Abstract
Pricing carbon is one of the most important tools to reduce emissions and mitigate climate change. Already, about 40 nations have implemented explicit or implicit carbon prices, and a carbon price was explicitly stated as a mitigation strategy by many nations in their emission pledges submitted to the Paris Agreement. The coverage of carbon prices varies significantly between nations though, often only covering a subset of sectors in the economy. We investigate the propagation of carbon prices along the global supply-chain when the carbon price is applied at the point where carbon is removed from the ground (extraction), is combusted (production), or where goods and services are consumed (consumption). We consider both the regional and sectoral effects, and compare the carbon price income and costs relative to economic output. We find that implementation using different accounting systems makes a significant difference to revenues and increased expenditure, and that domestic and global trade plays a significant role in spreading the carbon price between sectors and countries. A few single sectors experience the largest relative price increases (especially electricity and transport), but most of the carbon price is ultimately paid by households for goods and services due to the large expenditure and indirect supply chain impacts. We finally show that a global carbon price will generate a larger share of revenue relative to GDP in non-OECD nations than OECD nations, independent on the point of implementation.
Export citation and abstract BibTeX RIS

Original content from this work may be used under the terms of the Creative Commons Attribution 3.0 licence.
Any further distribution of this work must maintain attribution to the author(s) and the title of the work, journal citation and DOI.
1. Introduction
While global emissions are showing signs of slower growth (Le Quéré et al 2016), emissions must soon start to rapidly decrease to keep global warming below 2° (Rockström et al 2017). Most nations have agreed to this by ratifying the Paris Agreement and submitting National Determined Contributions (NDCs). The NDCs combined are currently not sufficient to limit global warming to below 2° (Rogelj et al 2016). Thus, more ambitious policies are needed to reduce emissions sufficiently.
Among the various policy instruments available, carbon pricing has been found to be one of the most cost-effective, more so than industry regulations or subsidies (OECD 2013, Stern 2007, Pachauri et al 2014, Baranzini et al 2015). These market-based policy instruments would lead to larger emission cuts for a given costs, and could be implemented directly as a carbon tax or indirectly via an emissions trading system (ETS). A carbon price could bring co-benefits (such as energy access and reduced pollution; Edenhofer et al 2015), generate significant revenues over the 21st century (Bauer et al 2016), and the revenues generated can be used to achieve other societal objectives (Carl and Fedor 2016). Some sort of direct or indirect carbon price has been successfully implemented by about 40 nations already, covering about 13% of global CO2 emissions in 2016 (World Bank 2016). Around 100 additional countries are planning or considering carbon prices across parts of their economies, especially in China (Swartz 2016, World Bank 2016). Modeling has shown that if this is expanded to an international carbon market, this may reduce the costs of implementing the NDCs by up to 50% by 2050 (World Bank 2016).
A carbon price makes the use of fossil fuels more expensive, thus making low-emitting technologies relatively more attractive (Bowen 2015, Jakob et al 2016). The carbon price will affect the prices in specific sectors that are depend on fossil fuels, and propagate through to the consumers of goods and services. The carbon price can be implemented at different points along the supply-chain: where the fossil fuels are extracted (mining activities), where combustion occurs (often called production emissions, as this is emitted where production and manufacturing occurs) or at the consumers (consumption-based emissions embodied in goods and services; (Andrew et al 2013, Davis et al 2011)). Today, almost all carbon pricing schemes focus on production. Depending on where the carbon price is applied, and in what sectors, revenues will accrue in different regions and sectors, and the price increase for consumers may differ.
There are a variety of ways to implement a carbon price, different system boundaries, and different metrics for measuring and comparing the effectiveness of carbon prices. This is also the case for those countries who have implemented carbon prices today, as they are fragmented and have different coverage at different costs across nations. The focus of this study is how different carbon price regimes are complicated by international trade. International trade propagates a carbon price along supply chains, and consequently leads to different costs and revenues. We consider a carbon price applied at the point where carbon is removed from the ground (extraction), is combusted (production), or where goods and services are consumed (consumption). Specifically, we investigate (1) the relative price differences between sectors and total costs of carbon, assuming a carbon price applied in different configurations, and (2) who pays the costs assuming the price propagates perfectly along the supply chain.
On the national level, as goods and services are traded through global supply-chains, a carbon price is embodied in the traded commodities, which means that the increased prices will distribute outside the countries that implement the carbon price. As more regions are planning to implement a carbon price in the future, we further investigate: (3) what will be the sources of revenue, depending on where along the supply-chain the carbon price is implemented, (4) how will carbon price in one region spreads to other regions through trade, and (5) how will nations be economically affected by a carbon price with different implementation points.
2. Methods and data
We build on the extraction-based fossil fuels emission database from Davis et al (2011) and Andrew et al (2013). This dataset shows the carbon flows between regions for extraction (mining of coal, oil and gas), production, and consumption, measured in terms of carbon content instead of energy content. The extracted fossil fuels can be used either as feedstock in industrial processes (especially petroleum and coke products, and chemical, rubber and plastic products) or be combusted as primary fuels or petroleum products. The database is based on the GTAP database: version 9.2 (Aguiar et al (2016), year 2004, 2007 and 2011), version 6 (year 2001) and version 5.4 (year 1997).
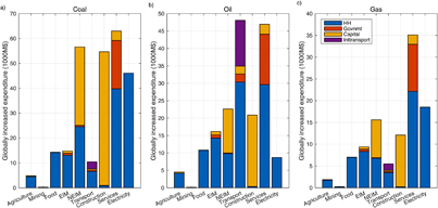
Figure 1. Assuming a global carbon price of 20$/tCO2, row (a) shows global price increases in sectors for multiple years by fossil fuel type (coal, oil, gas), and row (b) shows global emissions in sectors for multiple years by fossil fuel type. While (a) shows in what sectors prices will increase the most, (b) shows where the emissions occur. NEIM is non-energy intensive manufacturing, and EIM is energy intensive manufacturing.
Download figure:
Standard image High-resolution imageWe attribute carbon between regions and sectors using multi-regional input–output (MRIO) analysis, and apply a carbon price:

where F is the extraction- or production-based emissions, C is the carbon price, and L is the Leontief inverse (L = (I − A)−1 where I is an identity matrix and A the inter-industry requirements matrix). This gives the price increase in all region/sector combinations, which is further used to estimate the increased expenditure E of consumption due to the carbon price

where y is final demand (split into governments, households, international transport and capital investments).
Since we use input–output analysis, we assume that there is perfect propagation of carbon prices along the supply chain and no feedback (equilibrium) effects on prices. Our approach therefore does not consider how the system might change in response to a carbon price. In practice, the economy is not static, and a carbon price may change fossil fuel dependencies in economies and international trade by changing, e.g. production and manufacturing technologies and consumer behavior. However, our approach can clearly show how carbon prices theoretically propagate along the supply chain, and we can perform analysis at a high sector and region detail for multiple years. We believe the strength of our analysis is to show the role of international trade on different carbon price regimes, and not an attempt to identify exact price changes in each different regime. One should interpret our results with those assumptions in mind.
We assume a carbon price of 20$/tCO2 in 2011, though since the input–output system is linear, the results can be scaled for other carbon prices. The cost of 20$/tCO2 equals about 1% of global GDP in 2011. While we apply a carbon tax in our modelling, we refer to it as a carbon price to keep the discussion more general, as the carbon price could be generated through other mechanisms, such as an ETS.
In figure 1 we compare carbon prices over time. Since each year in our database is given in current year dollars, we adjust the carbon price with the consumer price index to make them comparable (World Bank 2017). This means that the carbon price in 1997 was 11.6$/tCO2. We recognize that inflation adjustments at such an aggregated level are difficult, and we apply appropriate caution when interpreting the results. Most analysis is based on 2011 data, not requiring inflation adjustments. When calculating the global carbon price relative to GDP for multiple years, we use CO2 data from Le Quéré et al (2016) and GDP data in constant 2005 prices measured in purchasing power parity from the IEA (IEA/OECD 2015).
While the datasets we use have been used in other studies, a thorough investigation of uncertainties is missing. Other studies have found that the emissions data is generally more uncertain than the economic data, especially on the global and national level (Karstensen et al 2015, Lenzen et al 2010). In this study, we present aggregated data (sectors and regions), which is considered more accurate due to cancellation effects (errors tend to cancel when data is aggregated, see Karstensen et al (2015)). We additionally tend to focus more on the relative differences between regions.
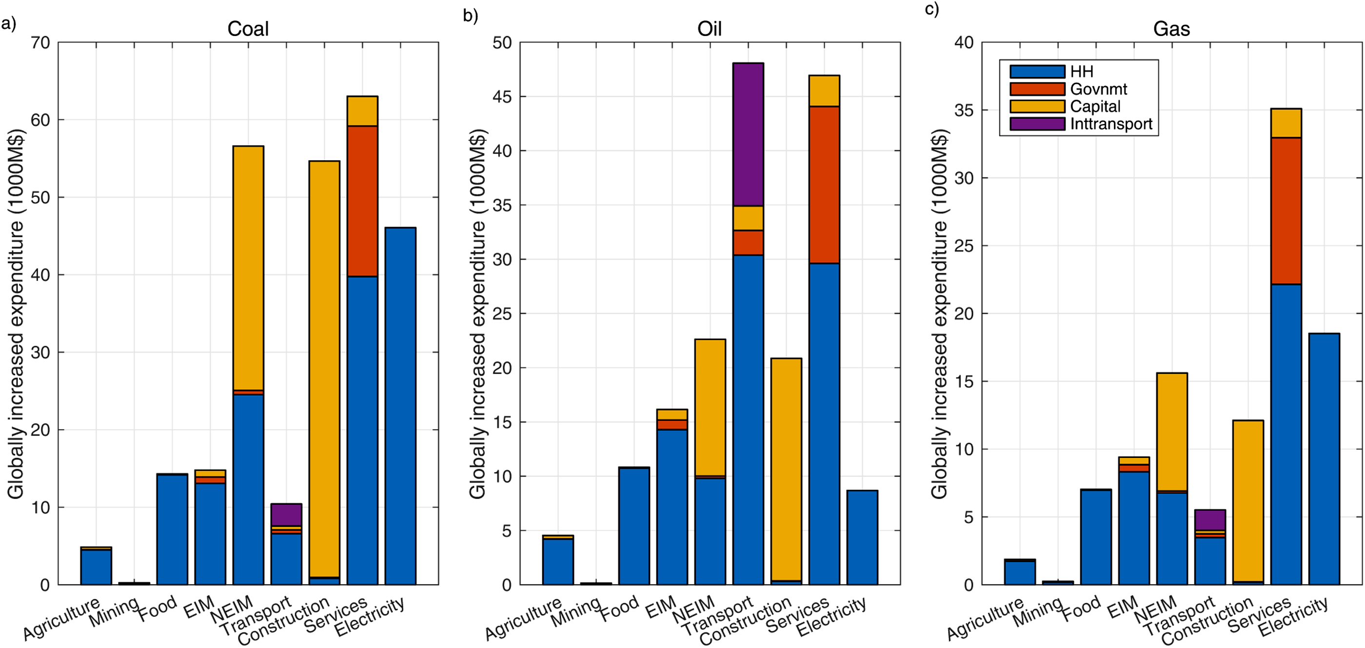
Figure 2. Globally increased expenditure by final demand categories for the year 2011 for a carbon price of 20$/tCO2 by fossil fuel type (coal, oil, gas). NEIM is non-energy intensive manufacturing, and EIM is energy intensive manufacturing.
Download figure:
Standard image High-resolution imageFigure 3. Regional absolute carbon price on different points along the supply-chain: (a) extraction, (b) production and (c) consumption for the year 2011. The bars are divided into sources of fossil fuels (a) and (b) or sector's use of fossil fuels (c). The dashed red circle on the bottom legend indicates where along the supply-chain the carbon price is implemented. NEIM is non-energy intensive manufacturing, and EIM is energy intensive manufacturing.
Download figure:
Standard image High-resolution imageFigure 4. Carbon price implemented at either extraction or production (dashed red circle in bottom legend) in combination with production or consumption-based accounting systems (red box in bottom legend). Assuming a global carbon price of 20$/tCO2 for the year 2011, we allow the carbon price to spread with international trade. Notice that the bars all add to 20$/tCO2, and that the carbon price ($) is relative to either the regions production or consumption-based emissions (CO2). For the cases where carbon price is applied in the same place as the accounting system is defined, the bars will only show solid colors.
Download figure:
Standard image High-resolution image3. Global carbon price distribution
To find the sectoral distribution of a carbon price when implemented on the extraction of fossil fuels, we apply a uniform carbon price globally on all fossil fuel extraction. While we apply the carbon at the extraction point, we allow the price increase to propagate along the global supply-chain to the consumers of goods and services, thus showing the price changes consumers will experience. This price increase will propagate differently for coal, oil and gas, as they are dominant in different sectors of the economy. While a carbon price on coal and gas mainly will increase prices in the electricity sector, oil is more uniformly distributed through the economy leading to price increases in a wider range of sectors (top row of figure 1). A carbon price on oil extraction raises prices most in the transport and electricity sectors.
Over time, the price increase is relatively stable for most sectors when we apply the inflation adjusted carbon price. In aggregated terms, the carbon price revenue as a share of global GDP is directly proportional to the carbon intensity of the economy: the carbon price times global emissions divided by constant price GDP is the same as the carbon price times the carbon intensity of the carbon economy. Even though carbon emissions have increased over time, economic expansion (GDP growth) has been greater, thus causing the carbon intensity to decline. This means that the share of revenue from the carbon price relative to GDP declines as well.
The relative sector price increases do not, however, show where most of the carbon price costs occur. Although the relative price increase in the service sector is relatively low, this is where most dollars are spent by consumers, thus making it the sector with largest increased expenditure due to the carbon price. The bottom row of figure 1 shows how the emissions redistributed from a production-based perspective (top row) to a consumption-based perspective (the emissions allocated to consumed goods and services). Most significantly, the sector distribution is different in a consumption-based perspective since some activities (e.g. electricity production and transportation) are used as inputs to production processes (e.g. manufacturing) as well as used directly by consumers. If these consumption-based emissions where multiplied by a carbon price, they would show in what sectors most of the costs will be paid, relating to the mix of goods and services ultimately consumed. The service sector has the largest total expenditure on a carbon price, since coal is used for electricity, oil is used for transport services and gas is used for heating, which are all used indirectly in service sectors. The uniform carbon price makes sectors dependent on coal (such as services and non-energy intensive manufacturing) have larger total carbon costs than sectors dependent on oil or gas, since coal currently dominates carbon emissions.
The increased expenditure due to a carbon price is mostly paid by household consumers (in contrast to the other final demand categories: governments and capital investments), especially in the electricity sector (figure 2), which has also been the case for implemented taxes in OECD nations (Svendsen et al 2001, Wang et al 2016). For coal, oil and gas, households pay 57%, 60% and 65% of the increased expenditure, respectively, in 2011. Construction is paid almost exclusively by capital investments, representing the definitions used in the System of National Accounts. In general, capital investments pay a carbon price on the energy used by purchased manufactured products and construction. Over time, households pay increasingly larger amounts of carbon tax in total (not shown in figure), mainly because of increased purchases that grew 24% from 1997–2011. Over time though, households are paying less of the increased expenditure relative to the other demand categories. Capital investments saw a larger growth at 47%, mainly in the construction and manufacturing sectors.
4. Regional carbon price distributions
Here we explore the distribution of the carbon price globally and regionally when we assume that all nations apply our hypothetical carbon price. In contrast to the previous section on the global carbon price, the regional carbon price has to deal explicitly with the accounting system defining where in the supply-chain the carbon price is applied. The revenue is collected by governments at the geographical location in the supply-chain where the carbon price is applied (figure 3). The costs are ultimately borne by consumers on the assumption that the full carbon price is propagated along the supply-chain. For simplicity, we highlight three points along the supply-chain where carbon price and emissions accounting can be applied: extraction (mining), production (combustion of fossil fuels) and consumption (emissions embodied in goods and services).
Figure 5. Carbon price relative to GDP for 2011 using a global carbon price of 20$/tCO2. The regions comprise of the top 20 nations of absolute extractors, producers and consumers of fossil fuels, including OECD, non-OECD nations and the EU. The carbon price can be considered as both a revenue (for governments) and a cost (for consumers).
Download figure:
Standard image High-resolution imageWe find that going from extraction, to combustion and finally to consumption, the emissions are more evenly distributed among nations. A large shift among nations can be seen when going from extraction to combustion, since the global trade of petroleum products is large (Davis et al 2011). Consumption is more uniformly distributed. In the case of the EU, the EU's carbon price revenue would increase from about 20 billion USD for extraction to nearly 70 billion USD for production, reflecting that the EU has small domestic fossil fuel resources and therefore large imports (figure 3). For consumption, it increases to 80 billion USD due to the import of goods and services. Chinese extraction and production revenues on the other hand, are higher than its consumption revenue, due to the emissions embodied in exports.
The extraction, combustion and consumption of fossil fuels can be related to different sources: from the extraction of coal, oil and gas, to the consumption of different products and services (figure 3, coal, oil, and gas). If a carbon price was implemented on the extraction of fossil fuels, coal will be the largest source as it is the largest part of the global carbon extracted, but the share between fossil fuels varies significantly by country. On the consumption side, most of the carbon price is found in nations' services, transport and manufacturing sectors, while China has an especially large part in construction.
The implementation of carbon prices will spread price increases to consumers as goods and services become more expensive. However, the large increase in globalization and global trade over the last few decades means that most countries export a share of their production to other nations. A share of a nations exported goods and services will therefore include the carbon price, making it more expensive to consumers elsewhere. To illustrate the effect of propagation of the carbon price along the supply-chain, we compare how this spread and affect other nations 'effective' carbon price along two dimensions: at which point along the supply-chain the carbon price is implemented, and at which point the emissions are measured. The carbon price itself is the same in all cases, but applied at different points. The total cost of global emissions will be the same, hence the efficiency of the carbon price is considered equal in all cases under our modelling assumptions.
To highlight the distribution of carbon price according to global trade, the carbon price must be implemented higher upstream than where the emissions accounting takes place, thus leaving three possible cases (figure 4): (a) carbon price on extraction and using production emissions, (b) carbon price on extraction and using consumption emissions, and (c) carbon price on production emissions and using consumption emissions. We compare the 'effective' carbon price in the nations by dividing the increased expenditure by emissions according to the accounting system (production or consumption emissions), thus getting the actual carbon price paid by the nations consumers. In all cases this adds to 20$/tCO2, but the disaggregation allows analysis of where the price originates. The application of a uniform carbon price with a different price would simply change the total, not the distribution.
In the first case (figure 4(a)), a carbon price of 20$/tCO2 was implemented on all extracted fossil fuels in each of the six regions before we ran the MRIO model with the increased prices. The resulting bars shows the total carbon price in the regions and where the contribution comes from. All bars add to 20$/tCO2, as it would if all fossil fuels in all regions had the same carbon price. The EU bar shows that if a carbon price of 20$/tCO2 was only implemented on extracted carbon in the EU, this would be equal to a carbon price of less than 6$/tCO2 on the EU's production emissions. This difference is since most of the fossil fuels the EU uses are imported from rest of non-OECD regions (mostly from Russia). EU consumers would face a higher effective carbon price if the rest of the non-OECD regions applied a carbon price to their extracted carbon. USA, China and India extract most of their own fossil fuels for use, which is why a carbon price in those regions will have a relatively high impact on the effective carbon price. As EU exports very little fossil fuels, dark blue parts of bars are not visible in the other regions. The rest of OECD exports fossil fuels to all other regions.
In the second case (figure 4(b)), we similarly apply a carbon price of 20$/tCO2 on all extracted fossil fuels, while we compare this to the consumption-based emissions in the regions. This effectively shows the dependence on imported and domestic products that embody fossil fuels from abroad. In this case, the Chinese carbon price is spread across all regions due to the large Chinese exports of goods and services. All regions have smaller footprints of their own carbon price compared to the first case, as some of this is diluted through exports. Additionally, the total emissions (consumption-based emissions) are different from the production emissions used in case one.
In the third case (figure 4(c)), we show a carbon price implemented on the combustion of fossil fuels (production emissions) in combination with consumption-based emissions. In this case, the domestic markets dominates, as most of what is manufactured in a nation, usually is consumed in the same nation. Other possible cases include having carbon price and emissions accounting in the same point of the supply-chain. This would mean solid colored bars in figure 4, as all nations are responsible for their own fossil fuels, thus they would have the same carbon price per tonne of CO2.
Table 1. Income and cost for extractors, producers and consumers when carbon pricing is implemented at different points.
| Extraction-based pricing | Production-based pricing | Consumption-based pricing | |
|---|---|---|---|
| Extracting nations | Income | – | – |
| Producing nations | – | Income | – |
| Consuming nations | Cost | Cost | Cost + Income |
5. Carbon price cost and revenue distributions
Since nations extract, produce and consume at different rates, and with different technologies, the costs for the consumers or government revenue from a carbon price relative to gross domestic product (GDP) of the economies is different (figure 5). A global carbon price of 20$/tCO2 would represent about 1% of global GDP in 2011 (grey line in figure 5). This is higher than the revenue raised from the EU ETS at its peak (2008–2012 prices; Pezzey and Jotzo (2013)). The average of the carbon on extraction, production and consumption emissions for all nations sum to the same global total, but the national numbers vary significantly.
Figure 5 shows the top 20 nations of absolute extractors, producers and consumers, including OECD, non-OECD nations and the EU. The government revenues as a share of GDP varies significantly depending on implementation (symbols in the figure). Extraction has the greatest diversity due to the skew distribution of fossil fuel resources. Fossil fuel trade causes a smoother distribution in production based emissions, and trade in goods and services causes an even smoother distribution for consumption (Teixidó-Figueras et al 2016).
Table 1 illustrates these distributions of cost and revenue for extractors, producers and consumers when implemented at different points in the supply-chain. We have assumed that prices are fully propagated along the supply chain. A carbon price on extraction would be implemented in the countries where the mining activity occurs and they would receive the revenue, but the price increase would propagate to consumers in all nations representing an effective transfer of income from consumers to extractors. In the same way, a carbon price on production would accrue revenue in those countries using the fossil fuels, but the costs would be borne by consumers. The redistribution is smaller than for extraction since trade in goods and services is smaller (Andrew et al 2013). A carbon price on consumption, on the other hand, would not propagate further with income and expenses occurring in the same countries. In all cases, extractors, producers, and consumers will see the effect of the price, and if the price is sufficiently higher, will change behavior. In practice, equilibrium effects will alter these results, but the outcomes are likely to remain the same (Whalley and Wigle 1991).
On the extraction side, some nations (especially in the Middle East) will have a very high carbon price revenue relative to GDP when looking at extraction (of nearly 5%), while the same countries have much lower carbon price revenue on production and consumption (figure 5). The nations that have the largest revenue relative to GDP on production emissions (China, India, Kazakhstan, etc) also have much lower revenue than the extracting nations. This is the effect of distribution, which is also seen in figure 3. For the two largest economies (USA and China), which were also the two largest extractors, producers and consumers in 2011, the spread between the supply-chain implementations are relatively small, although USA will have a lower carbon price revenue than the world average, and vice versa with China, due to different income levels. The OECD nations will generally get a smaller revenue from carbon pricing relative to their economies than the world average, and vice versa with non-OECD nations, again reflecting the different income levels. While OECD nation's consumption causes the largest absolute revenue, non-OECD nations have the highest absolute revenue from extraction.
6. Discussion and conclusions
This study shows how consumers are affected by a carbon price, both on a global level and on regional level. The point of carbon price implementation along the supply-chain, based on the accounting system, changes how regions are affected by carbon pricing for both cost increases and revenues. Using a carbon price of 20$/tCO2 increases the expenditure and revenue globally by about 1% of GDP in 2011. For comparison, the UN has called for a carbon price of minimum 100$/tCO2 to shift markets and investments in line with the 1.5°–2° pathway (United Nations Global Compact 2016).
The impacts of the carbon pricing can be considered in terms of sectors or countries, and in terms of revenue and increased expenditure. In terms of sectors, we show that the electricity and energy intensive sectors have the largest relative price increases, but the largest absolute increases in expenditure are in non-energy-intensive and service sectors due to the large volume of expenditure in those sectors. This cost mostly falls on household consumers, as opposed to government or capital investments.
On the regional level, we show the carbon price can be implemented at different points along the supply chain, and this affects who gets the carbon price revenue and increased expenditure. The implementation point of carbon price (extraction, production or consumption) makes a large difference between nations' revenue of the carbon price relative to GDP. Since non-OECD nations have the largest share of global emissions (extraction, production and consumption) they will get more absolute revenue than the world average, and OECD regions will get less. In many cases, the increased revenue by applying a carbon tax may compensate for lost revenue in fossil fuel markets, and more broadly, offer effective ways to mobilize climate finance (Steckel et al 2017).
A fragmented carbon price regime (where different implementations are chosen by different countries), such as the ones in effect today, have not been considered in this study. In a fragmented regime, the carbon price is only applied to a subset of countries or sectors. Figures 2–4 allow some analysis of regional fragmentation, as we show the contribution of carbon prices in different countries to the total. Regional fragmentation has been discussed at length in the literature on production and consumption based accounting (Peters 2010, Jakob et al 2014), with deeper analysis on the economic implications (Böhringer et al 2012b). We have not analyzed fragmentation within a region (such as a carbon price only applied to energy-intensive sectors), though such an analysis could be done within our framework. Most economic studies focus on the energy-intensive sectors (Böhringer et al 2012b), but our analysis and that of others suggests closer attention should be part to non-energy-intensive manufacturing and service sectors (Peters et al 2011, Suh 2006).
Our aim was to show the difference between alternative forms of implementation, and not pass judgment on what we may see as the most economically efficiency, environmentally effective, or politically feasible. To analyze these more detailed aspects or actual implementation would require the use of different modelling tools, such as general equilibrium models to allow the system to respond to different impositions of carbon pricing (e.g. Böhringer et al (2012a) and Whalley and Wigle (1991)) or political economy. We leave that analysis to future work.
Acknowledgments
The authors acknowledge funding from the Norwegian Research Council project 'Governing EU–Norwegian willingness to extract, combust and consume less carbon' (project no. 235689).




