Abstract
The evaluation of seven internal standard reference materials (ISRMs) to act as a 'universal' SI-traceable calibrator suite for organic compound purity determination by quantitative nuclear magnetic resonance (qNMR) spectroscopy is described. The set of compounds demonstrated to constitute such a suite are: potassium hydrogen phthalate (KHP), maleic acid (MA), 3,5-bis-trifluoromethyl benzoic acid (BTFMBA), dimethyl sulfone (DMSO2), dimethyl terephthalate (DMTP), 1,4-bis-trimethlsilyl benzene (BTMSB or BTMSB-d4) and perdeuterated sodium 3-trimethylsilyl-1-propanesulfonate (DSS-d6). The compounds were selected such that at least one ISRM should be suitable for use as the internal standard for the qNMR purity assignment of an organic compound soluble in a given deuterated solvent. They allow for the selection for use as the internal reference for quantitative integration from a set of simple, sharp NMR signals dispersed over the proton chemical shift range.
Optimized conditions for acquiring qNMR spectra were developed and are described, as well as the results of an extensive series of studies validating the use of the ISRM suite to assign mass fraction values in four representative solvents (D2O, DMSO-d6, CD3OD and CDCl3). Proper use and application of these ISRMs result in standard uncertainties in the assigned values of the analyte of interest of the order of 1 mg g−1 in optimal cases. These materials are of particular interest for the mass fraction purity determinations by qNMR of organic compound reference materials required as analyte specific calibrators to underpin the SI-traceability of the results for routine laboratory analysis based on techniques such as gas and liquid chromatography.
Export citation and abstract BibTeX RIS

Original content from this work may be used under the terms of the Creative Commons Attribution 3.0 licence. Any further distribution of this work must maintain attribution to the author(s) and the title of the work, journal citation and DOI.
1. Introduction
Nuclear magnetic resonance (NMR) spectroscopy has been established for several decades as the pre-eminent method for the qualitative structural analysis of organic molecules. Although the potential for its application for quantitative organic analysis was also recognized soon after NMR instruments became commonly available [1] it has only been in the last decade, as spectrometer capabilities have achieved a level of accuracy and precision comparable to those attainable by chromatographic techniques, that this potential has begun to be widely realized in practice. Quantitative NMR (qNMR) methods, in particular for the assignment of the purity of individual organic compounds, are now actively and extensively employed [2–5]. As further evidence of its increasing application in this role, an editorial in a major scientific journal recently commended the general utility of 'absolute quantitative 1H NMR spectroscopy to determine the purity of biologically tested research compounds [6]'.
Purity assignment by qNMR spectroscopy can be described by a mathematical equation from which a full uncertainty budget may be derived [7] and potentially meets the metrological requirements for a primary ratio measurement procedure [8]. Validated qNMR methods [9] are now used, often in combination with data obtained by an independent 'mass balance' technique, to assign the purity of organic materials intended for use as Primary Reference Materials [10] for individual organic analytes [11–14]. The availability of suitable Primary Reference Materials for individual organic analytes is in turn an essential initial step in establishing the metrological traceability to the International System of units (SI) for measurement results for an organic analyte linked in a calibration hierarchy to a specific pure material [15].
When the NMR experiment is undertaken using optimized instrumental parameters and a suitable procedure the magnitude of the integral of each signal is independent of the chemical structure of the source material and signals arising from the same number of 1H nuclei should produce the same signal integral area. When the NMR experiment is undertaken using a homogenous solution in deuterated solvent containing gravimetrically defined amounts of an analyte (X) and an internal standard (S), determining the relative integral ratio of unique NMR signals due to (X) and (S) allows for assignment of the mass fraction purity of X according to equation (1).

wX is the mass fraction to be determined of the analyte in the material subject to assignment, wS is the known mass fraction content of the primary component of the internal standard, IX and IS are the integrals of the quantified signals,
and
are the number of 1H nuclei contributing to each quantified signal,
and
are the molar masses of the analyte and internal standard and mX and mS are the masses of the aliquots of analyte and internal standard used in preparation of the solution subject to the qNMR measurement. This approach averts a number of challenges to making a qNMR assignment by sequential absolute signal integration.
By appropriate consideration of the structure of standard and analyte it is possible for one compound to serve as the standard for the purity determinations by 1H-qNMR of a structurally-diverse range of organic analytes [11]. A number of compounds including dimethyl sulfone [16], benzoic acid [11, 17] and 1,4-dichlorobenzene [11], have been suggested as an 'apical' qNMR reference standard [18] that could serve as the ultimate source of traceability to the SI. However limitations of solubility combined with the requirement to provide a unique internal standard signal for each assignment mean that no one compound can ever serve as a universal internal standard for all or even a majority of potential qNMR measurements. There will always be a need for a suite of higher-order standards each having an SI-traceable purity assignment providing suitable reference signals spaced across the 1H NMR chemical shift range, regardless of whether their certified value assignment is independently traceable to the SI or is derived from transfer using an initial 1H-qNMR measurement utilizing an 'apical' primary standard as internal standard.
Through application of a set of objective criteria evaluating the suitability of individual materials for use as a higher-order qNMR internal standard [17] we identified and subsequently validated the use of a set of seven compounds that as an ensemble can constitute a 'universal' set of higher-order, SI-traceable internal standard reference materials (ISRMs) for use to underpin the SI-traceability of the results of 1H-qNMR measurements. At least one ISRM from the proposed set should be suitable for the purity assignment by qNMR of almost any organic compound soluble in any deuterated solvent. The ISRM suite consists of:
- 1.Potassium hydrogen phthalate (KHP)
- 2.Maleic acid (MA)
- 3.3,5-Bis(trifluoromethyl) benzoic acid (BTFMBA)
- 4.Dimethyl sulfone (DMSO2)
- 5.Dimethyl terephthalate (DMTP)
- 6.1,4-Bis(trimethlsilyl)benzene (BTMSB)
- 7.d6-Sodium 3-trimethylsilyl-1-propane sulfonate (DSS-d6).
The structures of each ISRM and the 1H chemical shifts and relative intensities of the NMR signals from each as recommended for use in four common deuterated solvents (deuterium oxide [D2O], hexadeuterodimethyl sulfoxide [DMSO-d6], tetradeuteromethanol [CD3OD] and deuterochloroform [CDCl3]) are shown in figure 1.
Figure 1. Chemical shift and relative intensities of ISRM NMR signals by solvent.
Download figure:
Standard image High-resolution imageThe properties of each material relevant to their use as ISRMs are summarized in figure 2.
Figure 2. Summary of individual ISRM properties. * Not recommended for use in this solvent.
Download figure:
Standard image High-resolution imageThe development and validation of optimized experimental parameters for performing 1H-qNMR measurements using these materials are described. Application of these parameters using combinations of these compounds produced purity assignments having relative standard uncertainties in the assigned values in the order of 0.1%.
The advantages of the proposed scheme and its compatibility with existing traceability frameworks supporting 1H-qNMR [17, 18] are discussed.
2. Methods
2.1. Materials
Certified reference materials (CRMs) used in this study obtained from NMIs) were:
- NIST SRM 84L, potassium hydrogen phthalate (KHP), certified content 99.9934 ± 0.0076%6 (mass fraction kg/kg %, k = 2.04);
- NMIJ CRM 3001.b, potassium hydrogen phthalate (KHP), certified content 99.991% ± 0.014%1 (mass fraction kg/kg %, k = 2);
- NMIJ CRM 4601.a, 3,5-bis(trifluoromethyl) benzoic acid (BTFMBA), certified content 99.96% ± 0.06% (mass fraction kg/kg %, k = 2)
- NIST SRM 350b, benzoic acid (BA), certified content 99.9978% ± 0.0044% (mass fraction kg/kg %, k = 1.96)
Additional materials used for the validation studies of the ISRM suite were sourced from either Wako Chemicals or Sigma-Aldrich as follows:
- Maleic acid (Wako product 135-17951, and Fluka product 92816);
- Dimethyl terephthalate (Fluka product 7038);
- Dimethyl sulfone (Wako product 048-33271 and Fluka product 41867);
- 1,4-Bis(trimethylsilyl)benzene (Aldrich product 438936);
- 1,4-Bis(trimethylsilyl)benzene-d4 (Wako product 024-17031);
- DSS-d6 (Wako product 044-31671).
All materials used for qNMR studies were stored at room temperature in a desiccator maintained at 22 °C ± 2 °C, shielded from UV light at relative humidity below 30%.
Deuterated NMR solvents (D2O, DMSO-d6, CD3OD and CDCl3) were purchased from Sigma-Aldrich and were used without further treatment.
NMR sample tubes were HG-type high grade class, 8 inch, 5 mm o.d., purchased from Wako or Sigma-Aldrich and were rated at least for use with 500 MHz NMR spectrometers. The samples tubes were closed with PE caps.
2.2. qNMR sample preparation
2.2.1. Sample weightings were performed using a Mettler.
Toledo UXP2 balance having a readability of 0.1 µg or a MX5 Microbalance having a readability of 1 µg. For a given experiment the masses of the internal standard (S) and analyte (X) used were typically in the range 2 mg–10 mg. Recommended practice for sample preparation for a 1H-qNMR measurement as described in a recent publication [19] was followed. Each sample was accurately weighted into aluminium sample pans. The sample sizes were selected such that the relative integral ratio of the two quantification peaks were in the range from 1:5 to 5:1 and were preferably close to 1:1. At least four independent samples were prepared for each model system investigated for development and validation studies of qNMR purity determinations.
For each sample preparation the individual pans containing the weighed samples of standard and analyte were either placed in the same 7 ml clear plastic vial, or the bulk of the pan contents were carefully tipped into the same 3 ml clear glass vial and the emptied pan was reweighed to determine, by difference, the amount of solid sample transferred into the vial. In either case 1.0–1.2 ml of the NMR solvent was added and the container was shaken or vortexed until a clear solution was obtained. 0.7 ml of this solution was transferred by Pasteur pipette into an NMR tube for analysis.
2.3. qNMR measurements
All NMR measurements described herein were carried out at the BIPM on a JEOL ECS-400 MHz (9.4 T) spectrometer operating at 399.9 MHz equipped with a pulsed-field gradient (PFG) unit and a Royal inverse tuning probe. Measurements were under thermostatic control at 298 K under non-spinning conditions. The spectrometer was manually shimmed against the deuterium lock signal of CDCl3 such that the half width of the residual choroform signal was <0.6 Hz at 50% peak height and <6 Hz at 0.55% peak height prior to each analysis sequence. Each mixture was measured at least four times in the NMR system.
To correct for potential instrument drift, independent measurements for a particular sample mixture were non-continuous. The sample tube was ejected from the spectrometer probe and the measurement process (autotuning, locking, shimming) was repeated for each replicate for each sample. Based on a standard inversion recovery experiment, the T1 relaxation delay of each quantified signal was established for each mixture. Where the target relative uncertainty of the result was in the order of 0.1% a relaxation delay between excitation pulses corresponding to at least ten and where feasible fifteen T1 of the quantified signal with the longest relaxation time was used. The number of transients acquired for each sample was determined according to the concentration of the sample and the nature of the signals. A signal to noise (S/N) ratio of at least one thousand was necessary for each signal subject to quantification when the target relative uncertainty was in the order of 0.1%.
A window function was applied to the raw FID as a final data treatment parameter to enhance the S/N ratio. To avoid unwanted line broadening effects, an exponential multiplication factor of 0.05 Hz was typically used. It was found in practice that to achieve smallest uncertainty and highest precision both manual baseline correction and signal integration were required.
2.4. NMR data treatment
Data treatment was performed using MestreNova software (version 10) purchased from Mestrelab Research. Baseline corrections were performed using multipoint baseline correction with the segments algorithm and three points for noise calculation. Optimally the integration range extended from the centre of the signal at least seventysix times the full width at half maximum (FWHM) to either side of the signal being measured. For multiplet signals the limits of the integration range were based on the outermost peak. Acceptable results were also obtained using as the start and end points a range extending 30 Hz beyond the furthest 13C satellites. This empirical finding was used for materials involving BTFMBA where long-range 19F couplings made meaningful FWHM assignments problematic for individual NMR signals The baseline range selected for correction always exceeded the integration range.
3. Material selection
As discussed in the Introduction, the aim of this study was to identify and demonstrate the utility of a group of compounds suitable for characterization as a comprehensive ISRM suite to support the SI-traceability of the results of 1H-qNMR measurements.
A material suitable for use as an ISRM should possess as many of the following properties as possible: [20]
- stable solid crystalline compound;
- either a high purity CRM assigned by an NMI or able to be value assigned by qNMR using a CRM of the former type as internal standard;
- predominantly one organic component (wS > 995 mg g−1);
- value assigned with small standard uncertainty (u(wS) < 0.3 mg g−1);
- give rise to simple signals of narrow lineshape;
- free of significant impurities;
- stable in solution in the chosen NMR solvent;
- soluble at a level in excess of 2 mg · ml−1;
- contribution to mass fraction content from protons of the ISRM signal of less than 50 mg g−1 7
- readily handled for accurate mass determinations:
- non-hygroscopic;
- non-volatile;
- not subject to electrostatic effects;
Figure 2 summarizes properties of the seven ISRMs relative to these requirements. It is recognized that these characteristics constitute a 'wishlist' rather than being prescriptive and that not all the materials in the ISRM suite fully comply with all the specifications. Nevertheless they serve as useful selection guidelines and the materials identified in figure 2 can meet most of these requirements while several potentially meet all of them. The solubility of the ISRMs were evaluated at the BIPM and are expected to be indicative for other solvents having similar solubilizing capabilities. The four solvents referred to in figure 2 are those most commonly utilized for solution 1H-qNMR measurements.
At least three materials from the ISRM toolbox are suitable for each solvent and they provide in each case a set of quantification signals distributed across the 1H NMR signal chemical shift range (figure 1).
4. Calibration hierarchy
For the purposes of this study, an SI-traceability hierarchy was established as outlined in figure 3. CRMs produced and certified by NMIs for KHP and BTFMBA provided the direct link to the SI base units. Their SI-traceable purity values were assigned using titrimetric methods. The KHP CRMs were sourced from either NIST or NMIJ. The BTFMBA CRM was provided by NMIJ.
Figure 3. SI-Traceability chain for validated results.
Download figure:
Standard image High-resolution imageAs discussed later, alternative traceability chains could be developed depending on the availability of suitable primary reference materials. SI-traceable purity assignments for MA, DSS-d6 and DMSO2 were made by qNMR. with a KHP CRM as the internal standard in solutions in D2O and for DMTP, DMSO2 and BTMSB-d4 using the BTFMBA CRM as the internal standard in solutions in CD3OD. For the materials assigned using KHP, separate assignments were carried out using either KHP CRM and the assigned value was obtained by combination of the individual values. DMSO2 was unique in being capable of being value assigned by 1H-qNMR against either a KHP CRM or the BTFMBA CRM. The reference value assigned for this material was obtained by the combination of the three independent values obtained.
The SI-traceable values for the mass fraction content of the main component in each material and their suitability for use in different solvents for each of the seven materials investigated in this study are listed in table 1. The values reported were obtained by applying the measurement uncertainty budget for the qNMR measurement equation to the observed data. The associated uncertainty has been adjusted to an asymmetric range in the cases where it would otherwise exceed the upper limit of 1000 mg g−1. These values established the reference points used for the evaluation of the influence of changes in various 1H-qNMR experimental parameters on the resulting purity assignments for various compounds.
Table 1. Reference values for ISRM suite materials.
| Content (mg ⋅ g–1) | Solvents: | |
|---|---|---|
| KHP |
999.93 ± 0.08 | D2O |
| KHP |
999.91 ± 0.14 | D2O |
| BTFMBA |
999.6 + 0.4/− 0.6 | CDCl3, CD3OD, DMSO-d6 |
| MA | 999.5 ± 0.3 | D2O, DMSO-d6 |
| DMSO2 | 996.4 ± 0.3 | D2O, DMSO-d6, CD3OD, CDCl3 |
| DMTP | 999.3 ± 0.7 | CDCl3, CD3OD |
| BTMSB | 999.5 + 0.5/− 0.8 | DMSO-d6, CDCl3, CD3OD |
| BTMSB-d4 | 999.1 ± 0.8 | DMSO-d6, CDCl3, CD3OD |
| DSS-d6 | 922.7 ± 0.9 | D2O, CD3OD |
aNIST SRM 84.l. bNMIJ CRM 3001.b. cNIST CRM 4601.a. dIf used in solution in CD3OD only the aromatic signal from DMTP is suitable for qNMR assignments—see subsequent discussion.
5. Method optimization
The factors that influence 1H-qNMR measurements by the internal standard approach have been examined and some general principles have been identified [21, 22]. These studies focused on the validation of 1H-qNMR methods producing results with an associated relative standard uncertainty at the level of 0.5%. We summarize herein our further investigations of the input factors to the measurement equation, particularly those influencing the integral ratio, where the goal was to develop an optimal parameter set for higher order 1H-qNMR measurements producing a relative standard uncertainty in the assigned value at the level of 0.1% [17].
These factors were investigated in the first instance by performing 1H-qNMR measurements of primary model systems consisting of gravimetric mixtures of KHP and MA in D2O, DMTP and either DMSO2 or BTMSB in CDCl3 and of BTFMBA and BTMSB in CD3OD. The purity assignments by 1H-qNMR of one component as the analyte with the other component as the internal standard were measured as the input parameters to the qNMR experiment were varied systematically as summarized in table 2.
Table 2. Investigated and recommended experimental parameters for accurate 1H-qNMR.
| Parameter | Range investigated | Recommendation |
|---|---|---|
| Pulse width | 30°–90° | 90° pulse |
| Pulse offset | Shift from midpoint | ±2 ppm from midpoint |
| Repetition time | 5–20 × largest T1 | >15 T1 |
| S/N | 100–4000 | S/N > 1000 |
| Receiver gain | Any value | Autogain setting |
| Filter mode | Analogue or digital | Digital |
| Spectral range | 10–400 ppm | >20 ppm |
| Acquisition time | 2–5 s | >2.5 s |
| Resolution | 0.2–0.4 Hz/pt | <0.4 Hz/pt |
| Line broadening | 0–0.2 | 0.05 |
| Baseline range | 50–150 * FWHM | >80 * FWHM |
| Integral range | 5–90 * FWHM | >60 * FWHM or 13C satellite ± 30 Hz |
Plots of the degree of equivalence (DoE) of the observed value with the reference value for the analyte from table 1 allowed for assessment of the sensitivity of the result to systematic changes in specific measurement parameters. Evaluation of the results identified the optimized set of parameters summarized in table 2 for carrying out a high accuracy 1H-qNMR purity assignment when using a compound from the ISRM suite as internal standard. In many of the following summary plots the MU of individual data points is not plotted, to avoid cluttering the plot and making trend interpretation more difficult. In each case where the DoE of a result was within 1 mg g−1 the results agreed with the reference value within the appropriately combined uncertainties of each.
5.1. Relaxation delay
The choice of an appropriate repetition time between acquisition pulses is a critical parameter for accurate qNMR [22]. For the quantified signal integrals to accurately reflect the number of 1H nuclei giving rise to each signal, a pulse interval (TR) must be chosen that allows sufficient time for the quantitative reestablishment of the initial distribution of energy states of both signals prior to the next acquisition cycle. The value of TR depends on and is typically set to a multiple of the longer of the spin-lattice relaxation times (T1) of the signals subject to quantification. It has been reported that use of the common value of TR/T1 > 5 may introduce bias due to non-uniform recovery in some cases [23]. We investigated the influence of pulse interval on the efficiency of signal recovery. For each model system, the T1 constants for both quantified signals were determined using a standard inversion-recovery sequence [9]. The qNMR experiment was then undertaken using a 90° excitation pulse and TR corresponding to 5, 10, 15 and in some cases 20 times the longest T1 in each system. Figure 4 plots the DoE with the reference value of the purity of the component of the model system having the shorter T1 as a function of the ratio TR/T1.
Figure 4. Effect of relaxation delay.
Download figure:
Standard image High-resolution imageAs anticipated, under these conditions the purity of the component having the shorter T1 was overestimated if the chosen TR did not allow for full recovery of the equilibrium state energy partitioning in both components. It became equivalent within the associated uncertainty of each measurement when TR was in excess of ten times T1.
DoE plot for assignment of component (underlined) of shorter T1 as function of relaxation delay for qNMR model systems.
5.2. Pulse offset
The influence of the position of the excitation pulse relative to the resonance frequency of each quantified signal was evaluated by progressive displacement of the pulse from the theoretical optimum position of midway between each signal. Figure 5 plots the DoE for the analyte component of three of the model systems as the offset was progressively displaced from the midpoint. The effect was found to be negligible and within the overall measurement uncertainty of individual determinations when the pulse offset was located within a range ±2 ppm from the midpoint of the two signals.
Figure 5. Effect of pulse offset.
Download figure:
Standard image High-resolution imageDoE plot for value assignment as function of excitation pulse offset from the midpoint of the quantified peak resonances.
5.3. Signal/noise
Saito et al [22] have described how the instrumental factors related to the measurement of the intensity of an NMR signal contribute to the measurement uncertainty of the integral area of that peak. The S/N for a given signal results from the interplay of a number of factors including the excitation pulse width, signal intensity (itself related to the sample concentration, number of contributing H-nuclei, number of transients accumulated, etc), receiver gain, analogue to digital signal conversion and digital resolution of the instrument. Their conclusion was that there is an inherent limit to the relative precision achievable for a given instrument as S/N increases. They concluded that for their instrument this limit was 0.1%, achieved at S/N of approximately 1000 and that increase in signal intensity above this level resulted in no appreciable gain in the accuracy of the result.
A series of experiments were undertaken using three of the model systems. The results are shown in figure 6 where the DoE obtained in our hands confirmed this finding. Ideally the smallest S/N of the two quantified peaks should exceed one thousand but further increase in the ratio afforded no significant decrease to the associated measurement uncertainty.
Figure 6. Effect of S/N.
Download figure:
Standard image High-resolution imageDoE plot for value assignment in model systems as function of signal S/N.
5.4. Baseline and integration range
An in-depth study was undertaken using KHP and MA in D2O as model system of the influence of baseline and integration range on the accuracy of quantification of the MA peak. Standard acquisition parameters (90° excitation pulse, TR = 15 * T1, 256 scans) were used to obtain the spectrum and the two signals were integrated using combinations of baseline and integration ranges calculated as multiples of the FWHM of the MA peak. Figure 7 shows the DoE for the quantification of the MA content as a function of the baseline range for the MA peak (plotted as multiples of the FWHM of the MA peak) using four diffferent integration ranges (also multiples of the MA peak FWHM).
Figure 7. Influence of baseline and integration range (as multiples of MA peak FWHM) on quantification of MA against KHP in D2O.
Download figure:
Standard image High-resolution imageThe assigned and reference values are equivalent within their stated uncertainty in all cases and the DoE is consistent with the reference value when the measurement uncertainties are taken into account in all cases when the baseline value was set in the range 70–90 * FWHM. In general our standard practice has been to use a baseline range equivalent to 80 times the larger FWHM and an integration range of 60 times the larger FWHM of the peaks integrated. It was demonstrated in a separate experiment that use of a baseline range extending 60 Hz beyond the outlying 13C satellite peaks with an integration range 30 Hz beyond achieved an equivalent level of accuracy.
5.5. Other factors
The following factors were also systemically examined using these model systems:
- pulse width
- spectral window
- filter mode
- acquisition time
- window function
Our findings confirmed results and recommendations of previous studies [21, 22] which indicated that, once an optimized value has been established, 1H-qNMR results are not very sensitive to small changes from validated settings for these parameters. The recommended values established in our studies for each parameter are summarized in table 2. It is noted that these parameters are validated only for the simple resonance systems and relatively high concentration analyte solutions described and should not be regarded as universally applicable.
6. Method validation
The optimized set of parameters developed through these studies were applied to a range of purity assignments using various combinations of the seven ISRMs as solutions in the four solvents. The aim was to validate the general performance and versatility of the method and to demonstrate the equivalence of results obtained regardless of internal standard or solvent. The combined results obtained for all material/solvent combinations are summarized in table 3.
Table 3. Combined qNMR purity assignments of individual compounds as function of ISRM and solvent.
![]() |
In each case all purity assignments were equivalent within their associated uncertainties regardless of the internal standard and solvent combinations used. This combined data was obtained from studies undertaken over three years by six different individuals, indicating that no significant 'operator effect' for purity assignments within this group was observed when an optimized procedure was implemented.
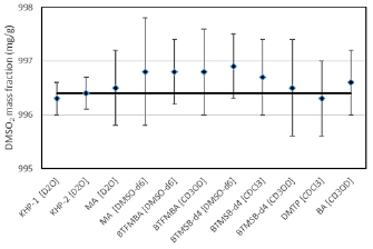
The equivalence of the results obtained is illustrated for the case of DMSO2, the sole ISRM soluble in each of the major deuterated solvents. The reference value for its purity was assigned by combination of the results obtained in three independent direct measurements against the primary reference materials that anchor our traceability scheme—two independent determinations using the two CRMs for KHP as IS in solution in D2O and two determinations using the BTFMBA CRM in solution in either DMSO-d6 or CD3OD. Because benzoic acid has been widely used as a qNMR primary standard [11, 17] we also investigated the applicability of our optimized parameter set for the 1H-qNMR purity assignment of DMSO2 using the NIST CRM 350b for benzoic acid as the internal standard in solution in CD3OD.
The purity of DMSO2 was also assigned using the indirectly assigned standards for MA (in solution in D2O and DMSO-d6), BTMSB-d4 (in DMSO-d6, CD3OD and CDCl3) and DMTP in CDCl3 respectively.
The various calibration hierarchies followed for the purity assignment of the DMSO2 material and listing the internal standard, solvent and observed result are shown in figure 8 below:
Figure 8. Calibration pathways for assignment of a DMSO2 material using various internal standard/solvent.
Download figure:
Standard image High-resolution imageThe combined results of the individual assignments of the DMSO2 content, which were all consistent within the measurement uncertainty of each result, are shown in figure 9. Individual data points are plotted with their associated expanded uncertainty.
Figure 9. Mass fraction content assignments of DMSO2 by 1H-qNMR for various IS/solvent combinations relative to reference value (black line).
Download figure:
Standard image High-resolution imageSome difficulties were encountered with the use of some of the materials in specific solvents. It was observed that although MA is soluble in CD3OD, ester formation occurs spontaneously once MA is taken up in solution. This results in the slow appearance of an artefact peak due to the olefinic protons in the resulting trideuteromethyl maleate derivative with a corresponding diminution in the signal due to the corresponding protons in the parent MA. Although not a large effect, particularly if the qNMR study is undertaken shortly after sample preparation, nevertheless it is significant at the level of accuracy desired for the use of these compounds as higher order reference materials.
A related issue was observed when using DMTP in CD3OD. In this case replacement of the methyl ester groups in DMTP by trideuteromethyl as a result of in situ transesterification was observed. This precludes the use of the peak due to the DMTP dimethyl ester for 1H-qNMR assignments in CD3OD. However as the chemical shift of the associated peak from the aromatic protons in DMTP does not alter significantly after transesterification it is feasible in principle to use DMTP in CD3OD provided quantification is based solely on the aromatic proton signal.
In aprotic solvents (CDCl3 and DMSO-d6) interference from the broad signal due to acidic protons present in KHP, MA and BTFMBA was problematic in some cases. These can also introduce unwanted curvature into the spectrum baseline leading to difficulty in the integration process for one or both quantified signals. If working in CDCl3 we observed that the addition of a small amount of anhydrous TFA can lead to a significant sharpening of the proton peak signal, often to an extent sufficient to reduce the interference and permit accurate integration.
7. Measurement uncertainty
Consideration of the measurement process allowed for identification of factors potentially influencing the measurement uncertainty budget for a result obtained using equation (1) as shown in the diagram in figure 10.
Figure 10. Ishikawa diagram of input quantities considered for the MU of a purity assignment by qNMR.
Download figure:
Standard image High-resolution imageThe repeatability of the integral area ratios (Ix/Is, equation (1)) incorporates contributions from a number of input factors including the extent of quantitative excitation, the extent of reestablishment of the equilibrium state between acquisitions, detection efficiency, FID acquisition and processing of the NMR signals and was amenable to a type A statistical evaluation. Since these measurements came from at least four independent solutions containing different sample masses, the observed absolute area ratios varied on a sample-by-sample basis and could not be used directly to provide information.
The final purity values calculated from the replicate results for the separate samples were used instead as a surrogate for the integral ratio. Analysis of the combined purity estimates (at least four replicates from four independent samples) by ANOVA produced both the overall assigned value and could provide an estimate of the intermediate precision of the reproducibility of the Ix/Is ratio. It also identified if an additional contribution arising from the uncertainty associated with sample preparation and signal processing needed to be added to the variance component for the integral ratio determination.
The standard uncertainties for the other major input quantities were type B estimates. The molar masses and the 1H/2H isotope distribution of the quantification signals, with their associated uncertainties, were calculated from the values for atomic weights and hydrogen isotope distribution given in the 2016 revision of the IUPAC Technical Report of the Atomic weights of the elements [24]. The uncertainties of individual gravimetric operations were assigned based on balance performance characteristics and take into account buoyancy effects [25]. The uncertainty of the purity of the material used as the internal standard was provided from the assigned values in table 1.
A representative example is given in table 4 of components of the MU budget for the assignment of the purity of MA using KHP as internal standard in solution in D2O. The overall assigned value was 999.5 + 0.5/− 0.9 mg g−1. As illustrated in figure 11 the main contributors to the standard uncertainty of the final result were the precision estimate for the integral ratio and the uncertainty of the mass determination of the analyte sample. The uncertainty associated with the mass determination reflects the relatively small sample size. In principle this contribution could be reduced by preparing the solutions using larger sample sizes of the analyte material and standard.
Table 4. MU components for assignment of MA purity by 1H-qNMR using KHP as internal standard.
![]() |
Figure 11. Relative components for the MU of the assignment of MA purity by 1H-qNMR against KHP.
Download figure:
Standard image High-resolution image8. Conclusions
We describe the development and validation of a set of general parameters for performing a quantitative 1H-NMR measurement using the internal standard approach that can provide a measurement result traceable to the International System of Units (SI) with an associated relative standard uncertainty in the assignment at the level of 0.1% in suitable cases.
We have identified a set of seven compounds having the potential, if approriately characterized, to constitute a comprehensive 'toolbox' of higher-order ISRMs for 1H-qNMR measurements and have validated their use for true and precise purity assignments with associated relative measurement uncertainties at the level of 0.1% using this approach.
At least one ISRM from the suite should be suitable for the assignment of a given organic compound soluble in a specified NMR solvent. At least three of the ISRMs are applicable to a given solvent class and provide reference signals distributed across the 1H chemical shift range.
Summaries of the reference data associated with each individual ISRM including recommendations for best practice in their use, worked examples of their application as internal standards in 1H-qNMR purity assignments,specific information on their properties limitations regarding their use in specific solvents and the potential for interference or bias due to the presence of related structure impurities in the source material have been prepared and are available for open access online [26].
It should be noted that the calibration hierarchy shown in figure 3 reflected the availability of suitable high purity CRMs to act as the primary link to the SI at the time these studies were undertaken. It should not necessarily be regarded as constituting a definitive heirarchy for higher order qNMR refrence materials. Rather it reflects the current situation where CRMs having a suitably small uncertainty in their assigned purity to act as the apex for SI-traceability are currently primarily organic carboxylic acids certified by titrimetric methods. If techniques were available that could provide high purity CRMs of other of the proposed ISRMs, notably DMSO2, having a suitably small value for the measurement uncertainty of the purity assignment then simpler traceability chains of equivalent metrological rigour could be proposed.
Footnotes
- 6
Values given are the 'mass fraction of acid (replaceable H+) expressed as KHP'. Equivalency to the mass fraction of KHP is assumed although this is currently under consideration at the NMI level.
- 7
If the mass content from H-atoms of the quantified signal exceeds 50 mg g−1, the aliquot size for a typical analysis is limited to small amounts and the uncertainty associated with gravimetric operations becomes a limiting factor in the overall uncertainty of a 1H-qNMR assignment.












