Abstract
Reducing forest loss has the potential to reduce global carbon emissions, but paying countries to do so will only work if activities are targeting areas with rapid deforestation or high threat. As of December 2017, 25 countries reported their benchmark greenhouse gas emissions from forests (‘reference levels’) under the United Nations Framework Convention on Climate Change, with the aim of receiving payments if they end up releasing less or removing more. There remains however a question as to whether the eventual emission trajectories compared to these reference levels represent real emission reductions, as the benchmarks rely on a variety of different methods and limited datasets. To examine whether the forest areas historically associated with significant emissions are targeted in the reference levels, we compared the forest area estimates submitted by seven countries in Asia and the Pacific (Cambodia, Indonesia, Malaysia, Nepal, Papua New Guinea, Sri Lanka, and Vietnam) with forest area estimates using the Global Forest Change v1.4 (GFC) dataset from 2000–2016, processed to closely match national forest definitions. GFC provides standardised tree cover change data based on biophysical characteristics using an extensive collection of satellite images. We found consistent differences, with most countries reporting considerably less forest loss than the GFC-based analysis. These differences are due to the countries’ selection of activities to report, as well as their choice of forest types and land use, defining the forest areas to be monitored. Our study highlights an urgent need to address the gap between the forests monitored by countries and those sources of emissions. The current approaches, even successfully implemented, may not lead to emission reductions, thereby challenging the effectiveness of carbon payments.

Original content from this work may be used under the terms of the Creative Commons Attribution 3.0 licence. Any further distribution of this work must maintain attribution to the author(s) and the title of the work, journal citation and DOI.
1. Introduction
As of end 2017, 25 countries had submitted their benchmark emission levels from forests to the United Nations Framework Convention on Climate Change (UNFCCC) (REDD+ WEB PLATFORM 2017). These benchmarks, called ‘forest reference emission levels’ or ‘forest reference levels’ (hereafter both referred to as ‘reference levels’) are established to assess countries’ performance in activities pertaining to Reducing Emissions from Deforestation and forest Degradation, plus the sustainable management of forests, and the conservation and enhancement of forest carbon stocks (thereafter referred to as REDD+) with the aim of them receiving significant, results-based payments for their emission reductions. However, very few studies have analysed the potential impacts on deforestation or emission reductions based on the contents of these submitted reference levels (Hargita et al 2016, Mertz et al 2018). More attention has been paid to the governance and policy aspects, and recent studies focused on small-scale REDD+ projects between NGOs and communities and their socio-economic impacts in the short term (Mbatu 2016).
Our study aims to assess the effectiveness and impacts of planned activities for reducing or removing emissions from forests by comparing forest areas presented in the reference level submissions (‘country-defined REDD+ forests’) to biophysical forest areas calculated with the Global Forest Change v1.4 (‘GFC’) dataset (‘biophysical forests’) (Hansen et al 2013). REDD+ forest areas are defined and constrained by each country’s scope of REDD+ activities, national definitions of forests, and land use classification. Although the definitions include biophysical parameters as a threshold (e.g. minimum canopy cover), they exclude areas that meet such parameters if the land use class is not forests (e.g. agricultural land). This potentially excludes any remaining forests that had been allocated for other land use but have not yet been cleared (e.g. agricultural concessions) (Carlson et al 2013, Zoological Society of London 2017).
In order to obtain a comprehensive picture of the trajectory of emissions, however, it is necessary to examine biophysical changes on the Earth’s surface, commonly referred as land cover change, as compared to land use change, which is defined by the purpose for which humans use land (e.g. for agricultural or residential purposes) (Lambin et al 2003). The GFC dataset presents time-series analyses of satellite images, and provides tree canopy data (trees are defined as vegetation >5 m in height). The GFC dataset can be used to track changes in forest areas globally in a consistent manner. Here, we processed the GFC dataset to match the biophysical parameters used in each country’s forest definition and how the changes are recorded in calculating the reference levels.
Greenhouse gas fluxes are the results of tree removal, degradation, and regrowth (Baccini et al 2017, Mitchard 2018, Rappaport et al 2018). Therefore, the changes in the biomass of trees within a country are critical for emissions, and land use and forest definitions act to remove a proportion of these trees from consideration, meaning that changes in land use do not always reflect changes in forest areas (Houghton and Hackler 2003, Verburg et al 2011, Houghton et al 2012). Therefore, it is possible that the underlying data for the reference levels do not capture the full emissions from the changes in the biomass. In this study, by using the reference levels submitted by countries in the Asia-Pacific region in 2017, we examined whether submitted ‘Country-defined REDD+ forests’ represent the main source of emissions from tree loss within each county.
2. Data and methods
2.1. Forests under REDD+ (‘Country-defined REDD+ forests’)
Seven countries in Asia and the Pacific region were considered, and their forest areas (‘country-defined REDD+ forests’) were extracted from the reference level submissions to the UNFCCC (‘UNFCCC Submissions’) by the end of 2017 (REDD+ WEB PLATFORM 2017). These are Cambodia (Cambodia 2017), Indonesia (The Ministry of Environment and Forestry, Indonesia 2016), Malaysia (Ministry of Natural Resources and Environment, Malaysia 2015), Nepal (Ministry of Forests and Soil Conservation, Nepal 2017), Papua New Guinea (Government of Papua New Guinea 2017), Sri Lanka (Sri Lanka UN-REDD Programme 2017), and Vietnam (Ministry of Agriculture and Rural Development, Vietnam 2016). All the seven countries went through the technical assessments by the UNFCCC and subsequently modified submissions. For our study, we focused only on ‘Activity Data’ in the UNFCCC Submissions, which contains historical forest area change or deforestation data.
We calculated the changes in country-defined REDD+ forests as a difference between forest areas in 2000 and 2010, except for Cambodia where the applicable national data were available for their reference period starting from 2006.
2.1.1. Scope and definition
In the UNFCCC Submissions, the countries selected which of the five REDD+ activities were to be undertaken (‘scope’), defined what constitutes a forest in terms of minimum canopy cover, tree height and area size, and established whether there are land uses that include trees that are not considered as forests (e.g. plantations) (table 1).
Table 1. The countries’ elected forest definition and their proposed scope for change (summarised from UNFCCC Submissions as of 2017 (please also consult tables S1 and S2)).
| Forest definition | Scope | |||||||||||
|---|---|---|---|---|---|---|---|---|---|---|---|---|
| Minimum | (‘X’ = included) | Reducing emissions | Removal of emissions | |||||||||
| Canopy cover (%) | Tree height (m) | Forest area (ha) | Loss and/or gain area (ha) | Forest plantation | Rubber plantation | Agricultural land (including oil palm) | Deforestation | Forest degradation | Conservation of forest carbon stocks | Sustainable management of forests | Enhancement of forest carbon stocks | |
| Cambodia | 10 | 5 | 0.5 | 25, 5 | X | X | X | X | ||||
| Indonesia | 30 | 5 | 6.25 | 6.25 | X | X | ||||||
| Malaysia | 30 | 5 | 0.5 | 0.5 | Xa | X | ||||||
| Nepal | 10 | 5 | 0.5 | 2.25 | X | X | X | X | X | |||
| Papua New Guinea | 10 | 3 | 1 | 1 | X | X | X | X | X | |||
| Sri Lanka | 10 | 5 | 0.5 | 0.5 | X | X | X | |||||
| Vietnam | 10 | 5 | 0.5 | 0.5 | X | X | X | X | X | |||
aProduction forests in Permanent Reserved Forests (PRF) only.
All countries within our selection, except Malaysia, included ‘reducing deforestation’ in their scope for REDD+. Malaysia elected instead to consider ‘sustainable management of forests’ only, which generally refers to the adaptation of methods to reduce the impact of timber harvesting practices (GOFC-GOLD 2013). Another noteworthy difference between the countries is that some included plantations in their forest definition. Indonesia excluded all types of plantations, while Cambodia and Sri Lanka excluded rubber plantations. Forest plantations were included by all but Indonesia.
2.1.2. Activity data
Within these scope of activities and forest definitions, forest area change (referred as ‘Activity Data’ in the UNFCCC submissions) was estimated. The Activity Data includes the amount of forest area change or deforestation during the historical period selected (‘reference period’), which is used as a benchmark for assessing countries’ performance in implementing the selected REDD+ activities. The reference periods among the seven countries varied from eight to 22 years with the earliest starting year of 1990 and the latest of 2006 (table 2). The number of actual data points in the reference period also had a wide range, from 2 to 23. If a country believes that the historical rate does not reflect the likely changes in the future, adjustments can be made with justifications (Government of Papua New Guinea 2017, Ministry of Agriculture and Rural Development, Vietnam 2016).
Table 2. Reference period, methodology, data, and accuracy for Activity Data.
| Reference period | Method | Data sourcea | Overall accuracy (forest, non-forest) | |
|---|---|---|---|---|
| Cambodia | 2006, 2010, 2014 | Wall-to-wall mapping | LANDSAT | 74% (2006), 85% (2010) |
| Indonesia | 1990, 1996, 2000, 2003, 2006, 2009, 2011, 2012 | Wall-to-wall mapping | LANDSAT, SPOT Vegetation, MODIS | 98% (2011) |
| Malaysia | 1990–2012 | Based on reporting validated with remote sensing data | Annual Reports of the Forest Department; National Commodity Statistic Report | N/A |
| Nepal | 2000, 2010 | Wall-to-wall mapping, stratified area estimation | LANDSAT | 86% (2000), 87% (2010) |
| Papua New Guinea | 2001–2013 | Systematic sampling | LANDSAT 7 and 8, Google Earth, Bing Maps | N/Ab |
| Sri Lanka | 2000, 2010 | Wall-to-wall mapping, stratified area estimation | LANDSAT, GFC | 75% |
| Vietnam | 1995, 2000, 2005, 2010 | Wall-to-wall mapping | LANDSAT, SPOT 4 and 5 | 95% (2010) |
| GFC v1.4 | 2000–2016 | Direct change detection with automatically pre-processed satellite data | LANDSAT | 99.5%–99.8% (2000–2012) |
aNot including the data used for training or validation purposes. bPapua New Guinea conducted the accuracy assessment for the 2015 map (89%).
In generating Activity Data, the commonly used method is wall-to-wall mapping and detecting changes by comparing classified maps (e.g. Cambodia, Indonesia, and Vietnam) (table 2). This method, however, can lead to substantial errors because each map inevitably contains some errors, which will be compounded when comparing two maps to detect changes (FAO 2018). In correcting the effects of classification errors, two countries (e.g. Nepal and Sri Lanka) used a stratified area estimation approach, which distributes a sample of reference data in a stratified manner based on the classes. The disadvantage of this method is that statistically derived area estimates may no longer match with the areas on maps (FAO 2018). Papua New Guinea is the only country that used a systematic sampling method, which is more transparent, as samples are distributed in a non-stratified manner, but it requires a large number of samples to achieve reliable results (FAO 2018). The highest overall accuracy rates in mapping were reported by Indonesia (98%) and Vietnam (95%) and the lowest by Cambodia (74%) and Sri Lanka (75%). Forest gain data had much lower accuracy rates with 68% by Nepal and 9% by Sri Lanka (Ministry of Forests and Soil Conservation, Nepal 2017, Sri Lanka UN-REDD Programme 2017).
Based on the Activity Data, the reference level is calculated with emission factors in tonnes of CO2 equivalent per hectare per year (‘forest reference emission levels’), or net emissions (‘forest reference levels’, which include removals). From this, payments can be calculated if future monitoring suggests a positive deviation from the reference levels. Therefore, excluding certain activities or the way in which forests are defined affects the reference level, and future carbon payments significantly. For example, a decline or increase of plantations in Indonesia will not affect their performance in emission reductions, but the loss of natural forests will matter greatly; while in Malaysia loss of any forests other than their target production forests is not relevant to potential carbon payments.
2.1.3. Estimating forest area for the study
Indonesia selected only deforestation in the scope of REDD+, therefore we estimated the forest cover by calculating the forest gain from the GFC v1.4 dataset using the national definition for minimum change area (table 3). Indonesia’s loss for 2010 was estimated by using the average of 2009 and 2011 loss data, as deforestation data were not provided for 2010. Papua New Guinea reported there was no forest gain during the reference period. The loss data for Papua New Guinea were directly estimated from the figure 7.4: Deforestation occurred in PNG 2000–2013 (PNGFA Collect Earth Assessment) (Government of Papua New Guinea 2017). Sri Lanka reported forest loss and gain between 2000 and 2010, but chose not to report the forest areas estimated in constructing the reference level. Therefore, we used the 2010 forest area reported in the Forest Resource Assessment 2015, and applied loss and gain data from the UNFCCC Submission to estimate the forest area for 2000 Forest Resources Assessment Programme (FAO) 2015, Sri Lanka UN-REDD Programme 2017).
Table 3. Biophysical parameters and forest types for country-defined REDD+ forests. Indonesia’s forest gain data were supplemented from GFC for the study.
| Minimum | ||||||||
|---|---|---|---|---|---|---|---|---|
| Canopy cover (%) | ||||||||
| Cover and loss | Gain | Tree height (m) | Forest area (ha) | Loss and/or gain area (ha) | Forest plantation | Rubber plantation | Agricultural land (including oil palm plantations) | |
| Cambodia | 10 | 5 | 0.5 | 25 (2006–2010), 5 (2014) | Forest | Not forest | Not forest | |
| Indonesia | 30 | 50 (GFC)a | 5 | 6.25 | 6.25 | Not forest | Not forest | Not forest |
| Malaysia | 30 | 5 | 0.5 | 0.5 | Forestb | Not forest | Not forest | |
| Nepal | 10 | 5 | 0.5 | 2.25 | Forest | Forest | Not forest | |
| Papua New Guinea | 10 | n/a (no gain) | 3 | 1 | 1 | Forest | Forest | Not forest |
| Sri Lanka | 10 | 50 | 5 | 0.5 | 0.5 | Forest | Not forest | Not forest |
| Vietnam | 10 | 5 | 0.5 | 0.5 | Forest | Forest | Not forest | |
aOnly deforestation estimates were reported in the UNFCC submission, thus we supplemented with forest gain from GFC using the national definition (see section 2.2.3). bProduction forests in Permanent Reserved Forests (PRF) only.
A few countries used different minimum area size from their forest definition when detecting the changes: Cambodia used a minimum mapping unit (MMU) of 25 ha for 2006/2010 and 5 ha for 2014 and Nepal used a 2.25 ha MMU in detecting changes in country-defined REDD+ forests, while both countries used 0.5 ha for the minimum forest area (table 3). For Indonesia, Papua New Guinea, and Sri Lanka, we assumed that the countries used the same minimum forest area size to detect changes, which is 0.5 ha for all except Papua New Guinea (1 ha). It should also be noted that the minimum tree height for Papua New Guinea was 3 m, while others were 5 m.
2.2. GFC-based forest areas (‘biophysical forests’)
In estimating biophysical forest areas, the GFC v1.4 dataset was processed to match the forest definitions for minimum canopy cover, minimum area, and minimum mapping areas for change detection in the reference levels (table 4). The GFC dataset defines trees as all vegetation taller than 5 m in height and directly detects changes on land cover using an extensive collection of pre-processed Landsat satellite images. Using hierarchical classifiers (‘decision tree’), tree canopy cover (for the year 2000), (for the year 2000) are produced in 30 m Landsat pixels with high accuracy (>99.5% for loss and gain at tropical and subtropical climate domain scales) (Hansen et al 2013). While loss is provided per annum, gain is reported as a total for the 2001–2012 period and considered as pixels where tree cover increases to >50% canopy cover.
Table 4. Biophysical parameters used to extract biophysical forest areas using the GFC dataset.
| Minimum canopy cover (%) | Minimum area (ha) | ||||
|---|---|---|---|---|---|
| Forest cover and loss | Gain | Minimum tree height (m) | Forest | Change (loss and gain) | |
| Cambodia | 10 | 50 | 5 | 0.5 | 5 |
| Indonesia | 30 | 50 | 5 | 6.25 | 6.25 |
| Nepal | 10 | 50 | 5 | 0.5 | 2.25 |
| Papua New Guinea | 10 | 50 | 5 | 1 | 1 |
| Sri Lanka | 10 | 50 | 5 | 0.5 | 0.5 |
| Malaysia | 30 | 50 | 5 | 0.5 | 0.5 |
| Vietnam | 10 | 50 | 5 | 0.5 | 0.5 |
Similar to country-defined REDD+ forests, a difference between forest areas in 2000 and 2010 was calculated, except for Cambodia, where the difference was calculated between 2006 and 2010. Cambodia used two different MMU (25 ha for 2006/2010 and 5 ha for 2014) in detecting the changes in their forests. However, in processing the GFC data, we used a 5 ha MMU for Cambodia throughout the respective period to measure the changes consistently. Due to the tree height definition in the GFC dataset, the 5 m minimum height was assumed for all seven countries including Papua New Guinea, which selected 3 m in the UNFCCC submission. However, as the tree height definitions were used as assumptions rather than actual measurements in both cases, we don’t believe this difference has any notable impact in estimating forest cover.
2.2.1. Tree cover
Forest areas for the year 2000 (2006 for Cambodia) were calculated from treecover pixels, which were required to satisfy the minimum canopy cover requirement, and be connected to other pixels with sufficient canopy cover so as to form a patch of forest larger than the minimum area size (figure 1). The contiguity constraint was applied with a country-specific pixel area calculation, and with pixels connected diagonally (queen’s move) included as a single patch of forest.
Figure 1. Calculation of biophysical forest areas using tree cover, loss and gain from the GFC dataset (see figure S1 for more information).
Download figure:
Standard image High-resolution image2.2.2. Tree loss
For each year thereafter we recalculated forest areas based on the loss of previously forested pixels (figure 1). Loss was recorded in cases where pixels that previously met each country’s forest definition were identified as a forest loss for each year from 2001–2016. Treecover pixels were still required to meet the minimum forest area or change area condition, thus loss was also recorded in locations where forests became fragmented to the extent that a forest patch was too small to meet this requirement. In these cases, an area of forest loss was only counted where the contiguous area over which a forest disturbance was recorded was larger than the minimum change area specification.
2.2.3. Tree gain
Increases in tree cover are reported by GFC as a total for the period 2001–2012. We therefore calculated the total forest area gain for this period and allocated it uniformly over the measurement period. In a similar manner to losses, forest area increases were subject to minimum forest area as well as a minimum change area requirements, and gains were included in cases where forest patches that previously didn’t meet the minimum area requirement increased in size to meet the minimum area size. In cases where the GFC dataset reported a gain at a location that was already recorded as tree cover, pixel areas were not included as part of the gain area. Where both losses and gains were reported at the same location, the gains were assumed to have occurred following loss, so pixels were included in both gain and loss area accordingly (figure 1).
2.3. Data availability
GFC data were processed in Python, making particular use of numpy, scipy and gdal libraries. All data and code that support the figures are available; on publication these will be uploaded to an open data repository (See supplementary material, available online: stacks.iop.org/ERL/14/024015/mmedia).
3. Results and discussion
3.1. Changes in forest area between 2000–2010
Figure 2 shows the changes in forest areas defined in the UNFCCC submissions (‘country-defined REDD+ forests’) and biophysical forest areas using the GFC dataset (‘biophysical forests’) in each country from 2000–2010. The decreases in biophysical forest areas were more than reported changes in country-defined REDD+ forests, with the exception of Sri Lanka. The differences are most stark for Malaysia and Vietnam, where country-defined REDD+ forests increased in area through the time period, while their GFC-based forest areas decreased.
Figure 2. Were forests gained or lost? Changes in country-defined REDD+ forests versus biophysical forests in seven countries between 2000–2010 (except for Cambodia 2006–2010, as the applicable national reference period starts in 2006). Biophysical forests refer to GFC data processed according to the national definitions included in the UNFCCC definitions (see section 2.2). See tables 3 and 4 for the parameters used in the calculation.
Download figure:
Standard image High-resolution imageThe main reasons for differences relate to the type of forests included, the methods used to map forests and forest change, and the type of change processes included. We will consider each in turn.
3.1.1. Area compared
Country-defined REDD+ forest area is less than biophysical forest area in most countries (figure 3, Nepal and Cambodia are the only exceptions). This is because a biophysical forest definition (based on minimum tree cover percentage, height, and area size) will include trees in non-forest land use areas, such as plantations, agricultural land or settlement areas with trees (table 1, figure 3). This could explain the difference of loss in Indonesia for example, where the proportional difference between the rates of loss broadly corresponds to the differences in the area of forests compared (figures 2 and 3). However, some countries show unexpected results: Sri Lanka has more forest loss in country-defined REDD+ forests than the changes in biophysical forests; and Nepal and Cambodia have larger areas in country-defined REDD+ forests than biophysical forests would predict. In all cases, however, this is likely due to differences in mapping methodology, for which see below.
Figure 3. How much forest is included in reference levels as compared to biophysical forest areas? Forest areas for the year 2000 from the national UNFCCC Submissions are shown, and compared to those calculated from the GFC dataset using national definitions as per their UNFCCC Submissions (see section 2.2). For Cambodia 2006 is used to match the first year of their reference level. Biophysical forests refer to processed GFC data (see section 2.2).
Download figure:
Standard image High-resolution image3.1.2. Mapping methods and accuracy
No mapping methods are free from errors (table 2) (Olofsson et al 2013). The GFC dataset’s overall accuracy using the direct detection method are 99.6% and 99.7% for loss and gain respectively, while the countries selected different mapping methods and the resulting overall accuracy varied significantly from 74% to 98%. For example, Nepal and Sri Lanka used a stratified area estimation method and achieved relatively low accuracy rates (table 2). Especially for Sri Lanka, the accuracy rates for loss and gain were 79% and 9% respectively (UNFCCC 2018). Cambodia’s biophysical forest area in 2006 was estimated with tree cover in year 2000, adjusted with gain and loss data using a 5 ha MMU, while the country-defined REDD+ forests were based on wall-to-wall mapping.
3.1.3. Processes included
The changes in biophysical forest areas using the GFC dataset are blind to the process of change: it is looking at the net change in forest cover over the period, with forest as defined nationally based on canopy cover and minimum area size. However, the dataset includes processes that would under national definitions not be deforestation or reforestation. For example, both the clearance and growth of trees within plantation areas are included in the GFC-based biophysical forests, but not in country-defined REDD+ forests. This likely explains the large difference in change data in Vietnam (figure 2), whose UNFCCC submissions show net forest gain over the 2000–2010 period, when plantations in the country were expanding, while the change in biophysical forests show a large loss as deforestation continued and trees in plantations were harvested (figure 2). This is partially exacerbated by Vietnam’s decision to include plantations with tree crop shorter than 5 m, increasing the rate at which forest gain appears to occur. Malaysia shows a similar difference, with its reported net gain largely due to the exclusion of deforestation in the scope of REDD+ activities, and limiting it solely to production forests, which have increased in area over that decade.
One might assume that the differences in change data caused by the harvesting and replanting of plantations would stabilise with time: if the area harvested each year is the same as the area of plantation that reaches the required canopy cover and height threshold, then the impact of plantations on the net change in biophysical forests will be zero, matching country-defined REDD+ forests data. However, as trees are long lived, even in tropical plantations, and planting tends to happen in spurts of a few years related to national programmes and incentives, it may be that such an annual balance of planting and harvesting never occurs. This is further complicated because detecting forest gain in satellite data is much more challenging than the abrupt change in forest loss: therefore the GFC dataset includes only a single layer for gain, stating that an area became forested at some point in the range 2000–2012, meaning our gain data is smoothed compared to the annual loss data; further the gain from the GFC data only detects gains as occurring when trees reach a 50% minimum canopy cover, higher than the thresholds for loss. All plantations will reach this threshold long before harvest, so again this will not ultimately change the net number, but it may be another reason for differences between GFC-derived change in forest areas and national figures.
3.2. The rate of change
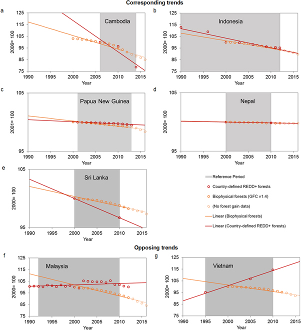
We further analysed changes in country-defined REDD+ forests in each country’s reference period against the annual changes in biophysical forests from 2000–2016, in order to look for trends with time and assess the decisions related to the period chosen by each country (figure 4). It is clear that rates of forest area change vary considerably depending on where the reference period starts and stops; for example had Cambodia’s reference period ended in 2010 rather than 2014, the annual average deforestation rate would be 0.9% instead of 2.9%.
Figure 4. Comparing the rates of change in country-defined REDD+ forests versus biophysical forests, where forest areas in 2000 are indexed at 100, except for Cambodia (2006 is indexed at 100) and Papua New Guinea (forest area in 2001 is indexed at 100), as their reference period starts after 2000. The ‘Linear’ lines are the best fit straight lines representing the data in linear regression. After 2012, biophysical forest areas were calculated with forest loss only (shown dashed lines), due to the availability of forest gain data stopping in 2012. Biophysical forests refer to processed GFC data (see section 2.2). See tables 2 and 4 in the method section for the parameters used in calculation.
Download figure:
Standard image High-resolution imageCambodia’s acceleration in deforestation in 2014 is not just related to the period chosen however: its MMU for forest was changed from 25 ha in 2010 to 5 ha in 2014, created a potential bias toward a higher average rate, as more deforestation was captured (the impacts of different MMUs are discussed further in section 3.3). While this was addressed in the quality assurance stage in the UNFCCC Submission (Cambodia 2017), the resulting trend appears very different from that of biophysical forest areas using annual data.
Sri Lanka, like Cambodia, shows a relatively larger decline in country-defined REDD+ forests, based on very few data points (just two). We have already discussed the potential issues with Sri Lanka’s forest change data (figure 2) and low mapping accuracies, but the difference is large and the tendency here is to predict more loss than in biophysical forest area change.
Indonesia, Nepal and Papua New Guinea in contrast all have a strong correspondence between trends in the two datasets (in contrast to the area based data displayed in figure 2). Indonesia has chosen to use a very long reference period, including the high rates of forest loss from the late 1990s (figure 4(b)) (Margono et al 2014). This choice potentially allows Indonesia to claim larger emission reductions against their baseline than if they had chosen a shorter period. At the same time, higher loss rates in country-defined REDD+ forests than in the entire country’s forests may indicate that the vulnerable forest areas were effectively targeted for their national REDD+ implementation (Indonesia selected natural forests for REDD+, which is about half of their biophysical forests. See section 2.1).
Malaysia and Vietnam, as previously shown in figure 2, have opposing trends of change between country-defined REDD+ forests and biophysical forests (figures 4(f)–(g)). Their biophysical forest areas show a consistent annual decline of tree cover over the reference periods. The large area of agricultural land with tree cover in Malaysia (e.g. oil palm or rubber plantations), much of which were planted long before 2000 and thus may have been in the cycle of harvesting from 2000 onwards, may be responsible for some of the difference. However, such impacts would not be sufficient to explain the consistent net decline between 2000–2016. More research is urgently needed to isolate plantation and natural forest changes in these countries. However, it is clear that the limited scope and forest area chosen by Malaysia will mean that even if their UNFCCC submissions are implemented in full, REDD+ in these countries will not mean that forest loss is reduced.
3.3. Impact of the minimum area size choice for change detection
Our analysis also indicated that the choice of minimum forest change areas (‘MMU’) produce sizable differences in reported forest area change. In the UNFCCC Submissions, four countries used MMUs larger than 0.5 ha (table 1), and three countries used MMUs larger than the forest definitions under the Marrakech Accord (0.05–1.0 ha) (UNFCCC 2002). The common reasons given for using larger MMUs are to avoid errors at the single pixel level, or to allow manual visual interpretation of satellite images (Ministry of Forests and Soil Conservation, Nepal 2017). Cambodia and Nepal detected changes using MMUs of 5–25 ha and 2.25 ha respectively, as compared to the minimum area of 0.5 ha used for their forest definition. Indonesia and Papua New Guinea selected 6.25 ha and 1 ha as their minimum forest areas respectively.
We estimated that the impacts of these minimum areas in four countries using the GFC dataset (figure 5). By 2012, loss rates were higher by as much as 40% when using a 0.5 ha MMU. This shows the importance of MMUs, particularly for Nepal where the almost half of total forest loss by area is in polygons smaller than 2.25 ha. These differences result in one million ha of additional forest loss by 2016, which if included would change their reference levels. This suggests a divergence between the reference levels and biophysical reality: the trees are still lost, whether within large or small areas, but are only counted for REDD+ if the area is above a certain threshold size. While this lack of inclusion in reference level does not directly bias payments in the favour of the countries, using similar methods during the implementation of REDD+ could allow small or even medium-scale forest loss to continue without any penalty. It should be noted that we assume such changes are not correctly quantified under the degradation heading—all countries considered here except Malaysia and Sri Lanka do include forest degradation in their scope, but their methods for submitting reference levels and monitoring degradation mean there is a good chance forest clearance events smaller than the MMU would not be accounted for.
Figure 5. Change in forest area under different minimum mapping units (see table S3 for numbers used in the comparisons) in four countries where the countries used large MMUs (>0.5 ha) to detect changes or to define forest areas. In all cases these are compared to 0.5 ha. After 2012, forest areas were calculated with forest loss only (shown dash lines), due to the limited availability of forest gain data (2000–2012).
Download figure:
Standard image High-resolution imageFigure 6. Annual changes in forest areas using the consistent forest definition across the countries from 2000–2016 (GFC v1.4). After 2012, forest areas were calculated with forest loss only (dashed lines), due to the limited availability of forest gain data (2000–2012).
Download figure:
Standard image High-resolution image3.4. Changes in forest area under the uniform forest definition
Lastly, we analysed the rate of forest area change for all countries under the uniform forest definition using the GFC dataset: 10% minimum canopy cover and 0.5 ha for minimum forest area and change area (figure 6).
All seven countries show a declining trend of forest areas, with the largest decline in Malaysia until 2002, and then Cambodia thereafter. By 2012, forest areas were reduced by more than 12% in Cambodia and 9% in Malaysia, followed by Indonesia and Vietnam with 5%–6% loss, with some recent evidence of slowing deforestation in Indonesia, relative to the other three countries. While most of the forest areas were retained in Sri Lanka, Papua New Guinea, and Nepal between 2000–2012, Papua New Guinea showed an increasing deforestation trend, especially after 2014 (figure 6). The consistent net loss over the long term is an alarming evidence of emission trajectories in all the countries.
4. Implications
Accurately mapping changes in forest cover is essential for understanding the carbon fluxes from tropical forests to the atmosphere (Mitchard 2018). Arguably of more importance however is the use of such data to set up reference levels for REDD+, in order to predict what would happen to forest area without intervention, and to quantify what has happened in reality following such intervention. If there are biases in the setting of reference levels, caused not just by the use of inappropriate or poorly analysed data, but also by decisions relating to forest and process definitions, MMU, and included land use types, then REDD+ will inevitably be less successful at reducing the rise in atmospheric greenhouse gases.
The annually updated GFC dataset (Hansen et al 2013) has given us independent and high resolution (30 m) data to map changes in biophysical forest areas, and we here have used this to assess the reference levels contained in the UNFCCC submissions of seven Asian countries. We have found significant differences in the size, and even direction, of changes in forest areas between the GFC dataset (processed to use national definitions), and the country-defined REDD+ forests.
The decisions made as to the duration and starting date of the reference period of these countries clearly impacts the resulting reference levels (Mertz et al 2018). The availability and quality of data were the main deciding factor in selecting the reference period rather than considerations of accuracy, economic development and drivers. In many cases we have found reference levels appear to underestimate forest change, which poses less of a risk for overclaiming future emissions reductions, but the mismatch still suggests that the drivers are not identified or targeted well in the reference levels. In the case of Cambodia and Sri Lanka, it appears that their reference levels overstate forest loss, resulting in the potential for overclaiming emissions reductions in the future (figure 4).
Furthermore, the selection of activities could pose risks of missing emissions: for example, not including ‘forest degradation’ in scope can lead to a perverse incentive to allow the degradation of forests to at least partially replace deforestation, in order to assist with achieving the stated goal of reducing deforestation. Clearly this leakage from deforestation to degradation would greatly reduce the benefits of REDD+, though we must emphasise that we have no evidence it is occurring in any of these selected countries. Nevertheless, a case can be made for including as many activities as possible, while keeping monitoring at low cost (e.g. sample based). The reported figures would still have large uncertainties, but at least the removal of trees would be more likely to be quantified, however and wherever it occurred.
A limitation of our study relates to forest change in plantations, the effect of which we cannot quantify as no open maps of plantation area exist for these countries. Our total forest change (including both losses and gains) will inevitably be higher than national datasets, which tend to exclude changes related to harvesting cycles (Hansen et al 2014, Tropek et al 2014). Future work on independently assessing reference levels would greatly gain from countries releasing spatial data on national land use classes.
A further, and associated, limitation relates to mapping forest gain, which is in all our analyses uniformly allocated from 2001–2012. More and better forest gain data is desired, and could improve future iterations of this study. However, this would be unlikely to fundamentally change our results, as most of the countries studied experienced far more loss and very little gain according to the UNFCCC Submissions.
Based on the findings of our study, we believe that the process of identifying trends and drivers of forest loss should start with detecting changes at the biophysical level, without initial exclusions based on land use classes. Since the UNFCCC Submissions are typically led by a government department for the forestry sector, there may be limitations in investigating forest loss or identifying remaining forests in other land use class. Allowing countries to define forests within certain guidelines is of course reasonable, but when combined with decisions on the inclusion of production forest and a free rein on deciding which land use classes will be included, and then mapping them, countries can make decisions that will greatly impact their reference levels. The level of freedom currently allowed as regards areas to be included in REDD+ creates a mismatch between countries’ potential achievements in REDD+ and emission reductions from forests. It may be that the production of an independent reference level, based on general assumptions, and encouraging countries to justify why their baseline differs from it significantly, could be a useful step. We also stress that in order to achieve protection for all standing trees, it is important to utilise small MMU (certainly less than or equal to 1 hectare) for defining forest and forest change.
Acknowledgments
KN has been supported by the Japan Student Services Organization’s postgraduate scholarship for overseas education. EM was supported by a NERC grant NE/P008755/1 and ERC Starting Grant FODEX. SB has been supported by NERC grant NE/P008755/1. The GFC data were provided under a Creative Commons Attribution 4.0 International License courtesy of Hansen/UMD/Google/USGS/NASA. The study benefited from comments and input from Peter A Iversen. KN would like to thank Matthew Hansen from the University of Maryland and his research group for hosting her during a month-long research visit in 2018, where she became familiar with the GFC data and had many interesting discussions. We also thank anonymous reviewers for their comments, which significantly improved the paper.








