Abstract
Over the past 50 years, there have been major changes in human diets, including a global average increase in meat consumption and total calorie intake. We quantified how changes in annual per capita national average diets affected requirements for mined P between 1961 and 2007, starting with the per capita availability of a food crop or animal product and then determining the P needed to grow the product. The global per capita P footprint increased 38% over the 46 yr time period, but there was considerable variability among countries. Phosphorus footprints varied between 0.35 kg P capita−1 yr−1 (DPR Congo, 2007) and 7.64 kg P capita−1 yr−1 (Luxembourg, 2007). Temporal trends also differed among countries; for example, while China’s P footprint increased almost 400% between 1961 and 2007, the footprints of other countries, such as Canada, decreased. Meat consumption was the most important factor affecting P footprints; it accounted for 72% of the global average P footprint. Our results show that dietary shifts are an important component of the human amplification of the global P cycle. These dietary trends present an important challenge for sustainable P management.

Content from this work may be used under the terms of the Creative Commons Attribution-NonCommercial-ShareAlike 3.0 licence. Any further distribution of this work must maintain attribution to the author(s) and the title of the work, journal citation and DOI.
1. Introduction
Phosphorus (P) is an essential element for all life (Smil 2000) that is often limiting to primary production across a diverse range of ecosystems (Elser et al 2007). Thus, its addition to soil is a key part of high-yield agriculture (Tilman et al 2001, 2002). Anthropogenic changes to global P cycling, largely due to mining P for use as fertilizer, have increased the rate of P movement from mineral deposits to the ocean four-fold (Smil 2000, Falkowski et al 2000). Such increases are principally due to three changes in the global food system: increases in population, which require an overall increase in food production (Cordell et al 2009a); changes in diet to more P intensive products (Keyzer et al 2005); and changes in agricultural methods, including intensification of fertilizer inputs to increase yields (Tilman et al 2002, Godfray et al 2010).
These anthropogenic changes to the P cycle present an interesting paradox. On the one hand, we face rising prices and potential scarcity of non-renewable P resources (Cordell and White 2011, Cooper et al 2011, Vaccari and Strigul 2011). The finite supply of P is a key concern because there are no substitutes for P and we cannot produce more than exists on Earth. On the other hand, excessive P losses to aquatic ecosystems through runoff and erosion have caused the eutrophication of many lakes and coastal ecosystems (Carpenter et al 1998, Smith and Schindler 2009). The overuse of P resources is both a threat to food security and to downstream ecosystems.
To identify strategies that mitigate the losses of P that cause eutrophication and to extend the lifetime of existing P resources, researchers have examined increasing P use efficiency (e.g., Crews 2005, Gaxiola et al 2011, Simpson et al 2011) and increasing P recycling (e.g., Dawson and Hilton 2011, Mihelcic et al 2011, Rittmann et al 2011) in the context of P sustainability. We lose the majority of P applied to crops along the agro-food chain and there is significant potential for improved practices at every step of the chain; from judicious fertilizer application, genetically modified crops and vegetative buffers around streams, to recycling human urine and composting urban waste streams.
However, little previous work has quantified the role of diet in sustainable P management. We expect diet to play a key role because increased meat consumption amplifies the requirement for P fertilizer inputs (Pimentel and Pimentel 2003). The P required to produce meat is high because the process of converting feed to meat is inefficient, with P losses during feed production in addition to losses in excrement. If dietary composition (e.g., the fraction of meat in the diet) is associated with differences in P demand, then shifts in diet may drive important changes in the P cycle and diet modulation may be an important lever to help reduce P demand. Still, the importance of diet relative to other demand-side factors remains unclear. For example, Cordell et al (2009a, 2009b) suggest moving from a meat- to vegetarian-based diet as part of a sustainable P management plan. They estimated based on global generic vegetarian and meat diets (i.e. not specific to any one place or population) that if future populations ate a low P vegetarian diet, anthropogenic P consumption could be 50% lower in 2050 than in 2000, but they highlight the fact that there are few empirical data about the relationship between diet and P requirements nor comprehensive analyses of temporal dynamics or geographic variation.
While estimates of P requirements for generic meat versus vegetarian diets provide an important first step, such aggregated data offers little basis for individuals or political entities to consider diet mitigation as a strategy to reduce P demand. This is because regional diet patterns are unique (York and Gossard 2004) and meat consumption has changed unevenly across the globe, especially in concert with different patterns of shifting affluence (Grigg 1993). Such unevenness suggests that measures to reduce P demand via dietary shifts will also need to be location specific. To address these issues, we examined diet changes between 1961 and 2007 and estimated their effect on P requirements to elucidate the relationship between diet and demand for P, to clarify how changes in diet might impact P demand, and to identify factors that may change the effectiveness of policies to reduce mined P demand by altering diet. We use the concept of a ‘dietary P footprint’, defined as the amount of P required to produce a country’s annual per capita food consumption, to answer the following questions.
- (1)How has the global food P footprint changed between 1961 and 2007, and do these changes differ in various countries around the world?
- (2)What are the primary drivers of differences in per capita food P footprints between countries?
- (3)How important are changing global diets, especially shifts in meat consumption, in explaining changes in total global P consumption?
- (4)What are possible future impacts of trends in P consumption?
2. Methods
2.1. P footprints
We quantified changes in P footprint—the average amount of mined P required to produce the food consumed per capita per annum—based on diet composition for a globally distributed set of countries between 1961 and 2007. We calculated P footprints for all countries for which data were available in 1961 (N = 165) and 2007 (N = 170). We also calculated the annual P footprints for 19 countries for each year between 1961 and 2007. These countries were chosen to represent: (1) all continents; (2) a wide range of changes in gross domestic product (GDP) over the study period; and (3) countries for which there were both food availability and GDP data from 1970 to 2007.
Using FAO Food Balance Sheets (2011) for each country, we took the per capita availability of 9 crop categories (e.g., cereals) and 5 animal product categories (e.g., beef) and multiplied each by a conversion factor representing the amount of P needed to produce the product (table 1, see supporting information available at stacks.iop.org/ERL/7/044043/mmedia for more detail). We used crop categories rather than individual crops because some countries reported fertilizer application on crop categories while others reported individual crops. By using crop categories we could incorporate individual crops as well, thus creating a more representative global average. We used food availability as a proxy for food consumption (Jacobs and Sumner 2002), recognizing that standardized data for food consumption are not consistently available and that food availability has been successfully used as a proxy for dietary consumption by the FAO and other public agencies.
The conversion factors, used to determine the amount of mined P fertilizer needed to produce each crop or crop category, were calculated by multiplying the dry matter content of each crop category (Monfreda et al 2008) and the average kg P present in the crop category (USDA and NRCS 2009, IFA 1992) by the inverse of the phosphorus use efficiency (PUE, table 1). PUE is an estimate of the recovery of P applied in the harvested crop. We calculated the global average PUE for each crop and crop category by dividing P in the harvested crop by the P applied to produce the crop, using fertilizer application data from approximately 80 countries (IFA 2002). The fertilizer application rate used to calculate PUE of each crop category was weighted according to each countries’ proportion of total production of each crop within each crop category (see supporting information on methods available at stacks.iop.org/ERL/7/044043/mmedia for more detail). We assume the average PUE of crop categories to be constant through time to allow us to examine only the effect of only changes in diet and overall production without also considering changes in management.
Table 1. Conversion factors from crop or animal product to mined P requirements by food groups under an averaged global production system.
| Food group | Dry matter and phosphorus coefficient | Phosphorus use efficiency | Conversion factor (kg P (kg of crop or animal)−1) |
|---|---|---|---|
| Cereals | 0.003 | 1.03 | 0.0029 |
| Starchy roots | 0.0004 | 1.26 | 0.0003 |
| Sugars | 0.0005 | 2.19 | 0.0002 |
| Pulses | 0.0002 | 0.53 | 0.0004 |
| Tree nuts | 0.003 | 0.47 | 0.0068 |
| Oil crops | 0.004 | 1.57 | 0.0025 |
| Vegetables | 0.0004 | 0.30 | 0.0013 |
| Fruits | 0.0002 | 0.33 | 0.0005 |
| Stimulants | 0.004 | 0.50 | 0.0076 |
| Bovine meat | 0.003a | 0.63 | 0.0612 |
| Mutton and goat meat | 0.001a | 0.45 | 0.0094 |
| Pig meat | 0.003a | 0.64 | 0.0316 |
| Poultry meat | 0.004a | 0.74 | 0.0192 |
| Eggs | 0.003a | 0.74 | 0.0126 |
| Milk | 0.003a | 0.60 | 0.0043 |
aOnly P coefficient as feed conversion efficiencies are already reported as dry matter.
To develop factors to convert animal products consumed to mined P needed to produce those products, we determined: (1) the amount of feed necessary to produce each kilogram of each animal product; (2) the composition of this feed; and (3) the amount of P required to grow each feed crop (as per the method using PUE described above). These three steps are detailed below.
2.1.1. Calculating required feed quantities for animal production.
To convert animal product availability to the amount of input feed, we used global average feed conversion efficiencies (kg of feed (dry mass) per kg of output (in carcass weight or weight of product for eggs and dairy)) for each animal product category (Bouwman et al 2005, Mekonnen and Hoekstra 2012). To isolate the mined P required to produce meat and animal products, we considered only fertilized crops in the feed conversion efficiencies for each animal product. We used the feed conversion efficiency for mixed and landless production systems and multiplied this value by the proportion of animals produced in mixed and landless systems (Bouwman et al 2005) and by the global average proportion of feed in the mixed and landless production systems made up of food crops, forage crops and scavenging. We have excluded P inputs to animal production through pasture systems and by grass in mixed production systems in order to examine the impact on mined P alone.
2.1.2. Calculating feed composition and P contained in this feed.
We converted the amount of feed consumed into the amount of P consumed by animals, recognizing that the amount of P in the feed is dependent on the composition of that feed. Feed can be divided into four diet composition categories: food crops, residue/forage crops, grass and food obtained by scavenging (Bouwman et al 2005). Because we focused on the mined P requirements of diet we excluded grass. For each of the remaining composition categories, we calculated an average weighted P concentration. For food crops, P concentration was calculated by weighting the P concentration of food crops used for feed according to the global average production of each one of these crops (FAOSTAT Commodity Balance Sheets). For forage crops, we calculated the P concentration by averaging the P concentrations (USDA and NRCS 2009) of all forage crops (Monfreda et al 2008). For the scavenging category, we used the average P concentration for human-destined food crops.
2.1.3. Calculating P required for feed-crop production.
Finally, we converted the amount of P in feed to the P fertilizer required to grow these crops. We weighted the PUE of the three feed composition categories according to their proportion of the total feed required to produce each animal category. For the food crops category eaten by animals, we used PUE for the cereals crop category because they are the most widely used category of food crops diverted from food production as feed (the remaining food crops used are residues; Hendy et al 1995). We calculated the PUE of the residues/forage crop category using IFA (2002) forage crop P application rates, and used world average yields for cereal, oil crops, roots and pulses to apply these fertilizer rates on (FAO 2011), and an unweighted average of dry matter and P coefficients for crops categorized as forage (Monfreda et al 2008). In order take into account the importance of by-products, i.e., scavenged crops, we used a neutral PUE value of 1. We thus used a PUE value of 1 for the proportion of animal categories produced with feed from scavenging. It is important to note that, although we take into consideration that grass and scavenged crops are not fertilized, these feed types remain important sources of P in the animal diet. By using feed conversion efficiencies that exclude the amount of grass required to produce the average kg of meat, or dairy and eggs, as we did, only mined P fertilizer is considered as an input to the food system (see supporting information available at stacks.iop.org/ERL/7/044043/mmedia) for alternative P conversion efficiencies based that include P inputs from pasture (supporting information figure 2 available at stacks.iop.org/ERL/7/044043/mmedia).
2.2. Explanatory factors and statistical analysis
To assess the role of diet relative to population growth in driving the demand for mineral P fertilizer, we performed a simple time-line scenario comparison. To do this, we calculated overall annual global P demand between 1961 and 2007 by multiplying the annual global average per capita P footprint by annual population estimates (UN Population Division 2011). We compared these data to P demand calculated using the same annual population estimates always using the global average per capita P demand from 1961, which eliminating the effect of changes in diet over time. This comparison isolates the role of diet relative to the role of population growth and other factors that influence P demand.
To assess the effects of development status on P use, we grouped countries into ‘developed’ and ‘developing’ categories based on their 2007 Human Development Index (HDI) value, placing countries with a score over 0.698 in the developed category, and those under 0.698 as developing (UN Development Programme 2011). We performed a Mann–Whitney U-test to compare the mean P footprint of developed and developing countries in 1961 and 2007. We also performed a paired Mann–Whitney U-test to compare developed and developing countries mean P footprint in 1961 to that of 2007 to determine whether there was a significant change in P footprint over time within each category.
We also examined potential drivers of differences in P footprints between countries to assess whether income and lifestyle choices played a role in determining P footprint of a country (Regmi 2001, Kearney 2010). To assess this hypothesis, we performed a linear regression analysis on the log transformed P footprints (2007) for all countries for which there were both P footprint and HDI data (128 countries). We also tested the relationship between HDI and P footprint for 18 countries for which both data were available annually from 1970 to 2007 using a generalized least-squares model where HDI, country, and year were used as explanatory variables. We re-centered the data by dividing the annual P footprint value of a country by the average P footprint of that country from 1970 to 2007, and did the same transformation on HDI data. Re-centering the data around country averages allowed us to focus on the relationship between HDI and P footprint in the time-series data, and not the role of country per se. We also accounted for temporal auto-correlation by using a first-order correlation structure (CorAR1). All statistical analyses were performed in R (R Development Core Team 2011).
2.3. Future scenarios
To explore the impact of future diet choices on P demand, we used UN population projections (United Nations 2004) and FAO global dietary composition projections (which do not include fruit and vegetable categories; FAO 2006) to model four future scenarios for the years 2030 and 2050, using 2007 as a base-line for comparison. The scenarios combine a future per capita diet from FAO with a low (12%), medium (35%), high (61%) and current trajectory (93%, i.e., current growth rate remains the same through out the time period) for population growth. We also calculated a future global average P footprint assuming a lacto-ovo vegetarian diet (contains no meat but includes eggs and dairy products) by converting future meat consumption to pulses (legumes such as lentils and beans) to create a fifth scenario with the lowest predicted population growth. To calculate the effect of increased or decreased meat consumption on demand for pulses, we used the ratio of protein content of meat to that of pulses and assumed a constant amount of protein in the diet. P requirements in all scenarios assume fixed 1961 to 2007 farming losses and efficiencies.
3. Results
Increases in population and in per capita food consumption combined to raise global P demand 198% between 1961 and 2007, from 5.9 to 17.6 Tg P (figure 1). Assuming a constant 1961 diet through time while allowing only population to increase augments P requirements 115% from 5.9 to 12.7 Tg P. Shifts in diet thus accounted for almost 28% of the increase in demand for mined P since 1961. The global average per capita P footprint increased 38% between 1961 and 2007, from 1.9 to 2.6 kg P capita−1 yr−1 (supporting information table 1 available at stacks.iop.org/ERL/7/044043/mmedia).
Figure 1. Change in total P fertilizer demand and P demand for human diets over time. The gray line represents change in total P mined for fertilizer use (FAO 2011), the dotted line represents total P required to feed the human population assuming a constant 1961 world average diet and the black line represents total P required to feed the population given a changing world average diet.
Download figure:
Standard imageWhile there has been an overall increase in the global P footprint, there is considerable variation across countries (figure 2, supporting information figures 1 and 2, tables 1 and 2 available at stacks.iop.org/ERL/7/044043/mmedia). In 1961, the lowest P footprints were Rwanda with 0.45 kg P capita−1 yr−1 and the Maldives with 0.47 kg P capita−1 yr−1, and the highest were Argentina and Uruguay with 7.02 and 6.8 kg P capita−1 yr−1. In 2007, the lowest P footprints were the Democratic Republic of Congo with 0.35 kg P capita−1 yr−1 and 0.48 kg P capita−1 yr−1 in Eretria, while the highest were Luxembourg at 7.64 kg P capita−1 yr−1 followed by the United States at. 6.89 kg P capita−1 yr−1. Countries in North America, Oceania and parts of South America maintained the highest P footprints throughout the study period. Most of Europe, the ex-USSR and South America had moderate P footprints (between 3 and 5 kg P capita−1 yr−1). The lowest P footprints throughout the study period were found in Asia and Africa (figure 2).
Figure 2. Annual P footprint (kg P capita−1 yr−1) of countries in (a) 1961 and (b) 2007.
Download figure:
Standard imageOverall, the mean P footprint was significantly higher in developed than in developing countries in 1961 and 2007 (table 3). The increase in P footprint between 1961 and 2007 was statistically significant for both developed and developing. Interestingly, two countries with the lowest P footprints in 1961 experienced the largest increases over the time period, a 507% increase in the Maldives and 417% in China.
Not all dietary choices have equal impact on P footprint values. Meat, egg and dairy consumption account for the majority of an individual’s P footprint (figure 3). About 72% of the global average dietary P footprint between 1961 and 2007 was due to consumption of animal-based food groups. Beef is the most P intensive meat (supporting information table 3 available at stacks.iop.org/ERL/7/044043/mmedia). Overall, the contribution of vegetable-based food products to a country’s P footprint is much smaller than that of meat and did not vary greatly among countries.
Figure 3. Average P footprint between 1961 and 2007, represented as the sum of P required to meet meat, dairy and egg consumption per capita, as well as that required for vegetable (cereals, fruit, vegetable, starchy roots, sugars and stimulants) consumption per capita, for selected countries.
Download figure:
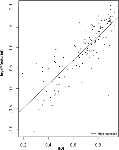
Standard imageHuman Development Index (HDI) and P footprints were positively correlated. In 2007, there was a positive linear relationship between the log of P footprint values and HDI (figure 4). When considering selected countries over the full time period, the relationship between HDI and P footprint showed a similar relationship, and where a generalized least-squares model considering HDI, country and year what the best fit to the relationship between P footprint and HDI (log-restricted-likelihood: 1028, AIC: —2010, supporting information figure 4 available at stacks.iop.org/ERL/7/044043/mmedia).
Figure 4. Relationships between human development index (HDI) and P footprint values for all available countries in 2007 (fitted regression equation: log of P footprint = 2.92 (HDI) −1.07 (R2 = 0.69, p < 2.2 × 10−16).
Download figure:
Standard imageBased on expected changes in diet (i.e., increased meat and total calorie consumption) and future population projections, demand for P could increase by 68 to 141% by 2050 (that is, to between 27.1 and 39.1 Tg P from a 2007 value of 16.1 Tg P (not including fruits and vegetable consumption); table 4). Per capita P footprint is predicted to increase from 2.45 in 2007 to 3.46 kg P capita−1 yr−1 in 2030 and to 3.67 kg P capita−1 yr−1 in 2050, a potential 50% increase in 43 years. However, if protein requirements were to be met by consumption of pulses instead of meat by 2050, the global average per capita P footprint would decrease by 20% compared to 2007 and the total global P use for food production would decrease 10% when such a diet is combined with the lowest population growth projections.
Table 2. Equation, variable definitions, units and references used to calculate P footprints.
| Equations | |||
|---|---|---|---|
| P[i] = Pcrops[i] + Panimals[i] (1) | |||
(2) |
|||
(3) |
|||
(4) |
|||
| vm = vlandlessrlandlessrk (5) | |||
(6) |
|||
(7) |
|||
| Variable | Description | Units | Reference |
| General | |||
| P[i] | The sum of all P fertilizer applied to crops for human consumption in country ‘i’ | kg P capita−1 yr−1 | Calculated |
| Pcrops | The sum of all P fertilizer applied to crops that are for direct human consumption | kg P capita−1 yr−1 | Calculated |
| Panimals | The sum of all the P fertilizer applied to crops that are fed to livestock that is ultimately eaten by humans as meat, eggs or milk | kg P capita−1 yr−1 | Calculated |
| Crops | |||
| n | The total number of crops | FAO (2011) | |
| fc | Food availability for crop or crop category ‘c’ | kg capita−1yr−1 | FAO (2011) |
| zc | The P content (as a fraction) in dry matter of crop ‘c’ | Dimensionless | USDA and NRCS (2009), IFA (1992) |
| dc | The dry matter coefficient for crop ‘c’ used to convert fresh weight of crops to dry weight | Dimensionless | Monfreda et al (2008) |
| Ec | Phosphorus use efficiency of crop ‘c’ | Dimensionless (P in crop/P applied to crop) | Calculated |
| vci | Average yield of crop ‘c’ from 1995 to 2005 in country ‘i’ | kg ha−1 | FAO (2011) |
| hi | The average amount of crop ‘c’ produced from 1995 to 2005 in country ‘i’ | Tones | FAO (2011) |
| hglobal | The amount of crop ‘c’ produced in all countries where data were available for crop ‘c’ | Tones | FAO (2011) |
| Meats and animal products | |||
| fm | Availability of the meat, dairy or egg in category ‘m’ | Carcass weight or egg or dairy product output in kg capita−1 yr−1 | FAO (2011) |
| u | Total number of animal categories | FAO (2011) | |
| vm | Feed conversion efficiency of category of animal product ‘m’ | kg of feed (dry matter) kg of output−1 | Mekonnen and Hoekstra (2012), Bouwman et al (2005) |
| vlandless | Feed conversion efficiency of animals produced in mixed and landless systems in category ‘m’ | kg of feed (dry matter) kg of output−1 | Mekonnen and Hoekstra (2012), Bouwman et al (2005) |
| rlandless | Global average proportion of animals in category ‘m’ that are produced in mixed and landless systems | Dimensionless | Bouwman et al (2005) (using 1995 numbers) |
| rk | Global average proportion of feed in mixed and landless systems for animal category ‘m’ composed of feed categories ‘k’ where k represent food crops, forage and scavenged feed categories | Dimensionless | Bouwman et al (2005) (using 1995 numbers) |
| zfeed crop mix | Global average weighted sum of P coefficient of the feed-crop mix for each animal category ‘m’ based on feed crop mixes in world regions ‘j’ | Dimensionless | Calculated |
| Efeed crop mix | PUE of the mixture of feed crops fed to livestock for each animal category ‘m’ | Dimensionless | Calculated |
| s | Total number of world regions | Bouwman et al (2005) (using 1995 numbers) | |
| hj | The production of animal category ‘m’ in region ‘j’ in a landless system with feed type ‘k’ where k can be forage, food crops or scavenged | Bouwman et al (2005) (using 1995 numbers) | |
| hglobal | The total global production of animal category ‘m’ | Bouwman et al (2005) (using 1995 numbers) | |
Table 3. P footprints of developed and developing countries over time. P-values in the bottom row refer to comparisons of P footprints between 1961 and 2007 within each group. P-values in the far right column refer to comparisons between developed and developing country groups for each year.
| Developed countries (kg P capita−1 yr−1) | Developing countries (kg P capita−1 yr−1) | p-value | |
|---|---|---|---|
| 1961 | 2.84 | 1.34 | 1.27 × 10−10 |
| 2007 | 4.02 | 1.70 | 2.2 × 10−16 |
| p-value | 2.43 × 10−6 | 0.001 |
Table 4. Possible future P consumption based on (a) dietary composition and quantity predictions (FAO 2006), reported here in kg of P capita−1 yr−1), and (b) population growth predictions (United Nations 2004), reported as total kg of P necessary to meet global human dietary demands). The current trajectory scenario refers population growth based on current growth rates, and low + vegetarian refers to a scenario with low population growth where instead of FAO dietary composition we used a vegetarian diet where animal protein are replaced with pulses.
| Year | (a) FAO consumption predictions (kg P capita−1 yr−1) | (b) UN population growth scenarios (kg P) | Extreme alternative | |||||
|---|---|---|---|---|---|---|---|---|
| Total P footprint | Meat portion of P footprint | Total vegetarian P footprint | Low | Medium | High | Current trajectory | Low+vegetarian | |
| 2007 | 2.45 | 1.32 | — | 1.61 × 1010 | 1.61 × 1010 | 1.61 × 1010 | 1.61 × 1010 | 1.61 × 1010 |
| 2030 | 3.46 | 1.55 | 1.92 | 2.54 × 1010 | 2.71 × 1010 | 2.89 × 1010 | 3.42 × 1010 | 1.41 × 1010 |
| 2050 | 3.67 | 1.72 | 1.97 | 2.72 × 1010 | 3.28 × 1010 | 3.91 × 1010 | 4.69 × 1010 | 1.46 × 1010 |
4. Discussion
Our results indicate that dietary choices, especially those related to meat consumption, have a large impact on the demand for P in food production. Approximately 28% of the total increase in P demand between 1961 and 2007 was due changes in the global average diet, including increasing meat consumption.
As diets vary around the world, so do P footprints. Our analyses show that each country’s P footprint changed uniquely though time, and that these changes were significantly correlated with wealth and development status. Citizens in poorer nations eat fewer calories and less meat and thus require less P to produce their diets. For example, China’s ∼400% increase in P footprint during the study period follows the country’s rapid increase in wealth and changing lifestyle. Nevertheless, China’s per capita P requirements remain much lower than those for most of North America and Europe. The potential for dietary modifications to enhance global P sustainability will differ considerably from country to country and region to region depending on the role of diet in P demand.
Dietary changes have considerable potential to change the demand for mined P. In particular, reduced consumption of meat, and especially beef, could result in dramatic declines in P demand. Based on predictions of future diet and population, P requirements to feed humanity are expected to increase between 68 and 141% between 2007 and 2050. However, changes in diet and population will vary widely across the planet. Many developing countries will increase their nutritional and caloric intake, and thus their P footprint, in an effort to improve food and nutritional security. At the same time, our data indicate that developed countries have considerable scope to reduce their intake of P intensive food groups, particularly meat, a shift that would have both environmental and human health benefits (Uribarri and Calvo 2003). Measures for creating a more sustainable social and environment food system will require different strategies in different places, and context should also be considered in evaluating diet and changes in diet (York and Gossard 2004, Foley et al 2011).
Diet mitigation is only one strategy in a suite of options available to better manage the relationship between food systems and P cycling. For example, increasing PUE can reduce the amount of P required to produce each crop, and increasing recycling can reduce demand for newly mined P. In particular, increased recovery of P in manure and less P intensive methods of animal husbandry could enhance the P sustainability of the developing world’s dietary transition towards a more meat and calorie intensive state, (supporting information figure 3 available at stacks.iop.org/ERL/7/044043/mmedia). Sattari et al (2012) estimate that if residual soil P was taken into account (which has accumulated between 1965 and 2007), the use of manure and mineral P fertilizer to meet crop requirements is between 1.68 and 2.08 × 1010 kg P, while estimates that do not include residual soil P are 50% higher. This is more than the amount of P required for our vegetarian and low population growth scenario without a change in PUE, indicating that both farm P management and diet mitigation will be important strategies in the future. However, PUE alone will not ensure long-term sustainability for P management. Diet modulation can reduce P demand throughout the food production and processing chain, and thus can be an important addition to P management shifts at the farm level.
Synergies between P sustainability and other sustainability priorities may be key to implementing change (Neset and Cordell 2012). Throughout the food and ecological footprint literature, increases in meat and processed food production are associated with increased environmental impairment. In particular, meat production produces more greenhouse gases and requires considerably more fossil fuels (Eshel and Martin 2006), water (Mekonnen and Hoekstra 2012), land (Kastner et al 2012) and nitrogen (Bleken and Bakken 1997, Gerbens-Leenes and Nonhebel 2002) than similar levels of plant-based caloric and protein production. A less P intensive diet could thus also help address other sustainability challenges, and conversely, motivations to change diets for a variety of site-specific environmental reasons may help address P sustainability goals.
Our calculated demand for P was similar to the amount of mined P used as fertilizer (figure 2). It is important to note, however, that crop and animal feed requirements are also met by manure application or use of weathered or accumulated P from the soil. If, for example, we include the P inputs of pasture and grass feed to animal product P conversion efficiencies, the average global P footprint is approximately 47% higher than when calculated including only mined P sources. Manure application and residual P, when considered as sources of P for crops, are higher than the P requirements we calculated to met human diet choices globally (Bouwman et al 2005, Dumas et al 2011, MacDonald et al 2011, Sattari et al 2012). Our estimates of per capita P footprints are approximately 50% to 170% higher than in the existing literature. Most of these studies used human P excretion data as a base for consumption (Cordell et al 2009a, 2009b, Smit et al 2009, Schroder et al 2010). We worked from food availability data, which permitted us to make more detailed temporal and spatial comparisons and to include the P required for all crops produced for food, as opposed to relying only on estimated waste through the food system as in previous studies. Our comprehensive approach also permitted a systematic comparison of national food P requirements as well as analysis of the impact of specific food groups composing the dietary P footprint.
5. Conclusion
Dietary choices have played an important role in the increased demand for mineral P fertilizer over the past 50 years. The global P footprint increased between 1961 and 2007, but the magnitude and direction of these changes varied among countries. Furthermore, there is a positive correlation between HDI and national per capita food P footprints, likely because increases in HDI are associated with a more meat intensive diet. Because meat consumption is the biggest diet contributor to P footprints, future meat consumption may play an important role in the demand for P resources. Decreasing meat consumption in already high P footprint countries could play an important role in sustainable P management strategies, and in synergies with other health and environmental sustainability priorities.
Acknowledgments
We thank Graham MacDonald, Megan Schipanski and Christopher Solomon for their useful comments and discussion. This work was supported by NSERC Alexander Graham Bell scholarship to GSM and an NSERC Discovery grant to EMB. JJE acknowledges support from ASU’s Sustainable P Initiative () and the US National Science Foundation.











