Abstract
Low productivity cattle ranching, with its linkages to rural poverty, deforestation and greenhouse gas (GHG) emissions, remains one of the largest sustainability challenges in Brazil and has impacts worldwide. There is a nearly universal call to intensify extensive beef cattle production systems to spare land for crop production and nature and to meet Brazil's Intended Nationally Determined Contribution to reducing global climate change. However, different interventions aimed at the intensification of livestock systems in Brazil may involve substantial social and environmental tradeoffs. Here we examine these tradeoffs using a whole-farm model calibrated for the Brazilian agricultural frontier state of Mato Grosso, one of the largest soybean and beef cattle production regions in the world. Specifically, we compare the costs and benefits of a typical extensive, continuously grazed cattle system relative to a specialized soybean production system and two improved cattle management strategies (rotational grazing and integrated soybean-cattle) under different climate scenarios. We found clear tradeoffs in GHG and nitrogen emissions, climate resilience, and water and energy use across these systems. Relative to continuously grazed or rotationally grazed cattle systems, the integreated soybean-cattle system showed higher food production and lower GHG emissions per unit of human digestible protein, as well as increased resilience under climate change (both in terms of productivity and financial returns). All systems suffered productivity and profitability losses under severe climate change, highlighting the need for climate smart agricultural development strategies in the region. By underscoring the economic feasibility of improving the performance of cattle systems, and by quantifying the tradeoffs of each option, our results are useful for directing agricultural and climate policy.
Export citation and abstract BibTeX RIS

Original content from this work may be used under the terms of the Creative Commons Attribution 3.0 licence.
Any further distribution of this work must maintain attribution to the author(s) and the title of the work, journal citation and DOI.
1. Introduction
What happens in the Brazilian agricultural frontier, particularly in the transition between the Amazon and the Cerrado biomes, is globally relevant. This region contains a large share of the world's tropical forests, water and biodiversity, as well as untapped potential for agricultural production through intensification [1, 2], thus having direct implications for the world's climate and food security [3]. Despite recent significant growth in the productivity of livestock production systems in Brazil, the greatest environmental challenge in the Amazon and Cerrado is the continued prevalence of low productivity cattle ranching, linked to high greenhouse gas (GHG) emissions, land cover change, land abandonment, and low farm incomes [4–6]. Climate change adds complexity to these issues; uncertainty exists as to whether it will exacerbate low pasture productivity (e.g. through the lengthening of the dry season) or rather have the opposite effect (e.g. through carbon fertilization, an increase in photosynthesis due to higher levels of carbon dioxide in the atmostphere [7–12]).
The state of Mato Grosso, a hotspot of large-scale agricultural expansion in Brazil, is located on the fringe of the largest remaining forest area in the world. It currently ranks first in the production of cotton, maize, soybean, and beef cattle in Brazil, with the largest share of its agricultural area being dedicated to cattle pastures [13]. After exhibiting some of the highest cumulative rates of deforestation and land degradation in the country in the early 2000s [14, 15], Mato Grosso saw a substantial decrease in deforestation in the late 2000s largely due to stricter enforcement of existing environmental legislation, an increase in protected areas, and the introduction of private commitments to reduce deforestation within soybean and cattle supply chains [16–18]. However, since 2012, deforestation in the Legal Brazilian Amazon has increased, with Mato Grosso alone accounting for 19% of the total area deforested in 2016 [19]. Although the reasons for this recent uptick are not yet fully understood, agricultural expansion may have contributed to it as deforestation in Brazil has largely been associated with agricultural expansion [20].
To enable further reductions in deforestation, the Brazilian Government has been supporting the intensification of agriculture in already deforested lands through research, capacity building and credit provision. The achievement of GHG reduction targets established in the Brazilian National Policy for Climate Change (NPCC) [21] and in the Brazilian Intended Nationally Determined Contribution [22] relies greatly on the adoption of agricultural intensification practices, including those based on increased input use (e.g. more mineral fertilizer), improved management (e.g. rotational grazing) and/or the conversion of low-productivity pasture to productive pasture and cropland [23].
Traditionally, the intensification of beef cattle production has happened via the replacement of native pastures and low productivity cultivated grasses by higher yielding forage grass cultivars, as well as the implementation of rotational grazing [24]. However, in the late 2000s, the government increased research efforts geared toward examining the potential of integrating crops into pasture areas as a more cost-effective strategy to restore degraded lands [25–27]. The Brazilian Plan for Low Carbon Agriculture ('ABC Plan'), launched in 2010 as part of the NPCC, set a target for expanding integrated systems by four million hectares, expecting to avoid the emission of 8–22 million tons of carbon dioxide equivalent by 2020 [28].
To date, few studies have attempted to quantify and compare the impacts of integrated systems vis-à-vis other farming systems in the region [29]. One challenge is the limited number of farms that have adopted the same system consistently over time, which inhibits statistically robust analysis. Modeling simulations and life cycle assessments have been used to estimate the impacts of improved cattle systems on climate and land use in Brazil [30–32], but did not investigate the economic and environmental impacts of each system under different stocking rates or future climate scenarios. Without such a comprehensive comparison between different agricultural systems, intensity levels, and sensitivity to climate change, it is difficult to infer about their relative, long-run advantage or identify which practices can contribute the most to the sustainability and resilience of food production under climate change.
Using a whole-farm model of a representative medium-size farm in Mato Grosso, we assessed the comparative advantages of an extensive cattle system with continuously grazed pasture (EXT), a cattle system with rotational grazing (ROT), an integrated soybean-cattle system (ICL) and a specialized soybean production system (SOY). For each system, we analyzed profitability and GHG and nitrogen emissions under different climate scenarios and stocking rates, as well as energy and water use at their economically optimal stocking rate. Based on these indicators, we assessed the systems' relative performance and highlighted major tradeoffs associated with each of them.
2. Material and methods
2.1. Agricultural systems
The three agricultural systems analyzed as alternatives to traditional extensive cattle production cover a range of intensification strategies currently present in Mato Grosso state. Rotational grazing involves fencing off relatively small sections of pasture and rotating the cattle frequently through each lot to prevent overgrazing and optimize biomass production. This technology typically involves greater labor intensity and up-front investments in fencing but does not require mechanization. Integrated soybean-cattle systems are a type of integrated crop-livestock production that involves rotating a small proportion of the pasture area through a single sowing and harvesting of soybeans, followed by re-sowing the pasture for grazing. This process increases organic matter availability and soil fertility rates, ultimately leading to increased pasture productivity [27]. Because it involves the establishment of a commercial cropping system (with associated inputs and machinery), this technology is thought to be substantially more complex and costly than rotational grazing. While ICL still represents a small share of the state's agricultural area, its adoption in Mato Grosso is growing fast aided by the loans provided through the ABC Plan as well as intensive research and demonstration efforts by the Brazilian Agricultural Research Corporation (Embrapa) [33]. The last system considered is specialized soybean, as this is the most important crop cultivated in Mato Grosso in terms of area (9.3 million hectares in 2016) and is expected to grow further [13].
2.2. Model description
We applied the Integrated Farm System Model (IFSM), a descriptive bio-economic whole-farm model developed by the United States Department of Agriculture [34]. IFSM provides a process-level simulation of crop and pasture growth and development, harvest, feeding, animal performance and manure handling. Production systems are simulated over multiple years of daily weather to predict farm performance, economics and environmental impacts. Environmental impacts include farm-gate life cycle assessments of GHG emissions, energy use, reactive nitrogen losses and water use. IFSM projects the total carbon fixed through photosynthesis and the emission of CO2 through plant (i.e. autotrophic) and soil (i.e. heterotrophic) respiration based on the CENTURY and DAYCENT models [35].
We considered the performance of each agricultural system over a 10 year period for a medium-size farm (2000 ha) representative of Mato Grosso's agricultural context [36]. To implement ROT and ICL, we adjusted the parameters of EXT. Changes included the inclusion of fencing costs, increased wages, higher pasture yields, shorter cattle growth periods (i.e. higher daily weight gain), as well as the application of synthetic fertilizer to soy cultivation within ICL (see supporting information—table S1 available at stacks.iop.org/ERL/13/064025/mmedia). For the ICL system, we also considered the use of crops as feed, the application of manure as fertilizer for crops, and the effect of residual fertilization from the crop rotation on grass yield. These resulted in further adjustments in the pasture quality and utilization efficiency, which increased grass productivity (kg DM ha−1). Finally, for the SOY system, we assumed labor wages and fertilization application rates equal to those of ICL. All parameters were based on primary data collected by the authors in Mato Grosso over 2013–2015 via farmer and expert consultation [37] as well as prior experimental work by Embrapa throughout the state [38, 39].
2.3. Climate scenarios
Agricultural systems were simulated both under current climate conditions (2010–20) and two mid-century climate scenarios (2040–50). The climate scenarios are based on Representative Concentration Pathways (RCPs), climate pathways developed as a basis for long-term and near-term modeling experiments. We considered RCP 2.6 and RCP 8.5, which represent an optimistic and a pessimistic potential climatic pathway, respectively [40]. RCP 2.6 assumes GHG concentrations increasing to 502 parts per million (ppm) by 2050, whereas RCP 8.5 assumes 541 ppm. Projections were averaged over the four climate models from the Coupled Model Inter-Comparison Project—Phase 5 [41] that best represent central Brazil climate in historical simulations (i.e. HadGEM2-ES, MIROC5, MRI-CGCM3 and NorESM1-M).
Compared to current climate, both RCPs 2.6 and 8.5 show higher annual average temperatures, mostly driven by higher minimum temperatures. Concerning precipitation, RCP 8.5 is associated with lower rainfall, longer and more pronounced dry seasons, as well as greater daily variation. RCP 2.6 shows only slightly higher precipitation compared to current levels. Additional tests conducted with the RCP 8.5 data using the criterion of longer time-periods [42] showed a decreasing trend in the length of the rainy season in soybean regions until 2050, particularly in southern Mato Grosso (see supporting information).
Figure 1. Annual farm-level economic return of different agricultural systems at varying stocking rates. Top panel: current climate conditions. Middle panel: climate conditions by 2050 (RCP 2.6). Bottom panel: climate conditions by 2050 (RCP 8.5). 'CO2-eq' refers to GHG emissions measured as carbon dioxide equivalent and 'HDP' refers to human digestible protein. The curves start at the point where each system shows positive returns, ending shortly after marginal returns become negative. ICL has the highest stocking rates and economic returns of all cattle systems at their economic optimum; ICL also benefits from increased temperatures and carbon fertilization in RCP 2.5, but the profitability of all cattle systems falls below that of SOY in RCP 8.5.
Download figure:
Standard image High-resolution image2.4. Indicators
We assessed five economic and environmental indicators to compare the performance of the agricultural systems considered (below). We accounted for all production stages up to the point where final products would leave the farm (not considering impacts associated with the transportation of these products to a processing facility, distribution to the market, their consumption or disposal).
- Profitability: Difference between production costs (i.e. equipment, facilities, energy, labor, seed, fertilizer, feed and livestock expenses) and revenues (i.e. income from animal and grain sales). For the three cattle systems, profitability is calculated for different stocking rates.
- Food production: Systems may involve different products such as crops and animals, thus being hard to compare. An option is to do it according to food energy content (e.g. calories). However, this fails to account for the quality of the calories (i.e. protein vs. fat) and whether they can be digested by humans. Instead, we adopted the concept of human digestible protein (HDP) [43], calculated by multiplying soybean and beef production by protein content and digestibility (see supporting information). We also compared agricultural systems based on their productivity per unit of land, both in terms of HDP and energy (Mcal).
- GHG emissions: Include ammonia, methane, nitrous oxide, and carbon dioxide emitted from animals, manure, the production of feed and other inputs, plant and soil respiration, as well as fuel combustion.
- Nitrogen emissions: Includes on-farm sources (i.e. ammonia, leaching and runoff, nitrous oxide, fuel combustion) as well as emissions occurring during the manufacture or production of resources used on the farm.
- Water use: Reflects blue water use, i.e. water from ground and surface sources. As grey water use (the volume of freshwater required to assimilate the load of farming related pollutants) was not considered, the predicted water consumption is most useful for evaluating the relative differences obtained through management changes [34]. Blue water included drinking water for the animals and any irrigation water used in the production of feed, seeds and other inputs. As irrigation is not common in Mato Grosso, it was not used in our simulations.
- Energy use: Total fossil-based energy required to produce the feed, beef and crops, including fuel and electricity used directly in the production system, as well as the energy used to produce electricity, purchased feed, fertilizers, and chemicals.
3. Results
3.1. Economic performance
Under current climate, ICL showed the highest economic return among the four systems when operating at its economically optimal stocking rate, followed by SOY (figure 1). The higher economic return of ROT and ICL versus EXT was largely a function of increased pasture productivity (due to residual fertilization from the soybean crop in ICL and optimizing sward height in ROT), which led to higher cattle productivity and stocking rates. The profit maximizing stocking rates for EXT, ROT, and ICL were at 1.3, 3.5 and 5.8 animal units/ha, respectively, confirming the large potential of improved management for beef cattle intensification in the region [5, 44]. For ICL, cattle productivity was also improved through increased supplemental feed consumption, but the effects of improved pasture productivity played a larger role in increasing the stocking rate (forage yield was over 3.5 times higher in ICL than in EXT). ICL profits were also substantially less sensitive to fluctuations in soybean and cattle market prices than profits from specialized soybean (SOY) and specialized cattle production (EXT and ROT) (see supporting information—figures S3 and S4).
Under RCP 2.6, ICL fared the best of all the strategies we examined in IFSM in terms of profitability. However, in general all cattle systems were less negatively impacted in RCP 2.6 than specialized soybean, which conforms to existing understanding of their respective climate vulnerabilities in the Amazon (extreme heat is thought to be the main source of stress for crops, whereas pastures are mostly affected by precipitation and soil moisture [45]). In RCP 2.6, SOY incurred a 12% loss in productivity, while pasture productivity increased by 8% as a consequence of carbon fertilization and its interaction with precipitation and temperature. Due to higher pasture productivity in RCP 2.6, the economically optimal stocking rates of EXT, ROT and ICL increased to 1.5, 4.3 and 6.6 animal units/ha, respectively. The net return of all livestock systems increased by 15–18%.
Table 1. Food production per unit land of each agricultural system under current climate conditions, RCP 2.6 and RCP 8.5. Results are presented as per hectare productivity, both in terms of HDP and Mcal (million calories).
| Protein (kg-HDP ha−1) | Energy (Mcal ha−1) | |||||||
|---|---|---|---|---|---|---|---|---|
| EXT | ROT | ICL | SOY | EXT | ROT | ICL | SOY | |
| Current climate | 38.0 | 110.6 | 298.7 | 625.6 | 644 | 1876 | 4867 | 9800 |
| RCP 2.6 | 42.1 | 138.2 | 362.3 | 547.7 | 714 | 2344 | 5890 | 8581 |
| RCP 8.5 | 25.3 | 36.8 | 217.2 | 522.8 | 429 | 624 | 3515 | 8191 |
The benefits to pastures highlighted above did not persist under the combination of increased temperatures and reduced rainfall predicted by RCP 8.5. All systems suffered substantial losses in productivity and profitability. EXT's economically optimal stocking rate dropped to less than 1 animal unit/ha and although still viable, ROT and ICL became less profitable since their economically optimal stocking rates decreased to 1.2 and 3.5 animal units/ha in response to lower pasture yields and higher external feed requirements. The net return of EXT, ROT and ICL fell by 94%, 84% and 56%, respectively. ICL's greater economic resilience (smaller losses in profits) to extreme climate change in RCP 8.5 was due to its higher forage productivity and lower reliance on external feed inputs relative to EXT and ROT.
3.2. Food production per land
SOY is the most productive system in terms of protein and energy production per land, followed by ICL, ROT and EXT (table 1). Per gram of food produced, meat has less HDP and less energy than soybean (in both cases, approximately half) [43]. Per hectare, however, this relationship is different, with SOY being about four times more productive in terms of HDP and two times more productive in terms of energy under current climate. Under RCP 2.6, SOY is still more productive, but the difference between SOY and ICL diminishes due to the effect of moderate climate change on each system (positive for ICL and negative for SOY). Under RCP 8.5, SOY becomes relatively more productive again, since ICL's productivity suffers proportionally more than that of SOY.
3.3. GHG emissions
SOY had the lowest emissions per HDP among the four systems under every climate scenario considered. Although the yields of SOY suffered from climate change, the emission intensities of livestock systems were still an order of magnitude higher due to their lower HDP production and greater methane emissions from the animals.
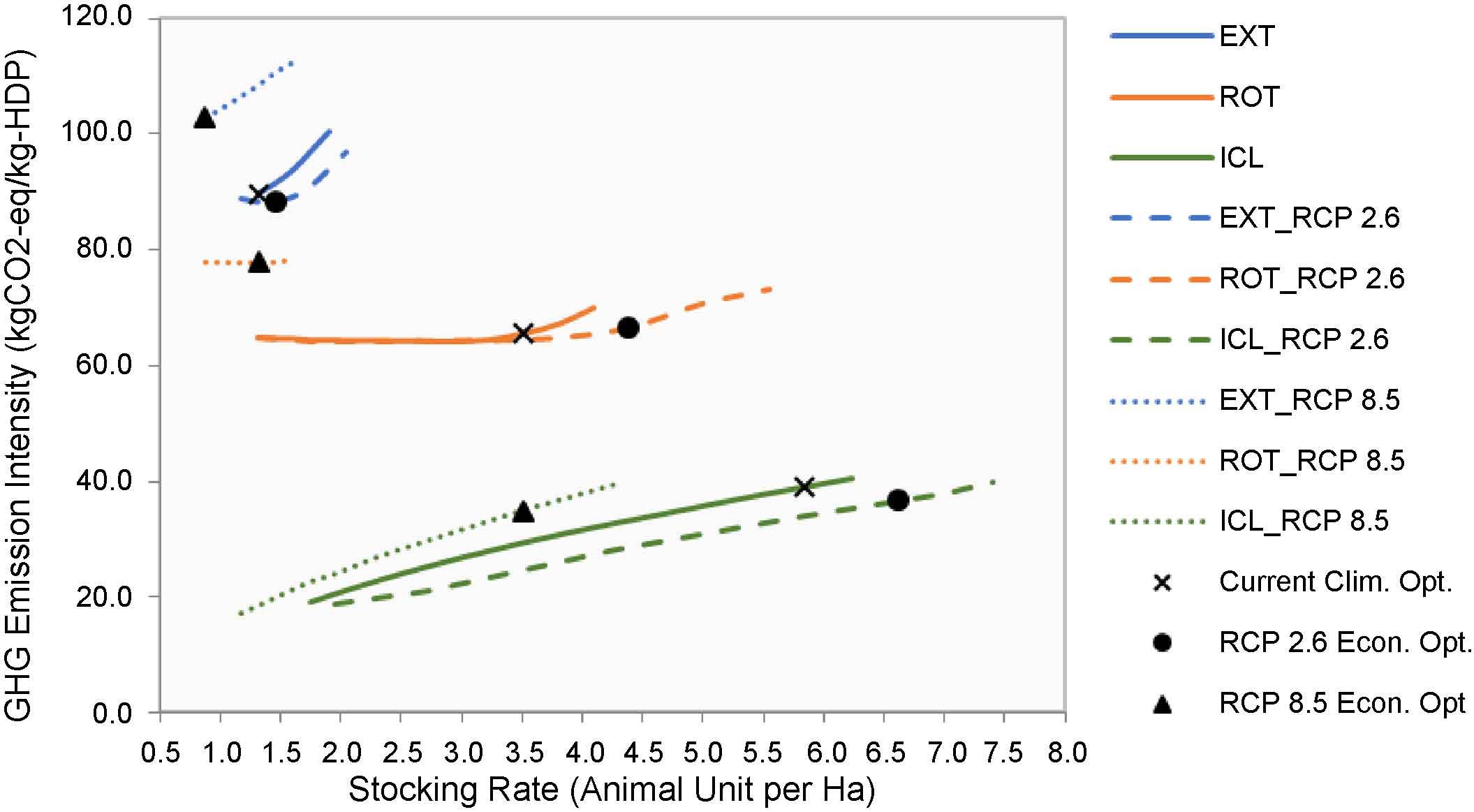
At higher stocking rates, emissions per HDP increased for all cattle systems (figure 2) due to higher demand for externally produced feed and associated GHG emissions. EXT exhibited the highest emission intensity, followed by ROT (which showed a greater pasture yield and thus required less feed purchase) and ICL (which had an even greater pasture yield than ROT and produced more HDP). All cattle systems exhibited lower GHG emission intensity under RCP 2.6, but suffered under RCP 8.5, with ICL showing the lowest increase in GHG emissions per HDP. Notably, the economically optimal stocking rates (figure 1) did not correspond to the lowest GHG emission intensity for each system, highlighting a clear tradeoff between profitability and emissions per HDP produced.
Figure 2. GHG emission intensity of different agricultural systems under varying stocking rates. Solid lines: current climate conditions. Dashed lines: climate conditions by 2050 (RCP 2.6). Dotted lines: climate conditions by 2050 (RCP 8.5). The curves cover the same stocking rate range shown in figure 1. The symbols '×', 'o' and '∆' correspond to the economic optimal stocking rate of each system under current climate, RCP 2.6 and RCP 8.5, respectively. The levels of emission intensity of SOY were 2.05, 2.34 and 2.45 kgCO2-eq/kg-HDP under current climate, RCP 2.6 and RCP 8.5. All livestock systems show increasing GHG emission intensity with increasing stocking rates, but emission intensity decreases under RCP 2.6.
Download figure:
Standard image High-resolution image3.4. Nitrogen, water and energy
Reactive nitrogen loss differed across systems, with ICL exhibiting the highest nitrogen emissions of all systems (both absolute and per-HDP) due to its higher stocking rates and associated manure production levels (figure 3). Under current climate, leaching to ground water was the most important source of nitrogen loss except in the case of ROT, where atmospheric ammonia emission was the leading source. Among the cattle systems, ROT had the lowest nitrogen emissions per HDP due to its lower fertilizer requirement relative to ICL, as well as its higher productivity relative to EXT. The crop-grass rotation presented in ICL reduced the system's reliance on inorganic fertilizers for further yield gains, due to the ability of the leguminous soybean crop to increase nitrogen availability to the plants.
Figure 3. Environmental indicators of different agricultural systems when operating at the point of maximum economic return. Bars indicate absolute values (left axis), whereas yellow dots indicate relative values (right axis). Top panels: current climate conditions. Middle panels: climate conditions by 2050 (RCP 2.6). Bottom panels: climate conditions by 2050 (RCP 8.5). Left panels: nitrogen emissions. Middle panels: energy use. Right panels: water use. 'HDP' refers to human digestible protein, 'TJ' refers to tera joule and 'Mton' refers to million tons. SOY performs best across all three environmental indicators on a per-HDP basis. The per-HDP nitrogen, energy, and water impacts of the EXT and ROT cattle systems increase substantially under RCP 8.5.
Download figure:
Standard image High-resolution imageUnder current climate and the economically optimal stocking rates, SOY had the highest absolute, but lowest per-HDP energy use. EXT and ROT had the lowest absolute energy use. As ICL required more inputs than ROT, ICL's absolute energy use levels were higher. However, per HDP, ICL had a similar energy use to the other two cattle systems. The least intensely managed systems (EXT and ROT) showed the lowest absolute water use. Yet, water use per HDP was lower for ICL and SOY.
Because EXT and ROT suffered the greatest productivity losses under climate change, their per-HDP nitrogen, energy, and water impacts in RCP 8.5 increased dramatically. In contrast the nitrogen, energy, and water impacts stayed fairly constant for ICL and SOY under both RCPs 2.6 and 8.5.
4. Discussion
4.1. The tradeoffs of agricultural intensification strategies
The agricultural strategies examined here differed substantially in terms of their social and environmental impacts (figure 4). When it comes to balancing high economic returns with low levels of climatic and economic risk, ICL emerged as the best option. Apart from the lowest energy use per HDP under current climate, EXT showed few benefits. Continuous soybean production had the lowest nitrogen and GHG emissions per HDP but lower per-hectare income than ICL.
Figure 4. Standardized scores of the relative performance of each agricultural system across the five environmental and economic indicators. The maximum score corresponds to: highest per hectare income; lowest GHG emission intensity (kg-CO2-eq/kg-HDP); lowest nitrogen emissions (kg-N/kg-HDP); lowest energy use (MJ/kg-HDP); and lowest water use (kg/kg-HDP). 'HDP' refers to human digestible protein. Top: current climate conditions. Center: climate conditions by 2050 (RCP 2.6). Bottom: climate conditions by 2050 (RCP 8.5). SOY and ICL perform best under severe climate change, while the per unit nitrogen, energy, and water impacts of EXT and ROT increase substantially under RCP 8.5.
Download figure:
Standard image High-resolution imageTradeoffs between climate mitigation, food production, and income resilience indicated no clear winner in terms of 'climate smart' management for the Brazilian Amazon. At the farm level and in the short-run, continuous soybean production has the fewest environmental impacts per unit of food produced. However, it is neither feasible nor desirable across the entire region. First, soybean production can likely only be grown in an estimated 14.2 million hectares of unprotected tropical forest in the Amazon due to slope and soil limitations, of which two million hectares could be cleared legally [17]. Second, a landscape of a single product would lead to high vulnerability to market and weather fluctuations. Third, the metrics analyzed here do not fully capture the detrimental effects of monoculture production on soil fertility, pest incidence or other factors related to crop production resilience [46–49]. These issues could be reduced by incorporating crop rotations and conservation set asides to balance nutrient requirements and break pest cycles. ICL's high nitrogen emissions could be addressed by adjusting the timing of fertilizer applications or cultivation of cover crops [50].
ICL, on the other hand, has greater impacts on reactive nitrogen, energy, and water per HDP than SOY, but is a major improvement to conventional cattle ranching, particularly under climate change. Moreover, by improving pasture productivity and farm income, it can help address persistent poverty and land degradation across much of the agricultural regions in the Amazon [6]. Thus, a mix of specialized crop production and integrated crop-livestock systems may be optimal to balance social and environmental concerns in the region. At the landscape scale it may be prudent to reforest pasturelands that are not suitable for crop production (i.e. SOY or ICL), given the low economic and environmental performance of EXT and ROT under climate change.
4.2. The value and limitations of whole-farm modeling in Mato Grosso
Farms in Mato Grosso vary widely in size, soil types, and distance from supply chain infrastructure and markets, among other factors. For instance, the sizes of livestock farms in the state range from less than 1 ha to greater than 2500 ha [36]. It is therefore challenging to extrapolate system level outcomes from a single farm model—or from a limited number of field trials—to more aggregate levels. Economies of scale associated with capital and labor will be of particular importance for generalizing the per-hectare profitability from a single modelled farm size to all farms, especially in the case of SOY and ICL. Additionally, farms located in more remote regions without paved roads may incur substantially higher input costs and lower farm-gate prices than the average prices used here. This analysis is most representative of the medium and large farms that occupy a vast majority of the agricultural area in the state and typically produce mechanized crops and beef cattle. Roughly 75% of the livestock area in the state is operated by farms that are larger than 1000 ha. Our analysis is likely not representative of the large number of small farms in the region that produce a wide range of annual crops and livestock (more than 80% of farms in the state are smaller than 1000 ha [36]).
Whole-farm models are essential for predicting environmental outcomes from different management practices in the absence of widely replicated controlled field experiments [51, 52]. Our study rigorously examines both social and environmental outcomes for different cattle and cropping strategies in the Amazon across a range of stocking rates and climate scenarios. By offering insights into other soy and cattle frontiers in South America with similar land use contexts and intensification needs—including other states in the Brazilian Amazon, the Cerrado, and Gran Chaco regions—it can contribute to effective agricultural credit policies by better informing estimates for lenders [53] and payments for environmental service schemes [5, 54]. Whole-farm modeling is a useful way of synthesizing existing scientific understanding of the impacts of different agricultural practices to assess tradeoffs and identify solutions that meet particular social and environmental goals [55]. By identifying potentially promising management strategies, whole-farm models can inform the deployment of additional experimental studies and field campaigns to understand under which conditions the benefits of such strategies hold. Finally, whole-farm models are critical to future larger-scale modeling efforts used in policy analyses that do take into account feedbacks between individual farms, the market and the environment [56]. Developing, improving and comparing whole-farm models for Mato Grosso is particularly relevant given the importance of the state as a global food supplier, the rapidly changing nature of its local agricultural frontiers, as well as model-specific sensitivities.
The economic analysis provided here did not include conversion costs associated with different management options. These could influence the relative economic feasibility of each agricultural system in the short-term, especially if the area is degraded [30]. However, such information would add extra uncertainty given the wide range of existing capitalization (fences and machinery) present on extensively managed cattle ranches. Our analysis also neglects potential long-term effects of different management practices, such as susceptibility to pests or soil compaction associated with high stocking rates.
Additionally, there is little agreement in the literature concerning the magnitude of carbon fertilization and its effect on crops and pastures, especially in tropical regions and when combined with other environmental changes [57, 58]. Even though our results are in line with previous studies highlighting the non-linearity of the effect of higher CO2 concentration on plants [12], these factors could affect the positive outcomes obtained for RCP 2.6 in terms of grass productivity.
The applicability of each system and the relevance of their tradeoffs are context-dependent. For example, ICL may help restore soil fertility if implemented in degraded areas but will be constrained in areas considered marginal for arable crop production. Besides the shift from specialization to diversification, it would be worth examining the environmental and economic benefits of different configurations of crop-livestock integration (e.g. production mix, land share of each activity, rotation frequency, etc.) in specific geographic contexts.
Finally, the pursuit of sustainability in agriculture requires a radical rethinking of food systems rather than only incremental changes to existing ones [59, 60]. While this study highlighted the potential tradeoffs and relative advantages of different agricultural systems at the farm level, it did not deal with broader questions that permeate the debate on intensification, such as competition between food, feed and fuel production, or indirect land use change that may stem from land allocation choices.
4.3. Final remarks
Current interventions aimed at agricultural intensification and low-carbon agriculture in Brazil are being pursued without rigorous examination of their tradeoffs relative to existing systems and other intensification strategies. Our analysis can shed light on some of these tradeoffs and guide the adoption of complementary management measures and related policy incentives that may help increase each system's potential benefits. Here we examined the performance of two types of improved cattle ranching strategies—rotational grazing and integrated crop-livestock system—vis-à-vis conventional extensive ranching practices and continuous cropping, by adjusting types of crop and livestock rotations, supplementary feeding practices, and soil amendments occurring within the whole farm. Among the systems with livestock, the integrated soybean-cattle system showed higher food production and lower GHG emissions per unit of human digestible protein, as well as increased resilience under climate change (both in terms of productivity and financial returns).
The impacts of different intensification strategies depend on many institutional, socioeconomic, policy and technical factors, especially in Mato Grosso due to poorly defined property rights, a diversity of environmental landscapes, and actors with different cultural backgrounds, risk profiles and sources of utility [61, 62]. Identifying ways to promote the diffusion of specific agricultural practices based on farmers' unique attributes and constraints is a necessary complement to spatially representative bio-economic studies. Only then will it be possible to accurately account for the potential tradeoffs, synergies, and scalability of complex agricultural systems.
Acknowledgments
We are grateful for the support provided by the National Science Foundation (Grant no. 1415352). The lead author would also like to thank Aart van den Linden from Wageningen University for valuable comments.



