Abstract
Central Asia has been rapidly changing in multiple ways over the past few decades. Increases in temperature and likely decreases in precipitation in Central Asia as the result of global climate change are making one of the most arid regions in the world even more susceptible to large-scale droughts. Global climate oscillations, such as the El Niño–Southern Oscillation, have previously been linked to observed weather patterns in Central Asia. However, until now it has been unclear how the different climate oscillations act simultaneously to affect the weather and subsequently the vegetated land surface in Central Asia. We fit well-established land surface phenology models to two versions of MODIS data to identify the land surface phenology of Central Asia between 2001 and 2016. We then combine five climate oscillation indices into one regression model and identify the relative importance of each of these indices on precipitation, temperature, and land surface phenology, to learn where each climate index has the strongest influence. Our analyses illustrate that the North Atlantic Oscillation, the East Atlantic/West Russia pattern, and the Atlantic Multi-Decadal Oscillation predominantly influence temperature in the northern part of Central Asia. We also show that the Scandinavia index and the Multivariate ENSO index both reveal significant impacts on the precipitation in this region. Thus, we conclude that the land surface phenology across Central Asia is affected by several climate modes, both those that are strongly linked to far northern weather patterns and those that are forced by southern weather patterns, making this region a 'climate change hotspot' with strong spatial variations in weather patterns. We also show that regional climate patterns play a significant role in Central Asia, indicating that global climate patterns alone might not be sufficient to project weather patterns and subsequent land surface changes in this region.
Export citation and abstract BibTeX RIS

Original content from this work may be used under the terms of the Creative Commons Attribution 3.0 licence.
Any further distribution of this work must maintain attribution to the author(s) and the title of the work, journal citation and DOI.
Introduction
Central Asia is one of the most arid regions in the world with a large fraction of the population relying directly on agriculture and pastoralism, making these people especially vulnerable to drought (Reyer et al 2017). The land surface of Central Asia has experienced tremendous changes over the last three decades both as a result of human impacts and due to a changing and variable climate. The predominant human driven change was the fundamental transformation of agricultural systems across large swaths of the land surface as a result of the collapse of the Soviet Union between 1991 and 2000 (de Beurs et al 2015, Lioubimtseva et al 2015, de Beurs and Henebry 2004), followed by a period of recovery (Lioubimtseva et al 2015, Lioubimtseva et al 2013). The area is still affected by land degradation as a result of abandonment in some areas (Tüshaus et al 2014), as well as a result of salinization in other regions (Sommer et al 2013). Climate models are predicting increases in temperature and decreases in summer precipitation in the western part of Central Asia (Lioubimtseva 2015, Lioubimtseva et al 2015) with slight increases in winter precipitation in the eastern, more mountainous regions (Lioubimtseva et al 2015, Hu et al 2016). In fact, increases in temperature and decreases in precipitation are already evident, especially in the western part of Central Asia (Lioubimtseva et al 2015, Hu et al 2016), making the region increasingly prone to droughts (Barlow et al 2016). For example, the hot summer of 2010 provides an example of a 'mega-heatwave,' occurrences which are predicted to increase by a factor of 5–10 (Barriopedro et al 2011). This particular heat event at least partly resulted from a strong deficit of January to July precipitation, and the resulting lack of water availability exacerbated the strength of the heat wave (Barriopedro et al 2011). While the major heat dome was located north of Central Asia, Kazakhstan was affected by increased temperatures, breaking summer heat records.
We have defined land surface phenology as the spatio-temporal pattern of the vegetated land surface as observed by synoptic sensors (de Beurs and Henebry 2004, de Beurs and Henebry 2005, Henebry and de Beurs 2013). We have previously shown that land surface phenology metrics can be used to demonstrate the effect of large scale institutional changes (de Beurs and Henebry 2004), as well as changes resulting from climate impacts (e.g. de Beurs and Henebry 2010). In Central Asia, land surface phenology has been linked with climate and winter, spring and summer precipitation have been shown to be strong drivers of the land surface phenology (Kariyeva et al 2012, Kariyeva and van Leeuwen 2011). Temperature was shown to affect spring and peak vegetation timing, and higher temperatures were linked to a decrease in vegetation productivity (Kariyeva et al 2012). Temperature was also found to be a main driver for mountainous vegetation variability as well as vegetation variability on irrigated lands (Dubovyk et al 2016). Some have argued that the relative importance of climatic variables and land management practices should be analyzed in more detail (Dubovyk et al 2016).
Large scale climate oscillations have been demonstrated to correlate directly with both temperature and precipitation, which, in turn, influence land surface properties such as land surface phenology (Hurrell 1995, Barlow et al 2002, Syed et al 2006, Deser et al 2012). We have previously shown that fluctuations in land surface phenology in the northern hemisphere can be linked significantly to the Northern Atlantic Oscillation as well as the Arctic Oscillation (de Beurs and Henebry 2010, de Beurs and Henebry 2008). In addition, we earlier demonstrated that the North Atlantic Oscillation (NAO) significantly impacts the land surface in the northern portions of Central Asia (Wright et al 2014), being at least partly responsible for the 2010 heat wave that significantly affected agricultural production. Some have argued that this heat wave and the coinciding major flooding that occurred in Pakistan were meteorologically connected (Lau and Kim 2012).
Several studies have identified significant effects from a diverse set of climate oscillation patterns on precipitation and temperature in Central Asia. For example, some have speculated that the prolonged La Niña between 1998 and 2001 resulted in extraordinary droughts in the region during those years (Barlow et al 2002), and that both NAO and the El Niño–Southern Oscillation (ENSO) play a significant role in winter precipitation in the southern parts of Central Asia (Syed et al 2006). As a result, it is perhaps not surprising that (Chen et al 2016) identified a significant correlation between El Niño (NINO4) and burned areas in the grasslands of Central Asia. Others indicate that the warm phase of the Atlantic Multidecadal Oscillation (AMO) can significantly affect the Indian monsoon rainfall, which affects the southern part of Central Asia (Li et al 2008). Yet others found that the Scandinavian (SCAND) and East Atlantic/West Russia (EAWR) patterns reveal the most significant effect on regional precipitation in the southeastern part of Central Asia (Bothe et al 2012).
Here our goal is to understand how the different climate oscillations act simultaneously to affect the weather and subsequently the land surface phenology. We first determine the correlation between large scale climate oscillations and a set of climate variables. Instead of analyzing one or two of the most prevalent indices as presented in the literature, we simultaneously analyze five climate oscillations that have been shown to affect the region. We use correlation-adjusted correlation (CAR) scores to determine the relative importance of each of the indices on the landscape (Zuber and Strimmer 2011). We also link the most significant climate oscillations directly with land surface phenology metrics focused on growing season productivity using CAR scores. Collection 6 of the MODIS data was released in the fall of 2015. Some papers have highlighted significant sensor degradation in collection 5 and notable differences between time series in collections 5 (V005) and 6 (V006) (Wang et al 2012, Zheng and Zhu 2017, Lyapustin et al 2014). In this paper we evaluate the land surface phenology for these two collections, and we investigate how well the land surface phenology results from the two collections correlate with large scale climate indices. As described above, global climate oscillations have previously been linked to observed weather patterns in Central Asia. However, until now it has been unclear how the different climate oscillations interact to affect precipitation and temperature and subsequently the vegetated land surface in Central Asia.
Study region
We identify Central Asia as the region including five countries: Kazakhstan, Kyrgyzstan, Tajikistan, Turkmenistan, and Uzbekistan. The total area is approximately 4 million km2 with climate ranging from cold drylands and dryland forests in the north to dry, hot deserts in the south. The annual average rainfall in the region ranges from 100 mm in central Kazakhstan around the Caspian Sea to about 550 mm in the montane areas of Tajikistan. The population density in Central Asia ranges from virtually no people per km2 in desert areas to as many as 12 000 people per km2 in the Ferghana Valley of Uzbekistan (Dobson et al 2000). The total population in 2015 was about 68.5 million, with the majority of people in Uzbekistan (31 million), which also has the highest average population density (69 km−2), followed by Tajikistan (60 km−2). Kazakhstan has the lowest average population density of 6.3 km−2.
Data
Climate oscillation data
We analyze the effect of five different climate oscillation patterns that have been identified as impacting the land surface in Central Asia. The SCAND pattern, also identified as Eurasia-1, has been shown to significantly affect spring temperatures over central Eurasia (Barnston and Livezey 1987). The East Atlantic/West Russia pattern (EAWR) is also identified as the Eurasia-2 pattern (Barnston and Livezey 1987). The positive phase of EAWR is associated with below average temperatures in Western Russia. Besides these two climate patterns that are specifically linked to Eurasia, we also investigate the Atlantic Multi-Decadal Oscillation (AMO, Schlesinger and Ramankutty (1994), the North Atlantic Oscillation NAO Hurrel (1995), and the El Niño-Southern Oscillation (ENSO). We use the Multivariate ENSO Index (MEI, Wolter and Timlin 1998) to track the ENSO dynamics. The AMO is variability expressed in sea surface temperatures in the North Atlantic Ocean. AMO is a multi-decadal oscillation that has been predominantly in a positive phase since the late 1990s (Schlesinger and Ramankutty 1994).
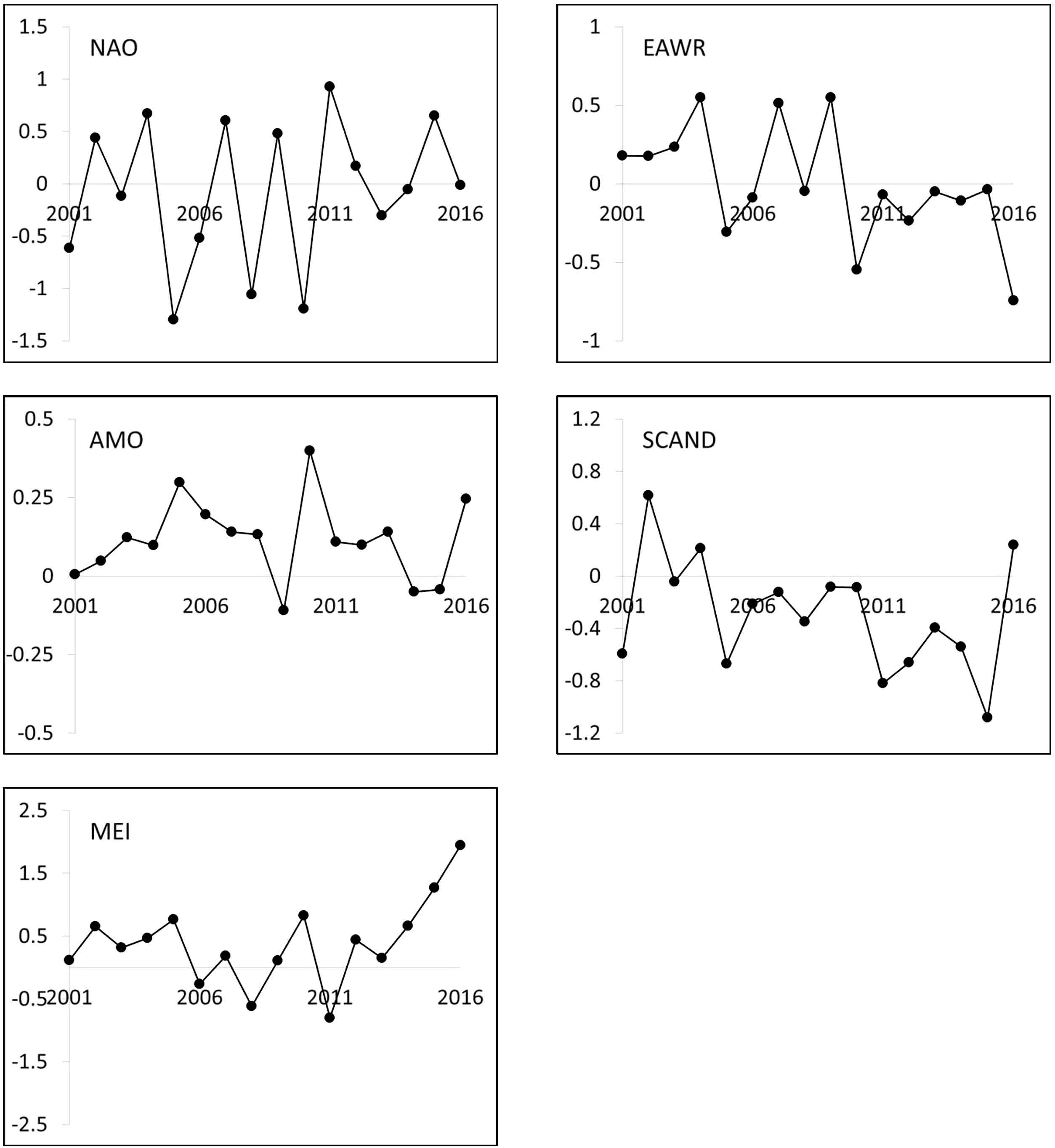
The NAO, EAWR, and SCAND indices were obtained from the National Weather Service Climate Prediction Center (Climate Prediction Center 2018). AMO was obtained from NOAA's Earth System Research Laboratory (Earth System Research Laboratory 2018a). The MEI is based on six variables observed over the Pacific Ocean. This time series was also downloaded from NOAA's Earth System Research Laboratory (2018b). Each climate index, except MEI, was provided as a monthly index, which we summarized into seasonal indices by calculating the average for winter (DJF), spring (MAM) and summer (JJA). MEI was provided as a bimonthly index (e.g. DECJAN), which we summarized in similar seasons as the other indices. We are not presenting the results for the fall season, because we are interested in the potential predictive capability of the climate indices on the peak of the growing season, which for this area occurs in the late spring or summer. An overview of the spring indices (MAM) since 2001 can be found in figure 1. Table 1 provides the Spearman correlation between these individual indices. A significant negative correlation is revealed between spring AMO, NAO and EAWR indices. There is a significant positive correlation between NAO and EAWR. Since for each index we provide the correlation of three different seasons (DJF, MAM and JJA), table 1 also reveals the autocorrelation between the different seasons. For example, the autocorrelation between EAWR in winter (DJF) and spring (MAM) is 0.40, and we find a significant autocorrelation of 0.48 between spring and summer. The slow moving AMO index reveals the most consistent seasonal autocorrelation, with significant autocorrelations between AMO in winter and spring (0.50) and in spring and summer (0.58). The MEI also reveals a significant correlation between winter and spring (0.74).
Figure 1. Climate oscillation indices (MAM) between 2001 and 2016. Note that the y-axes are not standardized across graphs for clarity of the patterns.
Download figure:
Standard image High-resolution imageTable 1. Spearman correlation between the climate oscillation indices. Bold indicates p < 0.10, ⁎ indicates p < 0.05.
| NAO | EAWR | AMO | SCAND | MEI | |||||||||||
|---|---|---|---|---|---|---|---|---|---|---|---|---|---|---|---|
| DJF | MAM | JJA | DJF | MAM | JJA | DJF | MAM | JJA | DJF | MAM | JJA | DJF | MAM | ||
| NAO | MAM | −0.01 | 1.00 | ||||||||||||
| JJA | −0.29 | −0.32 | 1.00 | ||||||||||||
| EAWR | DJF | 0.17 | −0.01 | 0.47 | 1.00 | ||||||||||
| MAM | −0.32 | 0.46 | 0.32 | 0.40 | 1.00 | ||||||||||
| JJA | 0.24 | 0.18 | −0.26 | 0.11 | 0.48 | 1.00 | |||||||||
| AMO | DJF | 0.01 | 0.29 | 0.20 | 0.36 | −0.08 | −0.55⁎ | 1.00 | |||||||
| MAM | −0.08 | −0.51⁎ | 0.16 | 0.19 | −0.55⁎ | −0.58⁎ | 0.50 | 1.00 | |||||||
| JJA | 0.03 | −0.59⁎ | −0.09 | −0.11 | −0.61⁎ | −0.31 | 0.00 | 0.58⁎ | 1.00 | ||||||
| SCAND | DJF | −0.36 | −0.59⁎ | 0.10 | −0.43 | −0.31 | −0.08 | −0.59⁎ | 0.11 | 0.40 | 1.00 | ||||
| MAM | −0.27 | 0.06 | 0.36 | 0.29 | 0.26 | −0.29 | 0.39 | 0.12 | 0.13 | −0.22 | 1.00 | ||||
| JJA | −0.24 | −0.17 | 0.15 | −0.02 | −0.13 | −0.11 | 0.09 | 0.09 | −0.24 | 0.19 | −0.19 | 1.00 | |||
| MEI | DJF | 0.06 | −0.15 | 0.33 | 0.23 | −0.16 | −0.51⁎ | 0.40 | 0.49 | 0.32 | −0.20 | 0.41 | −0.41 | 1.00 | |
| MAM | 0.47 | −0.05 | 0.00 | −0.05 | −0.40 | −0.37 | 0.20 | 0.14 | 0.30 | −0.27 | 0.15 | −0.46 | 0.74⁎ | 1.00 | |
| JJA | 0.53⁎ | 0.30 | −0.18 | −0.10 | 0.18 | 0.44 | −0.34 | −0.68⁎ | −0.15 | −0.16 | −0.09 | −0.23 | −0.23 | 0.23 | |
Gridded precipitation and temperature data (2001–2016)
We obtained high-resolution gridded temperature and precipitation data from the Climatic Research Unit (CRU TS v.4.01), which covers all global land areas monthly at 0.5° resolution (Harris et al 2014, Harris and Jones 2017). While we only present results based on mean temperature (tmp) and mean precipitation (pre), we also tested our analyses for the minimum and maximum temperatures (tmn and tmx). We summarized all the monthly data into seasonal averages for precipitation and temperature maintaining the same seasons as described for the climate indices.
MODIS Nadir BRDF-adjusted reflectance (NBAR) and land surface temperature Data
We used the MODIS MCD43C4 NBAR collection 5 and collection 6 (V005/V006) products to determine the Normalized Difference Vegetation Index (NDVI) for each eight-day period between 2001 and 2016. This dataset is produced at 0.05° spatial resolution. The MCD43C4 product is a nadir BRDF (bidirectional reflectance distribution function)-adjusted reflectance product that we have used in several previous studies to determine the land surface phenology (de Beurs and Henebry 2008, de Beurs et al 2015). Each eight-day observation is based on 16 d of data that are used to create the BRDF model (Schaaf et al 2002, Liu et al 2016). Besides the optical data, we also use MODIS Land Surface Temperature data (MOD11C2). This dataset is also delivered at the 0.05° spatial resolution and eight-day time step. For each year and time step, we first calculated the growing degree-days as follows, where we set the growing degree-days to zero if the average between the day and night temperature is less than 0 °C:

In a subsequent step, we summed the number of growing degree-days for each composite by year to create an annual accumulated growing degree-day product:

where, for t = 1, the AGDDt = GDDt.
Methods
Land surface phenology
We used AGDD and NDVI to create annual land surface phenology models by fitting a simple quadratic model for each pixel as follows:

where α, β and γ are the quadratic parameters fit. To find the best fitting model, we started with the longest possible duration, which in this case consists of 468 day observations. In subsequent steps, we decreased the number of observations included, e.g. from 46 to 45, to 44, and so forth. In addition, we shifted the shorter candidate models within the available time period, e.g. there are two possible candidates for a model with length 45 (1–45 and 2–46). We repeated this procedure of shrinking the model duration, and shifting the candidate models along the available period until we found a model with an adjusted coefficient of determination (R2adj) larger than our predefined threshold of 0.90 (figure 2). If no model with an R2adj was found for a particular pixel, the model with the highest R2adj and a minimum length of ten observations (80 d) was selected. We repeated this procedure at each pixel for each year. Once we had a well-fitting model at each pixel for each year, we used the fitted parameter coefficients to calculate 1) the number of accumulated growing degree-days necessary to reach the peak of the growing season (figure 2), which we labeled 'thermal time to peak' (TTP) and 2) the NDVI value at the peak of the growing season, which we labeled 'peak height' (PH). The peak height typically fluctuates with droughts, e.g. higher temperatures and/or lower precipitation amounts. In a year with lower amounts of precipitation, the peak height tends to be lower, because the growing season is less productive. The peak height can also change as a result of anthropogenic change. For example, crop changes or changes in irrigation patterns can have an effect on the peak height. Population increases leading to urban expansion and increases in the impervious surface can also affect peak height. The final result consisted of 16 separate maps of TTP and PH across the study region, one for each year from 2001–2016.
Download figure:
Standard image High-resolution imageFigure 2. Average R2adj for the land surface phenology models based on MODIS C006 (top) and the average peak height for the land surface phenology models based on MODIS C005 (middle). The bottom figure reveals the z-score for the difference between the peak height based on V005 and V006. High positive z-scores indicate significantly higher peak height values in collection 6. Higher differences are found in the forested regions just outside of our study region and in the montane areas of Kyrgyzstan and Tajikistan. Grey areas are a result of failing land surface phenology models. These areas are mainly located over the driest deserts. Water is masked with data based on the year 2000.
Download figure:
Standard image High-resolution imageSpearman rank correlation
Spearman rank correlation allows for correlations that are not linear and is relatively robust against outliers (Lehmann and D'Abrera 1998). We used the Spearman rank correlation to test a variety of different relationships.
- 1.We calculated the Spearman correlation between the mean spring and summer temperatures and precipitation and each of the winter, spring, and summer climate indices (e.g. NAO/JJA).
- 2.We linked the PH with each of three seasons for each of five climate oscillation indices, resulting in a series of 15 maps for PH, one for each season/climate oscillation combination (e.g. DJF/NAO), for each MODIS version (V005/V006).
For each final map, we calculated the percentage of pixels with a significant correlation (p < 0.10).
Multiple linear regression
Finally, we used as independent variables in a multiple linear regression model, every climate oscillation index that showed a significant correlation with PH in at least 10% of the Central Asian land surface. To determine the best fitting model, we tested all combinations of regression models, e.g. ranging from a model incorporating every independent variable, to models incorporating just one independent variable. We then ranked the models according to their R2adj and, for each pixel, we selected the model with the highest R2adj.
For each pixel and variable, we also determined the CAR score, which is a criterion for variable ranking in linear regression based on the Mahalanobis-decorrelation (Zuber and Strimmer 2011). The method to determine the CAR score uses the marginal correlations adjusted for the correlation among explanatory variables, which is useful in this case because some climate indices are correlated (table 1). CAR scores have been effective both in small and large sample cases and can also be used when the number of variables is much larger than the number of observations (Bocinsky and Kohler 2014). Since we applied these multiple linear regression models by pixel, each model was based on just 16 observations (2001 through 2016) and up to seven climate indices (e.g. including those from different seasons) as explanatory variables. CAR scores may ultimately be viewed as a variation of the partial correlation coefficients specifically tuned for multivariate situations with correlated variables (Zuber and Strimmer 2011). We present maps of CAR scores for each climate oscillation index that revealed significant correlations across at least 10% of the land surface.
Results and discussion
We evaluate the results of the land surface phenology model for Central Asia by analyzing the R2adj, which summarizes the fit for the quadratic model. We masked approximately 12% of the pixels for the models from both collection 5 (11.5%) and collection 6 (12.4%), where the pixels were open water or where the annual variability in NDVI was so low that we were unable to find a well-fitting model. The combined mask for both collections covered 13.45% (541 575 km2) of the study area. After masking the regions with no model, which are mainly found in the driest deserts, we found that for both collections, 75% (2 613 757 km2) of the study area revealed an average model fit with an R2adj of at least 0.90, and 99.7% (3 474 554 km2) of the study area had an average R2adj of at least 0.80. These results indicate that the quadratic models fit the observed land surface phenology very well (figure 2). Note that the differences in model fits between V005 and V006 were so small that we only present figures for V006.
The average PH over the 16 years (figure 2) reveals an expected north-south pattern over Central Asia, with higher NDVI at the peak of the growing season for the northern wheat growing regions of Kazakhstan, gradually declining toward the more arid areas. The riparian irrigated areas around the Syr Darya and the Amu Darya in southern Kazakhstan and northwestern Uzbekistan also reveal moderate NDVI values, as do the highland pastures and croplands of Kyrgyzstan and Tajikistan. Higher PH values are also found in the crop growing region of southern Turkmenistan at the Afghanistan border. The results are almost identical between V005 and V006 for most of our study region with the Z-scores close to 0, except for the forested regions just north of Kazakhstan, where a significantly higher PH is found for V006, with Z-scores above 2 (figure 2).
Univariate climate oscillation impacts on precipitation and temperature
Tables 2 and 3 report the percentage of land area significantly affected by any of the five climate indices. We analyzed the effect of each of these climate indices individually, e.g. without considering the impact of any other index. We first present the correlation results for spring temperature and precipitation with winter and spring climate indices. AMO, EAWR and NAO each exert significant influence on spring temperature over more than 10% of the study area, with the most widespread effects (>48%) being a negative correlation between temperature and the spring EAWR and spring NAO indices (table 2). Both SCAND and MEI associate with precipitation effects across a broad area: the winter MEI and spring SCAND indices are each positively correlated with spring precipitation for nearly half of the study area, and spring MEI is positively correlated with more than a quarter of the land area (table 2). The general pattern in the summer reveals that AMO, EAWR, and NAO primarily affect temperature, whereas SCAND and MEI primarily affect precipitation (table 3). However, spring SCAND has a significant negative influence on summer temperatures in more than half of the land surface, perhaps linked to the precipitation response in the spring. For example, when spring SCAND is highly positive, spring precipitation is above average (significant positive correlation for 49% of the land surface, table 2), and summer temperature is below average (significant negative correlation for 50% of the land surface). While there is a strong correlation between winter and spring MEI and spring precipitation, the relation between these indices and summer precipitation is much weaker.
Table 2. (a) Percentage of land area and (b) land area in 1000 km2 exhibiting Spearman correlation between seasonal (winter or spring) climate oscillation index and either spring temperature or spring precipitation. Numbers in bold indicate correlation is significant at p<0.10 across at least 10% of the study area.
| (a) Area % | SPRING | DJF | MAM | ||
|---|---|---|---|---|---|
| – | + | – | + | ||
| AMO | Temperature | 0 | <1 | 0 | 18 |
| Precipitation | 0 | 14 | 3 | 3 | |
| EAWR | Temperature | 0 | 0 | 48 | 0 |
| Precipitation | <1 | 1 | 0 | 5 | |
| NAO | Temperature | 0 | 29 | 49 | 0 |
| Precipitation | 2 | 0 | 0 | 12 | |
| SCAND | Temperature | 0 | <1 | 0 | 0 |
| Precipitation | 17 | 0 | 0 | 49 | |
| MEI | Temperature | <1 | 0 | <1 | 0 |
| Precipitation | <1 | 49 | 1 | 28 | |
| (b) Area 1000 km2 | SPRING | DJF | MAM | ||
| − | + | − | + | ||
| AMO | Temperature | 0 | 2 | 0 | 707 |
| Precipitation | 0 | 566 | 119 | 102 | |
| EAWR | Temperature | 0 | 0 | 1940 | 0 |
| Precipitation | 9 | 50 | 0 | 212 | |
| NAO | Temperature | 0 | 1146 | 1979 | 0 |
| Precipitation | 95 | 0 | 0 | 490 | |
| SCAND | Temperature | 0 | 030 | 0 | 0 |
| Precipitation | 683 | 0 | 0 | 1977 | |
| MEI | Temperature | 33 | 0 | 26 | 0 |
| Precipitation | 37 | 1963 | 58 | 1112 | |
Table 3. (a) Percentage of land area and (b) land area in 1000 km2 exhibiting Spearman correlation between seasonal (winter or spring or summer) climate oscillation index and either temperature or precipitation in summer. Numbers in bold indicate correlation is significant at p < 0.10 across at least 10% of the study area.
| (a) Area % | SUMMER | DJF | MAM | >JJA | |||
|---|---|---|---|---|---|---|---|
| – | + | – | + | – | + | ||
| AMO | Temperature | 0 | 0 | 0 | 2 | 0 | 19 |
| Precipitation | <1 | 12 | <1 | 3 | <1 | 2 | |
| EAWR | Temperature | 15 | 0 | 81 | 0 | <1 | 0 |
| Precipitation | 0 | 4 | <1 | <1 | 1 | <1 | |
| NAO | Temperature | 0 | 56 | 0 | 0 | 89 | 0 |
| Precipitation | 1 | <1 | <1 | 2 | <1 | 6 | |
| SCAND | Temperature | <1 | 0 | 50 | 0 | <1 | 0 |
| Precipitation | 8 | 0 | 3 | 19 | 14 | 0 | |
| MEI | Temperature | 4 | 0 | 0 | 0 | 0 | 0 |
| Precipitation | 0 | 17 | <1 | 6 | 1 | 0 | |
| (b) Area 1000 km2 | SUMMER | DJF | MAM | >JJA | |||
| − | + | − | + | − | + | ||
| AMO | Temperature | 0 | 0 | 0 | 100 | 0 | 784 |
| Precipitation | 15 | 486 | 4 | 102 | 37 | 95 | |
| EAWR | Temperature | 594 | 0 | 3266 | 0 | 0 | 0 |
| Precipitation | 0 | 154 | 17 | 13 | 46 | 24 | |
| NAO | Temperature | 0 | 2239 | 0 | 0 | 3586 | 0 |
| Precipitation | 56 | 37 | 6 | 63 | 26 | 230 | |
| SCAND | Temperature | 15 | 0 | 2026 | 0 | 17 | 0 |
| Precipitation | 308 | 0 | 132 | 765 | 581 | 0 | |
| MEI | Temperature | 147 | 0 | 0 | 0 | 0 | 0 |
| Precipitation | 0 | 670 | 28 | 256 | 58 | 0 | |
Table 4. (a) Percentage of land area and (b) land area in 1000 km2 exhibiting Spearman correlation between seasonal (winter or spring or summer) climate oscillation index and the peak height from either MODIS collection 5 or 6. Numbers in bold indicate correlation is significant at p<0.10 across at least 10% of the study area. Data with ill-fitting models were masked and data were constrained to only the pixels in the Central Asia countries in the study area.
| (a) Area % | DJF | MAM | >JJA | ||||
|---|---|---|---|---|---|---|---|
| – | + | – | + | – | + | ||
| AMO | V005 | <1 | 18 | 1 | 4 | 10 | 2 |
| V006 | <1 | 18 | 1 | 5 | 10 | 2 | |
| EAWR | V005 | 1 | 14 | 3 | 8 | 6 | 1 |
| V006 | 2 | 10 | 4 | 5 | 7 | <1 | |
| NAO | V005 | 1 | 7 | <1 | 7 | <1 | 14 |
| V006 | <1 | 9 | <1 | 8 | 1 | 10 | |
| SCAND | V005 | 28 | <1 | <1 | 28 | 15 | 2 |
| V006 | 26 | <1 | <1 | 25 | 16 | 2 | |
| MEI | V005 | <1 | 36 | <1 | 26 | 1 | 3 |
| V006 | <1 | 35 | <1 | 29 | 1 | 4 | |
| Area 1000 km2 | DJF | MAM | >JJA | ||||
| − | + | − | + | − | + | ||
| AMO | V005 | 5 | 638 | 52 | 153 | 351 | 70 |
| V006 | 6 | 630 | 52 | 165 | 334 | 76 | |
| EAWR | V005 | 37 | 489 | 93 | 261 | 226 | 41 |
| V006 | 75 | 350 | 144 | 183 | 258 | 30 | |
| NAO | V005 | 42 | 248 | 18 | 235 | 24 | 478 |
| V006 | 35 | 301 | 14 | 286 | 51 | 342 | |
| SCAND | V005 | 964 | 6 | 15 | 973 | 537 | 70 |
| V006 | 921 | 7 | 19 | 878 | 551 | 60 | |
| MEI | V005 | 12 | 1265 | 25 | 922 | 39 | 122 |
| V006 | 11 | 1227 | 23 | 1004 | 38 | 136 | |
Univariate climate oscillation impact on land surface phenology
Since we are evaluating five different climate oscillation indices (AMO, EAWR, NAO, SCAND, MEI), during three different seasons (DJF, MAM, JJA) and two different collections (5 and 6), there are 30 (5 × 3 × 2) different mapping combinations. For each of the combinations, we investigate whether the correlation between the climate index and phenological metric is significant (p < 0.10). Table 4 reports the total percentage of land area with a significant correlation between the peak height of the growing season as measured by NDVI and the climate oscillation index during any season.
Table 4 reveals very similar patterns in the correlations between V005 and V006. Both collections reveal the largest percentage of significant correlation between the winter and spring MEI and the peak of the growing season, followed by winter and spring SCAND indices. The next most important climate index was the winter AMO index, which reveals a significant positive correlation with the NDVI peak height in 18% of the land area (V005). Most other combinations reveal smaller areas with significant correlations (<10%), with the exception of the slightly larger percentages of significant correlations between winter EAWR and the peak height (14%, 10%), and summer NAO and the peak height (14%) in V005.
Figure 3. The R2adj for the models with peak height as the response variable and the climate oscillation indices as the independent variables reveals that the climate oscillation variables explain more than 40% of the variability in the peak height for much of the area of Central Asia. White regions are areas where the p-value of the best fitting model is greater than 0.05, indicating that no significant model was found combining any of the climate indices as explanatory variables. Dark grey areas were excluded from the analysis due to extreme aridity/lack of vegetation signal.
Download figure:
Standard image High-resolution imageFigure 4. Impact of the AMO index on the summer and spring temperature, as well as the summer and spring precipitation. Most of AMO's influence on the NDVI peak height is visible in the southwestern part of Central Asia, mainly driven by AMO's influence on summer precipitation.
Download figure:
Standard image High-resolution imageFigure 5. Impact of the EAWR index on the spring and summer temperature, as well as the NDVI peak height. It is interesting to note that while EAWR significantly impacts the land surface phenology just northwest of Kazakhstan, EAWR is less important for the temperature in that area.
Download figure:
Standard image High-resolution imageMultivariate climate oscillation impacts on weather and land surface phenology
Figure 3 provides the R2adj for the multiple regression model between all significant climate indices (table 4) and the peak height of the growing season (V006). Most of the significant correlations can be found in the central portion of Kazakhstan with other significant models in the southern parts of Central Asia. Note that the northern wheat growing region of Kazakhstan shows no significant multi-regression model with the climate indices (areas in white on figure 3). We expect that this results from the direct human influence on cultivation and fallow periods, which directly affects the NDVI peak height. As a result of the relatively short study period (16 years), other fluctuations such as human impacts can significantly impact the land surface phenology and, consequently, impact the strength of the correlation (de Beurs and Henebry 2004, de Beurs and Ioffe 2014). (Kariyeva et al 2012) also demonstrated that the relationship between temperature and precipitation variables with land surface phenology is less clear in areas dominated by irrigated agriculture. Interestingly, for our short time period of 16 years, we find stronger correlations between the climate indices and the land surface phenology in the irrigated regions than in the northern, rain-fed croplands. We suspect that lower correlations are visible in these northern croplands as a result of the prevalence of hard fallow periods, where there are no crops on the land, that change the final correlations (de Beurs and Ioffe 2014). Figures 4 through 8 present the CAR scores or importance results for each climate oscillation index. Note that these figures correspond to the highlighted results in tables 2–4. For example, in figure 4 we are revealing the effect of the AMO index. For MODIS V006, AMO is most significant in the winter (DJF; 18%, table 4). In addition, we find a significant correlation between spring AMO and spring temperature (18%, table 2), as well as winter AMO and spring precipitation (14%, table 2), summer AMO and summer temperature (19%, table 3) and winter AMO and summer precipitation (12%, table 3). Figure 4 reveals where each of these effects are important. Grey areas indicate no significant relationship with a particular index. Note that while AMO affects both temperature and precipitation in both the spring and the summer, these effects translate to relatively small impacts on the NDVI peak height. The EAWR index predominantly affects temperature and most effects are visible in the eastern part of our study region, as well as just north of our actual study region (figure 5). The EAWR dipole pattern consists of two anomalous atmospheric centers, with one located over the Caspian Sea (Kazmin and Zatsepin 2007). Characteristics of the EAWR have been found to resemble the North-Sea Caspian Pattern (Kutiel and Benaroch 2002, Oguz et al 2006), which has been found to correlate with summer temperatures in many areas of Europe, including regions as far southeast as our study region. Significant negative correlation was found in the area corresponding closely with our identified region of importance just northwest of Kazakhstan (Brunetti and Kutiel 2011). Others have found that the combination of the NAO and EAWR is effective in explaining climate-induced variability in the Black Sea region (Krichak et al 2002, Oguz et al 2006). We found that NAO and EAWR predominantly influence temperature, and while their regions of importance overlap, their strongest zones of importance are not co-located. (Krichak et al 2002) found that the combination of these two indices had a strong influence on precipitation just west of our study region, in the Mediterranean.
Figure 6. Impact of the NAO index on the spring and summer temperature, as well as the spring precipitation and the NDVI peak height. The impact on the peak height is mainly visible in the northeastern part of Kazakhstan, corresponding with a significant impact of the winter NAO index on the spring temperature in this region.
Download figure:
Standard image High-resolution imageFigure 7. Impact of the SCAND index on the summer temperature, and spring and summer precipitation, as well as the peak height of the growing season. The peak height of the growing season reveals a significant impact in the southern third of Kazakhstan, co-located with the impact of spring SCAND on spring precipitation and summer and spring SCAND on summer precipitation.
Download figure:
Standard image High-resolution imageFigure 8. Winter MEI reveals strong importance on the spring and summer precipitation in Kyrgyzstan and Tajikistan with a subsequent effect on the land surface phenology in those countries as well. Spring MEI is very important for spring precipitation in central Kazakhstan, which is also reflected in the peak height results. Summer precipitation over montane Central Asia is linked to winter MEI.
Download figure:
Standard image High-resolution imageNAO in both winter and summer affects both spring and summer temperatures, with the most visible effects on the land surface phenology in the northern part of our study area (figure 6). The winter NAO has a particularly strong impact on the spring temperature in the northeastern part of the study area, which is also reflected clearly in the correlation between the NDVI peak height and the summer NAO. Phenology in the far northern latitudes is strongly affected by the NAO, and these effects are visible in the northern parts of Central Asia as well (de Beurs and Henebry 2008, Stöckli and Vidale 2004, Li et al 2016).
The SCAND index and the MEI reveal strong impacts on both spring and summer precipitation, with a significant impact on the NDVI peak height in central Kazakhstan and farther south (figures 7 and 8). Note that the MEI influences the land surface phenology in central Kazakhstan and that the strongest influence of SCAND is just south of that region (figure 7 and 8). We also found that SCAND and MEI significantly influence the land surface phenology in Uzbekistan and Turkmenistan (Kariyeva and van Leeuwen 2012), although again the spatial location where these indices are most importance is slightly offset for these indices. Figure 7 and 8 demonstrate that both indices are primarily affecting precipitation. Two of the most severe regional droughts were during strong La Niña conditions in 1999–2001 and 2007/08 (Barlow et al 2016), likely driving our strong correlation patterns. However, few papers have analyzed the effect of these climate indices on smaller drought episodes (Barlow et al 2016). Summer precipitation over montane Central Asia is linked to winter MEI (figure 8), which may be particularly relevant to regional hydrological assessments (Chen et al 2017, Chevallier et al 2014).
Thus, we find that while each of these indices has been mentioned in the literature as having an important impact on the weather of Central Asia, their impacts are often not co-located. Instead, NAO, EAWR, and AMO predominantly influence temperature in the northern part of Central Asia. When analyzed simultaneously, it is clear that NAO and EAWR reveal a more dominant impact on the weather and, subsequently, on the land surface phenology than AMO, which has a much slower tempo. While NAO has a strong influence in the northeastern part of the study region, EAWR influences the northwestern part. This pattern is an interesting result, especially considering that these two indices reveal a significant positive correlation. SCAND and MEI are not significantly correlated, but both reveal a significant impact on the precipitation in this region. Again, these impacts are not spatially co-located, with the MEI impacting the land surface phenology in the central part of the study region and SCAND having a greater effect slightly farther south.
Conclusions
Central Asia has been changing in multiple ways over the past few decades (de Beurs et al 2015, Groisman et al 2017). While human influences play a significant role in large swaths of Central Asia (e.g. de Beurs et al 2015, de Beurs and Henebry 2004, Kariyeva and van Leeuwen 2011, Kariyeva and van Leeuwen 2012, Lioubimtseva et al 2015, Lioubimtseva et al 2005), in this paper we have focused our attention on the effect of multiple climate oscillations on the weather and land surface phenology of the region. Others have focused on the discrimination between weather changes and human impacts (e.g. Kariyeva et al 2012, Dubovyk et al 2016), but those studies did not identify the effect of large scale climate oscillations and regional climate patterns. Combining five climate oscillation indices into one regression model and then identifying the relative importance of each of these indices on precipitation and temperature and, subsequently, land surface phenology allowed us to identify where each of the climate indices displays its strongest influence. Our analysis demonstrates that the land surface phenology across Central Asia is affected by several climate modes, both those that are strongly linked to far northern weather patterns and those that are forced by southern weather patterns, making this region a 'climate change hotspot' (Bothe et al 2012) with strong spatial variations in weather patterns. We found that SCAND and EAWR, both regional climate patterns, played a significant role in Central Asia indicating that global climate patterns might not be sufficient to predict weather patterns and subsequent land surface changes in these regions (Chen et al 2016). These findings may also explain, in part, why both the CMIP3 and CMIP5 model cohorts exhibited large inter-model spread in montane Central Asia and why the CMIP5 models did not significantly improve precipitation estimates in this sensitive region (Flato et al 2013). Climate projections over mountainous terrain remain difficult (Flato et al 2013), particularly in Central Asia (Hijioka et al 2014, Reyer et al 2017).
Acknowledgments
This research was supported in part by the NASA Land Cover Land Use Change program through projects NNX14AD88G, NNX14AJ32G, and NNX15AP81G. We thank Paul de Beurs for his software development that allowed us to run the land surface phenology analysis efficiently.








