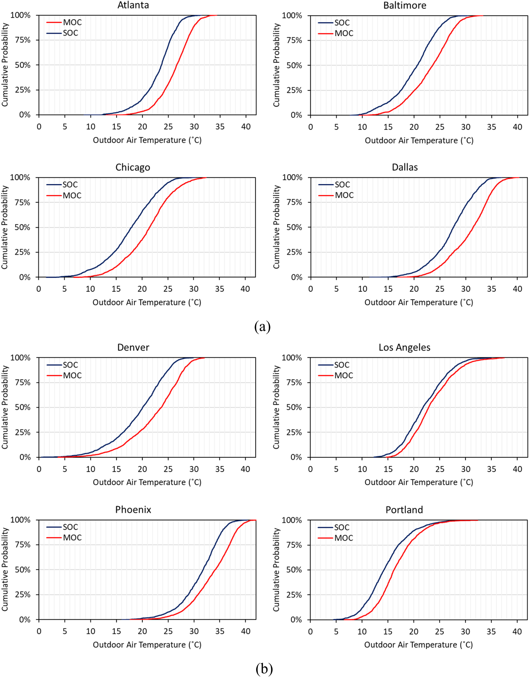
Figure 2 shows the change in average daily mean temperature (June–Aug) from SOC to MOC for all cities (output from WRF). As the data suggest, average daily mean temperature can potentially increase by 2 °C–4 °C in the modeled cities. We used these projections to run EnergyPlus simulations and obtained the corresponding indoor temperature data.
Figure 2. Average daily mean outdoor temperature at SOC and MOC for all cities (output from WRF simulations that was fed to EnergyPlus). For cumulative distribution of temperatures, see figure B1 in appendix B.
Download figure:
Standard image High-resolution imageFigure 3 shows the 10 year cumulative distribution of summertime indoor air temperature for the SOC and MOC in the baseline building, with the three colors showing the temperature ranges described in section 2.4. As the data shows, at the higher end, in Phoenix and Dallas, indoor temperatures hardly remain below 24 °C at both SOC and MOC. More importantly, indoor thermal conditions remain overheated (above 28 °C) for more than half of the modeled period. This highlights poor passive survivability and high dependency on AC even at SOC, which is anticipated to become worse under a changing climate. While the conditions are more moderate inside buildings in other locations at SOC, climate change and urban induced warming significantly reduce overall thermal comfort and increase the overheat time by MOC. Excluding the extremes at both ends (Portland, Phoenix, and Dallas), our simulations show a 15%–25% reduction in times with no need for mechanical cooling (Tindoor < 24 °C) by MOC. Because there are few indoor sources of heat in a typical residential building (as opposed to a commercial building), uncontrolled indoor temperatures follow a diurnal cycle that lags behind the outdoor environment. While the relative temperature amplitude and lag time depend on the building characteristics, temperatures are typically the lowest at night, when there is no radiation load and the ambient temperature is lower (Baniassadi and Sailor 2018). Therefore, the lower percentiles of temperature in figure 3 are mostly associated with night hours. Empirical evidence shows that sleep quality (Kim et al 2010) and REM cycle length (Muzet et al 1983) is dependent on surrounding temperatures, and that the impacts are statistically significant even below 28 °C. Therefore, a main implication of the predicted shift from the comfort range (Tindoor < 24 °C) to discomfort-but-not-overheated range (24 °C < Tindoor < 28 °C) is expected to be on sleep quality. Nighttime exposure to heat is also of consequence because it limits the body's ability to recover from daytime exposure during heatwaves. As a result, heat exposure during night, especially when preceded by a hot day, has a statistically significant effect on mortality; and in particular, among the elderly (Murage et al 2017).
Figure 3. Ten-year cumulative probability of summertime indoor air temperature for the start (SOC) and middle of the century (MOC) in the baseline building. Colors show the temperature ranges introduced in section 2.4.
Download figure:
Standard image High-resolution imageFurthermore, we plotted the percentages of times (during 10 consecutive summers) below the desired cooling set-point of 24 °C (a) and above the overheating threshold of 28 °C (b) for all cities in figure 4. The IECC 2018 code compliant building (referred to as 'new code' in the legend) is also included in this figure for comparison to the baseline building. Notably, as shown in figure 4(a), in all cases the 2018 code has fewer comfortable hours than the 2003 code. For example, in Chicago and Denver, the difference is about 12% at both SOC and MOC. Given the consistency of the results, similar to previous European and Australian studies (Mavrogianni et al 2012, Ren et al 2014, Mulville and Stravoravdis 2016) we infer that, in general, building energy codes that are developed to make buildings more efficient by 'preventing wintertime heat escape', limit the ability of buildings to passively cool through loss of heat via air exchange and conduction through exterior surfaces. However, our findings limit this phenomenon to overall thermal discomfort, nighttime relief from heat, and sleep quality, rather than immediate health risks that are more probable during hotter times of the day.
Figure 4. The percentages of times (during 10 consecutive summers) below the desired cooling set-point of 24 °C (a) and above the overheating threshold of 28 °C (b) for all cities at SOC and MOC.
Download figure:
Standard image High-resolution imageThe increase in overheat time (Tindoor > 28 °C) in baseline buildings from SOC to MOC is 10%–25%. In other words, a combination of climate change and urban intensification will cause building occupants to experience 10%–25% additional overheat time by MOC. Considering the previously cited studies that predict observable cardiovascular implications and increased chances of mortality above this threshold (especially in the elderly), our results indicate that vulnerable groups will be more dependent on mechanical AC at MOC and thus, more vulnerable to equipment and infrastructural (power generation and transmission) failures and energy poverty. More importantly, this can result in an overall increase in AC ownership and use, and contribute to the same mechanisms (climate change through increased carbon dioxide emissions and urban heat intensification through increased anthropogenic heat) that resulted in this increased dependency on AC in the first place. Moreover, unless significant changes in AC efficiency of the building stock or electricity generation fuel mix reduce carbon-intensity of providing mechanical cooling, this positive feedback loop can put a burden on infrastructure and thus, increase the chances of summertime power outages. With respect to impacts from energy codes, in contrast to the 24 °C threshold, the newer code generally mitigates indoor overheating (28 °C <) that usually happens during the peak of the day. In this thermal range, overall heat transfer direction is inward which is the opposite of night hours (Baniassadi et al 2018a). Therefore, more insulation and airtightness result in less heat gain from the outdoor environment and hence, cooler indoor air.
Figure 5 demonstrates the normalized change in envelope properties between the two code versions across all climates, with the (+) and (−) signs indicating increase or decrease in the value of each property. This illustration further supports the observed impacts under different outdoor weather conditions. Across all climates, buildings compliant to the new energy code have considerably higher levels of insulation in ceiling, exterior walls, and floor. In addition, they are less leaky. Hence, in overall, they are more thermally isolated from the outdoor environment than older buildings. This causes them to cool down slower as the ambient temperatures drop during the night. However, during the hotter hours of the day, they do not overheat as much as buildings with inferior envelope properties.
Figure 5. The normalized difference (%) in envelope properties between the two code versions in all climates. The + and − signs indicate increase or decrease in the value of each property, respectively. Window solar heat gain coefficient (SHGC) is the fraction of incoming solar energy that is transferred to the indoor space through windows in the form of heat.
Download figure:
Standard image High-resolution imageTo enable a more complete evaluation of the relative impacts of energy codes and urban warming, figure 6 illustrates the fraction of hours within each temperature range for different building codes for Chicago and Dallas. Here, 'PS' refers to a set of mitigation strategies (thermal mass, high rooftop albedo, operable windows, and exterior window shade) that are not mandated by regulations (see appendix A for model details).
Figure 6. Distribution of time within each indoor air temperature range in both building archetypes in Chicago (a) and Dallas (b) at SOC and MOC. PS refers to mitigation strategies (thermal mass, high rooftop albedo, operable windows, and exterior window shade) that are not mandated by regulations.
Download figure:
Standard image High-resolution imageAs suggested by these data, relative impacts from changing urban climates and building characteristics are highly dependent on the underlying climate. In a sunbelt city like Dallas, the baseline climate is already causing poor passive survivability. Without mechanical AC, there is almost no summertime thermal comfort, and an average building overheats for more than 50% of the time at SOC. Here, since the comfortable time (Tindoor < 24 °C) in the baseline building is relatively small, the reduction from shifting to newer energy codes is also negligible (less than 2%). On the other hand, at higher percentiles of indoor temperature, the newer buildings can reduce the overall overheating by 12%. Nevertheless, this will be more than compensated by the urban warming and climate change that increase the overheat time by 25%. However, a combination of newer building energy code and passive strategies (2018 Code + PS (MOC)) can diminish the effects of these twin forcing agents on urban environments.
In Chicago, which is prototypical of many heating-dominated northern cities, indoor thermal conditions inside an archetypical building is significantly different from Dallas. With 60% comfortable time (Tindoor < 24 °C) and only 6% overheat time (Tindoor > 28 °C) at SOC, passive survivability of an average building is considerably better than Dallas. While urban warming increases overheat time (Tindoor > 28 °C) by 9%, a combination of newer energy code and PS can guarantee that buildings remain below this threshold for more than 99% of the time. This highlights the importance of passive cooling strategies that are often not regulated by building energy codes. A combination of thermal mass (Ramakrishnan et al 2016), reflective exterior surfaces (Baniassadi et al 2018c), natural ventilation, and exterior shade (Mlakar and Strancar 2011) can reverse the impact of climate change on higher percentiles of indoor air temperature. Nevertheless, even in the improved buildings, our simulations show that the comfortable time (Tindoor < 24 °C) will be reduced by approximately 10% by mid-century due to a combination of climate change, urban warming, and more efficient buildings, potentially leading to a an increase in demand for AC systems.
4. Discussion
A study by Gasparrini et al (2017) projects that under the RCP 8.5 scenario, higher temperatures will increase all-cause mortality in North America by 1% by mid-century. These predictions were based on observations and projections of ambient (outdoors) temperature trends. For the large portion of the population (especially the elderly) who spend the majority of their time inside their place of residence, it is not the outdoor exposure that contributes to the projected increase in excess mortality. Rather, the resulting increase in indoor exposure to heat (due to hotter ambient air) increases the risks of heat-related mortality. Our findings suggest that in the absence of a fully-functional AC system, the current building stock of the selected US cities is not resilient to climate change and urban induced warming, meaning that a significant increase in indoor overheating hours can be expected under the business-as-usual scenario. The existing literature clearly associates socio-economic factors (such as income) with indoor exposure to heat (Hayden et al 2011, Hondula et al 2015, Hayden et al 2017, Baniassadi et al 2018b) in cities with high AC prevalence. In such locations, the lower the income, the less the ability to purchase an AC system with proper capacity (i.e. not relying on window units instead of central AC), maintain and repair an existing system, and run it throughout the summer without concerns about electricity cost (i.e. energy poverty). A household survey done by Hayden et al (2011) on 362 Phoenix homes implicated all these factors and showed that more than 30% of the residents 'feel too hot inside their homes' despite having a mechanical cooling system (central or window units). Other than AC functionality, building characteristics (such as the amount of shade from nearby trees, or the structural integrity of older homes) are also often related to income. More importantly, the adaptive capacity to mitigate exposure to indoor heat is also dependent on socio-economic status. For example, social isolation, race, and income determine how an elderly person responds to a summertime power outage or AC failure scenario. Based on all these factors, it can be inferred that while the climate is warming for the entire society, excess indoor exposure to heat due to climate change will disproportionally affect those of lower socio-economic status. Hence, it is important to view the key finding of this study (the considerable increase in indoor exposure to heat by mid-century) as another example of how the adverse consequences of climate change will be mostly felt by the vulnerable groups of a society.
As our results show, it is possible to use interventions on the building side to mitigate the negative impacts of warming urban environment in locations with moderate summers (e.g. Chicago, Denver, Los Angeles). There is also the prospect of more advanced solutions such as passive daytime radiative coolers, dynamic insulation, windows with dynamic properties, smart ventilation systems. These technologies require no or very little power to operate, and thus, are not dependent on the availability and affordability of electricity as well as active occupants. As these technologies mature and become commercially feasible, they can significantly improve the passive performance of buildings. However, we believe that one of the main barriers to implementing such solutions in average US homes is the availability, affordability, and cultural preference of mechanical AC systems. Since mechanical cooling can easily compensate for lack of such climate-adaptive passive strategies, it is unlikely that the residential building construction industry will voluntarily move towards applying them. Currently, the main consideration that drives the slow change in the building stock is reducing energy demand, which in the case of cooling season, is mostly done by increasing system efficiency. The obvious issue with this trend is that mechanical AC is far from a reliable solution that is always available. Therefore, we believe that a large-scale improvement of passive survivability of US residential buildings is only possible through top-down interventions. A first step is the inclusion of passive survivability in building energy codes. This can be done using the same structure and organizations that currently mandate climate-specific characteristics in buildings to reduce energy demand (such as IECC). Affordable housing projects also provide a great opportunity for achieving this target. These buildings are mostly occupied by groups with less adaptive capacity who can benefit more from a passive design. More importantly, affordable housing projects (especially, new constructions) are more feasible targets for top-down interventions than individual homes. Through these interventions, use of the mentioned technologies can be promoted which will also have the benefit of reducing summertime cooling electricity demand in buildings that have AC.
In hotter climates such as Phoenix, AZ, our findings show that interventions on the building side (high-end passive technologies excluded) are not enough to protect residents from indoor exposure to heat in the absence of a fully-functional AC. It can be expected that climate change and urban induced warming will make indoor overheating even more intense. Therefore, in these locations, a more comprehensive suite of strategies is needed. Mitigating urban heat islands and building community resilience (such as heat refugees and support networks) should also be pursued alongside with interventions on the building side.
5. Conclusions
We simulated indoor temperature in archetypical residential buildings in eight US cities under current and mid-century climates. Results suggest that a combination of projected climate change and urban intensification can reduce the comfortable time in buildings that lack AC by up to 25% in climates with moderate summers. Since much of this effect is at night, it will mostly impact sleep quality and the ability to recover from heat during extreme events. Furthermore, in southern locations such as Atlanta, Dallas and Phoenix, the increase in overheating hours (Tindoor > 28 °C) was estimated to be 15%–25%. Based on the existing epidemiology literature, this range is associated with more acute and serious health impacts of exposure to heat such as cardiovascular implications and increased chance of mortality in vulnerable groups.
As the building stock evolves in response to stricter building energy codes, indoor thermal conditions for unconditioned buildings will change in complex ways. During nighttime (and especially in cooler climates), higher insulation and airtightness in more efficient buildings will impede their ability to lose heat, causing them to be hotter than buildings compliant to older energy standards. Conversely, during the peak of the day, newer buildings will perform better. This has considerable implications for energy code developers who need to implement policies that simultaneously improve energy efficiency and passive survivability.
Acknowledgments
This research was supported in part by Assistance Agreement No. 835754 awarded by the US Environmental Protection Agency. It has not been formally reviewed by the EPA. The views expressed in this document are solely those of the authors and do not necessarily reflect those of the Agency. EPA does not endorse any products or commercial services mentioned in this publication. Additional support was provided by Urban Climate Research Center of Arizona State University. ESK, AMB and MG acknowledge support from the National Science Foundation under Sustainability Research Network Cooperative Agreement 1444758 and from SES-1520803. ESK acknowledges Discovery Grant support from the Natural Sciences and Engineering Research Council of Canada. The authors acknowledge support from Research Computing at Arizona State University for the provision of high-performance supercomputing services.
Appendix A.: EnergyPlus inputs
The main living area was 12 m × 9 m. Window to wall ratio for all walls are 15%. All code-regulated envelope properties for exterior surfaces were extracted from IECC for low-rise residential buildings (2003 and 2018). This also included glazing properties for exterior surfaces and infiltration rates. Building properties not regulated by the code (such as occupancy profiles or internal gains) were set based on Building America House Simulation Protocols (Hendron and Engebrecht 2010) developed by National Renewable Energy Laboratory of US DOE that provides a standard frame-work for modeling single-family residential buildings in US All buildings were simulated using EnergyPlus version 8.8 with a 2 min timestep. We modeled the living area as a single zone. Finally, we assumed that interior blinds are fully shut to limit radiation gains and that there are no exterior objects casting shade on the building. Because the PS run included phase change materials (PCMs), we used conduction finite difference heat balance algorithm for all runs. We embedded a PCM layer with an equivalence thickness of 0.01 m, thermal conductivity of 0.2 W m−1 K−1, and specific heat of 1620 J kg−1 K−1 inside with respect to the insulation layer. The phase change temperature was 26 °C and the solid–liquid phase change enthalpy was 130 kJ kg−1. In addition to PCM, PS runs included a rooftop with a higher albedo (0.6), an exterior shade on East and West windows, and active occupants who increase indoor–outdoor air exchange rate by 0.5 ACH through windows when the outdoor temperature is at least 2 °C cooler than indoors. We did not assume active occupants for the baseline runs to reflect scenarios in which more vulnerable occupants are not able to actively open windows due to physical or psychological limitations, security concerns, or noise.
Appendix B.: WRF output
Figure B1 shows the cumulative distribution of outdoor dry-bulb temperature at SOC and MOC for all locations. All other variables can be found in WRF output from Krayenhoff et al (2018) that are available in this public data repository: https://erams.com/map/#wrf_asu.
Figure B1. Decadal cumulative probability of summertime (June–Aug) outdoor air temperature for SOC and MOC in the (a) Atlanta, Baltimore, Chicago, and Dallas (b) Denver, Los Angeles, Phoenix, and Portland.
Download figure:
Standard image High-resolution imageAppendix C.: DI in Phoenix and Atlanta
Figure C1 shows the summertime indoor DI calculated for building in Atlanta (a) and Phoenix (b). The key findings in the study (that were based on indoor dry-bulb temperature) can also be observed using DI. This serves as basis for selecting dry-bulb temperature (the simpler heat metric) in our analysis.
Figure C1. Indoor Discomfort Index calculated for building in Atlanta (a) and Phoenix (b). The bars show the range over summer.
Download figure:
Standard image High-resolution image







