Abstract
Unsustainable water use challenges the capacity of water resources to ensure food security and continued growth of the economy. Adaptation policies targeting future water security can easily overlook its interaction with other sustainability metrics and unanticipated local responses to the larger-scale policy interventions. Using a global partial equilibrium grid-resolving model SIMPLE-G, and coupling it with the global Water Balance Model, we simulate the consequences of reducing unsustainable irrigation for food security, land use change, and terrestrial carbon. A variety of future (2050) scenarios are considered that interact irrigation productivity with two policy interventions— inter-basin water transfers and international commodity market integration. We find that pursuing sustainable irrigation may erode other development and environmental goals due to higher food prices and cropland expansion. This results in over 800 000 more undernourished people and 0.87 GtC additional emissions. Faster total factor productivity growth in irrigated sectors will encourage more aggressive irrigation water use in the basins where irrigation vulnerability is expected to be reduced by inter-basin water transfer. By allowing for a systematic comparison of these alternative adaptations to future irrigation vulnerability, the global gridded modeling approach offers unique insights into the multiscale nature of the water scarcity challenge.
Export citation and abstract BibTeX RIS

Original content from this work may be used under the terms of the Creative Commons Attribution 3.0 licence.
Any further distribution of this work must maintain attribution to the author(s) and the title of the work, journal citation and DOI.
1. Introduction
Excessive groundwater extraction for irrigation in areas of slow recharge is the main cause of groundwater depletion (a persistent decrease in the volume of water stored in aquifers) in regions including India, Northeastern China, Mexico, Middle East and Northern Africa (Aeschbach-Hertig and Gleeson 2012), as well as Midwest, South and West US (Konikow 2013). Facing growing water demand, many of these regions will increasingly rely on unsustainable freshwater withdrawals. Wada and Bierkens (2014) estimate that 30% of the human water consumption is currently supplied from overuse of surface water and nonrenewable groundwater resources, and this is projected to increase to 40% by the end of the century. In the recently released Sustainable Development Goals (SDGs) (United Nations 2015), one target set forth by the United Nations for 2030 is to ensure sustainable withdrawal and supply of freshwater in the coming decades. Water usage for irrigation, which accounts for 70% of global annual water withdrawal (Alexandratos and Bruinsma 2012), constitutes a crucial part of this agenda.
Reducing unsustainable water consumption in the absence of efficiency gains may have an adverse impact on yields and thus pose a significant challenge for future food supplies (Elliott et al 2014). Most studies of future irrigation scarcity focus on the compounding effects of efficiency improvements and water quantity restrictions, whereas much less attention has been given to understanding the individual role of each (Hanjra and Qureshi 2010, Schmitz et al 2013). Yet this is often what is needed to inform decision makers. We therefore ask the question: how is unsustainable water use at the local level shaped by large-scale underlying drivers such as changing population, affluence, technology, and climate? To answer this question first requires assessments of the extent of unsustainability, which is a key requirement to quantify the impact of restoring sustainability on development metrics. The next step in this chain of analysis is to investigate potential adaptations. Of interest in this paper are two types of adaptations: inter-basin hydrological transfers and international market integration. Both have been shown effective to combat water scarcity by trading physical water (Haddeland et al 2014) and virtual water (Liu et al 2014). In the long run, these adaptation measures are likely to interact with each other, as well as with the large scale drivers of global change. We are interested in the economic implications of these interactions.
Answering these questions requires a quantitative model. The model must capture the way in which global drivers of economic growth operate, yet it must also capture the rich geo-spatial information about hydrological conditions and irrigation productivity in agriculture. In water-focused economic models, ignoring the geophysical variation within an economy can result in misleading projections of local water demand and supply (Amarasinghe and Smakhtin 2014, Liu et al 2016), rendering the simulation of policies of little use to decision makers (Dinar 2014). Recognizing the issue, this paper introduces a gridded global model of crops, land use and carbon emissions with sub-national detail, dubbed SIMPLE-G. This economic model is further coupled with the global Water Balance Model (WBM) (Grogan 2016, Wisser et al 2010) to study the economic implications of pursuing sustainable irrigation in terms of food security and land use change. Compared to other studies coupling economics and hydrology (Bekchanov et al 2017), this work highlights the value of grid-resolving and high-resolution modeling at global scale.
2. Methods
2.1. SIMPLE-G model
SIMPLE-G is a multi-region, partial equilibrium model of gridded cropland use, crop production, consumption and trade. It extends the SIMPLE model developed by Baldos and Hertel (2012). While the SIMPLE model has been widely employed to study long run sustainability issues in agriculture (Baldos and Hertel 2014, Hertel et al 2014), this paper illustrates the first full scale application of SIMPLE-G. In this model, regional land and nonland inputs, as well as crop output are first downscaled to 30 arc-min resolution. Then at each grid-cell land input and output are split into irrigated and rainfed categories based on the MIRCA2000 data (Portmann et al 2010). Additionally, water is broken out as an explicit input to produce irrigated crops. Crop water demand is computed as the product of grid specific irrigated cropland area (in ha) and a crop consumptive water use parameter (in m3 ha−1). This parameter is calculated by the Global Crop Water Model for the period 1998–2002 based on a soil water balance model performed in daily time steps (Siebert and Döll 2010).
Water availability at each grid-cell is obtained from the hydrological model. Within the hydrologic model, water availability and water use are modeled together, so that water available for irrigation is not only a function of precipitation and river discharge, but also water use by the livestock, domestic, and industrial sectors. The initial valuation of water as an economic input is based on the yield difference between irrigated and rainfed crops within the same grid-cell. This yield difference, valued at FAO prices and then aggregated across crops, results in an implied average return to irrigation in a given grid-cell. How this return varies, at the margin, in the face of water scarcity is determined by the 'shadow price' of water (the estimated price of water when its actual market price does not exist) and obtained as part of the model solution. The determining equation is the one which equates supply and demand for irrigation water within a given sub-basin. In turn, this is reflected in the production decisions by farmers, who employ irrigation water up to the point where this shadow price equals the marginal value product of water in crop production.
In this model, the world is split into sixteen economic regions (table S3). Regional consumption is disaggregated into four commodities (crops, livestock, processed foods and biofuels). Regional demand is driven by population, per capita income, and biofuel mandates (all exogenous to the model) as well as prices (endogenous in the model). See the supplementary material available at stacks.iop.org/ERL/12/104009/mmedia for the linearized form of the equations in the core-model. When accompanied by initial conditions (baseline year 2006) and update equations, and implemented via the GEMPACK software suite (Harrison and Pearson 1996), we are able to solve the underlying non-linear equations for a new equilibrium—in this case 2050. The year 2006 is chosen as the benchmark, given that the non-gridded SIMPLE model based on the same year has been subjected to extensive historical validation (Baldos and Hertel 2014, Hertel et al 2014).
2.2. Water Balance Model
The WBM (Grogan 2016, Wisser et al 2010) is a global, gridded model representing the land surface component of the hydrologic cycle. Water mass balance is resolved at each grid-cell within the global (approximately 62 000 cells) WBM and aggregated spatially to sub-basins. The hydrological boundaries of sub-basins are identified by sub-dividing the digitized river network over large drainage basins, and merging small coastal drainage basins, to achieve sub-basin areas between 90 000 and 200 000 km2, resulting in a total of 958 sub-basins globally. Hydrologic sub-basins are used instead of full drainage basins because large basins can have significant spatial heterogeneity in water supply and demand.
Total water supplied to each sub-basin is affected by a complex set of processes which evolve dynamically over time, depending on climate, land use, river flows and hydrological infrastructure (figure S5). These were simulated by WBM for three water sources—surface water flows, reservoir water, and renewable shallow groundwater. Daily precipitation is an input to WBM which is subsequently split into canopy interception, soil infiltration, and surface runoff. WBM predicts spatially and temporally-varying water volume and water quality variables at daily time steps. These were aggregated to yearly long-term means over the hydrologically-defined sub-basins. WBM was run for the historical period (1980–2012) using historical MERRA climate drivers (Global Modeling and Assimilation Office (GMAO) 2011), and for bias-corrected GISS-E2-R climate projections (Schmidt et al 2014) for 2013–2099 following the RCP 8.5 scenario representing the future economy under high emissions growth.
2.3. Experimental design
The success of the Green Revolution since the 1960s contributed to a rise in the total factor productivity (TFP) of irrigated versus rainfed agriculture (FAO 1996). TFP measures growth in outputs, relative to inputs, where the former are revenue-share weighted, while the latter are weighted by their respective cost-shares. Whether the trend of more rapid irrigated TFP growth will persist into the future is an open question. Therefore, we consider two sets of experiments reflecting two distinct worlds going forward to 2050. In the first case, both irrigated and rainfed TFPs grow at the same rate in the future, whereas in the second, the rate of TFP growth in the irrigated crop sector cumulates to a total TFP growth which is 8.8% faster than for rainfed over the entire period (see supplementary material for the calibration of this additional growth rate). Each assumption is interacted with three scenarios—business-as-usual (BAU), inter-basin water transfer (IBT) and integrated world markets (INT). The IBT scenario assumes that the sub-basins are integrated through a hydrological project. Accordingly, the equilibrium between water demand and supply, and hence the shadow price of water, is established at the integrated basin level, rather than at the individual sub-basins. The INT scenario focuses on integration of commodity markets instead of water. It assumes one uniform crop price globally that is determined by the equilibrium of world aggregate demand for and supply of crops. In contrast, in the baseline model, the crop price is determined by regional demand and supply equilibrium conditions and varies across regions, due to the segmentation of national commodity markets which has been the case historically. The BAU scenario leaves out these adaptation measures, i.e. no inter-basin water transfer or market integration. By interacting these two adaptation scenarios, along with the BAU, with the two irrigation productivity growth assumptions, we end up with a total of six experiments (table 1).
Two economic equilibrium states—before and after a shock to a set of exogenous variables are compared for 2050. In this context, the shock is based on the attainment of a sustainable level of water use measured by an 'irrigation vulnerability index', which is constructed as the irrigation consumption-to-availability ratio. Irrigation water consumption is computed as the product of the consumptive water use parameter and the derived demand for irrigated land simulated by SIMPLE-G. Irrigation availability is simulated by WBM, as the residual of total water supply minus the amount consumed by industries, households, and livestocks. This index permits us to locate the hotspots where freshwater for irrigation tends to be overused. The magnitude of the shocks depends on the exceedance of this index over the sustainability threshold. Alcamo et al (2000) considered a country to be water scarce if the annual freshwater withdrawal is larger than 20% of total annual water supply. We follow this literature and adopt 20% as the threshold for unsustainable irrigation in the present assessment.
Note that, in each of these six possible future worlds, the sub-basins identified as unsustainable will also be different due to the combination of these external drivers. After each simulation, the sub-basin level irrigation vulnerability index is recomputed within the model. If the resulting index is greater than 0.2, the sustainability experiment shocks the index downward such that no more than 20% of the total water available for irrigation at each sub-basin is consumed and a sustainable state is reached.
Figure 1. Irrigation vulnerability index at the sub-basin level, 2050 baseline relative to 2006 baseline. The 2050 baseline assumes the RCP 8.5 forcing scenario, no sustainability requirement, no adaptation, and no incremental TFP growth in irrigated sector. Given that fossil groundwater withdrawal is not included in total water supply, water available for irrigation can be negative in some sub-basins. That means irrigation water in these sub-basins comes from nonrenewable groundwater mining. These basins are defined as 'deficit'. 'Sustainable' and 'unsustainable' refer to vulnerability indices that are below and above 0.2, respectively.
Download figure:
Standard image High-resolution imageTable 1. Experiment matrix. Experiments (a), (b), and (c) represent the scenarios of business-as-usual, inter-basin transfer, and integrated market when equal irrigated TFP growth is assumed. Experiments (d), (e), and (f) represent the scenarios of business-as-usual, inter-basin transfer, and integrated market when faster irrigated TFP growth is assumed. Business-as-usual means no adaptation (either IBT or INT) involved.
| Total factor productivity growth in irrigated sector | Business-as-usual (BAU) | Inter-basin hydrological transfers (IBT) | Integrated international market (INT) |
|---|---|---|---|
| Equal | (a) | (b) | (c) |
| Faster | (d) | (e) | (f) |
3. Results
3.1. Irrigation vulnerability evolves differently among sub-basins due to their heterogeneous response to external drivers
What is the outlook of irrigation vulnerability in 2050 after taking into account the factors that affect irrigation water demand and supply? A comparison of the 2050 and 2006 vulnerability indices is shown in figure 1. Future irrigation is predicted to be more vulnerable in South Asia, Central China, the Mediterranean region, the Pampas, and Southeast Africa. Two cases are of particular concern from a sustainability point of view: sub-basins where the index value was originally below 0.2 but rises above the threshold ('become unsustainable'), and the already irrigation-stressed sub-basins that will consume an even larger share of the irrigation water supply in the future ('remain unsustainable and more'). There are also regions where irrigation is currently unsustainable, but is projected to become more sustainable in the future. These regions, mainly the Central US, Iran, parts of East Europe, Northeast China and Southern Australia, experience higher rainfall under the RCP 8.5 climate scenario, exceeding the increase in consumptive irrigation. Again, these regions can be classified into two groups: the sub-basins that suffer from vulnerable irrigation today but will not in 2050 ('become sustainable'), and the sub-basins that remain vulnerable but wherein the index falls in the coming decades ('remain unsustainable but less').
3.2. Restricting irrigation tends to raise food prices and the prevalence of undernourishment in less-developed countries
Irrigated crop output in sub-basins experiencing curtailed irrigation water consumption is expected to fall. This reduction, however, can be offset by the expansion of rainfed output in the same sub-basin, or by promoting irrigated and rainfed production in the other sub-basins where irrigation remains sustainable. Simulation results suggest the net effect on crop output to be negative in the heavily irrigated regions like China, South Asia, Middle East and North Africa (MENA), and Central Asia, whereas the expansion of rainfed production in less irrigation-vulnerable regions such as Latin America, Southeast Asia and Sub-Saharan Africa (SSA) outweighs the contraction of irrigated output and boosts total crop output (figure 2(a)). Crop prices increase even in regions where total output rises due to the more expensive water input (figure 2(b)). As a result, food consumption in calories (as a function of per capita income) declines, causing over 800 000 more people globally to be undernourished if no adaptation is made (figure 2(c)).
Figure 2. Percent change of crop output (a) and price (b), and change of undernourished population in thousands (c). Results report only less-developed countries—CHN (China), L_Amer (Latin America), MENA_CA (Middle East, North Africa, and Central Asia), S_Asia (South Asia), SE_Asia (Southeast Asia) and SSA (Sub-Saharan Africa). Undernutrition in developed countries is more complex, localized, relatively smaller in number, and thus less well-suited to our modeling approach. Dashed and dashed dotted vertical lines in sub-figure (b) show the integrated market crop price change when total factor productivity (TFP) growth in irrigated sector is equal to or faster than its rainfed counterpart. When the market is integrated, crops are sold at one world price. The change of this global uniform price can be intuitively understood as the weighted average of segmented regional price change. Bubbles in sub-figure (c) are scaled by the proportion of undernourished population in the region in the baseline. Acronyms BAU, IBT, and INT indicate respectively business-as-usual, inter-basin transfer and integrated market.
Download figure:
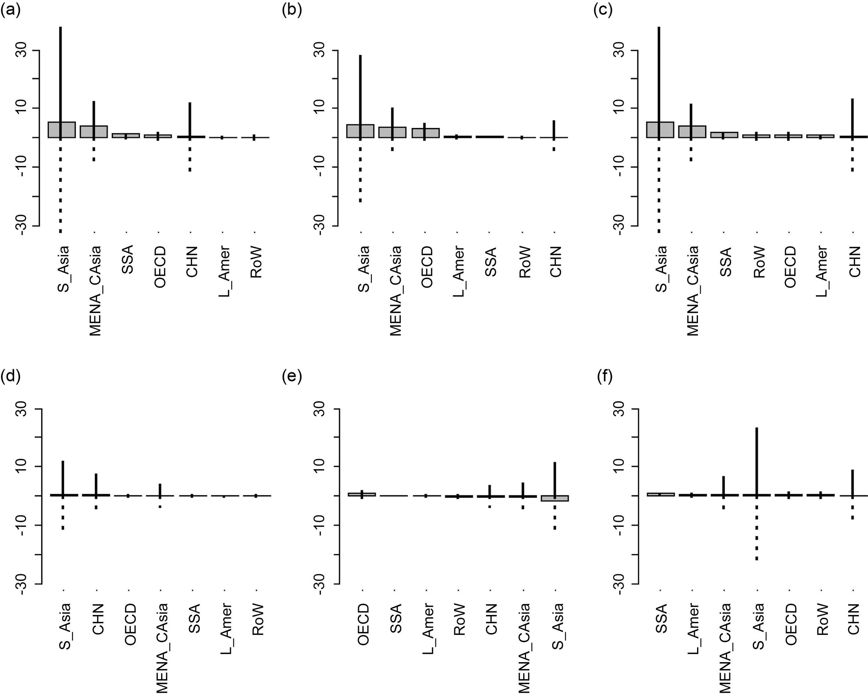
Standard image High-resolution imageFigure 3. Regional cropland area change (unit: million hectares). The top panel shows the results of equal total factor productivity (TFP) growth interacted with (a) business-as-usual (BAU), (b) inter-basin hydrological transfers (IBT), and (c) integrated market (INT). The global net cropland changes are 12.73, 11.52, and 14.32 million hectares, respectively. Bottom panel shows the results of faster TFP growth interacted with (d) BAU, (e) IBT, and (f) INT. The corresponding areas are 1.43, −1.24, and 3.88 million hectares. Net area change and the change of rainfed and irrigated cropland are represented by the bars, solid lines and dotted lines, respectively.
Download figure:
Standard image High-resolution imageWhat about the role of inter-basin water transfers in improving food security? These projects act to buffer the shock in irrigation-vulnerable regions, as demonstrated by diminished output reduction, milder price rise (circle vs. asterisk in figures 2(a) and (b)) and fewer additional malnourished people (IBT vs. BAU, equal TFP in figure 2(c)). However, this is true only if productivity in the irrigated sector does not grow faster than its rainfed counterpart. Otherwise, the productivity advantage of irrigated agriculture will attract more inputs (including irrigation water) to produce crops. The existence of large-scale hydrological transfer projects, in this case, may encourage more aggressive water use for irrigation, leaving a larger number of merged basins to be unsustainably exploited. This in turn will generate more severe impacts on food production and price (dot vs. circle in figures 2(a) and (b)) and increase malnutrition prevalence by 36% (IBT faster TFP vs. IBT equal TFP in figure 2(c)) once the sustainability constraint is imposed.
When the commodity markets are segmented, the price response to water constraint is larger in the more irrigation vulnerable regions, while in an integrated market, moving to sustainable irrigation results in a uniform increase of 0.39% in world crop price. When commodity markets are integrated, price transmission through trade forces SSA, Latin America, and Southeast Asia—all regions facing fewer sustainability constraints, to bear the consequences of irrigation constraints in the other regions (INT vs. BAU, equal TFP in figure 2(c)). When combined with the scenario of faster irrigated TFP growth, the effect of integrated markets is amplified—more pronounced changes in output (filled triangle in figure 2(a)) and global food price (0.63%), as well as higher prevalence of malnutrition (INT faster TFP vs. INT equal TFP in figure 2(c)). The reason is the strengthened regional comparative advantage caused by additional irrigated TFP growth. That fosters the growth of irrigated production in the already heavily irrigated regions. In many cases, expansion takes place at locations where irrigated farming is competitive and unsustainable water consumption is high. These unsustainable hotspots will experience heightened irrigation vulnerability, larger sustainability shocks, and stronger impacts on output, price and undernutrition.
3.3. Restricting irrigation encourages cropland expansion into rainfed area and increases carbon emissions
Given the yield-boosting effect of irrigation, cutting back irrigation water consumption requires expansion in rainfed cropland areas to compensate for the productivity loss. This is particularly true in the South Asia and the MENA regions (figure 3) where unsustainable irrigation is considerable and the yield gap between irrigated and rainfed cultivation is large. As for adaptations, again the hydrological infrastructure tends to suppress land use change (12.7 vs. 11.5 Mha and 1.4 vs. −1.24 Mha). However, this is not the case with market integration (12.7 vs. 14.3 Mha and 1.4 vs. 3.9 Mha)—cropland expands in some regions (see table S3). The net cropland area change caused solely by imposing the sustainability constraint is generally small, ranging from 12.7 to 14.3 Mha if assuming equal rates of TFP growth. This change becomes even smaller if the productivity of irrigated farming grows faster, reflecting the land-saving effect of intensive agriculture. Nonetheless, the split of the gross changes into irrigated and rainfed cropland is more substantial in South Asia, China and the MENA regions (figure 3). The spatial distribution of area change could contain valuable information about the carbon emissions associated with land use change, given the high variability of carbon stocks (in C ha−1) within regions (West et al 2010). Our grid-resolving model is important in understanding these site-specific effects.
Figure 4 shows the net cropland change at each 30 arc-min grid from the six experiments. Cropland contraction in India is concentrated in the Indus and Ganga basins, while the expansion extends to almost the entire country. In China, water transfer prevents cropland loss in the North and Northeast China Plain. Cropland expansion is mainly clustered in the eastern part of China, especially the Yangtze river basin. This pattern, however, is altered by the more rapid technological change in irrigated agriculture, and cropland contraction starts to appear in the Eastern China. The productivity advantage in this area further intensifies irrigation, which when restricted in the sustainable irrigation scenario, leads to net cropland loss.
Download figure:
Standard image High-resolution imageFigure 4. Net cropland area change at the 30 arc-min grid-cell level (unit: thousand hectares). Sub-figures show the changes when equal total factor productivity (TFP) growth is interacted with (a) business-as-usual (BAU), (b) inter-basin hydrological transfers (IBT), and (c) integrated market (INT), as well as the changes when faster TFP growth interacted with (d) BAU, (e) IBT, and (f) INT. Global net cropland changes are 12.73, 11.52, 14.32, 1.43, −1.24, and 3.88 million hectares, respectively. See figure S7 for separate maps of irrigated and rainfed cropland area change.
Download figure:
Standard image High-resolution imageThese fine-scale maps allow for more precise assessment of potential carbon emissions from land use change. Carbon emissions at each half-degree grid-cell are computed by multiplying net cropland area change (in ha) with carbon stock (in C ha−1) at the same resolution. According to West et al (2010), conversion to cropland corresponds to negative carbon sequestration (i.e. emissions). Therefore, net cropland expansion in figure 4 translates into net carbon emissions in figure 5. Some high and medium-high carbon stock hotspots in West et al (2010)'s map such as the West African coast, Southern Brazil, Southern and Eastern China, and India experience significant net cropland expansion in our results, contributing most to the total carbon emission change (see figure S8 for a Spearman correlation plot between grid-cell level carbon stock factor and net cropland area change). Under the no adaptation, equal irrigated TFP growth scenario, carbon emissions caused by restricted unsustainable irrigation increases by 0.871 GtC, which amounts to an additional 9% of global carbon emissions in 2014. This amount is attributed solely to the land use change caused by imposing sustainability constraint to the 2050 baseline, but not to any area change between 2006 and 2050 baseline. Implications for CH4 and N2O are not examined.
Download figure:
Standard image High-resolution imageFigure 5. Net carbon emissions at the 30 arc-min grid-cell level (unit: thousand metric tonnes of carbon). Sub-figures show the changes when equal total factor productivity (TFP) growth is interacted with (a) business-as-usual (BAU), (b) inter-basin hydrological transfers (IBT), and (c) integrated market (INT), as well as the changes when faster TFP growth interacted with (d) BAU, (e) IBT, and (f) INT. Global net changes in carbon emissions are 0.871, 0.826, 1.025, 0.180, 0.053, and 0.464 gigatons of carbon (GtC), respectively.
Download figure:
Standard image High-resolution image4. Discussion and conclusions
Several findings emerge from our analysis. First of all, pursuing sustainable irrigation without significant gains in the productivity of irrigation water may erode other development and environmental goals. In our case, curtailing irrigation raises food prices in less-developed countries and causes more carbon emissions from cropland conversion. This suggests that the SDG targets should be approached through policies that simultaneously address the socio-economic as well as ecological dimensions of the problem. It is also necessary to distinguish between sustainable irrigation and the overall conservation of the extent of irrigated land. In fact, in order to meet the increasing demand for food, irrigation should be encouraged whenever and wherever it is environmentally sustainable. The key is to improve the spatial and temporal allocation of water used for irrigation.
Second, adaptation through moving water directly by means of inter-basin hydrological transfers and indirectly through virtual water trade can help resolve divergences in local water demand and supply, and therefore mitigate the pressure of excessive water consumption. These adaptation measures do, however, have different implications for individual regions. For example, the malnutrition status in SSA is improved by inter-basin transfers but exacerbated by integrated crop markets, relative to the BAU scenario. Interpreting the difference automatically as an indicator of policy preference would be a myopic response that one should try to avoid. Indeed, IBTs have important drawbacks including requiring costly infrastructure which displaces people and ecosystems (Dhawan 1989, Zaveri et al 2016), as well as the anthropogenic impacts on aquatic ecosystems connected by IBTs (Fornarelli et al 2013). These counterfactual simulations provide useful insights into the possible cost of taking no action, but at the decision-making point it would be necessary to rely on more sub-national detail to conduct a case study.
Third, relatively faster productivity growth in irrigated agriculture leads to different outcomes of pursuing sustainable irrigation. Its role is more salient to land use change than to crop output, because the former depends directly on agricultural intensification while the latter can be affected by both the intensive and extensive margin of crop production. Persistence of this productivity advantage into the future may complicate the evaluation of adaptation measures. Our results show that higher irrigated productivity encourages more aggressive consumption of irrigation water in the receiving sub-basins of inter-basin transfers, which may counteract the potential benefit of these hydrological infrastructures. On the other hand, unless productivity grows faster in currently less agro-technologically developed countries, the comparative advantage gap will be further widened by the amplifier effect of TFP difference. The disadvantaged countries may suffer from higher food prices in the wake of sustainability constraints, once the market becomes more integrated. These observations by no means imply abandoning investment in research and development (R&D) in the relevant regions; rather they suggest the need to counteract the effects of sustainability policies by investing in productivity-enhancing R&D in the relatively disadvantaged regions.
This application illustrates the value of grid-resolving modeling for mediating between global drivers of change and local environmental constraints, which, in turn, may affect regional and global outcomes. Our results clearly show considerable within-region variation in the extent of irrigation vulnerability, land use change, and the associated carbon emissions. These spatially heterogeneous responses would be masked by the aggregated regional impacts in many of the coarser resolution global economic models. There is great potential in this type of multi-scale framework for analyzing sustainability issues in general, and water scarcity, in particular.
A number of limitations must be addressed in future work (also see supplementary information 3.3). Constructing a more recent baseline is currently limited by the outdated source data on global gridded irrigation and crop production. Introducing feedback loops between economic and hydrologic models would enrich our understanding of the interactions between different systems, but does introduce considerable computational complexity. Only one climate scenario is used in view that the current paper is primarily focused on the role of adaptations in alleviating unrenewable water withdrawals for irrigation. However, the role of climate change in determining the future sustainability of irrigation warrants further exploration. With regard to land use change, the potential of cropland expansion could be refined by improving estimates of the supply elasticity of cropland. These should take into account gridded information on the suitability of land for use in crop production, as well as market access. Our model works with a crop composite which is aggregated up from rich information about specific crops. When we simulate the model forward in time, we assume that the crop composition in each grid-cell is fixed. The sustainability threshold should also be more carefully evaluated at the local level, instead of implementing the uniform 20% threshold throughout the world. Finally, SIMPLE-G assumes that all water supply in each merged sub-basin is available, even though the total supply of water may not be, in reality, available to all water users in the aggregated basin, ignoring real-world challenges of topography and infrastructure availability.
Acknowledgments
This work was supported by Research in Integrated Assessment Inter-Model Comparison Development, Testing, and Diagnostics (DE-SC0005171) and Program on Coupled Human and Earth Systems (IARP 61351720-124215). The authors would also like to thank the reviewers for their constructive comments on this manuscript.






