Abstract
Finding an easy-to-build coils set has been a critical issue for stellarator design for decades. Conventional approaches assume a toroidal 'winding' surface, but a poorly chosen winding surface can unnecessarily constrain the coil optimization algorithm, This article presents a new method to design coils for stellarators. Each discrete coil is represented as an arbitrary, closed, one-dimensional curve embedded in three-dimensional space. A target function to be minimized that includes both physical requirements and engineering constraints is constructed. The derivatives of the target function with respect to the parameters describing the coil geometries and currents are calculated analytically. A numerical code, named flexible optimized coils using space curves (FOCUS), has been developed. Applications to a simple stellarator configuration, W7-X and LHD vacuum fields are presented.
Export citation and abstract BibTeX RIS
1. Introduction
The difficulties in designing and fabricating current-carrying coils to produce the magnetic fields required for confining plasmas for the purpose of creating fusion energy has been a critical problem since the beginning of research into magnetically confined plasmas in the 1950s. This problem remains crucial, as evidenced by the recent NCSX [1] stellarator, which was partially built at Princeton Plasma Physics Laboratory but, because of budget constraints, was ultimately canceled; and by the construction delays of the W7-X experiment [2] recently completed in Germany. The construction of the coils is only one component of modern fusion experiments; but, realizing that it is the currents in the coils that produce the 'magnetic bottle' that confines the plasma, it is easy to understand that designing and accurately constructing suitable coils is paramount.
Tremendous efforts have been made to find optimal coils that meet both the 'physics' requirements of producing the desired magnetic field as precisely as possible with a finite number of discrete coils and the 'engineering' requirements that it is realistically possible to construct the coils using existing technology. Coils that are well-separated, with ample space for the vacuum vessel and other components of the experiment, and with simple shapes, are easier and cheaper to build. The task of identifying suitable coil configurations has a direct impact of the cost of magnetic confinement experiments, and thus also on fusion research, and indeed ultimately on the cost of the electricity [3].
Early stellarator designs, which pre-date the advent of modern computational architectures, usually began with the coils being described analytically, like the general 'winding law' [4] by which the current filaments on a given toroidal surface are represented using trigonometric functions. By varying the coil parameters, the geometry of the coils can be varied to simultaneously obtain optimal plasma properties and to satisfy the engineering constraints. However, the winding law represents a very restricted class of coil configurations.
Another approach, introduced by Nührenberg and Zille [5], allowed the development of a 'fully-optimized' stellarator by separating the problem of designing a high-performance plasma from the task of designing a suitable coils set. First, an attractive plasma equilibrium is identified by using a nonlinear optimization, where the equilibrium is typically calculated [6] using the macroscopic model of ideal magnetohydrodynamics, for which the geometry of the plasma boundary,
, and various profiles such as the assumed pressure and current are required as boundary conditions. These boundary conditions are adjusted to discover an equilibrium that is stable with respect to small external perturbations and internal oscillations, reduces the transport and turbulent properties, and so forth. Hereafter, we will assume that a desired, reference plasma configuration is provided.
The second stage of the design, which is the topic of this article, is to design a set of discrete current-carrying coils that creates the required external 'vacuum' field for confining the 'reference plasma' configuration.
The vacuum field,
, by which we mean the magnetic field produced by currents external to the plasma domain, must balance the magnetic field,
, produced by the currents that may or may not be present in the plasma, so that the normal component of the total magnetic field,
, on
is zero.
For vacuum fields, the Ampere's Law in ideal magnetohydrodynamics (MHD) equations reduces to
. Together with the magnetic divergence constraint
, we can easily derive
, where ϕ is the magnetic scalar potential. Thus, the coil determination problem is to solve Laplace's equation with the boundary condition of
on
, where
is the unit surface normal. The plasma boundary is usually specified by Fourier harmonics
,
over the poloidal angle θ and toroidal angle
(restricting attention to stellarator symmetry [7] for convenience),

Pioneering work in the field of coil design was performed by Merkel with the development of the NESCOIL code [8], in which he assumed that the external magnetic field is produced by a surface current distribution on a closed toroidal surface surrounding the plasma. This toroidal surface constrains the location of the coils and is called the 'current carrying surface' or the 'winding surface'. The surface current density,
, is expressed by a current potential, Φ, on the winding surface, where
is normal to the winding surface. A Green's function method is then applied to solve for the current potential distribution that minimizes the squared normal error
. Once the surface current potential is determined, a set of discretized coils can be obtained by selecting an appropriate number of contours of Φ. This method was successfully applied to the design of the coils of W7-X [9], the world's largest ever stellarator.
Merkel's method leads to a Neumann condition problem that can be linearly solved, and it's inherently fast and robust. However, due to the ill-conditioned nature of inverting the Biot–Savart integrals, the NESCOIL results for the discrete coils for plasmas with complex shapes may or may not be viable (e.g. unreasonably large amplitudes in high modes or impractically complex curvatures). A singular value decomposition (SVD) method [10] and, more recently, a Tikhonov regularization approach [11] were applied to provide improvements on NESCOIL. Nevertheless, these methods only indirectly control the geometry of the resultant coils set and allow limited opportunities to optimize the engineering constraints.
A different approach that explicitly incorporates engineering constraints has been advanced by Drevlak with the extended NESCOIL code [12] and ONSET [13], by Strickler et al with the code COILOPT [14], and later by Breslau et al with COILOPT + + [15]. The coils are represented as 'filaments', one-dimensional curves, lying on a toroidal winding surface (which is either pre-defined or optimized simultaneously). The magnetic field produced by δ-function current-densities in the coils set is calculated using the Biot–Savart law. The geometry of the coils is varied using nonlinear optimization algorithms to minimize a 'cost-function' that represents a balance between the physics requirements (that the total normal magnetic field at the plasma boundary is as small as possible) and the engineering constraints (that the coils can be achieved by modern engineering techniques). Coils for the compact stellarators NCSX [16] and ARIES-CS [17] were designed using this approach.
For all the methods mentioned above, a toroidal winding surface is required to locate the coils (ONSET may need two constraining surfaces for interpolation). For NESCOIL and NESCOIL-like codes (NESVD, REGCOIL, etc), the winding surface is strictly required, as it provides the surface where the continuous current potential lies. For the nonlinear optimization codes that explicitly use discrete coils, the winding surface is not strictly required, but there are advantages: this decreases the degrees of freedom in the geometrical representation of the coils, and the plasma-coil separation, important for divertor/blanket access, can be easily enforced.
However, a pre-supposed winding surface also provides strong limitations. A 'bad' winding surface directly results in the failure of finding an acceptable coils set. Before getting an acceptable coils set, a 'good' winding surface must first be obtained. However, the measure of good or bad of a winding surface is actually determined by the final coil shapes. Nested optimizations targeting both the winding surface and the coils are required.
In this paper, we present a new method for designing stellarator coils that eliminates the winding surface altogether. The new coil representation, as well as the objective functions and their analytical derivatives, are discussed in section 2. The numerical implementation, a code named flexible optimized coils using space curves (FOCUS), is introduced in section 3. In section 4, we show some example calculations. Conclusions and future research directions are discussed in section 5.
2. 3D coil representations
2.1. The fundamental theorem of curves
For convenience, we work within the filamentary approximation, by which we mean that each coil has zero cross-sectional area. (This approximation is not fundamental, and can easily be relaxed by adding multiple parallel curves.) We represent the geometry of the coils as closed, one-dimensional curves embedded in three-dimensional space.
The geometry of such curves is elegantly described by the fundamental theorem of curves [18], which states that any regular curves in three-dimensional space with non-zero curvature can be determined (up to rigid displacements and rotations) by the curvature,
, and torsion,
, where s parameterizes arc-length. Given κ and τ, and boundary conditions (such as the starting point), the geometry,
, unit tangent vector,
, unit normal and bi-normal,
and
, of the curve can be obtained by integration of the Frenet–Serret formulas [19],

where the 'prime' denotes derivative with respect to the parameter s, i.e.
.
Each curve is described by two independent functions of arc length, namely the curvature and torsion. Using the curvature function as an independent degree of freedom to implicitly define the coil geometry has its appeal, as the curvature of the coils is frequently an engineering constraint and any curvature constraints can potentially be enforced before the nonlinear optimization proceeds. However, solving 12 ODEs for each coil at each iteration of the nonlinear optimization turns out to be somewhat cumbersome. Furthermore, to exploit efficient nonlinear optimization algorithms, we shall later construct the derivatives of the coil geometry with respect to the independent degrees of freedom, and this requires integration of the derivatives of equation (1) with respect to the parameters describing the curvature and torsion, and this becomes even more cumbersome. Not all curvatures and torsion result in closed curves, and additional constraints must be included to ensure that the curves are both closed and smooth.
2.2. Fourier representation
Instead, we employ a very easy way of describing one-dimensional curves embedded in three-dimensional space. A curve is described directly, and completely generally, in Cartesian coordinates as
. Three functions are required to specify the geometry, namely
,
and
, with the constraints that each function be periodic, e.g.
for some T. The curve parameter, t, at this point is arbitrary.
A variety of mathematical representations are possible. For purpose of illustration, and because our initial interest is in smooth coils, we use a Fourier representation:

with t varying between
, and similarly for
and
. The shape of a coil is then fully determined by the
Fourier coefficients. No additional assumptions are made here, so this representation fits for all kinds of closed smooth coils, such as helical, modular, saddle, etc. (For coils with straight segments, for example rectangular and so-called 'window pane' coils, the Fourier representation is not suitable. In future upgrades to FOCUS, additional representations for the curves, such as cubic splines and piecewise-linear, will be implemented.)
Hereafter,
will be used to represent the geometrical degrees of freedom of a set of NC coils,
, and the coil currents, Ii, which are also treated as independent degrees of freedom. The total number of degrees of freedom is
.
3. Theory of the coil optimization problem
3.1. General objective functions
The coil parameters are to be varied to minimize a target function consisting of both 'physics' and 'engineering' objective functions,

where
is the value of the
objective function, to be defined below, for a given set of coil parameters,
denotes the desired value, and wj is a user-prescribed weight.
3.2. Normal field error on plasma boundary
The key criterion is to satisfy the condition of
on the pre-defined plasma boundary, as much as is possible with a finite number of coils. A smaller Bn error usually implies a better approximation to the target equilibrium properties (but so-called 'resonant' normal field errors may be particularly problematic). This can be achieved by minimizing the squared total normal field integrated over the boundary,

The magnetic field at position
produced by a coils set is calculated using the Biot–Savart law,

Here, Ii is the current in
coil,
is the differential line element, and
is the displacement vector between the evaluate point on the surface and the differential element.
The plasma field,
, produced by the reference plasma must be pre-computed using a suitable equilibrium code, and the following will assume that the plasma field does not change during the optimization of the coil geometry. The FOCUS code can accommodate an arbitrary
, but for simplicity of illustration in this paper we restrict attention to vacuum fields, so that
, and we hereafter suppress the subscript V for notational clarity.
If a small geometrical deformation,
, is applied to the
coil, the corresponding changes in
and
are
and
, and the change in the magnetic field is

The change in fB is given by

The variation of fB with respect to variations in the coil currents
is similar (and somewhat simpler).
3.3. Constraint of the toroidal flux
To avoid trivial solutions, for example
when
,
, it is sufficient to constrain the enclosed toroidal flux. If
on the boundary, then the toroidal flux through any poloidal cross-sectional surface is constant. We include an objective function defined as

where the flux through a poloidal surface,
, produced by cutting the boundary with plane
is computed using Stokes' theorem,

Here
is a differential line segment on the boundary curve of the poloidal surface, and the magnetic vector potential,
, is

The variation of
resulting from
is

where
and

3.4. Engineering constraints
In addition to the physical constraints, namely that the coils produce the required magnetic field, engineering constraints should also be considered, such as the coil–coil separation, coil-plasma separation, minimum radius of curvature, electromagnetic forces, stored energy, etc. The engineering constraints may or may not compete with the physics constraints. For example, the 'ripple' in
on the reference boundary, for a fixed number of coils, is reduced as the coils are moved further away from the plasma. This also increases the coil-plasma separation, thus increasing the space available for divertors etc. Similarly, the ripple in
is reduced by positioning the coils approximately equally spaced in toroidal angle, and this increases the coil–coil separation. These engineering constraints are compatible with the physics constraint of minimizing
on the reference boundary. In fact, in the following we will show that we can obtain acceptable coil sets without including the engineering constraints on coil-plasma and coil–coil separation.
There are also engineering constraints that do compete with the physics, most notably that the total number of discrete coils is less than infinity and the constraint that the length of the coils be reasonable. Without a constraint on the lengths of each coil, we found that the coils can become both arbitrarily long and can develop more 'wiggles' so as to better produce the required magnetic field. We found that it was required to include a penalty on the coil length. This penalizes coils with large curvature and leads to shorter coils. This is attractive, as to a good approximation the cost of building a coil set is proportional to the total length of the coils.
We include an objective function of the form

where
is the length of ith coil,

and
is a user-specified normalization. The variations in fL resulting from a variation
is

The length penalty, equation (13), will encourage the coils to shorter. This can be replaced with

to make each coil length close to a target value.
3.5. Spectral condensation
The parameterization given in equation (2) is not unique. Consider the curve variation
. Inserting this into equations (7), (11) and (15), we can easily get that
,
and
are all zero. This 'variation' is tangential to the curve and leaves the geometry of curve unchanged and thus leaves the magnetic field unchanged, but it does effectively change the parameterization of the curve and thereby changes the Fourier harmonics.
This non-uniqueness of the curve parameters can be exploited for numerical efficiency. For each coil, a spectral width of the Fourier harmonics is defined as [20]

where
. Curve parameterizations that minimize Mi are attractive for numerical purposes, because curves with complicated geometry can be described with fewer Fourier harmonics. Minimizing the spectral width, which is a purely 'numerical' constraint, should not compete with the physics or engineering properties. So when minimizing M, we only allow tangential variations in the geometry of coils. In the Fourier parameter space, the tangential variation is defined as
, where
is the tangential direction in parameter space and
is an arbitrary function. If we choose
, the spectral width will be forced to decrease subject without changing the coil geometry. This shall be used below.
4. Numerical implementations
4.1. Analytically calculated derivatives
Our target function is the weighted sum of the normal field error, the toroidal flux error, and the length penalty, and is represented as

The inclusion of each of these objective functions has been justified in the above discussion: reducing the normal field error is required so that the correct magnetic bottle is produced, the toroidal flux constraint is required to avoid trivial solutions, and the length penalty is required to avoid infinitely long coils.
What is most remarkable is that geometry of the coils is completely free and the only so-called engineering constraint is a penalty on the length, and perhaps the implicit constraint that the number of coils is finite and fixed. The results to be shown below support the hypothesis that this is the minimal objective function. Other constraints, such as including a penalty on the coil–coil or coil-plasma separation can be included but they are not obligatory. We call equation (18) the minimal objective function as not one of fB,
or fL can be removed, except perhaps for the qualification that if trivial solutions could be guaranteed to be avoided (by not allowing the currents to vary, for example) then perhaps including the toroidal flux constraint may be removed.
The task of designing optimal coils is now reduced to a single-object minimization problem. A variety of minimization algorithms can be applied, such as the Levenberg-Marquardt (LM) method [21], which was successfully used in COILOPT and COILOPT++. Unlike other nonlinear coil-designing codes, where the derivatives are computed numerically, we construct the analytically calculated derivatives from equations (7), (11) and (15).
Calculating the objective functions and their derivatives involves computing line and surface integrals. Each coil is treated as a single filament with
segments. The predefined plasma surface is discretized into
surface elements. We shall illustrate how we implement the numerical calculations in the code by one example. The derivative of the normal field error fB with respect to an arbitrary cosine harmonic of the
coil denoted as
is computed as

The integral is evaluated by the mid-point rule. The calculation of
, which involves a line integral, can be approximated

The derivatives of toroidal-flux error and the coil-length penalty are calculated similarly.
4.2. Steepest descent method
Analytically calculated derivatives offer several advantages in both accelerating the computation speed and accessing alternative algorithms. For the proof of concept of the new coil representation and the cost function employed in FOCUS, we use the very simple, steepest descent algorithm. Defining an artificial 'time', τ, the descent direction is given by

The first term in the right hand side is the usual gradient descent, and the second is in the tangential direction and is included for the spectral condensation. The relationship between the target function and time is

where we have used
, namely that tangential variations do not change the target function. The first derivative,
, is always non-positive. After reaching the 'geometrical' minimum,
, the inclusion of the tangential term in equation (21) advances the Fourier harmonics towards the 'spectral minimum',

The ODEs in equation (21) are integrated using a fixed order Runge–Kutta method with the subroutine D02BJF in the NAG Library [22]. We emphasize that this article does not attempt to illustrate the attractiveness of the steepest descent method but rather to illustrate that the objective function described in equation (18) is sufficient to define suitable coils.
The steepest descent method is continuous. This means that the coils cannot pass through the plasma, as this would result in a singularity in the normal field. We can define the linking number of each coil and the plasma using the Gauss linking integral [23] with respect to the coil and the magnetic axis:

With the steepest descent algorithm, this linking number is implicitly conserved during the optimization. This amounts to an additional, implied constraint.
5. Applications
To demonstrate the feasibility of this method three cases are investigated. A simple rotating elliptical plasma boundary is used for investigating the convergence properties of the code. Illustrations for the existing stellarators W7-X and LHD are presented to explore the code's capacity of designing various coils configuration for realistic stellarators.
5.1. Rotating ellipse
A two-field period, rotating elliptical plasma boundary is specified as

where
and
is the geometrical toroidal angle. As one of the simplest configurations for stellarators, this rotating elliptical boundary can be produced with conventional helical coils, such as in LHD [24]. Helical coils, with certain pitch angles, can efficiently produce desired rotational transforms, particularly for classical stellarators with helix structures. However, the access to the plasma and ease of maintenance can be badly restricted. Modular coils, on the other hand, can overcome these difficulties, but differences in the local structures of the fields produced by helical coils and modular coils will exist [25]. For illustration, we use FOCUS to construct modular coils for this boundary.
To initialize the coil-design calculation in FOCUS using the steepest-descent method, we must supply a suitable initial guess for the coil geometry. We anticipate that, generally, codes such as NESCOIL and REGCOIL will be used for this, but here a very simple initial guess for the coils is made by placing 16 circular coils equally spaced in the toroidal angle, as shown in figure 1(a). The radius of the coils is
m, and the chosen Fourier resolution is
.
Figure 1. Coils for the rotating ellipse configuration. (a) The initial 16 circular coils with equal toroidal intervals. (b) The optimized coils with only physical constraints. Red surfaces represents the target plasma boundary.
Download figure:
Standard image High-resolution imageTo test the different objective functions separately, we first include only the physical constraints, i.e. we set the length penalty weight to zero,
. The limit on the time integration is set to an arbitrary value, e.g.
. As illustrated in figure 2, fB decreases from the initial value of
to
at
, a significant reduction. The final shape of the optimized coils are shown in figure 1(b). We can see that all the coils are getting longer and further away from the plasma to better reproduce the given boundary and to reduce the ripple. A Poincaré plot of the flux surfaces produced by the optimized coils, figure 3, indicates that a satisfactory magnetic field has been obtained.
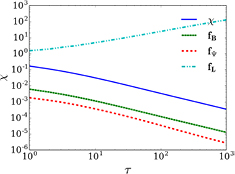
Figure 2. FOCUS optimizing curves of χ, fB,
and fL over the integration step τ.
Download figure:
Standard image High-resolution imageFigure 3. Poincaré plot of the flux surfaces (blue) produced by the optimized coils and the target plasma boundary (red).
Download figure:
Standard image High-resolution imageIn this optimization, only physics targets were included in the total target function, i.e.
, with
. Engineering constraints such as coil–coil separation, coil-plasma separation, even the coil length penalty were not included. The coils are not constrained to lie on a winding surface and are completely free to move in space. The fact that we get reasonable coils is remarkable.
Figure 2 also indicates that the target function is not converged at
. Even at
, the target function is still not converged. We do not give any physical meaning to the artificial time parameter; the only salient point here is that the coil geometry seems to not converge as
for this case where there is no penalty on the length. We now explore the convergence properties of FOCUS by varying different numerical parameters.
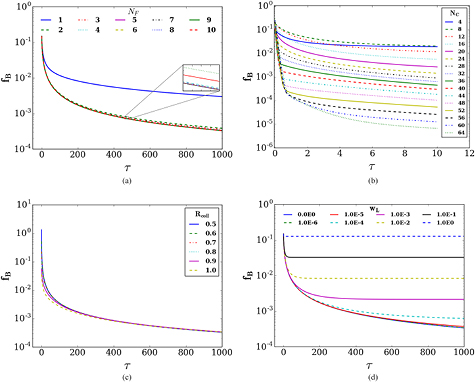
Increasing the number of Fourier harmonics, NF, will presumably allow access to a greater variety of coil geometries and in turn decrease the normal field error. As shown in figure 4(a), when the number of Fourier harmonics is restricted to
, which means that the coils can only be planar, the normal field error cannot decrease as much as compared to the cases with larger NF. For
, the optimized coils, as illustrated in figure 6(a), are elliptical and rotate to follow the pattern of the plasma shape. For the
cases, there are no distinct differences between the coils, showing that the coil geometry has converged with respect to the Fourier resolution. In other words, for this elliptical configuration, the coils can be adequately represented by
.
Figure 4. Convergence explorations of the FOCUS code. (a) Varying the number of Fourier harmonics representing the coils. (b) Changing the total number of initial coils. (c) Different radii of initial circular coils. (d) The effect of different weights for the length penalty.
Download figure:
Standard image High-resolution imageWith more coils, the more accurately a given reference boundary can be recovered. However, more coils imply higher cost and less separation between each coil, which is vital for diagnostic ports. In practice, a compromise between accuracy and space must be found. Figure 4(b) shows the convergence with respect to NC. As expected, with more coils lower fB has been achieved. The toroidal Fourier harmonics of the magnetic field magnitude,
, on the plasma boundary are shown in figure 5. Typically there will be a local maximum in the Fourier amplitude (i.e. the ripple) that corresponds with the number of coils. This implies that the modular ripples are reduced with more coils. Without sufficient coils, the shape of the optimized coils would be too complicated, like the coils shown in figure 6(b). The four coils have large twists to produce the desired magnetic field.
Figure 5. The normalized toroidal Fourier harmonics of the toroidally averaged magnetic field magnitude on the plasma boundary, for different NC.
Download figure:
Standard image High-resolution imageFigure 6. Different coil shapes from FOCUS optimizations. (a) Solution of only planar coils (
). (b) With only four coils(
). (c) Attractive coils balancing both physical accuracy and engineering simplicity.
Download figure:
Standard image High-resolution imageFor the calculations shown in figures 4(a) and (b), the initial coils are circular coils with an arbitrarily chosen radius of
m. For different initial radii, differing in a small range as shown in figure 4(c), we found that the final Bn errors tend to be identical. The optimized coils have similar geometries (details not shown here), which indicates that they are at the same minimum. Thus, the optimizing process is not very sensitive to the initial radius, at least not for this equilibrium.
Now we explore the effect of varying the length penalty weight. We assign wL with different values ranging from
to
. The results in figure 4(d) show that increasing the length penalty has a deleterious impact on the normal field error. And, the optimization converges faster (with respect to τ) as the length weight increases. This can be used to control the convergence of the code, and to make a balance between the physical accuracy and engineering feasibility.
By choosing suitable weights, a suitable coils set for the rotating ellipse configuration is obtained. Choosing the weights such that, for the initial configuration, we have
,
and
, and with 16 circular coils with an initial radius of
m, we get an attractive coils set at
, as shown in figure 6(c).
5.2. Designing modular coils for the W7-X
We now consider a more complicated geometry, that of W7-X. The coils system of W7-X mainly consists 50 non-planar modular coils, which produce the dominant component of the confining magnetic field, and 20 planar modular coils, which are primarily used for flexible control of the rotational transform. The coils are arranged in five field periods [26]. The last closed flux surface (LCFS) in the 'standard configuration' [27] is used here as the target plasma boundary. For this configuration, only the modular coils are used.
With the given plasma boundary, we start the optimizations with a set of circular coils that are positioned surrounding the plasma surface at equal toroidal intervals, i.e. the
coil is placed in the plane
. The first calculation uses 50 coils (
m). The normal field error, toroidal flux,
Wb, and length penalty,
m, and using the quadratic form equation (16), are all included, with artificially chosen weights. By
, the normal field error fB has been reduced from
to
, while
from
to
and fL from
to
. The optimized coils are shown in figure 7. Poincaré plots of the produced magnetic field, as shown in figure 8, indicate that the target boundary is reproduced very well.
Figure 7. Optimized coils (colorful, right) by FOCUS from initial circular coils (grey, left) for W7-X. Only five unique coils are plotted. The color on the plasma boundary indicates the
produced by the optimized coils.
Download figure:
Standard image High-resolution imageFigure 8. Poincaré plots (blue) at the bean-shaped cross-section produced by the optimized coils compared to the reference target boundary (red).
Download figure:
Standard image High-resolution imageAn interesting exploration is to reduce the number of coils NC, while keeping all the other parameters unchanged. The Poincaré plots of FOCUS optimized coils with different NC are shown in figure 9. It's encouraging that, even with as less as 30 coils, FOCUS can approximate the target boundary very well. The coils shapes, as shown in figure 10 for
, appear 'reasonable', by which we mean that the coils are sufficiently smooth, sufficiently well-separated, etc. We understand that with less coils the magnetic ripple would presumably increase, as we studied in the rotating elliptical case. We emphasize that this paper is primarily concerned with the introduction of a new coil optimization algorithm, and the W7-X calculation is used for an initial illustration. We have not performed a comprehensive experimental design study of W7-X, and that we have not estimated the effect that the small changes in the magnetic field have on plasma performance, and we have not estimated the coil–coil electromagnetic forces, for example. The results show that FOCUS is able to design coils for stellarators as complicated as W7-X with a high precision.
Figure 9. Poincaré plots of the flux surfaces (blue) at the bean-shaped plane produced by different numbers of FOCUS optimized coils. All the coils are optimized from toroidally equally-spaced circular coils with the total number of NC. The target plasma boundary (red) is the LCFS of the standard configuration. Only the upper halves are shown here due to the up–down symmetry.
Download figure:
Standard image High-resolution imageFigure 10. Optimized coils from FOCUS starting with 30 circular coils (only one period is plotted here). The coils in the same color are stellarator symmetric. The color on the plasma boundary indicates the
produced by the optimized coils.
Download figure:
Standard image High-resolution image5.3. Designing helical coils for the LHD
Besides the W7-X device, another existing large stellarator/heliotron machine is the large helical device (LHD) [28] in Japan. Unlike the modular coils used in W7-X, the main coils of LHD are a pair of helical windings. The approximated LHD coils, including two helical windings and three pairs of vertical field coils, are shown in figure 11.
Figure 11. The LHD coils (simplified as filaments) consist of two helical windings (green) and six vertical coils (blue).
Download figure:
Standard image High-resolution imageHelical curves on a torus can be represented by the Fourier series as

where R, r are the major and minor radius of the torus, and
for the LHD case.
When fitting the actual LHD coils with an
Fourier series, truncation errors are introduced. Consequently, the fitted coils have slightly different geometries from the actual coils, which ultimately results in the relatively large errors for the produced magnetic field (
). Figure 12(a) shows that the initial fitted coils have deteriorated magnetic flux surfaces. There are no closed flux surfaces at the target boundary and the magnetic axis is significantly shifted outwards. When we use FOCUS to optimize the fitted coils, the
error fB is decreased to
at
. The Poincaré plots in figure 12(b) indicate that the optimized coils fix the errors and can produce remarkably good flux surfaces that match the target plasma boundary.
Figure 12. Poincaré plots of the flux surfaces produced by the initial (a) and optimized (b) coils of LHD at
plane, compared with the target plasma boundary (red).
Download figure:
Standard image High-resolution image6. Conclusions
In this paper, we have described a new method for designing stellarator coils without the winding surface and introduced the numerical tool, the FOCUS code.
Theoretical interpretations show that the winding surface is not essential. A Fourier series is chosen to represent the three-dimensional coils, and the coils are completely free to move in space (subject to the constraints that the coils are closed and smooth). The steepest descent minimization algorithm is successfully employed to optimize a target function, which remarkably includes only a constraint on the normal field error, the toroidal flux and a penalty on the length. We have semi-analytically calculated the first derivatives of the objective function, and numerical applications have been performed. What we have explored in this paper is to determine the minimal number of constraints required to produce a well-defined optimization procedure. This paper concludes that the coils may be allowed to move freely in space to produce the required magnetic bottle and that only a constraint on the length of the coils is required.
The convergence studies show that the FOCUS code is quite effective and flexible in finding appropriate coils. Results of the W7-X and LHD cases indicate that the code is also applicable to practical complicated configurations, with both modular coils and helical coils. We now discuss some avenues of future investigations.
Restricting attention to vacuum fields, we know that solutions to Laplace's equation in a toroidal domain are unique given the boundary, the normal field on the boundary, and a normalization factor that determines the enclosed toroidal flux. So, if
can be achieved perfectly on the boundary,
, then every property of the magnetic field inside the domain is determined. In practice, with a finite number of coils,
will not exactly be zero on
. Not all field errors are equally important. For example, a so-called 'resonant' field error may produce a much greater deterioration of the magnetic bottle than non-resonant field errors; and fewer coils can potentially create larger magnetic ripple. This can have important consequences for the confinement of fast ions. Some field errors may produce larger variations in the rotational-transform than others. In planned future improvements to FOCUS, we intend to more selectively target the specific distribution of normal field errors that strongly couples to resonant plasma dynamics.
There is no limit on the number of constraining contributions to the objective function that can be included. We intend to include penalties on the coil–coil electromagnetic forces, as minimizing these forces reduces the required strength of the coil-support structures, and this in turn reduces the cost of constructing experiments. For a practical design, stellarators must include sufficient space and access to the plasma for heating, diagnostics and 'blankets' required to protect the coils and so on; and as each stellarator is different we expect that FOCUS will be modified as required.
The steepest descent method used in this article has the advantage that it is easy to implement numerically and that the topological arrangement of the coil with respect to the plasma does not change; but, the steepest descent method is not the fastest optimization method, and does not generally find a global minimum. We intend to implement more advanced algorithms in future, and for this we intend to semi-analytically compute the second derivatives of the objective functions, the hessian. The eigenvalues of the hessian will provide valuable information regarding the sensitivity of the objective functions to perturbations in the coil geometry.
The capacity of handling configurations that have nonzero plasma currents will also be investigated, so that FOCUS may be used to design so-called 'resonant magnetic perturbation' coils used to suppress edge-localized instabilities in tokamaks.
We have not discussed the computational cost required by FOCUS in any detail in this article. There are a great many code improvements that will reduce the computation time, and in future work we will compare the computational cost required by FOCUS with that of the more mature coil optimization codes.
The Fourier representation is global, in the sense that changing one Fourier harmonic that describes the coil geometry will change the geometry of the entire curve. This representation can only describe coils that are smooth. We will explore whether a piecewise linear representation is preferable, as this representation can accommodate any geometry and changing one parameter that describes the coil geometry will only induce a local change in the coil geometry. This is likely to have advantages for code parallelization.
Acknowledgments
This work was supported by the Chinese Scholarship Council (CSC) with No. 201506340040 and US Department of Energy with under DE-AC02-09CH11466. The authors gracefully acknowledge the fruitful discussions with S. Lazerson, J. Breslau, D. Gates and N. Pomphrey. Special appreciations are expressed to J. Geiger and J. Loizu from IPP for providing the W7-X data, and Y. Suzuki from NIFS for providing the LHD data. The author C.Z. would also like to thank the PPPL Theory Department for hosting his visiting with this work.











