Abstract
The experiment with images described here contributes to the scarce literature about the experimental approach to the classical problem of oblique launching on the surface of an inclined plane. It is directed at an intermediate physics course, with the aim of contextualizing the teaching of the laws of friction and empirical modeling in Classical Mechanics. We used a video of a two-dimensional real motion of a coin sliding on an inclined plane, a case where the net force varies continuously. The video frames were separated and each one was assigned a time code by a computational process. The resulting set of images was used to analyze the dynamical evolution of the system, by recording the coin positions at known instants. All the images and laboratory manuals can be accessed at http://www.fep.if.usp.br/∼fisfoto/translacao/planoInclinado/index.php. Realizing that the resistive force can be interpreted as the kinetic friction force, according to Amontons' laws, it is possible to build a theoretical model able to predict the trajectory through a first order numerical method, and then fit its parameters to the observed trajectory. This proposal reconciles the laboratory with Information and Communication Digital Technologies (ICDT). It also favors a deeper discussion about the role of laws, models and hypotheses in the physical sciences, which could be particularly interesting in the case of teacher education.
Export citation and abstract BibTeX RIS

Original content from this work may be used under the terms of the Creative Commons Attribution 4.0 licence. Any further distribution of this work must maintain attribution to the author(s) and the title of the work, journal citation and DOI.
1. Introduction
In courses for physicists and physics teachers, classical mechanics has been fulfilling the role of a model theory in its final form, alongside, for example, thermodynamics and classical electromagnetism. The theoretical robustness of classical mechanics often results in neglecting the experimental facets in its validation and the historical aspects in its construction. Thus, classical mechanics is usually taught in basic and advanced physics courses in an abstract and general way, as an axiomatic and deductive theory. What strengthens this formalist approach is the fact that it is one of the most elaborated epitomes of physical rationality.
In the field of science education, adopting contexts as a key methodological element for teaching has rekindled the debate around the problem of transference, that is, the ability of students to use scientific knowledge they have learnt in contexts different from the one first used to approach a subject (Izquierdo, 2007) [1]. Teaching science in context aims to relate the scientific content to everyday life, to historical and current social and cultural issues, and to the nature of science. Therefore, this approach would encourage students to develop judgment and decision-making capabilities on scientific and technological problems (Pérgola and Galagovsky, 2020) [2]. Under such perspective, the contexts chosen to approach scientific content need to be relevant for learners, provide the construction of key scientific ideas and enable meta-scientific understanding. Thereafter, one can expect students to perceive both the insufficiency of their current background knowledge and the power of scientific knowledge to cope with the questions inherent in those contexts (Marchán-Carvajal and Sanmartí, 2015) [3]. Hence, it seems viable to teach classical mechanics from a series of very diverse contexts, such as the 'classical' (ballistics, navigation, and planetary movements), along with their formulation and development, as well as those more recently adopted in the instruction of physics, like vehicles (e.g. space race or the analysis of road accidents), sports and even video games.
As mentioned before, physics teaching in context aims at favoring transference to a diversity of relevant situations and problems and, at the same time, at fostering a more robust understanding of the nature and function of the discipline. It has been argued that these two aims could be better served if physics teaching heavily relies on the notion of theoretical models (Adúriz-Bravo, 2013) [4]. In the semantic philosophy of science of the last quarter of the 20th century, the label of theoretical model is used in an attempt to capture its use among professional physicists (Giere, 1988) [5]. A theoretical model can be understood as an abstract, non-linguistic entity that is 'defined' through a series of propositions in technical language (such propositions can be, for instance, the classical laws of a theory) and that is explicitly and intentionally connected—by way of a relation of 'similarity'—to a real system for which it serves as a model (Giere, 1988) [5]. According to the American philosopher of science Ronald Giere (1988) [5], the simple pendulum is an appropriate exemplar of this theoretical category. A pendulum as such (i.e. an object strictly obeying the dynamical law of harmonic oscillations) is a fictional entity that can be more or less accurately mapped onto real swaying objects (such as the mythical chandelier in the Pisa cathedral purportedly scrutinised by a young Galileo). The didactical approach in this paper derives from this theoretical perspective. It assumes models as 'defined' in the classroom through equations and graphs, as well as studies teachers' and students' judgment of the application of such models to laboratory situations.
In particular, the formulation of the laws of contact friction between solid bodies in relative sliding [6] has historically (and also in physics textbooks) been assigned to Amontons and Coulomb (Besson et al, 2007) [7]. However, Popova and Popov (2015) [8], in a bibliographic study of the original works of those two French scientists, stressed that the work of Amontons approached the formulation of these laws, while Coulomb found that: (i) the proportionality between resistive and compressive forces (normal) is a good approximation for certain pairs of materials and not for others and (ii) the independence of the friction coefficient with respect to speed, normal force and contact area are rough approximations [9]. Despite the relevance of contact friction laws, there are textbooks that still present them with a certain degree of generality, which denotes a conception about the physical sciences focused on laws and axioms, and not on empirical modeling. For these reasons, in this paper we will refer to the classical laws of friction as Amontons' laws.
From all these perspectives, we seek to present in this work a proposal of an experimental activity (suitable for an intermediate physics course at university level) with the potential to foster a context-based didactical approach to Amontons's laws and to theoretical modeling in the physical sciences, in particular, in classical mechanics. The video of the experiment, the images and the laboratory manuals, that can be found in the flaps of the web page http://www.fep.if.usp.br/∼fisfoto/translacao/planoInclinado/index.php, may help to comprehend the proposal.
2. The experiment: oblique launching on an inclined plane
2.1. The experimental arrangement
The phenomenon chosen for the experiment was the oblique launching of a body on the surface of an inclined plane, for which the trajectory is not parabolic. The launched body was a pierced coin and the inclined plane was a rigid and thick acrylic pane. As shown in figure 1, the launch was carried out manually with an acrylic ruler. A piece of checkered paper was placed on the acrylic pane, which enables the choice of a reference system and the measurement of the coordinates of the coin geometric center, which performs a two-dimensional trajectory. Since the coin can be approximated to a homogeneous circular crown, the hole in its center allows the measurement of its center of mass in the checkered reference. The launches were done with the coin sliding either directly along the checkered paper or on a transparent and thin acrylic pane placed over the checkered paper. In order to measure the trajectory with great precision, the subsequent motion of the coin was recorded with a high-resolution digital camera. Then, it was possible to separate the frames from the video and obtain individual images, at equally spaced time intervals, from different instants of the phenomenon.
Figure 1. Perspective photography of the experimental arrangement. The camera was aligned perpendicularly to the inclined plane and the coin launching was done with the aid of an acrylic ruler.
Download figure:
Standard image High-resolution imageWe used a video camcorder, Sony Nex-FS700RH, at 480 fps (frames per second) or 960 fps, the maximum registration rate of this equipment. Snapshots of the experimental arrangement using the two different surfaces and inclination angles of the plane produced many sets of images, providing similar cases that can be distributed to the teams of students. In the flaps of the aforementioned page, a video snippet of the coin motion, the laboratory manuals, the mass of the coin and the inclination angle of the plane can also be found.
The next section details the analysis procedure suggested to the students, using the data corresponding to the case named C1.1 on the Mechanical EXperiments with Images (MEXI) web page. The current version of the laboratory manuals for this experimental activity are on the web page indicated above.
2.2. Historical, methodological and epistemic motivations
The classical problem of determining the trajectory of a body launched obliquely in a resistive medium, such as air or a rough surface, has been systematically studied for some centuries, according to the technical and social needs in the periods of its different formulations. The first context where this problem had been tackled was ballistics optimisation. Tartaglia, in Book II of his Nova Scientia, identified this trajectory as two straight line segments linked by a circumference arc, where the first segment represented the projection of the launch, and the last one, in the vertical direction, to the projectile fall (Abattouy, 1996; Hackborn, 2016; Salvia, 2017) [10–12]. Galileo, in turn, despite having adhered in De Motu to the image of Tartaglia's trajectory, later in Discorsi and in Dimostrazioni Matematiche intorno a Due Nuove Scienze, modified this conception, stating that the trajectory would be a parabola with deformations, noting that air resistance could not be subject to strong rules (Hackborn, 2016; Salvia, 2017) [11, 12]. Newton, on the other hand, in book II of the Principia, stated that for uniform density media the trajectory of projectiles was more similar to a hyperbola than a parabola, to match the vertical asymptote at its end (Hackborn, 2016) [11].
In physics textbooks at university level, the trajectories of projectiles into the atmosphere are modeled assuming a viscous frictional force with magnitude proportional to a power of speed (Thornton and Marion, 2012) [13]. For example, Parker (1977) [14] presented approximate solutions to the equations of motion and introduced an example of their numerical integration when the air resistance was considerable and dependent on the square of speed. Projectile movements on inclined planes are more amenable to experiment than launches in the atmosphere, although the trajectories are analogous. Hence, the former constitutes a gateway for understanding the effects of the resistive force, which can be modeled by a contact friction force and yields simpler equations. In the past two decades, different strategies and formalisms have been used to address this problem theoretically.
Zürcher (2007) [15] calculated the exact solution of the equation of motion and obtained the projectile path equation for the particular case in which the kinetic frictional force has the magnitude of the weight component tangential to the plane of motion. In this case, the non-holonomic constraint of opposition between velocity and friction force couples the position coordinates, which eliminates a degree of freedom and provides a simpler one-dimensional equation of motion.
Shunyakov and Lavrik (2010) [16], on the other hand, obtained a general analytical solution to the problem, taking into account some of its mathematical structural similarities with the classical problem of pursuit. The authors also discuss correlations between the theoretical treatment of the problem and experiments that would allow us to determine the friction coefficient in a real case, emphasizing that this bridge would be useful to improve our understanding of contact friction.
Wang (2014) [17], in turn, presented a closed analytical solution to this problem, considering a single position coordinate along the trajectory and solving the equation of motion in polar coordinates. The author also discussed the cases where the projectile eventually ceases its movement, which happens when the kinetic friction coefficient is greater than the tangent of the angle of inclination of the plane of movement with respect to the horizontal.
Zürcher (2007) [15], Shunyakov and Lavrik (2010) [16] and Wang (2014) [17] dealt with the same physical case exclusively from the theoretical viewpoint. In this work, we approach this problem experimentally, but with the intention of using the obtained experimental data as input for a process of theoretical modeling in the physics laboratory and classroom. In the different sections of our laboratory manuals, we orient the students to evaluate a model of projectile motion in a moderately resistive medium.
According to the semantic approach (to which we adhere), this process of mapping the model onto the system works through a collective and argument-based evaluation of the adequacy of the model in terms of its compatibility with the results. This is done, following Giere (1988) [5], through testing a 'theoretical hypothesis': a proposition that states the aspects and degrees of similarity between model and system that can be expected in order to accept the model as valid. In this framework, 'aspects' refers to those features of the system that are captured by the model (and consequently those that are disregarded), while 'degrees' entail the issues of approximation and accuracy. In this model-based perspective, the activity proposed seeks to compare the experimental and theoretical approaches for the oblique launching with friction and evaluate their consistency.
On the experimental side, the force that adds to the known weight and constraints and leads to the observed motion is isolated, and its characteristics are found using quantities derived from the coin positions along the time. The measured coin positions as function of time allow to obtain the values of the resistive force to which the coin was subjected by numerical differentiation and some algebra. These values are subjected to a statistical hypothesis test against the kinetic friction force given by Amontons' laws, to give support to the theoretical model. Through this experimental work routine we seek to recognize the applicability of such laws in a real case.
On the theoretical side, Newton's and Amontons' laws are used to build a theoretical model for the observed motion. The coin trajectory is computed by numerical integration of an equation of motion based on Newton's and Amontons' laws and depends on the friction coefficient and initial conditions. The comparison of the experimental data with the theoretical model calculations can validate the model and testify the predictive power of classical mechanics. By this path, we seek to combine historical aspects that influenced a context-based choice of the phenomenon with an unusual model-based approach to an experimental activity.
3. The problem from the MEXI online laboratory perspective
As described in previous publications (Fonseca et al, 2013; Maidana et al, 2016) [18, 19], our free access online laboratory, MEXI, available at http://fep.if.usp.br/∼fisfoto, contains several experiences with focus on the translation and rotation of bodies. Each experiment is produced from a video of a body moving beside an instrument that allows the measurement of its position. A set of frames from a selected snippet is isolated and with the help of the software Wolfram MathematicaTM 12.0 (Wolfram Research, 2020) [20], a digital time code is inserted in each frame to act as a chronometer. Students read the positions of the body as function of time in this set of images. These data can be analyzed roughly or in-depth, adopting techniques that vary from simple to full data reduction, including parameters fit by the least-squares method. Adding a few characteristics of the experimental arrangements (like the inclination of the plane in the experiment described here), the dynamical aspects of the systems can be studied in greater depth.
Subsidiary materials, including guides for the propagation of uncertainties, numerical differentiation and numerical integration, are available on the web page to provide procedural or methodological clarifications. Combining experiments with Information and Communication Digital Technologies (ICDT), MEXI aims to contextualize topics in mechanics and develop student skills as: physics practice, measurement processes, use of spreadsheets, elaboration of physical models, prediction about the movement of an object from the acting forces, among others (Fonseca et al, 2013; Maidana et al, 2016) [18, 19]. Since the measurement skills are a methodological objective, MEXI does not use an automatic data acquisition software, such as Tracker (Brown, 2020) [21]. Therefore, a part of all experimental activities is the choice of a reference system and a careful measurement process.
In terms of the physics curriculum, variable forces, a topic included in the syllabus of mechanics courses, appear in many examples, several of them involving contact forces of friction as detailed by Berger (2002) [22]. The term variable force encompasses three different cases, where the vector magnitude, along time:
- (a)Changes, although the direction remains constant;
- (b)Keeps constant while the direction changes;
- (c)Changes, as well as its direction.
Since this work aims to introduce the subject, we deal with case (b), avoiding the more difficult case (c). The experiment described here consists of following the trajectory of a coin that slides over an inclined plane after being launched obliquely; hence it is expected that the friction force, albeit constant in magnitude, points in a direction that changes continuously. As we will reveal, the trajectory calculated (using a model that accounts for the resistive force as taught at introductory level) agrees with the results within experimental uncertainties, illustrating the reach of Amontons' laws of friction.
The fact that the analytical solution of the equations of motion of the coin is somewhat complicated [17] prompts us to compute it numerically. Learning to solve Newton's second law numerically not only broadens its range of application but also works as a stone marker of in-depth understanding of the relationship between differential calculus and mechanics. In an ICDT tool like this online laboratory, it is natural to resort to other computational facilities that can help students to develop skills pursued all along the undergraduate course. Notice also that, even though the concepts of inertial frame, velocity, force, acceleration and constraints are better introduced in simple cases, the application of mechanics to natural systems and technological gadgets requires delving into calculus and related numerical methods. In the way and the environment where this experiment has been applied, it also contextualizes the phenomenon of friction, since it is a concrete situation that can anchor the required mental framework (van Oers, 1998) [23].
4. Experimental and theoretical analysis
The motion is described by the values of two coordinates and time, which can be measured from the images. The experimental arrangement sets the plane inclination with respect to the horizontal direction, θ, which, along with the local acceleration due to gravity, g, are quantities measured directly and used as given constants in all calculations. The other parameter is the kinetic friction coefficient that can be estimated from the raw data. The mass of the coin, m, was measured directly and given in the web page of the experiment; although not strictly necessary, its numerical value allows the evaluation of the forces on the coin with usual unities.
In what follows, subsections 4.1–4.4 describe the data analysis. Notice that, from the experimental point of view, the resistive force is the observed difference between the resultant and the weight plus normal forces, and will be evaluated in section 4.2 (
given by equations (6) and (7)). The equation of motion is built in section 4.5 using the resistive force given by Amontons' law, named
. The last section describes the fitting procedure of the theoretical model parameters.
4.1. Measuring the trajectory
The checkered pattern of the paper—thick lines forming squares with 1 cm side and little squares made by thin lines 0.2 cm apart—shows through the hole in the coin, and the position of its center of mass can be determined with the help of a mouse pointer designed for this experiment. Figure 2 shows one image and illustrates a possible choice of the abscissa x and ordinate y axis.
Figure 2. A video frame of the experimental arrangement, with the time code inserted at the bottom right corner. The adopted coordinate system is drawn over the image. The coordinates of the coin center are measured with respect to the reference system origin, O, using the crossed-lines mouse, highlighted in the upper right corner inset. Here, x = 12.8 cm and y = 7.7 cm when t = 0.3021 s.
Download figure:
Standard image High-resolution imageIn order to read the values of the coordinates, the mouse pointer is adjusted to the coin image, both its circular line to the coin external circumference and its line crossing to the center of the hole, through which two or three horizontal and vertical lines of the checkered paper can be seen. This procedure warrants finding the center of the coin with a maximum error of about 1 mm (half the distance between thin lines), corresponding to a standard deviation of about 0.4 mm. These coordinate values are inserted in a spreadsheet along with the time, t, provided by the time code.
4.2. Computing the dynamical quantities as functions of time
The mean velocity for each ti−1 ⩽ t ⩽ ti+1 time interval in Ox direction,
, is:

Since the time interval between the images i + 1 and i − 1 is hundredths of a second, this mean velocity approximates well the instantaneous velocity at the mean time of the interval,

where the last identity follows from using the same time interval between successive images. Therefore, we use

This method is known as numerical differentiation by centered differences. Likewise, the acceleration as a function of time is evaluated as its mean value:

Analogous expressions are used for vy (ti ) and ay (ti ).
From the acceleration and the known mass m, the resultant force on the coin can be deduced applying Newton's 2nd law:

adopting
and
for the unit vectors along the orthogonal axis on the plane of motion, with
in the horizontal direction.
The force on the coin by the plane must have a component along the plane, which is responsible for the non-parabolic shape of the trajectory. The resultant force on the plane, according to the body diagram of figure 3, is the sum of a resistive force
and the component of the weight in the
direction. Equation (5) can be rewritten as:


allowing the evaluation of the resistive force from the measured acceleration and the angle of inclination of the plane.
Figure 3. Sketch in perspective of the coin free body diagram. The velocity,
, was added since it is related to the orientation of the resistive force
. The inclination of the plane is θ.
Download figure:
Standard image High-resolution image4.3. Resistive force properties
The magnitude of
is

where the components are evaluated from equations (6) and (7).
It can be observed that the measured values for
and
are approximately opposed along all the trajectory, therefore the angle α between these vectors must be around π rad. Hence, this angle, α, measured in the anti-clockwise direction from the velocity vector to the resistive force vector, can be obtained from the experimental data by

where the subscript z in the vector product denotes the component perpendicular to the plane xOy and v(ti
) stands for the intensity of the velocity. Attention must be paid to select the proper branch of the sine function for inversion (
), as it is explained on the appendix of the laboratory manual http://www.fep.if.usp.br/∼fisfoto/roteiros/planoInclinado/apendice_atritoVariavel_eng.pdf.
4.4. Standard deviations of the quantities
Assuming that the standard deviation of the coordinate measurement, σp , is equal for both x and y, the standard deviations of the components of the velocity and acceleration are obtained from equations (1) and (4) and the usual propagation formulas, giving


where Δt is the interval between successive frames.
The standard deviation of the angle α is deduced from equation (9), which is a function of four independent random variables: vx , vy , fx and fy . Since the first two are measured with much better precision than the others, the uncertainty in the components of the force determine the standard deviation of α. Therefore, neglecting the uncertainty in the velocities and assuming that the average value of α is around π, it can be found, after some algebra

In this deduction, it was used that the standard deviations of sin α and α are equal for small angles, and α is given in radians. The intermediate steps in this calculation are detailed in the aforementioned appendix to the laboratory manual.
4.5. Theoretical model and its equation of motion
We deem that a model accounting for the 'aspects' of coin weight and constraint force due to the inclined plane is sufficient to describe the observed trajectory within experimental uncertainties. Since there is no motion in the direction perpendicular to the plane, only the components of these forces along the plane need to be considered. In what concerns the plane force on the coin, the simple model for the contact friction force is sufficient. Therefore, we adopt a kinetic friction force,
, with constant magnitude in the direction opposed to the velocity, which can be expressed by

with μk as the coefficient of kinetic friction. The resistive force
determined experimentally must be consistent with this expression if the model is realistic, which should be checked. Note that α(ti
) and f(ti
) are experimental quantities, hence random variables, and therefore they should distribute respectively around π and the average value of f. The statistical character of this checking requires the standard deviations of these quantities, shown in the next section.
Considering also equations (6) and (7), the components of the acceleration of the coin are:

This theoretical model takes into account only the translational motion of the coin and the kinetic frictional force due to the surface.
4.6. Fitting the model parameters to the observed trajectory
The velocity of the coin can be calculated in each instant of time by the solution of the coupled nonlinear differential equations (14), which can be solved numerically. It is sufficient to adopt Newton's first-order method with short time intervals, as shown below.
From the position and velocity at time t = tn , the position and the velocity after an interval Δt can be calculated using

and the kinematic quantities as


The trajectory can be determined by an iterative procedure, that starts with the position (x0, y0) and velocity (vx0, vy0) at the beginning of the motion, and follows using the new positions and velocities computed with equations (16) and (17). A first estimate μe of the friction coefficient can be obtained from the average value
of the resistive force by

When one draws on the same graph the experimental and computed results, initially using measured values for the initial conditions and μe for the friction coefficient μk, normally there is a significant difference between the calculated and the experimental trajectory. Graphs obtained with small changes (within one or two standard deviations) in one of the parameters x0, y0, v0x , v0y or μk give the feeling of the effects of these parameters on the trajectory shape. We suggest searching for better values of v0x or v0y first, then adjust μk, and fit x0 or y0 only when students have understood the effect of variations in the other parameters.
5. Typical experimental results
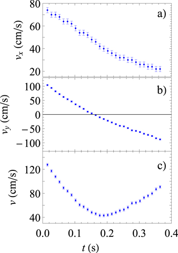
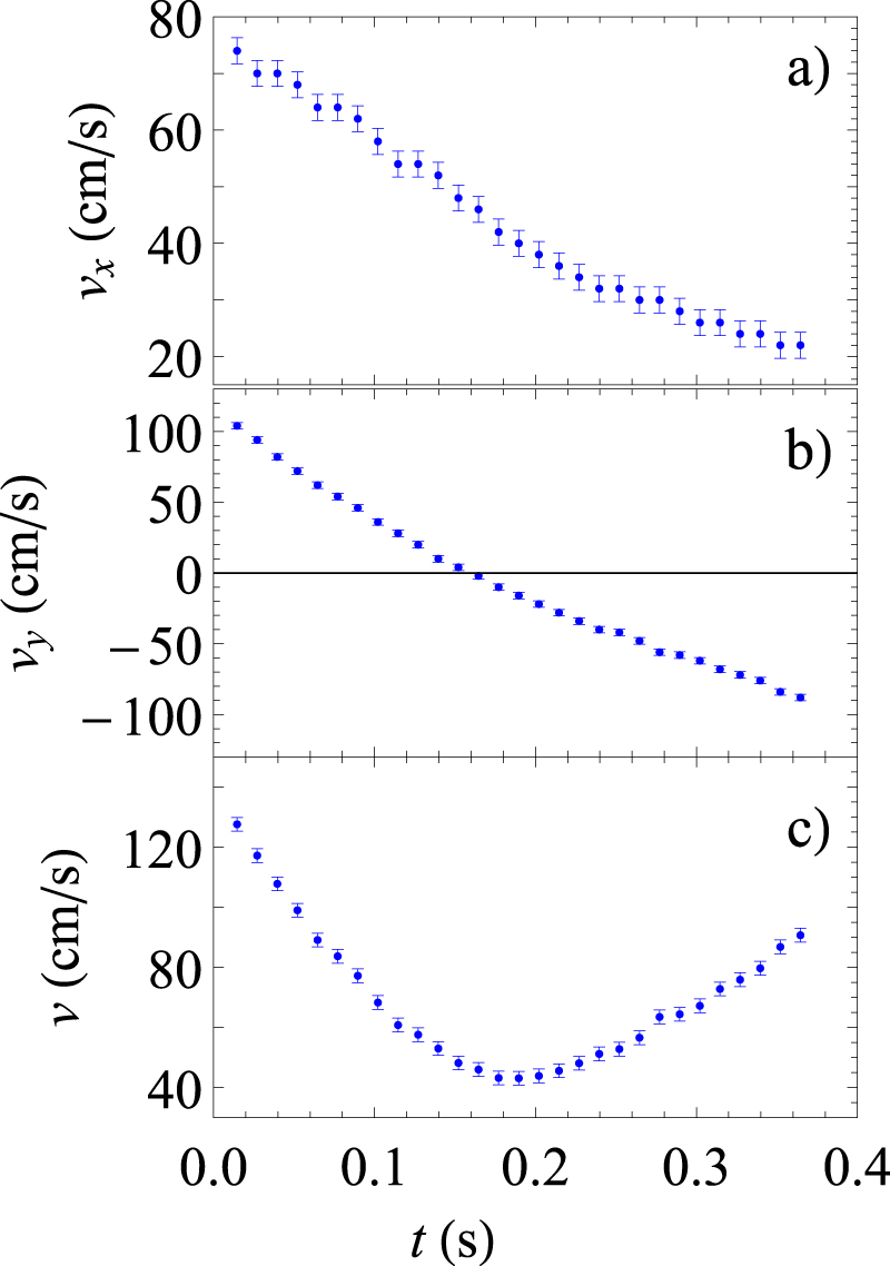
The experimental components of the velocities as functions of time, equations (1) and (3), can be observed in figures 4(a) and (b), respectively. It is clear that the component Ox is not constant, and the component Oy does not change uniformly with time, despite the constant gravitational force. Figure 4(c) displays the absolute value of the velocity, showing that the upward and downward parts of the plot are not symmetric due to the resistive force—the coin falls slower than rises. The magnitude of the resultant force as a function of time, calculated from its components as given by equation (5), is plotted on figure 5, showing that it is not constant. The standard deviations were calculated using σp = 0.4 mm, as explained in section 4.1.
Figure 4. Experimental coin velocity as function of time: (a) x component, (b) y component, and (c) intensity. The uncertainty-bars of vx , vy and v are equal, but seem different due to the plot scales.
Download figure:
Standard image High-resolution imageFigure 5. Magnitude of the resultant force as function of time, calculated using equation (5).
Download figure:
Standard image High-resolution imageFigure 6 shows the results for the magnitude of the resistive force along the motion using fx and fy from equations (6) and (7), exhibiting a distribution around an average, marked by a continuous line. The uncertainties bars sizes are pretty large, and this result cannot exclude a slight decrease of the resistive force with time. However, the hypothesis of a constant value also cannot be rejected, which is sufficient to develop a theoretical model based on a friction force of constant intensity; the pertinence of this model can be better ascertained in the fit of the observed trajectory that was measured with much smaller relative uncertainties. Notice also that figure 5 shows a clear decreasing trend, as expected for the resultant force, despite the uncertainty-bar sizes.
Figure 6. The points with uncertainty bars are the experimental values of the magnitude of the resistive force, calculated from equations (6) and (7). The continuous line was drawn at the average value.
Download figure:
Standard image High-resolution imageThe number of values of
obtained along the motion is sufficient to yield a precise kinetic friction coefficient under the hypothesis that it is constant: μe = 0.29(2), using equation (18) and the mean value of the resistive force magnitude, 826(54) g cm s−2.
The relative orientation of
with respect to
as a function of time, given by the angle α calculated using equation (9), can be observed in figure 7. All along the trajectory, the angle between velocity and resistive force is compatible with the expected value for the friction force, π, although with a large dispersion—the standard deviation of the data set is 0.3. The mean value of α and the standard deviation of the mean is 3.20(7) rad.
Figure 7. The points with uncertainty bars are the experimental values of the angle of
with respect to
as function of time, calculated according equation (9). The continuous line was drawn at the average value, slightly above (and compatible within uncertainty) the expected value for a contact friction force, π.
Download figure:
Standard image High-resolution imageThe parameters needed to evaluate the trajectory from the equations of motion, equation (14), are θ, μk, and the initial positions and velocities in both directions. The first quantity is measured in the experimental arrangement, registered in the web page and can be retrieved by the students, while the others can be either estimated from the data or fitted to the experimental trajectory.
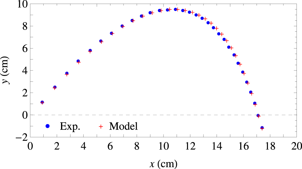
In figure 8 the trajectories of the coin, both calculated by equations (16) and (17) and measured, are plotted with crosses and filled points, respectively. The parameters used in this calculated curve were obtained by the procedure described at the end of section 4.6.
Figure 8. Comparison between the experimental (full circles, measured from raw data) and modeled (crosses, calculated by equations (16) and (17)) coin trajectory in the xy plane.
Download figure:
Standard image High-resolution image6. Discussion
Unlike the oblique launching without friction, in the case studied here the net force varies, the motion in the Oy direction is not uniformly accelerated and the motion in the Ox direction is not uniform; therefore, the trajectory of the coin is not a parabola. Another evidence of this fact is the lack of symmetry in the plot of the instantaneous speed, as shown in figure 4(c). Besides that, figure 4(b) shows a clear signature of the gravity force: the velocity begins positive, goes to zero, and becomes negative, as happens in a free fall, but its slight curvature is due to the resistive force, which acts on both directions, Ox and Oy, as it can be seen in figures 4(a) and (b). In particular, figure 4(a) shows that the motion in direction Ox is strictly retarded, revealing that the projections of the resistive force and the velocity are opposed.
The change in acceleration at maximum height in figure 4(b) follows from the change in alignment of the Oy components of the resistive force direction and the weight, which indicates that the components of resistive force and velocity are opposite also in this direction. Graphs in figures 6 and 7 allow to assess that the resistive force acting on the coin has a constant magnitude and is opposed to the velocity, within experimental uncertainties, which is consistent with the statements of Amontons' laws of friction. These, therefore, can be said to 'define' a theoretical model that accounts satisfactorily for the dynamics of the system.
In view of the complexity of this physical situation, Zürcher (2007) [15] pointed out that mechanics problems like this, where there is a restriction in the velocity of the projectile, are seldom approached in higher education physics courses, as they are frequently not instructive or open to solution. In addition, Shunyakov and Lavrik (2010) [16] recognized that only more advanced textbooks address curvilinear movements in inclined planes, and that, even in these cases, the way of presenting the problem reduces the possibility of an experimental approach since the kinetic friction coefficient is variable point to point. Furthermore, as pointed out by Minkin and Sikes (2018) [24], the measurement of friction coefficients in educational laboratories is known to show inconsistencies. The methodology described here, which combines the experimental approach with ICDT, was able to overcome these obstacles.
The equations of motion, equation (14), do not admit an analytic solution that becomes suitable for treatment in a mechanics course at the undergraduate level. The problems in mechanics amenable to analytic solution at an introductory level are quite limited and the important cases of linear restoration forces and friction forces proportional to the velocity are object of detailed study, leaving the machinery of calculus well behind the many examples taught. Hence, very likely, students at that level have not performed a similar numerical task before, and the laboratory manual suggests the use of Newton's first order method, for its close relationship with the definitions of velocity and acceleration, that still require deepening.
Despite its simplicity, Newton's method is sufficiently precise to compute the trajectory within uncertainties, as shown in figure 8. The agreement between experimental (measured) and calculated trajectories of the coin leads to conclude that the corresponding fact of nature given by the motion of the coin fits into the elaborated theoretical model expressed by equations (14). This type of assessment is at the very basis of the construction of scientific knowledge (Izquierdo, 2007) [1] and, specifically (but not only) in the physical sciences, its evaluation is generally undertaken according to the coordinate use that scientists make of statistical criteria and parameters. Brookes and Etkina (2004) [25] emphasize the importance of 'the process through which physicists acquire knowledge and those specific habits of mind that are necessary to practice physics' in physics learning, which, in certain instances, can go beyond the product of didactical transposition of knowledge (Chevallard, 1999) [26]. Therefore, with this experiment, the theoretical hypothesis that the coin was subjected to a resistive force that corresponds to the force of kinetic friction cannot be rejected, which is equivalent to stating that, for the case under analysis, a model defined by Amontons' laws for dry friction can be applied, and the ensuing results are valid.
Figure 8 also carries a considerable degree of similarity with the trajectories of projectiles launched into the air [13], since in both cases the shape of the obtained curve is a kind of deformed parabola, with maximum height and range smaller than in launches in systems without friction. However, the air resistance on a body moving in three dimensions is seldom opposed to velocity, hence its trajectory very often does not fit in a plane, while the motion on a plane surface is constrained to two dimensions and therefore easier to tackle. As previously shown, this sort of trajectory was characterized in different ways by several researchers from the conceptual period of classical mechanics, all having in common the identification of a non-parabolic shape for the trajectory. It is noteworthy that, among those, Galileo was the only one to give up the exhaustive use of a perfect conic to describe the shape of the trajectory. As a result, the dissipative effects of friction on trajectories allow us to assess that, among the explanations presented, Galileo's was potentially the most appropriate.
In this experiment, we neglected both the rotation of the coin and air resistance. In the images, it can be observed a very slow rotation with kinetic energy smaller than the translation energy by more than two orders of magnitude. In what concerns air effects, the drag calculated by Prandtl expression (Thornton and Marion, 2012) [13] is three orders of magnitude smaller than the contact friction force, and any effect due to the low profile of the thin coin will contribute to the effective value of the kinetic friction coefficient and cannot be isolated.
It should also be noted that our didactical experimental proposal, as well as others available in literature (Maney, 1952; Shaw and Wunderlich, 1984; Chaplin and Miller, 1984; Doménech et al, 1987; Minkin and Sikes, 2018) [24, 27–30], bring the same simplicity of the experimental arrangements built and studied by Galileo, using wooden and metal objects and the inclined plane to retard the free fall. Hence, in praxiological terms and according to internal criteria of a historical-epistemological analysis of the problem, bringing up the figure of Galileo is one of the possible ways of contextualization around the proposed activity.
7. Conclusion
We presented a brief genealogy of the works concerning contact friction to discuss, in particular, the classical problem of projectile launching on the surface of an inclined plane. We then developed an online experiment involving this phenomenon. This computer-based didactical material was designed to complement theoretical classes in mechanics, with the aim of working on abstract concepts from an experimental point of view. This sort of activity can contribute to the comprehension of mechanical laws and models by physics students, and foster the development of abilities on data treatment.
Our online experiment encompasses tasks that range from reading raw data to fitting model parameters, including tests of statistical hypothesis and the building of what we have called 'theoretical models', with the help of guides and tutorials. It was found experimentally that the resultant force on the coin sliding on an inclined plane is variable, and the obtained resistive force is compatible with a force of constant intensity and opposed to the velocity. These physical facts allow to claim that the contact frictional model based on Amonton's laws is valid and applicable. This theoretical model from physics built for the system can be integrated numerically to find the trajectory, and yields results compatible with the experimental data, within uncertainties. Since the numerical solution of the equations of motion relies on the use of differentials, it provides an important strengthening of Newton's laws of motion.
Through this online experiment, we seek to contribute to the literature in the area, adopting an experimental approach to the classical problem of sliding on an inclined plane and showing that it is indeed possible to determine a constant kinetic friction coefficient representative of the phenomenon, unlike common expectations. The experimental perspective in the teaching of physics in higher education proposed here reconciles the laboratory with ICDT. It also favors a deeper discussion about the role of laws, models and hypotheses in the physical sciences, which could be particularly interesting in the case of teacher education.
Acknowledgments
The authors would like to thank to Pró-Reitoria de Graduação of Universidade de São Paulo by the undergraduated students' scholarships; to the Didactical Laboratory of Instituto de Física—USP, Profis (Support, Research and Physics Teachers Comparison space IFUSP) and for the financial support by FAPESP (Fundação de Amparo à Pesquisa do Estado de São Paulo), Contract Numbers 2014/08206-0 and 2019/11569-0. This study was financed in part by the Coordenação de Aperfeiçoamento de Pessoal de Nível Superior—Brasil (CAPES)—Finance Code 001.







