Abstract
Is a suction cup at the bottom of a bathtub subject to an upward force from the surrounding water, even if there is no water under it? A student question, posted in a teacher facebook group on a Monday morning, led to a discussion involving 21 comments with 225 replies offered by 16 teachers during the next few days, including several simple experiments, as well as modeling, to evaluate different arguments. The discussions, summarized in this paper, provide an example of how social media can provide an 'extended teacher room' where teachers can explore and refine their understanding in a safe and mostly supportive environment, and also find ways to give more elaborate answers to challenging student questions.
Export citation and abstract BibTeX RIS

Original content from this work may be used under the terms of the Creative Commons Attribution 4.0 license. Any further distribution of this work must maintain attribution to the author(s) and the title of the work, journal citation and DOI.
1. Introduction
Archimedes' principle states that 'Any body completely or partially submerged in a fluid at rest is acted upon by an upward force the magnitude of which is equal to the weight of the fluid displaced by the body' as formulated by britannica.com. What are the requirements for Archimedes' principle to apply?
What answers will students get if they ask the teacher a question about buoyant forces on a suction cup attached to the bottom of a bowl, when water is added?
One teacher passed the student question on to a Facebook group for Swedish physics teachers which, at the time, had about 600 members, mostly from high school, but also teachers of younger students and from university. The Monday morning question sparked a discussion with a total of 225 replies to 21 comments from 16 teachers within less than a week. Whereas the first comments stated that the buoyancy is due to pressure differences, and the suction cup should not experience water pressure from below, later comments referred to Archimedes' principle as a law of Nature that nothing can escape, or surprise that anyone could question it. These two positions will be labeled as follows:
- (a)Archimedes' principle as a consequence of pressure: the idea that Archimedes' principle is derived from the pressure differences acting on an object in a fluid. For Archimedes principle to hold for an object, this position demands that the object is not in contact with the bottom.
- (b)Archimedes' principle as a law of Nature: the idea that Archimedes' principle is valid for all objects in a fluid, even if the bottom of the object has no contact with the fluid.
Experiments were suggested and carried out, followed by discussions of possible alternative interpretations and numerical simulations, as well as attempts to find more precise reformulations of Archimedes' law. This paper presents parts of that discussion.
2. Experimental demonstrations
The initial theoretical discussions in the group were followed by photos or videos of a few experiments to demonstrate the situation: a LEGO block, tea candle and plastic jar at the bottom of a sink. Each experiment was then followed by additional discussions focusing on possible alternative explanations for the outcome.
2.1. A LEGO block
As many participants in the discussions were considering, for example, how much water under a body was needed to be able to exert pressure, one of the authors (O D) proceeded to do a simple experiment with a little LEGO block resting on its side at the bottom of a saucepan, and held down while water was added. Indeed, the LEGO block remained at the bottom for a couple of seconds before floating to the surface.
That comment, posted on the Monday evening about the LEGO block experiment generated a lively discussion, past midnight. The discussions turned to the question about whether this constituted proof that there was no buoyancy, or if there were other possible explanations. Could there be some form of adhesion? Gauge blocks, invented by the Swedish machinist, Johansson [1], have very smooth surfaces and seem to hold together without external forces (although, of course, the air pressure exerts force to keep the two blocks together).
A follow-up question asked how much water would need to seep in under the LEGO block to make it float. Even with a thin layer of water, the block resisted being pulled up. Before the water can exert pressure under the whole block, it must get there, which takes some time.
Thus, a number of possible alternative explanations could be formulated, and the LEGO block experiment was deemed non-conclusive.
One teacher summarized the conclusions thus far: buoyancy implies displaced liquid, but displaced liquid does not imply buoyancy.
While OD went to work to calculate the forces from water seeping in between the LEGO block and the water, the Tuesday afternoon saw the start of a new comment thread, when BE posted a short video of a tea candle, which was pushed to the bottom of a glass container and then released as shown in figure 1, with results discussed below.
Figure 1. Screen shots of a video of a tea candle slowly lifting after resting for about 7 s on the bottom of a water-filled glass container.
Download figure:
Standard image High-resolution imageA tea candle
The video posted by BE showed the candle first resting for about 7 s at the bottom of the container, followed by air bubbles coming out as the tea candle started to tilt before floating to the surface. Figure 1 shows a sequence of screen shots from the video.
As other authors (e.g. [2]) have noted, the central crux is to avoid water seepage under the object on the bottom. The bottom of the tea candle used in this small demonstration experiment, had four small outcrops and a circle at the outside, creating the possibility for a small volume of air to be trapped between the bottom of the tea candle and bottom of the glass (figure 2).
Figure 2. Bottom of the tea candle used for the experiment shown in figure 1.
Download figure:
Standard image High-resolution imageOn the Wednesday morning, O D posted a theoretical calculation of the time required before the tea candle lifted from the floor, if the delay depended on seepage. A summary of the calculations is presented in the section 4.
2.3. A block glued to a plastic film
A suggestion to consider a wooden block glued to a plastic bag to be filled with water was presented on the Thursday afternoon and was followed by a Friday afternoon experiment with the plastic bag placed in a colander. No buoyancy was observed. However, the experiment did not seem to convince anyone. Those adhering to the view of Archimedes' principle as a law of nature saw the wooden block as a 'part of the bottom', and dismissed the experiment. Those focusing on the pressure were already thinking about the possibility of 'downward buoyancy', following a link to a paper by Lima et al [2], presented the day before. The discussion about partial buoyancy was crowned with a successful demonstration, as discussed below.
2.4. Partial buoyancy on a plastic jar
A Wednesday afternoon post linked a paper by Lima et al [2] who investigated partial buoyancy, using the term 'downward buoyancy' to demonstrate this phenomenon. This spurred a number of exploratory responses, where several participants discussed possible implementations. The idea of 'downward buoyancy' acted as a catalyst to the discussions as it is not consistent with the position of Archimedes' principle as a law of nature.
Saturday, late in the evening, brought the next demonstration video, by O D (figure 3), where a little jar at the bottom of the sink provided an illuminating illustration of partial buoyancy. The jar had sloping walls, giving a smaller cross-section at the bottom rather than at the top. It was placed so that it covered the drain and was held down as the sink was filled with water. It then remained at the bottom for more than 40 s, while the water in the sink slowly ran out. Although the water pressure on the sloping walls of the jar is larger than the pressure on the lid, the total upward force on the walls is initially insufficient to counteract the downward force, which is the sum of the weight of the jar and the force of water pressure from above, acting on a larger area. If there had been water pressure at the flat bottom of the jar, the total upward force would have been sufficient to lift the jar. As the water level drops, the downward force from the water pressure drops faster than the upward force. Finally, the jar lifts, as can be seen in the sequence of screen shots in figure 3.
Figure 3. Screen shots from a video of an empty plastic jar resting at the bottom of a water-filled sink. Shape of the jar leads to partial buoyancy, which is sufficient to lift the jar when the water has drained to a level where the sum of the weight of the jar and the total downward force on the lid becomes less than the upward force from the water pressure on the sides of the jar.
Download figure:
Standard image High-resolution image3. Theoretical considerations
The discussion about how to think about Archimedes' principle led to a number of theoretical consderations, in parallel with posts about the interpretation of the experiments. The discussions illustrate that a phenomenological approach to physics is often insufficient and needs to be complemented with mathematical models.
3.1. Reductio ad absurdum
One of the teachers in the group created a reductio ad absurdum argument relating to the possibility that the water on the side should exert an upward force on an object. According to Newton's third law, the object would then exert a downward force on the water, which would then start to move, leading to a number of consequences that have never been seen.
3.2. Reformulations or Archimedes' principle
During the Facebook discussions, some teachers expressed surprise that the relatively simple case of an object resting flat on a bottom is not discussed in textbooks. Other teachers suggested different reformulations, including:
- 1.The buoyancy, if it exists, is equal to the weight of the displaced water
- 2.The upward force is equal to the density of the water multiplied by g and by the volume of the object immersed in water, if and only if there is a macroscopic layer of liquid under the object
- 3.The force from the liquid on the object is the integral (or sum) of all the forces due to liquid pressure forces acting on the body (as discussed, e.g. in [3])
- 4.We need to distinguish three cases:
- There is plenty of water under the body. Archimedes' principle applies without complication.
- A Gedanken case, where the bottom of the tub and bottom of the object are perfectly smooth, so that no water enters under the object. Archimedes' principle does not apply.
- The bottom of the tub and bottom of the object are essentially flat, but there is microscopic unevenness. Small amounts of water may enter providing some buoyancy, leading to more water under that object, until the situation in (a) applies.
- 5.This is a special case of Gauss' theorem.
A couple of teachers were still not prepared to ascribe special importance to the bottom surface, trying to escape the problem by letting all surfaces be sufficiently rough to let water in to provide buoyancy.
3.3. A mathematical model
Archimedes' principle is formulated for stationary liquids and discussed in terms of hydrostatic pressure (ρgh). However, for the tea candle to rise, water must flow in under the candle. As the candle lifts, the pressure lowers and, more water flows to the center of the candle where the pressure must be lower as long as the water flows. How long is the pressure under the tea candle insufficient to lift the candle?
A simple estimate of the forces on the tea candle was derived under the assumption of viscous flow. In this way an approximate time dependence of the distance to the bottom of the container could be obtained, as shown in figure 4. Figure 5 illustrates the horizontal motion of water and the resulting forces on the tea candle as water seeps in. The mathematical model and calculations are presented in detail in section 4.
Figure 4. Solution using the derivation in section 4 for an initial value of d = 4 × 10−5 m for the distance between the bottom of the tea candle and the bottom.
Download figure:
Standard image High-resolution imageFigure 5. Illustrations for the theoretical analysis presented in section 4.
Download figure:
Standard image High-resolution image4. Matematical analysis
Use cylindrical coordinates with the axis at the center of the candle, with r denoting the distance to the center, and z denoting the vertical coordinate measured from the bottom of the container. Let R be the radius of the cylinder (the tea candle) and d be the distance between the cylinder and the bottom.
The radial velocity of the water depends both on the distance, z from the center and from the bottom of the container, with the largest flow at z = d/2. The average velocity for a given radius,
, is given by,

As water moves in, the tea candle must move upwards, causing a time dependence of the distance, d. The upward velocity of the tea candle is denoted by the time derivative of the distance, i.e.
. Continuity requires that the flow into each concentric cylindrical shell under the tea candle must match the change of volume due to the upward movement of the candle, i.e.

giving an expression for the average velocity:

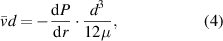
Let P(r) be the pressure anomaly compared to hydrostatic pressure, and approximate the flow with the steady flow between two parallel plates under a pressure gradient (see e.g. [4]). This is a rough estimate, but should give the right order of magnitude, yielding,

where µ is the dynamic viscosity.
For r = R, the pressure anomaly is smallest and we set P(R) = 0. Inserting the expression for
from (3) into (4) and integrating with respect to r gives,

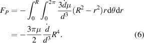
Now, consider the forces on the cylinder. The total force FP due to the pressure anomaly underneath is,

Note that this pressure is highly dependent on the distance to the bottom, d.
4.1. Force on the tea candle
We now have the tools required to calculate the sum of all forces on the tea candle.
Let h be the height of the cylinder, ρ be the density of the water and ρc be the density of the cylinder. If the cylinder had been stationary, the upward force on the cylinder would be,

where
is the mass of the cylinder.
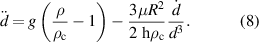
Applying Newton's second law of motion to the cylinder, with the net force given by
, gives a differential equation for the distance d between the cylinder and the bottom:

Inserting numerical values g = 9.8 m s−2, ρ = 1000 kg m−3 and µ = 9 × 10−4 Pa s, together with realistic values for the candle,
, h = 0.015 m and R = 0.02 m, the differential equation can be solved numerically. The solutions show that the candle will stay almost still, close to the bottom, until d is large enough. Figure 4 shows the solution when d is set to 4 × 10−5 m initially, yielding a realistic time for the tea candle. However, the time the cylinder 'stays' at the bottom is highly dependent on the initial value of d, so this is more a proof of principle than an accurate quantitative model.
A conclusion is that the tea candle experiment by itself cannot be used to refute the view of Archimedes' principle as a law of nature.
5. Conceptual understanding or teaching rituals
Can a (small) battleship in a (large) bathtub float, even if the water in the tub weighs much less than the boat, so that insufficient quantities of water are 'displaced'? An illustration of this question features on the cover of the book 'Thinking Physics is Gedanken Physics' [5], which includes a number of challenging conceptual questions, that can lead to inspiring classroom discussions. These discussions are important in that they complement traditional end-of-chapter problems, typically asking about numerical values for buoyancy forces in different situations.
Conceptual difficulties relating to buoyancy are common and well documented and the literature includes a number of articles demonstrating possible ways to deepen the conceptual understanding of buoyancy (see, e.g. [6–8]). One of us (AMP) recalls an exam problem given to first-year students, asking how much helium would be needed to carry Joe Kittinger in a balloon for his lonely 20 mile jump in 1960 [9, 10]. Most of the students believed that the mass of helium needed was the same as the mass to be carried. Looking into the textbooks of her older children, who were at the time in their mid-teens, AMP was not surprised that most students had failed to understand Archimedes' principle. As discussed in the appendix, college and university textbooks differ in what discussions precede the presentation of the principle.
Viennot [11] discusses 'teaching rituals', including the treatment of Archimedes' principle and the 'isobaric hot air balloon', with its inherent contradictions, and finds that students are much more satisfied when they can develop an explanation in terms of Newton's laws, and can perceive that 'physics is a consistent, parsimonious, elegant and powerful set of theories'. Ten years later, she returns to the problem [12] and finds that these teaching rituals are very persistent. In a recent article [10], she discusses the training of critical analyses of explanations as an important part of teacher education. She notes that 'Flotation is a very popular topic in the early stages of science education, in particular to practice what is often called Inquiry Based Science Teaching. By plunging blocks of materials of various densities in water, it is easy to show that "only objects less dense than water can float".' She compares this explanation to a 'hole in the water' approach suggested by Ogborn [13], who suggests that students should experience and reflect on the force required to push an empty plastic cup into water, and then try to fill the cup with increasing amounts of water. After a number of investigations and discussions, Ogborn finishes with the observation that 'We have only now reached the point where the story of Archimedes' principle usually begins. That is why I think it would be better to start nearer the beginning, with making holes in water.'
5.1. Beliefs and evidence
To many of the participants in the Facebook group discussion, who were convinced about the need for pressure from below for an upward force from the liquid, the simple LEGO-block experiment initially provided sufficient evidence that the forces on an object in liquid is more complicated than described by Archimedes' principle. However, the discussion revealed possible alternative explanations to the slow rise of the LEGO block, and many teachers would like more convincing evidence for the net forces from the water. Those discussions lead to the additional experiments presented here, as well as the simulation, giving a comparison between theory and experiment, discussed above.
A couple of teachers started looking for misleading or incomplete textbook illustrations of Archimedes' principle, and a short comment thread discussed how teachers could use these illustrations for classroom discussions.
The steps in the discussion could also be used as an illustration of participants engaging in overarching science education goals, as expressed, for example, in the Next Generation Science Standard [14]:
- 1.Asking questions (for science) and defining problems (for engineering)
- 2.Developing and using models
- 3.Planning and carrying out investigations
- 4.Analyzing and interpreting data
- 5.Using mathematics and computational thinking
- 6.Constructing explanations (for science) and designing solutions (for engineering)
- 7.Engaging in argument from evidence
- 8.Obtaining, evaluating, and communicating information.
The discussion also includes components of testing multiple explanations that are part of the ISLE approach [8].
6. Discussion
The intense teacher discussions during a single week provide an example of how social media can provide an 'extended teacher room' where teachers can explore and refine their understanding in a safe and mostly supportive environment, and also find ways to give more elaborate answers to challenging student questions. Figure 6 shows a timeline of comments and replies on different themes, from the Monday to Saturday. A few scattered comments were also posted on the Sunday, including discussions about less than ideal textbook illustrations.
Figure 6. Timeline of comments and replies around several themes, prompted by a Monday morning question.
Download figure:
Standard image High-resolution imageThe problem on Archimedes' mind as he discovered the principle that carries his name was how to determine if the gold in Hieron's crown had been diluted with another metal. Storytelling about Archimedes can be an inspiring way to introduce the topics of density and buoyancy even long before high school (see, e.g. [15]). To determine the density of an object, it needs to be surrounded by liquid. Thus, an object resting at the bottom would not be a relevant aspect.
Epstein [5] comments in a footnote to one of the conceptual questions in 'Thinking Physics is Gedanken Physics' that 'In the unusual circumstance where a submerged body rests against the bottom with no water film between it and the container bottom, there would be no upward buoyant force.' Although several authors have suggested generalizations of the expressions for buoyancy for submerged bodies that are not completely surrounded by water (e.g. [2, 3, 16]), no mention of this situation was found in any of the textbooks discussed in the appendix.
Many teachers taking part in the discussion were surprised that they had never come across the question about an object resting on the bottom of a sink, as raised by a student, prompting the discussions in the Facebook group. As the discussions were coming to a conclusion, one of the teachers exclaimed 'So, it seems like it really is Newton's laws in action. And the microscopic layer of liquid below the object is needed to propagate the water pressure to the bottom of the object.' Indeed, the Archimedes principle is not an additional 'law of nature', but a consequence of Newton's laws.
Acknowledgments
The authors would like to express our appreciation to all teachers taking part in the discussion, in particular Patrik Petterson posting the original question, Daniel Domert for his persistence in pointing out that water pressure from below is essential for Archimedes' principle to apply, and for posting the link to the work by Lima et al [2], to Elin Wihed for repeated requests for summaries of the conclusions or reformulations of the law of buoyancy, and to Fredrik Jansson for checking the calculations.
: Appendix. Textbook presentations of buoyancy and Archimedes' principle
As a background to student perception of forces in fluids and Archimedes' principle, this appendix presents a brief investigation of the chapter on fluids for a number of physics textbook at college and university level [17–23].
Most books include some version of the relation
to describe the buoyancy force Fb related to the density of the fluid, ρf
and the volume Vdisp
of liquid displaced. However, they differ in their path to Archimedes' principle, and also in their illustrations and choices of examples.
Young and Freedman [23] start by introducing density, followed by a definition of pressure. The pressures is then related to the depth in a fluid, and a consideration of forces of an element of fluid in equilibrium, leading up to Pascal's principle and an illustration of 'the liquid finds its level', as found in most of the books. They then discuss pressure gauges before illustrating the buoyancy by showing the pressure on different parts of an immersed object of arbitrary shape. The discussion questions include some of the 'hole in the water' introduction suggested by Ogborn [13], by inviting the experience of pushing an empty glass jar into water and considering the buoyancy. Another discussion question includes the problem of the king's golden crown (without historical reference). The problems include biological examples, such as blood pressure and diving.
Chabay and Sherwood [21] discuss buoyancy using forces on a sphere of fluid and then concluding that the forces on a ball hanging from a wire, replacing the original sphere of fluid, would be exposed to the same forces from the surrounding fluid. They then discuss buoyancy in air including forces on a book resting on a table. They actually do discuss pressure on a suction cup, but only when surrounded by air. The end-of-chapter problems involve the calculation of buoyancy and pressure in a few different situations.
The forces on an object replacing an identically shaped quantity of water is also introduced in the engineering mechanics book by Meriam and Kraige [20], where most of the end-of-chapter problems involve calculations of forces due to pressure in a wide range of situations, without any special focus on buoyancy.
Fishbane et al [19] start by defining density, ρ = M/V and pressure p ≡ F/A. A section about pressure in a fluid at rest looks at the pressure difference between forces and pressure differences between two horizontal surfaces with depth y and y + dy and finally discusses sinking and floating for objects with different densities, before formulating Archimedes' principle and demonstrating the reading of a scale where an apple is suspended, in air, partially and fully immersed. One of the end-of-chapter problems discusses the stability of floating objects. A similar introduction is found in Wolfson and Pasachoff [18], but they also show the forces acting on an arbitrary-shaped object and illustrated Archimedes' weighing of the king's crown as well as the question of stability, center of gravity and center of buoyancy.
Mazur's book [22] focuses on pressure and includes a brief discussion of buoyancy, without mentioning Archimedes. The 'Practice' volume emphasizes a procedure of determining the pressure at each surface, which is likely to prepare the students to discuss the suction cup under water.
The most extensive introduction of the books inspected is given by Hewitt [17], starting by discussing pressure (including a discussion of the blood pressure in a giraffe). After emphasizing the difference between the pressure from below and above an object, it notes that the difference is independent of the depth, since the density of water remains constant. Buoyancy is then introduced with a drawing of forces on an arbitrary-shaped object, and a special discussion about water running over the edge when an object is immersed, leading up to Archimedes' principle, before the concept of density is introduced. It introduces floating icebergs—and the isostasy of mountains as a more unusual example. A large number of conceptual exercises, including how the buoyancy on a balloon changes with water depth, are given at the end of the chapter before a significantly shorter list of 'problems', which includes investigating whether a supposedly golden object has the density of gold, but no mention of Hieron's crown.
Whereas some (but not all) Swedish high-school physics textbooks start from the Archimedes principle before considering the forces resulting from water pressure, all the college and university textbooks considered here start from a consideration of pressure, before introducing buoyancy. They differ, however, in the emphasis on different aspects of pressure, forces or buoyancy. All books treat forces due to pressure on horizontal surfaces at different depths. Mazur [22] also includes forces on a triangle, Chabay and Sherwood [21] consider forces on a sphere, while some of the books show illustrations of forces acting on arbitrary shapes [17, 18, 20, 23]. The forces on the water with the same shape of the object that then displaces it are discussed explicitly in [17] and [23].
None of the books seems to have made use of the elegance of comparing densities without explicit measurement of the volumes displaced, but instead immersing two bodies, with different masses on opposite sides of an unequal arms balance—another of Archimedes' discoveries/inventions.
Biographies

Olof Dahl is a physics and mathematics teacher at Elof Lindälvs Gymnasium (upper secondary school) in Kungsbacka. He has a PhD (2006) in oceanography.

Bo Eklund is a physics and mathematics teacher at Falkenberg Upper Secondary School.

Ann-Marie Pendrill has a research background in computational atomic physics. She is now a senior professor at Lund University where she was the director of the Swedish National Resource Centre for Physics Education 2009–2019. Facebook groups have been one way to support and connect physics teachers.





