Abstract
Nitrogen (N) deposition-induced soil acidification has become a global problem. However, the response patterns of soil acidification to N addition and the underlying mechanisms remain far from clear. Here, we conducted a meta-analysis of 106 studies to reveal global patterns of soil acidification in responses to N addition. We found that N addition significantly reduced soil pH by 0.26 on average globally. However, the responses of soil pH varied with ecosystem types, N addition rate, N fertilization forms, and experimental durations. Soil pH decreased most in grassland, whereas boreal forest was not observed a decrease to N addition in soil acidification. Soil pH decreased linearly with N addition rates. Addition of urea and NH4NO3 contributed more to soil acidification than NH4-form fertilizer. When experimental duration was longer than 20 years, N addition effects on soil acidification diminished. Environmental factors such as initial soil pH, soil carbon and nitrogen content, precipitation, and temperature all influenced the responses of soil pH. Base cations of Ca2+, Mg2+ and K+ were critical important in buffering against N-induced soil acidification at the early stage. However, N addition has shifted global soils into the Al3+ buffering phase. Overall, this study indicates that acidification in global soils is very sensitive to N deposition, which is greatly modified by biotic and abiotic factors. Global soils are now at a buffering transition from base cations (Ca2+, Mg2+ and K+) to non-base cations (Mn2+ and Al3+). This calls our attention to care about the limitation of base cations and the toxic impact of non-base cations for terrestrial ecosystems with N deposition.
Export citation and abstract BibTeX RIS

Content from this work may be used under the terms of the Creative Commons Attribution 3.0 licence. Any further distribution of this work must maintain attribution to the author(s) and the title of the work, journal citation and DOI.
Introduction
Global land has received more than 50 kg ha−1 accumulated N deposition during 2000–2010 (Penuelas et al 2013), which has been well documented as the main causation of soil acidification in terrestrial ecosystems (Wright et al 2001, Guo et al 2010, Yang et al 2012). The N-induced soil acidification (i.e. decrease in pH) has been a significant threat to species diversity and terrestrial ecosystem functioning (Chen et al 2013). With the unprecedented increasing N deposition in the context of global change (IPCC 2013), soil acidification is becoming a major problem for global terrestrial ecosystems (Lucas et al 2011, Yang et al 2012). However, our understanding on the general patterns of global soil acidification in response to N deposition is far from clear yet.
Some previous studies have documented the impacts of simulated N deposition on soil acidification (Hogberg et al 2006, Horswill et al 2008), but found the magnitude of acidification varies largely among case studies or ecosystems (Lu et al 2011). This may be due to the difference of N treatments, such as N-added dose and N-fertilizer form, and experimental duration in the studies. Small dose of N input can stimulate plant nitrogen uptake and growth (Nohrstedt 2001, Bai et al 2010), but high-N loading results in nitrate loss and base cation depletion, likely causing soil acidification (Lucas et al 2011). It suggests that N addition dose is an important factor influencing soil acidification. Different forms of N-fertilizer may also pose different impacts on soil acidification. For instance, NH4+ ion and NO3− anion from N-fertilizers are likely to play different roles in affecting acidification. NH4+ ions can displace base cations (Ca2+, Mg2+, K+, Na+) binding to soil surface and make them easy to leach out of soils (Matschonat and Matzner 1996), reducing their buffering against acidification. Moreover, when an NH4+ ion is absorbed by plant roots, an H+ ion will be released into soil solutions and cause soil acidification (Smith and Read 2008). While NO3− anions lead to the loss of metal cations through their leaching based on the charge balance in soil solutions (Gundersen et al 2006, Rothwell et al 2008). Recently, a meta-analysis study revealed that N addition has reduced soil base cations and the N effect diminished above five years (Lucas et al 2011), implying that the impacts of N application on acidification may vary with treatment times. Nevertheless, we do not well understand how different ecosystems and nitrogen treatments affect soil acidification in response to N addition at global scale.
Site conditions and environmental factors may also influence the responses of acidification to N addition. More organic matter in soils is beneficial to suppress acidification, due to its greater cation exchange capacity than mineral soils (Parfitt et al 1995, Simansky and Pollakova 2014). Greater N-saturated soils should be more sensitive to acidification (Gundersen et al 2006). High precipitation may promote acidification with an increased leaching of metal cations (Lucas et al 2011). Low temperature can limit ecosystem N cycles with a low capacity to sequester N (Williams et al 1996, Curtis et al 2005), likely promoting coupled leaching of NO3− ions and base cations. Tree species identity also plays a significant role in affecting soil pH (Finzi et al 1998). For instance, conifer species appear to contribute more to soil acidification than non-conifer species (Rigueiro-Rodriguez et al 2012), through secreting organic acids by their mycorrhizal roots and absorbing base cations (Sollins and Mccorison 1981). These indicate that ecosystems with various abiotic and biotic factors may have different sensitivities of soil acidification in response to N addition. Exploring the interactions between biotic or environmental factors and N deposition help better understand the response of soil acidification to N deposition.
It is generally assumed that metal cations in soils are the main mechanism to buffer against soil acidification (Ulrich 1983, 1989, Bowman et al 2008). During the acidification process, soils with different initial pH may experience different phases buffered by different metal cations (Bowman et al 2008). When pH range is higher than 7.5, soil acidification is largely buffered by calcium carbonate, likely stimulating a large loss of carbon (Yang et al 2012). At the intermediate range from 4.5 to 7.5, the acidification process is mostly buffered by base cations, such as exchangeable Ca2+, Mg2+, K+, etc. Depletion of base cations hampers an ecosystem's acid-buffering capacity. The loss of base cations has also been associated with plant nutrient deficiency, leading to an increase of ecosystem susceptibility to environmental stresses (i.e. extreme temperature, salinity and drought) (Monroy et al 1993, Knight et al 1997, Gong et al 1998). Once these base cations have been severely exhausted (pH < 4.5), non-base cations (Al3+, Mn2+ and Fe3+) are mobilized and buffered against the acidification (Mclaughlin and Wimmer 1999, Bowman et al 2008), with a potential to be toxic to plants (Delhaize and Ryan 1995, Van Den Berg et al 2005). Thus, N deposition-induced soil acidification is a complex and dynamic process. Exploring the responses of metal cations to N deposition is the key to understand the extent and the mechanisms of soil acidification.
So far, to our knowledge, there still lacks a global synthesis on soil acidification as affected by N deposition. Through compiling data from 106 case studies, we conducted a meta-analysis to reveal the global patterns of soil acidification in response to N deposition and the influential factors and underlying mechanisms. Specifically, we addressed the following questions: (1) How different N treatments (addition levels, fertilizer forms, experiment durations) affect soil acidification? (2) How different ecosystems and environment conditions influence soil acidification in response to N addition? and (3) How metal cations buffer against soil acidification?
Methods
Data source
We searched the peer-reviewed papers using Web of Science during 1900–2014, whose title, abstract, or keywords related to: N addition, N deposition, N input, N application, N fertilization or N enrichment; soil; and acidification, pH, cation, Ca2+, Mg2+, K+, Na+, Mn2+, Al3+ or Fe3+. Then, we selected the appropriate studies with the following criteria. First, N-fertilizer was directly applied to field plots in terrestrial ecosystems with at least one of the above mentioned soil variables included. Second, the experiments were conducted to include an N-added treatment and a control treatment under the same condition. Third, the studies clearly showed N addition levels, experimental duration, and soil depth. Fourth, the measurements of the selected variables explicitly indicated their means, standard deviations or standard errors, and sample sizes, or these parameters could be calculated from the measured data.
To assure the independence among studies, we only collected the data from the latest measurement for each experiment (Liu and Greaver 2010, Lu et al 2011). Here, we considered data from different N addition rates and N-fertilizer forms in the same experiment as independent observations (Curtis and Wang 1998, Liu and Greaver 2009). Data from the figures were extracted using Engauge Digitizer (Free Software Foundation, Inc., Boston, MA, USA). Finally, a database with 106 independent studies was created from 61 published papers (table S1 in the supplementary data available at stacks.iop.org/ERL/10/024019/mmedia). Of them, 97 experiment sites referred to examining soil pH response. Overall, our database covers grassland, boreal forest, temperate forest and tropical forest in most of global land area (figure S1), with a rainfall range from 250 to 3500 mm and an annual temperature range from −3.7 °C to 28 °C. N addition levels vary from 0.93 to 60 g m−2 yr−1. The measured soils were sampled from a depth range from 2.5 to 30 cm.
In order to examine how N treatments, ecosystem types, and environment conditions influence the responses of soil acidification to N addition, we grouped the data based on N addition levels (<5, 5–10, 10–15 and >15 g m−2 yr−1), N-fertilizer forms (NH4-fertilizer, NH4NO3-fertilizer and urea) and experimental durations (<5, 5–10, 10–20 and >20 yr). For ecosystem types, we categorized the data into grassland, boreal forest, temperate forest and tropical forest. For environmental conditions, we classified the data according to initial soil pH (3–4, 4–5, 5–6, 6–7 and >7), ambient N deposition (<0.5, 0.5–1, >1 g m−2 yr−1), rainfall (<1000, 1000–2000 and >2000 mm) and annual temperature (<0, 0–5, 5–10, 10–20 and >20 °C). Due to not enough data for soil total C and total N, the category of data based on these two variables was not conducted.
Meta-analysis
We analyzed the data by the traditional meta-analysis method offered by Hedges et al (1999). The mean magnitudes of N-added effects on the examined variables were estimated by the log-form of response ratio (R), log10(R) = log10
where
and
are the means of a certain variable in N addition and control treatments respectively. The variance (ν) of log10(R) was calculated as following:

where SDcontrol and SDtreatment are the standard deviations of the control treatment and N addition treatment; and Ncontrol and Ntreatment are the sample sizes of the control treatment and N addition treatment respectively. Relevant detailed information is presented in Hedges et al (1999). With the MetaWin software (Sinauer Associates, Inc. Sunderland, MA, USA), we analyzed the mean effect size and its variance of N addition. The N-added impacts on the response ratios are considered significant at α = 0.05, if the 95% confidence interval (CI) does not overlap zero.
To further examine how various treatments, ecosystem types and environment factors across studies affected N addition effects, the data was categorized as described in data source section. The mean response ratio for each categorized level and its variance were analyzed with the MetaWin. Total heterogeneity (Qtotal) among groups was divided into two components, within-group heterogeneity (Qwithin) and between-group heterogeneity (Qbetween). If the probability value of Qbetween is lower than 0.05, it indicates the significant difference in response ratios among different categorized levels. Mean effect of N application at each level was considered significant, if the 95% CI did not overlap zero. Here, we used two methods to calculate the response ratios of soil acidification. First, we directly computed the response ratio of soil pH. Second, pH was transformed to H+ concentration, then the H+ response ratio was also calculated. Based on these two methods, we found that the response patterns of soil acidification across different ecosystems, soils and environmental factors were consistent and the magnitudes were quite similar. It is noted that the equation of log10(H+treatment/H+control) can be changed to the form of log10(H+treatment) – log10(H+control), which indicates pH unit change (pHcontrol – pHtreatment) affected by N addition. Thus, for ease of interpretation, we only presented the mean effect sizes of pH unit changes (pHtreatment – pHcontrol) in this study.
To clarify the mechanisms of N addition caused soil acidification, we used the linear regression method to analyze the relationships between soil metal cation and pH response ratios. In addition, we employed the regression analysis of linear, power or quadratic function to examine the relationships of pH response ratios with environmental factors. The regression analysis was conducted with the SPSS software (SPSS 11.0 for windows, SPSS Inc., Chicago, IL, USA), and the graphs were drawn with the SigmaPlot software (SigmaPlot 12.5 for windows).
Results
The effects of N addition on soil acidification in different ecosystems
At the global scale, N addition significantly reduced soil pH by 0.26 on average for terrestrial ecosystems (figure 1). Although soil pH in both grassland and forest ecosystems declined in response to N addition, the response magnitude of soil pH in grassland was larger than that in forest. For different types of forest ecosystems, boreal forest did not show a significant response in soil pH, while temperate and tropical forest displayed a significant decrease. Soil pH in the forest ecosystems dominated by conifer species was not affected by N addition, but soil pH in the forest ecosystems dominated by non-conifer species was reduced significantly (figure S2).
Figure 1. Soil pH unit changes with N addition at global scale and across different ecosystems. Dots represent soil pH unit changes with 95% confidence intervals (CI). If the 95% CI does not overlap 0, they are significantly affected by N addition at α = 0.05. The dash vertical line is drawn indicating soil pH unit change = 0. The number next to the dots is the sample size of each variable. The calculation was based on the formula of log10(H+treatment/H+control) = log10(H+treatment) – log10(H+control), which indicates pH unit change (pHcontrol – pHtreatment) impacted by N addition. Notably, the data in the graph is presented by pHtreatment – pHcontrol.
Download figure:
Standard image High-resolution imageThe effects of different N addition treatments on soil acidification
Soil pH response changed with N addition rate. It was significantly reduced when the added-N amount was more than 5 g m−2 yr−1 (figure 2). Below this level, there was no significant response. Moreover, soil pH decreased linearly with increased N addition rate (figure S3). For different ecosystem types, a negative linear relationship existed between N addition rate and pH response ratios in tropical forest and grassland, while no relationship was detected in temperate and boreal forests. It was not observed that NH4-form fertilizer addition decreased soil pH, while NH4NO3-form fertilizer and urea addition significantly reduced soil pH (figure 2). Soil pH was reduced significantly in the experiment less than 20 years but was not observed in the experiment longer than 20 years.
Figure 2. Soil pH unit changes with N addition rates, N-fertilizer forms and experiment durations at global scale. See the figure 1 for explanation.
Download figure:
Standard image High-resolution imageN effects on soil acidification varied with soil conditions and environmental factors
When initial soil pH ranged from 3 to 4, N addition did not affect soil pH (figure S4). Above this range, N addition reduced soil pH significantly. Further regression analysis revealed that pH response ratios decreased linearly with initial pH (figure 3(a)). The response ratios of soil pH showed a power function curve with the increase of soil C and total N content (figures 3(b) and (c)).
Figure 3. Relationships of soil pH response ratios with initial soil pH (a), soil C content (b), soil total N content (c), ambient N deposition (d), rainfall (e) or temperature (f).
Download figure:
Standard image High-resolution imageOverall, no general relationship was found between ambient N deposition and pH response ratio (figure 3(d)). However, when ambient N deposition was more than 0.5 g m−2 yr−1, soil pH decreased significantly with N addition (figure S4). Below this level, soil pH did not change significantly. The response ratios of soil pH increased slightly first and then decreased quickly, showing a quadratic response function with the increasing rainfall (figure 3(e)). A weak quadratic relationship (R2 = 0.087) was found between pH response ratios and temperature (figure 3(f)). But, when temperature was lower than 0 °C, soil pH was obviously reduced (figure S4).
The buffering capacity of metal cations against soil acidification
N addition significantly decreased soil exchangeable Ca2+, Mg2+ and K+ in terrestrial ecosystems (figure 4). The effects of N addition on these base cations were consistent between forest and grassland ecosystems. It was not observed that N addition reduced soil exchangeable Na+ in forest, but significantly decreased soil Na+ in grassland. For non-base cations, N addition significantly increased free Al3+, while it was not observed to influence soil exchangeable Mn2+. But for grassland soils, Mn2+ showed an increase.
Figure 4. The weighted response ratios (log10RR++) of soil base cations (Ca2+, Mg2+, K+, Na+) and non-base cations (Al3+, Mn2+) to N addition at global scale (All) and across ecosystems (grassland, forest). Dots represent log10RR++ with 95% confidence intervals (CI). If the 95% CI does not overlap 0, they are significantly affected by N addition at α = 0.05. The dash vertical line is drawn indicating log10RR++ = 0. The number next to the dots is the sample size of each variable.
Download figure:
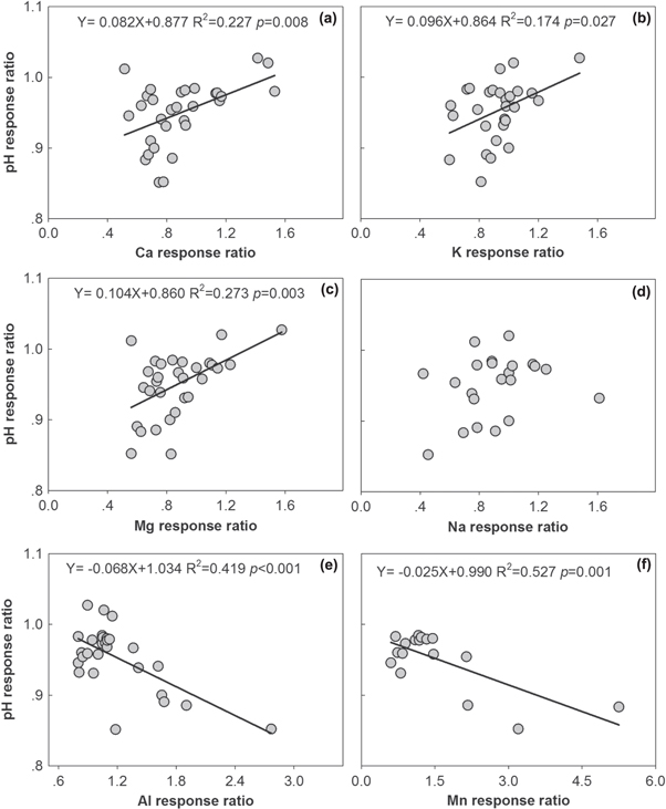
Standard image High-resolution imageThe response ratio of soil pH showed a similarly linear relationship with the response ratio of soil Ca2+, Mg2+, K+ (figure 5). However, there was no significant relationship between changes in Na+ and pH response ratios. For non-base cations, soil pH decreased linearly with the increase of free Al3+ or Mn2+.
Figure 5. Relationships of pH response ratios with changes in soil base cations (Ca2+, Mg2+, K+, Na+) and non-base cations (Al3+, Mn2+) at global scale.
Download figure:
Standard image High-resolution imageDiscussion
Responses of soil acidification in different ecosystems
In natural conditions before the Industrial Revolution, the acidification rate in soils is rather low with over hundreds to millions of years. However, at a global scale we found that N addition significantly reduced soil pH by 0.26 in terrestrial ecosystems. This decreased magnitude is lower than a reduced pH of 0.50 reported in Chinese agricultural systems from the 1980s to the 2000s (Guo et al 2010). The different responses of acidification between agricultural systems and non-agricultural ecosystems may be due to more use of N-fertilizer in crop systems (above 50 g m−2 yr−1) than that in non-crop ecosystems (ranging from 1 to 30 g m−2 yr−1) (Rothwell et al 2008, Guo et al 2010). Moreover, a recent meta-analysis revealed that repeatedly harvesting plant biomass can lead to soil acidification (Berthrong et al 2009).
Different terrestrial ecosystems exhibited different sensitivities to N addition in soil acidification. Soil pH declined most in grassland by 0.49. This result is in line with the large-scale observations that soil pH decreased by 0.63 in Northern China's grassland during 1980s–2000s, which is mainly induced by N deposition (Yang et al 2012). The pH decline of 0.49 in this study is lower than the decrease of 0.63, which is partly due to the fact that the initial pH range of 3 to 7.7 in this study is lower than the range mostly above 7.5 in Northern China's grassland, since pH response ratio linearly decreased with the increase of initial soil pH (figure 3(a)). These two studies in combination indicate that grassland soils are very sensitive to N-induced acidification. Soil acidification in tropical and temperate forests was more sensitive to N addition than boreal forest (figure 1), which may be due to the influence of the variable abiotic and biotic factors across forest ecosystems. For example, more rainfall (1840 mm) in tropical forests than that (925 mm) in boreal forests can promote soil acidification (Lucas et al 2011). Temperature variation plays a minor role in affecting soil acidification among these forest ecosystems as our result showed that there was no obvious change in pH response with temperature when it was above 0 °C. The annual temperature for tropical forest (24.1 °C), temperature forest (8.3 °C) and boreal forest (4.7 °C) is higher than 0 °C. The less sensitivity of boreal forests to soil acidification is probably due to the dominance of conifer species in this ecosystem because we found that soils dominated by conifer species was less sensitive to N addition in acidification than those dominated by non-conifer species (figure S2). The finding highlights the significant role of conifer species in suppressing soil acidification.
The influences of N treatments
The responses of soil acidification to N addition varied with N addition rate, N fertilizer forms, and treatment duration. N induced acidification became significant when N addition rate was more than 5 g m−2 yr−1, (figure 2), indicating that soil acidification is sensitive to N input, even at low N addition level. The finding is partly supported by previous studies that pointed out ecosystems usually undergo an accelerating leaching of NO3− from soils if N addition rate is larger than 2.5 g m−2 yr−1 (Dise and Wright 1995, Rothwell et al 2008). Furthermore, we found that soil pH decreased linearly with N addition rate, indicating that the acidification will continue to be sensitive to further N deposition.
N fertilizer forms also impacted the responses of soil acidification. We found NH4NO3-form fertilizer posed a significant impact on acidification, while NH4-form fertilizer was not observed (figure 2), suggesting that NO3− leaching plays a dominant role in affecting acidification (Currie et al 1999, Gundersen et al 2006). N addition experiments with duration of less than twenty years had a significant effect on acidification, while the experiments with duration of more than twenty years were not observed to pose an impact on acidification. It likely suggests that ecosystems may be able to adapt to acidification induced by N addition in long term. There are two potential reasons accounting for this result. First, plant species composition may change to N-demanded species under high-N conditions (Stevens et al 2004, Bai et al 2010), enhancing the ecosystem capacity to sequester excess N. Second, more N-induced deficiency of base cations may stimulate biotic retention and internally recycling of base cations within ecosystems (Perakis et al 2013).
The impacts of soil conditions and environmental factors
N addition effects on soil acidification varied with soil conditions and environmental factors. We found that the acidification was insensitive to N addition when initial soil pH ranges from 3 to 4, but was sensitive when above this pH range (figure S4). It indicates that soils with different initial pH have different acid-buffering capacity. It is generally expected that absorption ability of metal cations by soils is in the order of: trivalent ions (Fe3+ > Al3+)> divalent ions (Mn2+ > Ca2+ > Mg2+)> monovalent ions (K+ > Na+) (Bowman et al 2008). Low valence ions held in soils with high initial pH are most vulnerable to be replaced. Once these cations have been much depleted, it is high valence cations that buffer against acidification. Based on the principle of charge balance, soils of high initial pH should be more sensitive to acidification than those of low initial pH. This explained well for our result that pH response magnitude increased linearly with the increase of initial pH. Inconsistent with our expectation, the pH response ratios tended to increase with soil total N across the study sites. This is probably due to that high N reduced initial soil pH (unpublished data). As we showed above, the lower the initial pH, the less response the pH has. Consistent with our expectation, more C in soils was helpful to suppress acidification, indicating its high cation exchange capacity (Parfitt et al 1995).
We also found that when ambient N deposition was larger than 0.5 m−2 yr−1, soil pH was significantly decreased even by low levels of N addition. As reported by Penuelas et al (2013), most of land area receives more than 0.5 g m−2 yr−1 of N deposition, which implies that current N deposition may reach a critical loading to induce soil acidification in terrestrial ecosystems. In accord with our expectation, more rainfall obviously promoted soil acidification when rainfall was above 1500 mm. However, when rainfall was below 1500 mm, only small change was observed for soil pH with precipitation. It suggests that there exists a critical precipitation level of 1500 mm, above which soil acidification is promoted. Consistent with previous studies (Williams et al 1996, Curtis et al 2005), our result also revealed that low temperature promoted soil acidification (figure S4). But, only when the temperature was below 0 °C, soil acidification was obviously promoted. This is due to that low temperature decreases ecosystem N cycles, leading to a low capacity to sequester N. And surplus N leaching promotes depleting base cations. Overall, all these above results highlight the interactive effects of environmental factors and N addition on soil acidification.
The mechanisms of N-induced soil acidification
Our results showed that N addition significantly reduced the exchangeable base cations of Ca2+, Mg2+ and K+ in soils, which is consistent with a previous study synthesized the relationship between N addition and base cations (Lucas et al 2011). Although this previous study showed N addition above five years had no effect on base cations, it did not have enough data to support. Our study provides sufficient data to reveal that N addition above twenty years did not significantly affect soil pH. Based on the tight coupling of metal cation loss and acidification (Berthrong et al 2009), these two meta-analysis studies hold the point that terrestrial ecosystems are likely to adjust to N-induced acidification in long term. Moreover, soil pH declined with deceasing base cations, suggesting the crucial role of base cations in buffering against acidification. Further analysis showed that there was no significant difference among different cations in their relationships with soil acidification, suggesting that these base cations follow a same buffering rule (linear function).
Additionally, we found that N addition significantly increased free Al3+ in soils, and soil pH decreased linearly with the increase of free Al3+ (figures 4 and 5). This indicates that N addition has shifted soils in terrestrial ecosystems into the Al3+ buffering stage. It was not observed that N addition increased free Mn2+ in global soils, but grassland soil Mn2+ displayed a significant increase. With the increase of free Mn2+, soil pH also reduced linearly, suggesting that grassland soils are simultaneously at a stage of Mn2+ buffering stage. Although the content of Mn element in earth crust is not comparable to those of the base cations mentioned above, its toxic impacts on organisms should be paid special attention to (Guo et al 2007, Poschenrieder et al 2008). All these call our caution to care about the danger of the coming buffering range of toxic Al3+ and Mn2+ with N deposition (Kochian 1995, Poschenrieder et al 2008).
Conclusion
Our study revealed that global soils in terrestrial ecosystems were sensitive to N input in acidification. Grassland soils were more sensitive to acidification than forest soils. Soil pH decreased linearly with the increasing amount of N addition, and soils were more likely to be acidified by NH4NO3 and urea than by NH4-form fertilizer. There were complex interactions between N effects and environmental factors (soil properties and climate), which increases the difficulties to predict N deposition impacts on acidification. Metal cations in soils were the main factors to buffer against acidification. Global soils were currently at a transition stage from base cation buffering (Ca2+, Mg2+, K+) to non-base cation buffering (Mn2+, Al3+). It demands our attention to the limitation of base cations and the toxic effects of non-base cations for terrestrial ecosystems, which does not give sufficient emphasis previously. In a word, this study has important implications to better understand and predict the N addition impacts on soil acidification in the global terrestrial ecosystems.
Acknowledgments
We are grateful to all the scientists who contribute to the collection of data used in this meta-analysis. This study was supported by National Natural Science Foundation of China: 31290220, 31420103917, the 'Thousand Youth Talents Plan', and the CAS Strategic Priority Research Program (XDA05050702).




