Abstract
The design, performance characteristics and validation of a next generation reference facility for carbon dioxide (CO2) in air standards based on manometry is presented. Novel attributes of the facility include automated operation, avoidance of significant pressure corrections for measurements on extracted CO2, fully characterized trapping efficiencies, and reduced measurement uncertainty. Improvements in system performance have been achieved using specific materials, notably Silconert®-treated stainless-steel, providing increased mechanical stability whilst minimizing carbon dioxide adsorption on surfaces, and avoiding use of elastomer O-rings, which would lead to losses of CO2. Full automation of the cryogenic extraction process of CO2 from air has been achieved, avoiding any manual intervention within the temperature stabilized section of the facility, and allowed full characterization and correction for trapping efficiencies and trace water measurement. The facility has been validated across the CO2 in air amount fraction range of (380–800) µmol mol−1 using standards with values traceable to the reference value of the CCQM−K120 (2018) comparison. It was demonstrated to operate with a standard measurement uncertainty of 0.09 µmol mol−1 at 400 µmol mol−1. The automation allows five measurement results per day to be produced with a typical standard deviation of the mean at or below 0.02 µmol mol−1. The facility will be used as a stable reference in the future BIPM.QM−K2 ongoing comparison, to compare consistency of amount fraction values in different CO2 in air standards. The CO2 amount fraction in two ensembles of nine BIPM standards covering the same range will also be measured with the facility to provide their SI-traceable values, and further monitored on a longer time scale. Each ensemble will constitute a CO2 in air scale to be compared with other available scales such as WMO.CO2.X2019 through the BIPM.QM−K5 comparison.
Export citation and abstract BibTeX RIS

Original content from this work may be used under the terms of the Creative Commons Attribution 4.0 license. Any further distribution of this work must maintain attribution to the author(s) and the title of the work, journal citation and DOI.
1. Introduction and aims
Since the first observations of carbon dioxide (CO2) concentration in the atmosphere started at the Mauna Loa observatory in Hawaii in 1958 [1], a global observing system has been developed, covering many sites worldwide. This reflects the important role of this greenhouse gas as a driver of climate through anthropogenic emissions and its strong radiative forcing. As noted in a recent Intergovernmental Panel on Climate Change news release of the Group I report, Climate Change 2021: the Physical Science Basis [2], 'the report also shows that human actions still have the potential to determine the future course of climate. The evidence is clear that carbon dioxide (CO2) is the main driver of climate change, even as other greenhouse gases and air pollutants also affect the climate' [3]. Additional systems at the local, regional and global scale are being implemented to monitor the concentration of CO2 in air and also contribute to efforts to monitor fluxes, with 'air' ranging from the 'clean' troposphere (background levels with CO2 amount fractions between 380 µmol mol−1 and 480 µmol mol−1) to more concentrated urban areas (urban levels between 480 µmol mol−1 and 800 µmol mol−1). To ensure meaningful and comparable measurements, monitoring networks need regular calibrations of their instruments.
The World Meteorological Organization (WMO) Global Atmosphere Watch (GAW) programme (see for example the report of the 20th WMO/IAEA Meeting on Carbon Dioxide, Other Greenhouse Gases, and Related Measurement Techniques [4]) recommends carbon dioxide measurements made in its network to be traceable to standards maintained by their Central Calibration Laboratory. This role is fulfilled by the National Oceanic and Atmospheric Administration (NOAA), Global Monitoring Laboratory, where an ensemble of 19 aluminium high pressure cylinders containing well known CO2 in air mixtures with amount fractions spanning the range (250−800) µmol mol−1 has been maintained and constitutes the scale currently named WMO−CO2−X2019 [5]. The CO2 amount fraction in these cylinders has been measured regularly at NOAA since 1995 using an absolute method based on manometry [6]. The manometric method was previously introduced by the Scripps Institution of Oceanography for the same purpose [7]. It has the advantage of using only a few basic measurements (pressure, volume, and temperature), as will be further discussed in this paper. The NOAA manometric system provides the SI traceable CO2 amount fraction values in their ensemble with a reported standard uncertainty of 0.07 µmol mol−1 [8] and more recently 0.09 µmol mol−1 [5] at nominally 400 µmol mol−1, and standard uncertainties of (0.105, 0.13, 0.24) µmol mol−1 at nominal amount fractions of (389, 480, 800) µmol mol−1 in the CCQM-K120 comparison. All cylinders are further measured together with an appropriate analyser to determine internally consistent values at the 0.01 µmol mol−1 level, which establishes the scale values for these standards, and as a first step of a chain of calibrations, which includes secondary and tertiary standards, as described in [8]. Measurements traceable to the WMO scale are traceable to the ensemble of 19 NOAA standards. While the standard uncertainty of the scale is ∼0.1 µmol mol−1 at 400 µmol mol−1, the scale transfer uncertainty (i.e. consistency among standards traceable to the scale) is ∼0.01 µmol mol−1. This low level of uncertainty, required to monitor CO2 trends and more importantly CO2 fluxes in the atmosphere, is the main advantage of the 'scale' approach, as further discussed in [9].
The scale values of standards are based on their SI traceable values and are nevertheless expected to be within the uncertainties of these SI traceable values. CO2 in air standards are compared for consistency of their SI traceable values within the International Committee for Weights and Measures' Mutual Recognition Arrangement (CIPM-MRA) [10]. Most CO2 in air standards in these comparisons are generally produced synthetically from pure gases by the participating laboratories, using the gravimetric method to determine the CO2 amount fraction, and with the associated uncertainty typically taking into account measurements performed to validate the values obtained by weighing [11]. The most recent comparison (CCQM−K120) of CO2 in air standards at background and urban levels, was coordinated in 2016 by the BIPM [12], and demonstrated that the SI traceable values assigned by the manometric system maintained by NOAA and the basis of the WMO−CO2−X2019 scale were in agreement with other SI traceable standards.
In 2015, the BIPM initiated the development of a reference facility for CO2 in air standard comparisons, based on the manometric method to compare SI traceable CO2 amount fractions in mixtures of air, to support laboratories disseminating such standards, where the reported uncertainties were fit for their intended purpose, or using these as the basis for CO2 in air scales. The main new features of the BIPM facility reside in the choice of materials and in its automation. The vessels and tubing in which the gases are handled are made from SilcoNert® treated stainless steel instead of glass, to make them more robust and to provide a better seal while ensuring low adsorption of CO2. In addition, all valves are pressure actuated, and specific cryogenic traps were designed and built on site to allow full automation of the system, which enables a high degree of process control and an optimal repeatability. A first version of the system allowed the BIPM to participate in the Pilot Study CCQM−P188 in 2017, run in parallel with CCQM−K120 [13]. This first version included cryogenic traps which were operated manually, and which have subsequently been replaced. This paper describes the facility as operated since 2022. It describes the measurement principle and methods, starting with a concise description in section 2.1 before providing further details on each measurement step in section 2.2. A comprehensive section 3 is devoted to the full measurement equation, corrections, and uncertainties, which were thoroughly estimated during specifically designed experiments. Finally, the performance of the facility was validated using a set of five standards distributed over the range (380−800) µmol mol−1, which were calibrated during the CCQM−K120 comparison, as presented in section 4.
2. Measurement principle and methods
2.1. Concise description
The reference facility described in this paper (referred to as the PVT-CO2 system) aims at measuring the CO2 amount fraction in a sample of dry air via the measurement of the pressure, volume, and temperature of that sample, and then of the CO2 extracted from it by cryogenic trapping. For a given gas (air or CO2), the three measurements of its pressure P, volume V and temperature T allow the calculation of its amount (amount of substance expressed in mole) n via an equation of state that corrects for the compressibility of gases measured. The amount fraction is then by definition the ratio between the amount of CO2 and of air. The amount fraction of CO2 in ambient air is close to 400 µmol mol−1, so that the ratio between the initial volume of air (the 'large volume') and the final volume in which the CO2 is expanded (the 'small volume') can be around 1000 with the final CO2 pressure being 40% that of the air sample, which is reasonably easy to measure in practice.
The setup of the BIPM PVT-CO2 system, shown in figure 1, implements the above principle: it includes a large volume to introduce the air sample and measure its pressure and temperature, a cryo-trapping system to extract CO2 from this sample, and a small volume to receive the extracted CO2 gas and measure its pressure and temperature. The volumes are maintained in a temperature−controlled chamber, while the trapping system is outside the chamber. Other parts of the system, described in the next sections, include auxiliary vessels in the chamber to enable accurate measurement of the ratio between the large and small volumes.
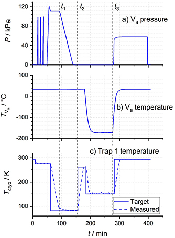
Figure 1. Measurement setup, including: a temperature − controlled chamber (indicated as oven enclosure) which itself contains six vessels Va to Vf. Other parts are: RGA—residual gas analyser (quadrupole mass spectrometer); RPM4—reference pressure monitor; Vn with integer n—valve; MFC—mass flow controller; NDIR—non dispersive infrared detector; Pn—pressure gauge n; TRAPn—cryogenic trap; cryotel GT—Stirling cryocooler.
Download figure:
Standard image High-resolution image2.2. Detailed measurement process
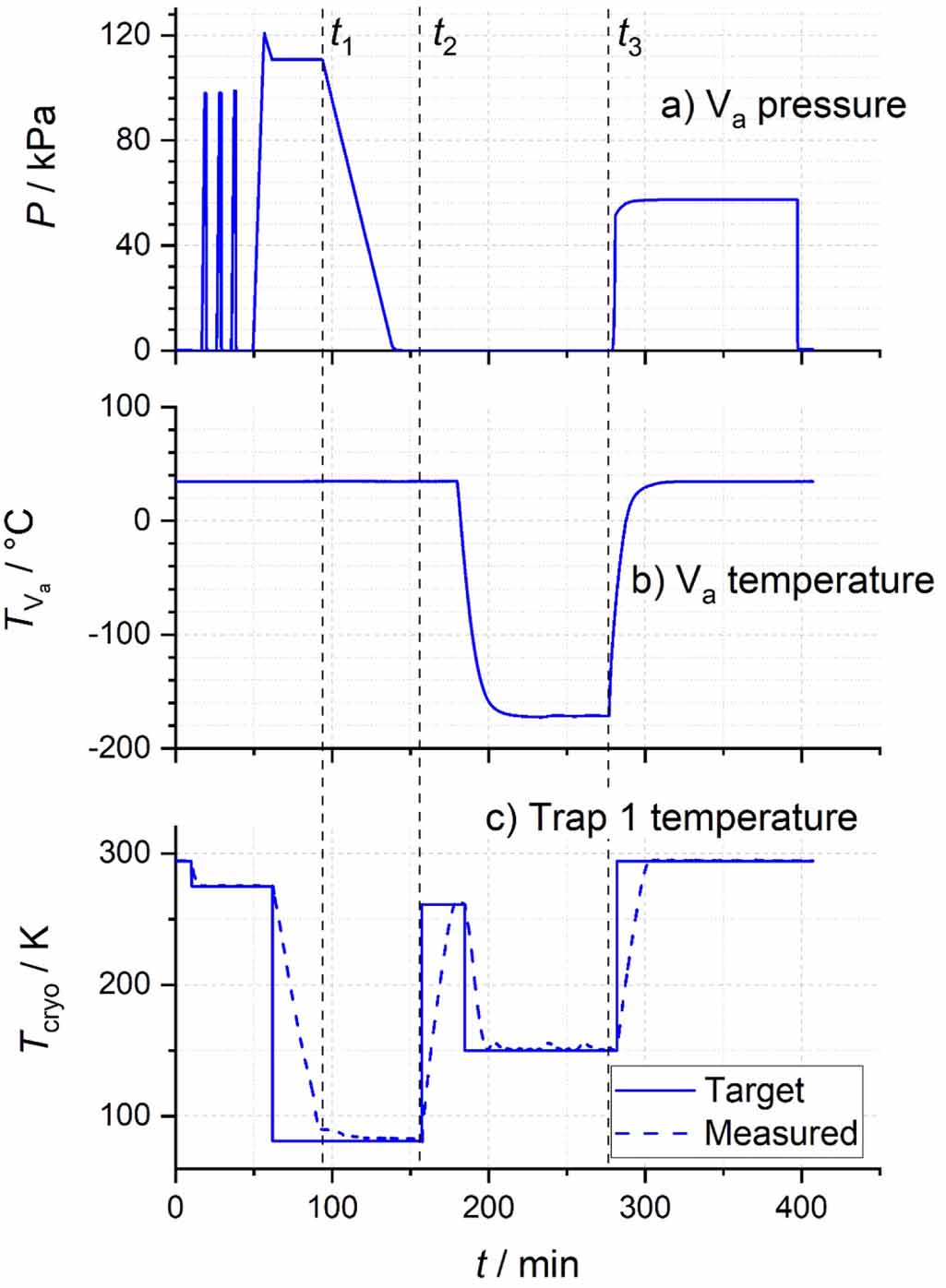
One full measurement run can be divided into four phases further detailed in four sub-sections below: the sampling and measurement of the air sample pressure and temperature; the extraction of CO2 from the sample by cryogenic trapping; the removal of H2O and transfer of CO2 in the small volume; and finally, the measurement of its pressure and temperature after stabilization. Three of the key parameters measured during one run are plotted in figure 2: the pressure P of the sample and of CO2 (measured with the same gauge P1), the temperature TVa in the small volume, and one of the cryo-trap temperature's Tcryo as illustrated. Their variation with time is further explained below.
Figure 2. The measured values of key parameters during a typical run: (a) pressure measured in the vessel Va (P), (b) temperature measured on Va (TVa) and (c) temperature Tcryo set (target) and measured in trap T1.
Download figure:
Standard image High-resolution image2.2.1. Sampling and measurements of the air pressure and temperature in the large volume
2.2.1.1. Description of facility components.
The temperature-controlled chamber of the facility was built from a chamber that was marketed as a bacteriological incubator (BINDER Incubator BD 720) 4 with two doors on the front side for gaining access to its interior. It was maintained at a nominal temperature of 308 K during measurements. Eight additional fans and insulated parts were positioned inside the chamber to improve the temperature uniformity and stability throughout the chamber, ensuring that temperature gradients across vessels were no greater than 0.03 K.
The chamber contains six stainless-steel vessels (Va to Vf) of different sizes that are joined together using stainless-steel tubes and isolated from each other using pneumatically actuated membrane valves. Wet surfaces were SilcoNert® treated throughout to minimize adsorption of CO2. The only surfaces which could not be treated were inside the pressure gauge P1, and it was estimated that this represented less than 14% of the internal surfaces in the volume Va. The volume inside each of the six vessels is provided in table 1. The three vessels Ve, Va and Vb connected together constitute the large volume VL for sampling the air (Vb is constituted by the tubing between valves V15, V16, V17 and V18). In this paper, non-italic Vi with subscript i refers both to a vessel or a collection of vessels; italic Vi with subscript i refers to the volume of the vessel or collection of vessels; non-italic Vn with non-subscripted integer n refers to a valve. The vessel Va alone, also described as the 'small volume', is shaped as a cold finger in contact with a Stirling cryo-cooler (Sunpower Cryotel GT) and is used to concentrate CO2 after its extraction from the air. The four other vessels are designated as auxiliaries as they were used during the measurements of the ratio between the large and small volume, described in section 3.1.
Table 1. Initial volume, vessel added for the expansion and its estimated volume, observed minor ratio and final pressure for each expansion step. The first line shows the volume of vessel Va only.
| Step | Initial volume Vi | Additional expansion vessel | Vessel volume/cm3 | ri | P'i /kPa |
|---|---|---|---|---|---|
| Va | 7.40 | ||||
| 1 | V1 = Va | Vb | 18.01 | 3.434 | 29.4 |
| 2 | V2 = Va + Vb | Vc | 100.00 | 5.452 | 20.5 |
| 3 | V3 = Va + Vb + Vc | Vd | 450.00 | 4.427 | 22 |
| 4 | V4 = Va + Vb + Vc + Vd | Vf | 1400.00 | 3.254 | 29.4 |
| 5 | V5 = Va + Vb + Vc + Vd + Vf | Ve | 6000.00 | 4.243 | 25 |
The pressure in the vessels was measured with the resonant silicon pressure sensor P1 (General Electric TERPS−Trench Etched Resonant Pressure Sensor−DPS 80 HA). The choice of this sensor is critical because it contains elements which are exposed to pure CO2, potentially contributing to losses by adsorption. In this model, the gas is in contact with a stainless-steel membrane (disk of 12.7 mm diameter) which protects the pressure sensitive device (resonator layer). This model was preferred over a more traditional sensor based on a precision quartz crystal resonator, in which the gas was observed to come in contact with bellows made from nickel, leading to measurable pressure losses when CO2 was in Va. A second pressure sensor (P3, Lesker 300 series) was used for process control.
The temperature of the vessels was measured using ten class B negative coefficient thermistors, attached to the vessels using tape with thermal grease between the sensors and surfaces. The vessel Ve was equipped with four sensors located on the front, back, top and bottom. The vessel Va was equipped with two sensors, located on the two extremities of the tubing which constitute the main part of the vessel. The vessels Vb, Vc, Vd, and Vf were equipped with one sensor only.
A non-dispersive infrared sensor (NDIR) that measures CO2 amount fraction was located outside the chamber and connected by tubing to valve V7, to provide an approximated value in the first minutes of the measurement process as explained below.
A quadrupole mass spectrometer (RGA model MKS Vision 1000 C) was used to check the composition of the gas at various steps in the measurement process (initial air sample, condensed gases, pure CO2). Its purpose was to detect abnormal components (high levels of water for example). This was never the case in the measurements presented in this paper.
2.2.1.2. Sampling process.
The sampling process started by flushing the wetted surfaces of the system with the air sample collected from the cylinder under analysis. The sample was introduced in the vessels Ve, Va and Vb (aka VL) via the mass flow controller MFC1 until a pressure of ≈90 kPa was reached, and further evacuated. The pump and purge process was performed three times. During the last 5 min of the third filling, air from the cylinder was flowed through the uncalibrated NDIR analyser at 100 ml min−1 to obtain an approximate indication of the CO2 amount fraction value in the cylinder. Note that because the NDIR is used only for process control and changes in CO2 readings no accurate calibration is required. The pressure P measured by gauge P1 during this process is shown in figure 2, with the three first peaks in the first 50 min of a measurement run.
After the flushing was completed, the large volume VL was filled at a flow rate of 1000 ml min−1 until it reached a pressure of 118 kPa. The flow rate was then reduced to 100 ml min−1 and finally stopped once the pressure reached 120 kPa. To check for any possible contamination of the sample, air from VL was flowed to the NDIR through the second mass-flow controller (MFC2) at a rate of 100 ml min−1 for 5 min, and the NDIR output value was compared with the previous one. At this point the valve V4 was closed, and the gas was left to equilibrate at the temperature of the chamber (35 °C). The remaining gases from the lines were evacuated and the traps were set to cool down to 78 K. The system was considered ready for making a measurement (indicated as time t1 on figure 2) when the temperature measured on the top of the trap was below 110 K and the pressure read by P1 reached a stability criterion of 1 Pa over 100 measurements (spaced every 2 s). The turbomolecular pump was turned off, and the temperature Tair and pressure Pair were recorded (see sections 3.1 and 3.3 for details on these measurements).
2.2.2. CO2 extraction by cryogenic trapping.
The process described in this section aimed at extracting all CO2 molecules from the sample, with an efficiency as close as possible to 1. This would require all of the air sample to flow through the traps. In practice, there is a limit to this ideal situation due to pumping efficiency, and a residual air pressure that will always be observed in the large volume and in the traps, which require correction. Another requirement to achieve this efficiency is to maximize the interaction of the molecules with the cold surfaces of the traps. This can be ensured with a proper design of the traps, together with an appropriate combination of the sample pressure and flow rate inside them. The optimized conditions applied during the measurements reported here were the result of many tests performed with different traps designs, flow rates and pressures.
2.2.2.1. Traps description.
The three identical traps were manufactured at the BIPM and designed to include cooling and heating features, to maximize the contact between the gas and the cold surfaces and being as automated as possible. Each trap includes an inlet which is a 6.35 mm (¼ inch) tube plunging to a 4 mm gap section at the bottom of a 25.4 mm wide 50 mm deep closed cylinder. The outlet is a 4 mm hole on the side of the 4 mm gap and 6.35 mm tube at the top of the cylinder. All wetted surfaces were made of stainless steel coated with SilcoNert® to ensure desorption of CO2 on heating. Each trap was inserted inside a copper block equipped with liquid nitrogen circulation and a heating cartridge constituting a heat exchanger. The heat exchanger temperature was controlled by a PID module and measured with a thermometer inserted in the space between the liquid nitrogen circulation and the trap itself.
2.2.2.2. Extraction process.
The extraction process started by pumping the air sample through the three traps connected in series via the mass flow controller MFC2 set at 130 ml min−1 (V4 open and V18 closed). This flow rate value was chosen after a study of its impact on the trapping efficiency reported in section 3.7. The pressure measured by P1 started to decrease linearly. When the pressure in VL fell below 4 kPa, the flow rate out of MFC2 started to decrease as well, and when the pressure had decreased below 700 Pa, the valve V18 was opened, allowing the air to flow directly to the traps with minimal impedance. Finally, when the pressure reached 100 Pa (about 50 min after the start), valves V18 and V4 were closed, and the extraction ended. The pressure of the remaining air in VL was given 3 min to stabilize and was recorded so that it could be subtracted from the starting pressure. The air still contained in vessels Va and Vb (isolated from vessel Ve by closing valve V17) was further pumped through the traps, and its amount was calculated to be negligible compared to the total amount. At this point, all extractable CO2 is condensed in the traps, and the system was ready for the transfer of CO2 from the traps to the cold finger inside the chamber, acting as the small volume Va (time t2 on figure 2).
2.2.3. H2O removal and transfer of CO2 in the small volume (cold finger).
At the end of the process described above, the temperature in the traps was typically 80 K. At this temperature the CO2 vapour pressure is small (3·10−2 Pa), and the CO2 is condensed onto the walls of the trap. The air sample typically contains small amounts of water vapour and N2O that have low vapour pressures at this temperature, and these gases were trapped as well. The other gases present in the air (N2, O2, Ar, and CH4) do not have such low vapour pressures and would be pumped away. The aim of the next steps was to keep the H2O inside the trap while transferring CO2 (and N2O) to the cold finger inside the chamber.
First, the cryocooler in contact with the vessel Va (cold finger/small volume) was started and set to 77 K. Meanwhile, traps T1 and T2 were heated to 260 K and cooled again to 150 K, a temperature at which H2O is condensed but not the CO2 (or N2O). Valve V18 was opened to connect the traps to Va, and trap T3 was heated from 110 K to 155 K to allow all CO2 to be cryo-pumped into the cold finger. After trap T3 temperature was above 150 K and P1 pressure below 10 Pa, an additional waiting time of 10 min was followed to allow complete transfer. Finally, V15 was closed to isolate the CO2 inside the small volume Va.
This step ended with all traps being heated to 290 K and the remaining gas transferred to the RGA.
2.2.4. Measurements of the CO2 pressure and temperature in the small volume.
Starting from the small volume being isolated, the cryo-cooler was stopped (time t3 on figure 2), and the pressure and temperature were monitored until the system had stabilized. The small volume temperature was taken as the average between two temperature probes located at opposite ends of the tubular vessel Va. The conditions inside Va were considered stable one hour after the bias between the two temperature probes dropped below 0.05 K. The pressure in the small volume P(Va) and temperature TCO2 were then recorded for further computation of the amount fraction, both quantities being averaged over a hundred points or 200 s.
A background pressure was measured independently by running the exact same method to extract CO2 but on a BIP® nitrogen cylinder (less than 1 µmol mol−1 of H2O). These background measurements were performed systematically before each new series of CO2 measurements on a new sample, and further subtracted from the pressure in Va with CO2. A statistical analysis of 30 measurements over seven months showed that the background pressure was equal to 2 Pa on average, with a standard deviation of 1 Pa.
The stability of the pressure in Va was monitored with care, as it was known to be potentially declining with time. In the similar NOAA ESRL system, CO2 is believed to permeate through the O-ring associated with the small volume [5], causing a slow decrease in the measured pressure over time after the small volume is isolated. This loss requires a correction in their system. In an earlier version of our system, in which the pressure sensor included surfaces made of nickel, a slow decrease of about 10 Pa h−1 had been observed. Replacement of the pressure sensor to a model that only exposed the CO2 to stainless steel, and of all ball valves (which developed small leaks over repeated use) with membrane valves stopped this decrease. Fits to the last hour of measurements of the quantity PCO2/TCO2 shows a slope consistent with zero, as shown on figure 3. No corrections for loss are required in our system.
Figure 3. Ratio between the pressure and the temperature normalized to the last measurement point values recorded in three different configurations: with pure CO2 in Va and a quartz crystal resonator pressure sensor in 2019 (dotted orange line), with pure nitrogen in Va and the resonant silicon (TERPS) sensor (blue line), and with CO2 in Va and the resonant silicon (TERPS) sensor (dashed red line) in 2022.
Download figure:
Standard image High-resolution image3. Measurement equation, corrections, and uncertainties
As a first approximation, and assuming that all CO2 molecules and only CO2 are extracted from air, the nominal amount fraction, which is the quantity this system is designed to measure, xnom is calculated as:

where:
- RV is the ratio of the large volume VL (Va+Vb+Ve) to the small volume Va;
- PCO2 and TCO2 are the pressure and temperature of CO2 extracted from the sample and measured in the small volume Va;
- Pair and Tair are the pressure and temperature of the sample measured in the large volume VL;
-
is the compressibility factor of air at its temperature and pressure in the large volume, -
is the compressibility factor of CO2 at its temperature and pressure in the small volume.
For a given gas i, the compressibility factor was calculated using the corresponding virial coefficient B(T) and the molar gas constant R = 8.314 462 618 J K−1 mol−1 according to:

where the subscripts
indicate air or CO2.
The sample of air typically contains N2O, which is trapped with CO2 during the extraction and transferred in the same small volume Va. The amount fraction of N2O in the sample is measured independently and subtracted from the CO2 amount fraction. Typical values are those of ambient air: xN2O = 325 nmol mol−1. Corrections to the compressibility due to the presence of N2O are negligible.
Water molecules present in the sample can also be trapped and transferred in the small volume. The traps were designed to minimize this, and further studies showed that the amount had been limited to negligible levels (section 3.5). It is considered as a correction equal to zero with non-zero uncertainty: xH2O = 0 mol mol−1, u(xH2O) = 0.009 µmol mol−1.
The series of three cryo-traps to extract CO2 from air were designed to reach a trapping efficiency of 1. Further studies showed that this efficiency was affected by the flow rate of the sample in the traps, with a compromise adopted to maintain a reasonable measurement time (section 3.7). Therefore, an additive correction δxnc was introduced to account for non-condensed CO2, with non-zero uncertainty.
Finally, CO2 can be adsorbed on surfaces as reported in the literature [14]. If some CO2 molecules are adsorbed on the surfaces of the system, it would be in the small volume which is filled with pure CO2 at pressures between 40 kPa and 80 kPa. Measurements performed with several different surfaces in this volume indicated that this effect would be negligible, but with a non-zero uncertainty. A second additive correction was introduced, δxad, equal to zero, and its uncertainty was estimated from studies described in section 3.8.
Considering the above corrections, the final measurement equation takes the following form:

All the uncertainties in this section are calculated according to the Guide for Uncertainties in Measurements [15].
3.1. Volume ratio measurements
The measurement of the
is inversely proportional to the volume ratio, Rv. Uncertainty in this parameter constitutes about 90% of the total uncertainty. Knowledge of Rv is sensitive to the calibration of the pressure and temperature probes. Therefore, Rv is being monitored carefully, using fixed limits for its drift to indicate a need for recalibration.
The measurement of the volume ratio is based on a series of five static expansions of nitrogen in the three vessels of interest Va, Vb and Ve, plus three additional (auxiliary) vessels Vc, Vd and Vf. This method is often used in pressure calibration systems such as described in Bergoglio and Calcatelli [16].
In the following sections, the index i is used to indicate the expansion number, from 1 to 5. For each individual expansion, dry nitrogen at a pressure Pi
close to 95 kPa was introduced in a first volume Vi
. After its pressure and temperature have reached equilibrium, the gas was expanded into a second (larger) volume V'i
that was initially in vacuum. After the gas has expanded and reached equilibrium, its final pressure P'i
was measured. Simultaneous temperature measurements were made of the volumes Vi
and V'i
using the probes attached to the corresponding vessels, yielding Ti
and T'i
, respectively. From the four quantities, the minor ratio
was determined using:

where Rp
is the pressure ratio Pi
/Pi
' and
is the compressibility factor of nitrogen at the temperature and pressure measured in the volume Vi
. Note that the pressure ratio is treated as a single quantity rather than a combination of two separate quantities; this will be useful in determining pressure ratio uncertainties because the pressure measurements are correlated.
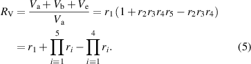
The first expansion started in the vessel Va, of volume V1 = Va, and when a valve is opened, Vb was added, resulting in a volume V2 = Va + Vb. Each successive expansion i started with filling the final volume Vi −1 of the previous expansion and letting the gas expand in the same volume augmented with one more vessel, finishing in all six vessels. Each expansion yields an individual volume minor ratio ri , with i = 1–5. The vessels were chosen so that the pressure after expansion was close to 20 kPa. Typical values of the minor ratios and the final pressures measured at each step are displayed in table 1.
Finally, the volume ratio RV was calculated from the minor ratios, observing that

In the example of table 1, the volume RV was found to be equal to 877.952.
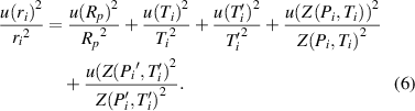
To calculate the uncertainty of the volume ratio, we start from the relative uncertainty for one minor ri :

The relative uncertainty u(Rp
)/Rp
in equation (6) is estimated to be 3.1 × 10−5. A discussion of how this uncertainty estimate was made is provided in
The compressibility factor of nitrogen takes slightly different values before and after expansion, but its relative uncertainty is the same:
.
A repeatability uncertainty for ri was obtained by taking the standard deviation of the values of ri during a set of eight measurement sequences, resulting in a relative standard uncertainty equal to 3.2 × 10−5.
There are correlations to consider in individual volume ratios, with the same quantities being used. To simplify the calculations of the standard uncertainty for the total volume ratio Rv from that of the individual volume ratios, uncertainty components associated with correlated quantities are separated from those associated with uncorrelated quantities. If we assume that the value of Pi (or Pi ') is the same for all individual ratios, then the pressure ratios Rp for one ri will be correlated with those for all other ri . Similarly, since the virial coefficient B(T) is a thermophysical property that is a function of temperature, which is approximately constant for these measurements, the contributions of its uncertainty to uncertainties of all the ri measurements include correlations. The temperature measurements for the different ri measurements are not correlated because they are made with a different collection of sensors for each measurement. Typical values of u(ri ) were calculated to be equal to 3.2 × 10−5 for the correlated part, and 6.4 × 10−5 for the uncorrelated part of a minor ratio relative uncertainty.
For the contribution to the total standard uncertainty of Rv from the correlated components, we approximate all ri as the same quantity r. Then

And so

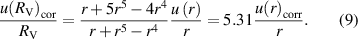
or, for an average value of r = 4, the correlated contribution to the uncertainty of Rv, u(Rv)cor, from the correlated quantities for r, u(r)cor, is

The uncorrelated uncertainties for ri, u(ri )uncor are added in quadrature to give the uncorrelated contribution to the uncertainty of Rv, u(Rv)uncor,

Adding up the correlated and uncorrelated contributions and the total volume ratio repeatability in quadrature,

A typical repeatability uncertainty for RV was obtained by taking the standard deviation of measured values during a set of eight measurement sequences, resulting in a relative standard uncertainty equal to 3.2 × 10−5.
Adding all terms in quadrature results in a relative standard uncertainty on RV equal to 2.3 × 10−4.
3.2. Pressure measurements
An accurate measurement of the pressure measured by the gauge P1 is key to the accuracy of the CO2 amount fraction, because its value is used to estimate the air sample pressure, the CO2 pressure, and the volume ratio. To avoid modifying the volume ratio, the gauge remained connected to the system at all times, including during calibration. It was calibrated in situ against a laboratory reference standard (Fluke RPM4 A100Ks), which was itself regularly calibrated against primary pressure standards at the BIPM and at the Laboratoire National d'Essai (LNE). Calibrations performed at the BIPM covered the pressure range 20 kPa to 110 kPa, which corresponds to the limits of the pressure observed during the volume ratio measurements. Calibrations performed at the LNE also covered pressures below 20 kPa, to underpin values reached during the estimation of the background pressure as well as the residual pressure in the large volume at the end of the CO2 extraction. The gauge P1 was calibrated directly after the laboratory standard, to avoid the drift of this instrument which is commonly estimated at the level of 10−4 relative to the pressure over a period of one year.
The relative measurement uncertainty of the pressure is a combination of two terms (values provided in parentheses): calibration of the laboratory standard and the gauge (10−5) and proportional drift (10−4). The absolute measurement uncertainty is a combination of five terms: calibration of the laboratory standard pressure (0.2 Pa), repeatability (0.07 Pa), hysteresis (0.5 Pa), zero-offset stability (0.5 Pa), and resolution (0.3 Pa).
Because the expression for the CO2 amount fraction includes the ratio of two pressures measured with the same gauge, correlations between the two quantities were considered. A discussion of the uncertainty of these pressure ratios is given in
3.3. Temperature measurements
The system includes ten temperature probes attached to the vessels inside the thermostatic chamber, three probes attached to the cryogenic traps, and one on a metallic block in contact with the cold finger Va. All probes were calibrated together against a local standard probe, itself calibrated at the LNE. The calibration uncertainty is the same for all probes, equal to 5 mK, as well as the repeatability (4 mK), the stability (10 mK), and the resolution (3 mK). The last component of the measurement uncertainty originates from the temperature gradients measured on the vessels. A maximum gradient of 20 mK was observed in the vessel Ve during the CO2 amount fraction measurements. It was found to be equal to 30 mK during the volume ratio measurements (likely due to the expansion of the gas during these measurements). Combining all terms, the standard uncertainty of temperature measurement is 14 mK during CO2 amount fractions, and 15 mK during volume ratio measurements.
3.4. N2O correction
During the future operation of the system, the amount fraction of N2O in the gas standard to be analysed will either be provided by its owner or measured at the BIPM headquarters by gas chromatography with an electron capture detector or by quantum cascade laser absorption spectroscopy. Both instruments were used during the key comparison CCQM-K68.2019 performed on reference materials of N2O in air at ambient level [17]. Typical values of the uncertainty reported by the eight participants of this comparison ranged from 0.07 nmol mol−1 to 2.1 nmol mol−1, with an average of 0.5 nmol mol−1. The average value can be used as conservative estimate of the standard uncertainty on N2O amount fractions for demonstration purposes.
3.5. H2O correction
After N2O, H2O is the next most probable compound to be trapped during the extraction process and transferred with CO2 in the small volume. To minimize this possibility, the temperature at which the traps were warmed to evaporate CO2 was chosen to keep the water frozen. The efficiency of the trapping system in removing water was tested with a standard gas composed of 10 µmol mol−1 of H2O in nitrogen. This amount fraction of H2O used for testing was larger than in typical standards of CO2 in air. The same method used with the PVT−CO2 system to extract CO2 was applied to the H2O/N2 standard and compared to the background pressure measured systematically on BIP® nitrogen. The final pressure in the small volume Va was observed to be equal to 2 Pa (n = 37 points, s = 1.5 Pa), which is statistically in agreement with the background pressure. It was concluded that no water could be detected, and its amount fraction was set to zero, with a small uncertainty. The uncertainty distribution should be asymmetric to account for the impossibility to obtain negative values of the water amount fraction. It can be modelled as half a rectangular distribution with a half−width of 0.015 µmol mol−1 (corresponding to the 1.5 Pa standard deviation of the measurements), resulting in a standard uncertainty of 0.003 µmol mol−1. As this is small compared to other values, it is simplified as a symmetric standard uncertainty of the same magnitude.
3.6. Compressibility factors
Compressibility factors are calculated by the control programme during the measurements, using the measured values of the pressure and temperature of the gas. The virial equation is first expressed in powers of the density 1/V at the third order, which allows the coefficients to be found in the database REFPROP [18]:

As the volumes are not initially known, the virial equation is expressed in powers of the pressure:

Each pressure virial coefficient is deduced from the volumetric virial coefficients and the temperature measurements:


The volumetric virial coefficients are calculated by linear interpolation between two values found in the REFPROP database, for the two bracketing temperatures of 300 K and 310 K. Table 2 shows the values from the database for these two points.
Table 2. Volumetric virial coefficients for CO2, air and nitrogen at the temperatures 300 K and 310 K, found in the database REFPROP.
| Gas | T/K | BV/(m3 mol−1) | CV/(m3 mol−1)2 |
|---|---|---|---|
| CO2 | 300 | −1.2127 × 10−4 | 4.7131 × 10−9 |
| CO2 | 310 | −1.1243 × 10−4 | 4.5399 × 10−9 |
| Air | 300 | −7.0931 × 10−6 | |
| Air | 310 | −5.2142 × 10−6 | |
| Nitrogen | 300 | −4.5537 × 10−6 | |
| Nitrogen | 310 | −2.7131 × 10−6 |
The pressure in equation (15) represents the measured pressure of the gas when maintained in a specific vessel. When the vessel is emptied, there is a residual pressure which could be subtracted from that value. The worst case is when the large volume is emptied from the original air sample: this process is stopped when the pressure reaches 100 Pa in the vessel. It was checked that subtracting this value from the air pressure has negligible impact on the compressibility factor of air. Therefore, residual pressures are ignored in all cases.
Virial coefficients in REFPROP are assumed to be displayed with a constant standard uncertainty of 0.2 × 10−6 m3 mol−1. The combined relative uncertainty on each compressibility factor is then calculated at the pressure and temperature of the measurement by error propagation. Typical values of the relative standard uncertainties are 3.23 × 10−6 for CO2, 7.69 × 10−6 for air and 8.65 × 10−6 for nitrogen.
3.7. Trapping efficiency
To demonstrate the efficiency of the 3-trap system, measurements were performed using one, two and three traps to extract CO2 from the same sample. The sample chosen for this test was a cylinder of CO2 in dry air with an amount fraction of 651.93 µmol mol−1 with traceability to the CCQM−K120 comparison reference values. Measurements results are plotted in figure 4. It shows a loss in CO2 of almost 10 µmol mol−1 when only one trap was used. No difference in CO2 was observed between two and three traps, which could be interpreted as the maximum efficiency being reached with two traps. The average value measured with three traps was 651.7 µmol mol−1 (s = 0.2 µmol mol−1), in agreement with the reference value. The spread observed in measurements performed for this study was larger than during a typical run. This could be due to the absence of the distillation step during the extraction, consisting of warming two of the three traps to attract all CO2 molecules inside just one trap before transfer to the cold finger inside the temperature-controlled chamber. This step could not be followed when trapping with only one or two traps, and it was decided to exclude it as well with three traps.
Figure 4. CO2 amount fraction measured by the PVT system in the same sample when using only one (yellow diamonds), then two (lilac diamonds) and three (green diamonds) cryotraps to extract CO2 from air.
Download figure:
Standard image High-resolution imageAdditionally, it was hypothesized that the trapping efficiency could depend on the flow rate of the gas stream inside the traps, and this was studied in more detail. Three cylinders of CO2 in dry air with amount fractions traceable to the CCQM−K120 comparison reference values were chosen for this study. Measurements at three or four nominal values of the extraction flow rate, in the range 60 ml min−1 and 130 ml min−1, were recorded and are plotted in figure 5 in terms of the bias of the CO2 amount fraction measured at a given flow rate from the value at the maximum flow rate of 130 ml min−1. The graph shows a non-negligible impact, with an increased positive bias towards lower flow rates, independently of the nominal CO2 amount fraction. It is assumed that the best trapping conditions are for the minimal flow rate of 60 ml min−1, which would result in a longer interaction between the gas and the cold surfaces of the trap, hence a maximal probability of solidification of CO2 molecules. Lower flow rates than 60 ml min−1 were also tested, but the extraction time was lengthened to a point whereby the results started to be inconsistent. Figure 5 shows that within the stated uncertainties the values at 60 ml min−1 and 80 ml min−1 are in agreement, and the linear dependency of trapping efficiency with flow rate no longer holds at the lower flow rate. The point at 60 ml min−1 is consistent with an asymptotic model for all amount fraction levels. However, as the measurement time was still large, it was decided to use a flow rate of 130 ml min−1 and to introduce a constant correction δxnc for the non-condensed part of the CO2 which can be considered as a loss for the system. From the measurements displayed in figure 5, the values of this correction would be 0.15 µmol mol−1. Consistency with CCQM−K120 results was achieved by applying this trapping efficiency correction without need for additional corrections or application of another model. Potential variations in the value of the correction factor as a function of amount fraction were well with within the measurement uncertainties. This correction is valid for measurements performed before April 2022, the date at which the temperature probes located on the cryotraps had to be removed and re-installed, resulting in a further increase of the correction of 0.05 µmol mol−1. The value of the correction after April 2022, 0.2 µmol mol−1, was confirmed in September 2022 with one series of measurements at four different extraction flow rates on the cylinder with a nominal value of 590 µmol mol−1.
Figure 5. Difference between the CO2 amount fraction measured with the PVT−CO2 system with a varying CO2 extraction flow rate in the cryogenic traps and the value measured at 130 ml min−1, during the analysis of three cylinders: at 380 µmol mol−1 (light blue triangles), 590 µmol mol−1 (blue squares), and 740 µmol mol−1 (green circles).
Download figure:
Standard image High-resolution imageAssuming that any value of the bias between the maximum value of 0.18 µmol mol−1 (mean and one standard deviation) and the minimum value of 0.11 µmol mol−1 is equally probable, the uncertainty associated with the bias was estimated to be
µmol mol−1.
3.8. Adsorption of CO2 on surfaces
Possible losses of CO2 by adsorption on the surfaces of the small volume were considered thoroughly. CO2 is not a highly reactive gas, but adsorption on metallic surfaces is known to exist and was demonstrated in high pressure gas cylinders containing CO2 in air, as reported by several groups [19–22]. These groups reported an enrichment in CO2 of the air sampled from aluminium cylinders when the pressure inside the cylinder decreased below 2 MPa. Biases close to 0.1 µmol mol−1 were measured. A similar study extended to different surfaces was conducted by Satar et al [23], including glass, aluminium, stainless steel and SilcoNert® treated stainless steel. Their observations confirmed the level of the bias, without significant distinction between the different materials. In all these experiments, the CO2 amount fraction in air was around ambient levels, 400 µmol mol−1, equivalent to a partial pressure around 6 kPa in a cylinder filled with 15 MPa of air. In the PVT−CO2 system, the pressure of CO2 in the small volume Va is typically between 40 kPa and 80 kPa, and its adsorption is potentially more pronounced.
During the development of the system presented here, different versions of the small volume Va were developed, as more pieces inside this volume could be treated with SilcoNert®. This treatment itself was chosen after a study performed in September 2020, wherein the same sample was analysed using three different surfaces in the cold finger which is a part of Va. The tested surfaces were raw 316 stainless steel (A), SilcoNert® treated stainless steel (B), and SilcoNert® treated electropolished stainless steel (C). The CO2 amount fraction in the sample was measured with the same method while the cold finger was replaced, and measurements with the three pieces were repeated in a different order to detect reproducibility issues which could arise from disconnecting and reconnecting the fittings. The sample chosen for this study was a Messer cylinder with an uncalibrated CO2 amount fraction of 475 µmol mol−1. As these measurements were done relative to each other to highlight changes, the accuracy of the value was not considered, and the standard deviation over repeated measurements was considered as a unique uncertainty component. Results are displayed in figure 6. They clearly demonstrate a loss in CO2 with the cold finger A (raw stainless steel), resulting in values about 2 µmol mol−1 lower (or 0.5%) than cold fingers B and C (SilcoNert® treated). The difference between cold fingers B and C was less striking, although the SilcoNert® treated electropolished version (C) resulted in values higher by 0.08 µmol mol−1 (or 0.02%) than the non-electropolished version B.
Figure 6. CO2 amount fractions measured with the PVT−CO2 system with three different treatments of the surface of the cold finger in the small volume Va: (A) raw stainless steel; (B) SilcoNert® treated stainless steel; (C) SilcoNert® treated electropolished stainless steel. Measurements started on 9 September 2020 and lasted 48 d.
Download figure:
Standard image High-resolution imageBased on the results of this study, the cold finger C was chosen and additional surfaces inside Va were treated when feasible. Eventually, after replacement of the valve closing the volume with a specific Silconert® treated version in April 2021, it was estimated that 86% of the surfaces of Va were treated. To estimate a potential residual bias, a series of five reference cylinders of CO2 in air were analysed with the system, and the measured CO2 amount fraction was compared with their reference value (results presented in section 4). As all measured values agreed with the reference values, the adsorption of CO2 was considered negligible but with a non-negligible uncertainty. Assuming that all values between zero and −0.01 µmol mol−1 are equally probable, this translates into an asymmetric distribution of the uncertainty, simplified in a standard uncertainty of 0.006 µmol mol−1.
3.9. Uncertainty budget
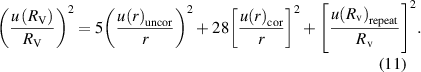
The complete uncertainty budget is presented in two parts. First, the proportional uncertainties, which are associated with the quantity xnom. Being a product of its input quantities, its relative standard uncertainty is calculated by combining all relative uncertainties, as displayed in table 3. The dominant source is the volume ratio uncertainty, which is itself the combination of several sources, of which the temperature gradients represent about 66%.
Table 3. Uncertainties combined in u1 (proportional uncertainties).
| Relative standard uncertainty uR(y) | |||||
|---|---|---|---|---|---|
| Component y | Value | Unit | Source | Distribution | Value |
| RV | 878.22 | Measurements | Normal | 2.2 × 10−4 | |
| PCO2/Pair | 0.37 | Measurements | Rectangle | 1.2 × 10−5 | |
| TCO2 | 308.00 | K | Measurements | Rectangle | 4.4 × 10−5 |
| Tair | 308.00 | K | Measurements | Normal | 4.4 × 10−5 |
| ZCO2 | 0.99822 | Literature | Rectangle | 3.2 × 10−6 | |
| Zair | 0.99983 | Literature | Triangular | 7.7 × 10−6 | |
| Combined relative uncertainty u1 | 2.3 × 10−4 | ||||
Second, the constant sources of uncertainties, coming from the four corrections, are combined in a constant term u2. The final uncertainty on CO2 amount fraction x(CO2) is estimated by combining all standard uncertainties, as displayed in table 4. The repeatability of measurements is also included, and account for about 4% of the uncertainty, which is still dominated by the volume ratio (91%).
Table 4. Uncertainties combined in u2 (absolute uncertainties).
| Standard uncertainty u(y) | ||||
|---|---|---|---|---|
| Component y | Value/µmol mol−1 | Source | Distribution | ui /(µmol mol−1) |
| xN2O | 0.325 | Prior knowledge | Normal | 0.001 |
| xH2O | 0 | Measurements | Normal | 0.009 |
| δxad | 0 | Measurements | Normal | 0.006 |
|
δxnc
| 0.15 | Measurements | Normal | 0.020 |
| Combined standard uncertainty u2/(µmol mol−1) | 0.023 | |||
a The value of the correction δxnc is 0.15 µmol mol−1 for measurements performed before April 2022, and 0.20 µmol mol−1 after that date.
Combining all sources, a standard uncertainty of 0.1 µmol mol−1 is associated with a CO2 amount fraction of 425 µmol mol−1. The combined uncertainty is almost proportional with the amount fraction, and a value of 0.17 µmol mol−1 is obtained at 800 µmol mol−1. It can be calculated from the following equation:

where u1 =2.3 × 10−4 is the relative part of the uncertainty, u2 = 0.023 µmol mol−1 is the combination of the uncertainties on the additive corrections without the repeatability, and σ is the standard deviation of the mean over the repeated measurements, which takes a typical value of 0.02 µmol mol−1 for five successive repeats.
The relative uncertainty of the system can be compared with typical values claimed by National Metrology Institutes, such as during the Key Comparison CCQM−K120 [13]. This is illustrated in figure 7, created with values submitted for the comparison on their three standards by all participants (nominal amount fractions of 380 µmol mol−1, 480 µmol mol−1, and 800 µmol mol−1). All participants except NOAA prepared their standards by gravimetry and submitted uncertainties reflecting preparation and validation work. Additionally, the comparison participants agreed that adsorption effects on the cylinder's wall were probably underestimated, and that a minimum standard uncertainty of 0.095 µmol mol−1 was expected, based on the uncertainty submitted by NPL who had considered the adsorption effect. The calculation of the key comparison reference values (KCRVs) reflected this statement with the introduction of a cut-off value, also indicated in figure 7. This decision resulted in the replacement of uncertainties submitted by NMIJ and VNIIM with the cut-off value (only for the calculation of the KCRV). Assuming a typical standard deviation of 0.05 µmol mol−1 on measurements performed with the PVT−CO2 system, the value of the relative uncertainty appears to lie within the smallest values of the comparison, and very close to the cut-off value decided by participants.
Figure 7. Relative standard uncertainty on the CO2 amount fraction submitted by participants in the key comparison CCQM−K120 (coloured dots), compared with the relative standard uncertainty calculated for the PVT−CO2 system (dotted black line). The colour of the dots is indexed on the participant. The cut-off value decided for CCQM−K120 is indicated with a thin black line.
Download figure:
Standard image High-resolution image4. Validation with reference CO2 standards and comparison with established systems
Five reference CO2 in air standards were chosen to validate the performances of the system in the range 380 µmol mol−1–800 µmol mol−1: two cylinders which were measured together with the standards sent by the participants in the key comparison CCQM−K120 (ref NPL2215 and CB10426), and three cylinders for which the values were interpolated using the degrees of equivalence of the producing laboratory in the same comparison and assuming a linear behaviour on the entire CO2 amount fraction range (ref NPL2230, NOAA CC121961 and NOAA CA05674). The reference values and uncertainties are listed in table 5. The value of the two standards measured during CCQM−K120 is very well known, as it results from the calibration of the analytical instrument used for that comparison (an FTIR in this case). Therefore, the standard uncertainty of that value is small, comparable with the mean of the uncertainties obtained on the KCRV. The CO2 amount fraction in the standard NPL2230 was not measured during the comparison but interpolated from the three results of the NPL, which were all very close to their corresponding KCRVs and associated with uncertainties that were smaller than 0.1 µmol mol−1. As a result, the uncertainty on the CO2 amount fraction in NPL2230 is close to that value. With the same reasoning, the uncertainty for the two standards belonging to NOAA are slightly larger, impacted by an uncertainty of 0.24 µmol mol−1 submitted by NOAA for their standard at 800 µmol mol−1 in the comparison.
Table 5. Standards of CO2 in air for the validation, with indication of their reference ID, the source of the value, the CO2 amount fraction xR, its standard uncertainty u(xR), the number of measurements nm, and the experimental standard deviation s.
| Reference | Source | xR/(µmol mol−1) | u(xR)/(µmol mol−1) | nm | s/(µmol mol−1) |
|---|---|---|---|---|---|
| NPL 2215 | CCQM−K120 | 380.20 | 0.05 | 4 | 0.07 |
| NPL 2230 | Interpolation | 420.09 | 0.11 | 4 | 0.06 |
| NOAA CC121961 | Interpolation | 592.50 | 0.20 | 8 | 0.08 |
| CB10426 | CCQM−K120 | 651.93 | 0.06 | 8 | 0.04 |
| NOAA CA05674 | Interpolation | 738.39 | 0.23 | 3 | 0.06 |
The five standards described above were measured with the PVT−CO2 system in series of three to eight measurements, as indicated in table 5. The experimental standard deviations observed during these measurements were between 0.04 µmol mol−1 and 0.08 µmol mol−1. Since then, the standard deviation observed during measurements performed as part of the Pilot Study CCQM−P225 was often below 0.04 µmol mol−1. This will be published in the report of this comparison, expected for 2023.
The difference Dx between CO2 amount fractions measured by the PVT−CO2 and deduced from the CCQM−K120 comparison on the five reference materials is plotted on figure 8, with the uncertainty of that difference at a 95% level of confidence. The agreement was very good for all standards, with a maximum difference of 0.16 µmol mol−1 on the standard NOAA CA05674 at 740 µmol mol−1, and 0.03 µmol mol−1 for other standards. This observation should not be taken as a sign of a larger difference at a higher amount fraction, because there is also a larger uncertainty on this standard, which was outside the official range of the NOAA scale when they took part in CCQM−K120. Since then, as detailed in section 1, the scale has been revised, and the NOAA values close to 800 µmol mol−1 were slightly increased.
Figure 8. Difference Dx between CO2 amount fractions measured by the PVT-CO2 and deduced from the CCQM−K120 comparison on five reference materials. Error bars are the combined expanded uncertainties of both results at 95% confidence level.
Download figure:
Standard image High-resolution imageThese results demonstrate that the PVT−CO2 system compares very well with synthetic standards prepared by gravimetry as well as measured by the other system based on manometry maintained at NOAA. Compared to the NOAA system, the performances are similar although the corrections differ. Within the NOAA system the loss of pure CO2 from the small volume leads to an additive correction of around 0.18 µmol mol−1 [5]. This correction was measured to be zero in the BIPM system. However, the BIPM system includes an additive correction of 0.20 µmol mol−1, due to departure from a trapping efficiency of 100%, which is not an effect reported by NOAA in their system. Condensable compounds other than CO2 are taken into account in both systems, with N2O being measured independently and H2O believed to be negligible in both cases, with a slightly larger uncertainty in the NOAA case. One important advantage of the BIPM system resides in its automation, which allows four to five successive measurements per day and a reduced variance compared to the manual system of NOAA. As highlighted in [5], the average standard deviation of the mean on all measurements since 1996 (550 points) was estimated at 0.04 µmol mol−1, whereas the BIPM system reaches values below 0.02 µmol mol−1 in just one day.
Since the measurements reported above, the system has been used intensively, including measurements performed on standard gas mixtures from partners laboratories, and quality control measurements. The former will be published in additional publications, and the latter are presented in supplementary material accompanying this paper. The volume ratio has been measured almost every end of week and demonstrated a very good stability, with a relative standard deviation estimated on 357 measurements equal to 3.55 × 10−5, very close to the repeatability estimated during one measurement run. The CO2 in air amount fraction in a single standard cylinder has been measured on 150 runs, and its measured value remained stable with a relative standard deviation of 2 × 10−4. Meanwhile, the pressure gauge was calibrated four times, and recalibration produced no detectable effect in the measurements of the volume ratio and the CO2 amount fraction in the stable standard cylinder.
5. Conclusion
In 2015, the BIPM began constructing a facility to measure CO2 amount fractions in air samples based on measurements of pressure and temperature of air and of the CO2 extracted from that air by cryogenic trapping. Since its first version, the facility has undergone several iterations of improvement, which led to fully automated operation, ensuring minimization of the repeatability component of the measurement uncertainty to typical values of 0.02 µmol mol−1 regardless of the CO2 amount fraction in the sample. The automated version also allowed better characterization and minimization corrections arising from effects which can bias the estimation of CO2 amounts, namely the trapping efficiency (leading to less CO2 extracted), the capacity to retain traces of water in the sample, and finally the adsorption of CO2 on the inner surfaces of the system. Further improvements in system performance have been achieved using selected materials, notably SilcoNert®-treated stainless-steel, providing increased mechanical stability whilst minimizing carbon dioxide adsorption on surfaces and avoiding use of elastomer O-rings which can cause significant effects.
The facility has been validated across the CO2 in air amount fraction range of (380–800) μmol mol−1, using standards with values traceable to the reference value of the CCQM−K120 (2018) comparison, with the facility operating with a standard measurement uncertainty between 0.085 μmol mol−1 and 0.17 μmol mol−1 over this range. A comprehensive uncertainty budget was developed, including components estimated from specifically designed tests and estimation of correlations. Any future attempt to reduce the uncertainty should focus on the estimation of the volume ratio, which is by far the dominating component.
The PVT−CO2 facility is ready to be used as stable reference in future comparisons to be organized by the BIPM. A first phase of extended validation started in 2022 with the Pilot Study CCQM−P225, consisting of selected participants in CCQM−K120 sending a minimum of three cylinders, with a matrix of either air or nitrogen. The results are expected to be published in 2023, completing the full validation of the system, and enabling the launch of the ongoing comparison BIPM.QM−K2. Within this programme, participating laboratories can demonstrate the consistency of amount fraction values in either their CO2 in air standards (BIPM.QM−K2.a) or in their CO2 in nitrogen standards (BIPM.QM−K2.b). While the first part (a) is expected to underpin standards aimed at calibrating CO2 in air monitoring networks, the second part (b) will allow NMIs to demonstrate their capability in preparing gravimetric standards for a family of gases classified by the CCQM/GAWG as a 'core capability' [24].
Finally, the facility will be used in 2023 for assigning values to two ensembles of CO2 in air standards maintained at the BIPM headquarters, starting a programme aiming at comparing different scales, such as WMO−CO2−X2019, through the future BIPM.QM−K5 comparison.
Acknowledgments
The authors would like to acknowledge the contributions of Faraz Idrees (BIPM) and Richard Davis (BIPM until 2021) who contributed to the development of the system at various stages, as well as valuable discussions with Bradley D Hall (NOAA). All data showed in this paper were acquired experimentally and saved in ASCII format files. All files will be kept at the BIPM headquarters and can be provided upon request.
Appendix: Uncertainty of the pressure ratio measurement
When pressure ratios are determined by pressure measurements made by the same instrument, their relative uncertainties will be considerably less than those of the individual pressure measurements. This is the case because the measurements of the two values are highly correlated and so their uncertainties will largely cancel out in the ratio determination. This appendix is intended to explain this. Much of this explanation is based on the Guide to the Expression of Uncertainty in Measurement (GUM) [15] and the work of Hibbert (2003) [25]. Using the GUM, Hibbert derived the relative uncertainty of a measured ratio a/b of values of the same kind of quantity, when the uncertainties of a and b have the same value u. He showed that in this case the relative uncertainty of the ratio may be given by

In the case where the two values have the same uncertainty but are completely uncorrelated, the relation is

In the case of pressure ratios, however, another case must be considered: that where the two values are fully correlated, implying that u(a,b) = uaub , and their relative uncertainties have the same value given by

Using the equation of propagation of uncertainties,

We derive the relative uncertainty for the ratio for this case. Computing the derivatives gives

Dividing by R2 = a2/b2 gives

Using equation (A3),

Equation (A7) shows that the pressure-ratio uncertainty for two values that are completely correlated and have constant relative uncertainties is zero because these components cancel out.
The uncertainties of the individual pressure measurements are composed of both relative and absolute components. The relative uncertainty components of the pressure measurement are the calibration of the laboratory standard and the gauge (10−5) and proportional drift (10−4). Both are fully correlated and thus, according to equation (A7), they do not contribute to the relative uncertainty on the pressure ratio.
The absolute measurement uncertainty components are the calibration of the laboratory standard pressure (0.2 Pa), repeatability (0.07 Pa), hysteresis (0.5 Pa), zero-offset stability (0.5 Pa), and resolution (0.3 Pa). Except for the repeatability, all uncertainty components can be treated as contributing to the correlation between the two pressure values. Because the correlated components are absolute (not relative) uncertainties, equation (A4) is used. For the volume ratio measurements, each pressure ratio is approximately 0.2, and so the relative standard uncertainty of the correlated components is 3.1 × 10−5. For the P(CO2)/P(air) measurements, the ratio is approximately 0.37 and so this uncertainty value is 1.2 × 10−5. For the total standard relative uncertainty of the pressure ratio, these values are combined with the repeatability contribution, 1.8 × 10−6; however, this latter value is too small to significantly increase these values. We note that if we were to consider the two pressure measurements in the pressure ratio as uncorrelated, the total relative uncertainty would be 1.4 × 10−4. The correlation of the measurement values reduces the pressure ratio relative uncertainties by factors of 4.5 and 12, respectively.
Measurements of the long-term consistency of volume ratio RV justify our assertion that possible long-term drift in the pressure measurements is cancelled out in the pressure ratio measurements. Figure A1 shows measurements over a period of approximately 300 d. The relative standard deviation of the set of measurements is 3.42 × 10−5. Any noticeable drift over this period of time is within this standard deviation.
Figure A1. Volume ratio RV measurements over a period of 300 d starting August 2022. Each point represents one measurement. The bold dashed line is the mean value and the light dashed lines are at one standard deviation from the mean. Measurements of the volume ratio were performed almost every week over that period to detect drifts in this quantity that would indicate instabilities of the experimental system (e.g. vessel dimensions, temperature uniformity) or drifts in the pressure ratio measurements.
Download figure:
Standard image High-resolution imageFootnotes
- 4
Certain equipment, instruments, software, or materials, commercial or non-commercial, are identified in this paper in order to specify the experimental procedure adequately. Such identification is not intended to imply recommendation or endorsement of any product or service by NIST, the BIPM, nor RISE, nor is it intended to imply that the materials or equipment identified are necessarily the best available for the purpose.
Supplementary data (0.7 MB PDF)










