Abstract
Theoretical and observational challenges to standard cosmology such as the cosmological constant problem and tensions between cosmological model parameters inferred from different observations motivate the development and search of new physics. A less radical approach to venturing beyond the standard model is the simple mathematical reformulation of our theoretical frameworks underlying it. While leaving physical measurements unaffected, this can offer a reinterpretation and even solutions of these problems. In this spirit, metric transformations are performed here that cast our Universe into different geometries. Of particular interest thereby is the formulation of cosmology in Minkowski space. Rather than an expansion of space, spatial curvature, and small-scale inhomogeneities and anisotropies, this frame exhibits a variation of mass, length and time scales across spacetime. Alternatively, this may be interpreted as an evolution of fundamental constants. As applications of this reframed cosmological picture, the naturalness of the cosmological constant is reinspected and promising candidates of geometric origin are explored for dark matter, dark energy, inflation and baryogenesis. An immediate observation thereby is the apparent absence of the cosmological constant problem in the Minkowski frame. The formalism is also applied to identify new observable signatures of conformal inhomogeneities, which have been proposed as simultaneous solution of the observational tensions in the Hubble constant, the amplitude of matter fluctuations, and the gravitational lensing amplitude of cosmic microwave background anisotropies. These are found to enhance redshifts to distant galaxy clusters and introduce a mass bias with cluster masses inferred from gravitational lensing exceeding those inferred kinematically or dynamically.

Original content from this work may be used under the terms of the Creative Commons Attribution 4.0 license. Any further distribution of this work must maintain attribution to the author(s) and the title of the work, journal citation and DOI.
1. Introduction
Its capacity to reproduce the wealth of cosmological observations conducted over the past few decades has cemented ΛCDM as the standard model of cosmology. Despite this resounding observational success, significant gaps persist in our theoretical understanding of some of its key ingredients. The cosmological constant problem [1, 2], the nature of dark matter [3] and inflation [4, 5], or the origin of the matter-antimatter asymmetry [6, 7] in the Universe constitute particularly important and profound enigmas among them. The cosmological constant is generally thought to be attributed to the gravitational contribution of vacuum fluctuations, anticipated of adequate magnitude to account for the observed late-time accelerated expansion of the Universe. Quantum theoretical estimates so far, however, exceed measurement by several orders of magnitude. Moreover, the comparable size of its associated energy density with that of matter today provokes a further conundrum, the Why Now? or coincidence problem. The energy density of matter in itself poses a deep physical puzzle. It is dominated by an elusive dark matter that despite its overwhelming indirect observational evidence has so far evaded direct detection. The remaining baryonic part, although known in nature, comes with a larger abundance of baryons than antibaryons. The associated baryogenesis process causing this asymmetry has not been identified yet. Neither has the precise physical mechanism for an inflationary epoch in the early Universe been determined.
Besides these theoretical shortcomings, a number of unexplained larger and smaller observational tensions have manifested between the cosmological model parameters inferred from our different data sets. The most prominent among them is the
tension in the current cosmic expansion rate H0 as measured with the cosmic microwave background (CMB) and with the local distance ladder [8]. Another
discrepancy is observed in the current amplitude of large-scale matter density fluctuations σ8 (or S8) as inferred from the CMB and as measured with large-scale structure surveys [9]. For another example, a discrepancy of
also manifests in the imprint of weak gravitational lensing on the CMB spectra, which is larger than what would be expected from the cosmological parameters obtained from early-time CMB physics [10]. Interestingly, the preferred enhancement
of the lensing amplitude is not observed in the power spectrum of the reconstructed lensing potential,
, which may be perceived as another indicator of an underlying inconsistency.
Both these theoretical and observational challenges have prompted for the development and search of new physics [11, 12]. In contrast, a less radical approach to venturing beyond the Standard Model of Particle Physics and ΛCDM is the simple mathematical reformulation of our theoretical frameworks underlying them. This can offer new perspectives with different physical interpretations and possibly even provide solutions for these theoretical and observational problems.
This article explores the implications of casting cosmology into different spacetime geometries as a simple mathematical manipulation that leaves physical measurements unaffected but can reveal new physical insights. Clearly, the Minkowski spacetime occupies a special place among the metrics one can transform the cosmic geometry into, being static and flat as well as the spacetime of special relativity and quantum field theory or indeed of the entire Standard Model. Hence, a particular focus is put on casting cosmology into Minkowski space. Besides rederiving the Friedmann equations, the evolution of energy densities, and redshift, the formalism is also employed to gain new perspectives on the cosmological constant problem, dark matter, dark energy, inflation, baryogenesis, and a range of observational cosmic tensions.
The article is organised as follows. Section 2 discusses the general interchangeability of gravitational theory, the energy-momentum sector and spacetime geometry in the Einstein field equations. Conformal metric transformations and the dimensional reduction of warped spacetimes are briefly reviewed and applied to the Einstein–Hilbert action and the Einstein field equations. In section 3 these transformations are employed to cast cosmology into static and Minkowski space for smooth backgrounds with and without spatial curvature as well as for scalar and tensor perturbations. The Friedmann equations, the evolution of energy densities, and redshift are derived for the transformed spacetimes. Conformal transformations are then applied in section 4 to cast the cosmic spacetime into Einstein-de Sitter and de Sitter backgrounds as well as for the treatment of nonlinear conformal inhomogeneities. Section 5 is devoted to applications of the formalism. It discusses the naturalness of the cosmological constant in the Minkowski frame, conformal inhomogeneities as solution to tensions between cosmological observations, and promising candidates for dark matter, inflation and baryogenesis. Finally, conclusions are presented in section 6.
2. Gravity in different casks
Before delving into the geometric transformations of cosmological spacetime, the resulting change of physical equations and its implications for their physical interpretation and our understanding of the Universe and the physical processes taking place within it, a brief presentation of the relevant theoretical background shall be given here. Section 2.1 introduces, as a general concept, the interchangeability of gravitational theory, the energy-momentum sector and spacetime geometry in the Einstein field equations. Section 2.2 discusses the metric transformations and decomposition that will be used to recast the Einstein–Hilbert action and Einstein field equations into different geometries. Readers familiar with Riemannian geometry may want to skip this section. Section 2.3 derives the Einstein–Hilbert action and the field equations under a conformal transformation of the metric, which will be used in section 3. These discussions are intended to be compact but sufficient to equip the unfamiliar reader with the necessary tools for immersing into the subsequent sections.
2.1. Interchanging energy-momentum, gravity and geometry
Let us begin with some general considerations on the relationship between gravitational theory, energy-momentum and geometry in the Einstein field equations,
, where
denotes the gravitational coupling and the metric signature
will be adopted throughout the article. Suppose the gravitational theory is modified, and the energy-momentum tensor
relates to a modified tensor
rather than to the Einstein tensor
such that

This relation can always be recast as the usual Einstein field equation with the definition of an effective energy-momentum tensor,

where covariant conservation of
and the Bianchi identities imply covariant conservation of
. This ambiguity between modifications in the metric and matter sectors has also been coined the dark degeneracy in [13, 14].
We shall now add another layer of degeneracy, stemming from the choice of geometry. Let us assume the metric
satisfies

for some specified matter content in
. The field equations can now be recast into a different geometry
as

This is merely a mathematical manipulation, simply a substitution of the variable one is solving the differential equation (3) for. Just as with any other differential equation, one may always perform such a change of variable, in this case the metric. The physics remains unchanged. Note, however, that freely falling particles in
no longer follow geodesics for
, which manifests as an additional interaction and breaks a degeneracy for visible matter species between the two frames set by the two different metrics. In contrast, an interacting dark sector is simply receiving additional interactions. Alternatively to equation (4), one could also define modified geometric and matter sectors such as
and
in
or other terms that are equation (3) in disguise. A consequence of these reframed field equations is that one may cast the physics of a system into a spacetime geometry of choice. The implications of that for our physical interpretation and understanding of the observed Universe will be the main subject of this article.
Note that the transformation between the Jordan and Einstein frames of modified gravity models is related to equation (4). Hereby, a metric transformation is applied to recast the field equations
in Jordan frame into Einstein frame with
, where
contains
and contributions from
. Thereby,
and
as well as
and
are covariantly conserved whereas
and
are not.
Finally, one may also impose a specific matter content and invert equation (1). For that, assume the following field equations hold for
,

One can now enforce a different matter content
such that

For example, one may want to evade invoking dark matter and/or dark energy to explain our observations and rather interpret them as some effective components attributed to an underlying modification of gravity. Equation (6) implies that one can in principle construct such a modified gravity model which will be phenomenologically equivalent to ΛCDM. It can be obtained from including dark matter and/or dark energy in
but not in
. The intricate part is to find
as a function of
so that the procedure is universal, and when adopting a different metric than
to describe some other gravitating system, the predicted phenomenology of this new system remains invariant, or at least it should remain compatible with the measurements of that. Of course, for the model to be falsifiable, one would hope that this invariance is broken in some systems.
Instead of specifying the matter content in equation (6), one could enforce a specific modified tensor
and adapt the energy-momentum tensor accordingly. One may also specify the matter content and the metric and construct the tensor
valid for that. Generally, one can specify any two components between (modified) Einstein tensor, energy-momentum tensor and metric by adaption of the third.
The form of the tensors on either side of the field equation (1) is thus not a useful discriminator for the classification between dark sector, interacting dark sector and modified gravity models. Instead, the distinction can be drawn upon whether the matter species of a theory satisfy the strong and weak equivalence principles [15]. The dark sector in Einstein's Theory of General Relativity satisfies both the weak and strong equivalence principles whereas interacting dark sector models break both. Modified gravity models satisfy the weak equivalence principle as a metric can be found, typically the Jordan frame, to which all matter species couple universally and along which they freely fall whereas they break the strong equivalence principle since this circumstance depends on a body's composition. It is not necessary, and arguably not more natural, to cast the gravitational theory in the (Jordan) frame where (some) matter species couple minimally to the metric, and physical equations and interpretations may sometimes be more practical in Einstein frame. The same applies for the geometric transformations in equation (4).
2.2. Transformations and decomposition of the metric
To recast the Einstein–Hilbert action and the Einstein field equations into different geometries, particularly into Minkowski spacetime, the metric decomposition will be performed employing combinations of conformal transformations and dimensional reduction. For completeness, the details of these transformations shall be provided here. Readers familiar with Riemannian geometry may want to skip this section.
Generally, for the conformal transformation of a N-dimensional metric
with the conformal factor Ω2,

the Ricci tensor and curvature transform as


The Einstein tensor
transforms accordingly.
For the dimensional reduction, consider a warped spacetime metric in
dimensions,

where Greek indices run over n + m dimensions, lowercase Roman letters over
dimensions and capital Roman letters over
co-dimensions. The Ricci tensor and curvature can then be decomposed as


The conformal transformations (7) and (9) will be applied to the Einstein–Hilbert action in section 2.3. The application of the dimensional reduction of
and R to the action can be conducted analogously to [16] and shall not be performed explicitly here (see, however, sections 3.2–3.4 for an implementation in the matter sector).
2.3. Conformally reframed Einstein field equations
For a concrete example of how the Einstein–Hilbert action and the Einstein field equations transform under the metric modifications of section 2.2, consider the general conformal transformation
of the
-dimensional metric
. The Einstein–Hilbert action for
reads

where
is the Lagrangian density of the matter fields
. Under the conformal transformation this becomes

where the matter sector is given by

Note that the matter fields are no longer minimally coupled to the metric (see section 2.1).
For simplification, one may define
to arrive at the action

with volume element
and potential

Variation of equation (16) with respect to the metric
yields the Einstein field equations

where
is the energy-momentum tensor in the transformed frame with
and
.
relates to its analogous expression
from equation (13) as
and its trace transforms as
.
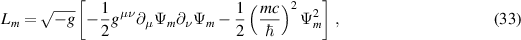
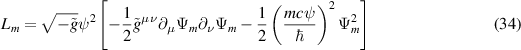
The action (16) and field equations (18) resemble those of a scalar-tensor modification of gravity, where conformal transformations are used to convert between the Einstein and Jordan frames. Note, however, that for scalar-tensor theories, these frames interchange minimal and non-minimal couplings to the tensor field between the metric and matter sectors whereas the conformal transformation from equations (13) to (16) introduces a non-minimal coupling in both sectors, initially not coupled to ψ. We shall thus refrain here from using the terminology of Einstein and Jordan frames to avoid confusion.
Varying the action (16) with respect to ψ yields the field equation

Finally, note that the energy-momentum tensor is not conserved in the transformed frame,

3. Casting cosmology into Minkowski space
Our Universe is well described by a perturbed expanding spatially homogeneous and isotropic spacetime metric. The metric hereby is the solution of the Einstein field equations. Just as with any other differential equation, one can always make a substitution of the variable, in this case the metric, one solves the equation for. This is merely a mathematical manipulation and does not make any changes of the underlying physics (see section 2). But by performing transformations of the metric, one can ask whether a more useful metric, or variable, can be found by substitution that simplifies the equations or allows for some insightful physical interpretation. A special place among the spacetimes one could transform the cosmic geometry into is occupied by the Minkowski metric, being static and flat as well as the spacetime of special relativity and quantum field theory or indeed the entire Standard Model. It is thus worthwhile studying cosmology in the Minkowski frame. With the metric transformations discussed in section 2, we shall hence proceed with casting cosmology into Minkowski space (see section 4 for other choices).
In section 3.1, the expanding spatially homogeneous and isotropic spacetime of the cosmic background is first cast into a static spacetime by conformal transformation. The Friedmann equations, the evolution of energy densities, and redshift are rederived in this static frame. Section 3.2 then employs the combination of conformal transformations and dimensional reduction of the metric to further cast the static spacetime into Minkowski space in the presence of spatial curvature. The transformations are then generalised to cast inhomogeneities from cosmic structure into Minkowski spacetime in section 3.2. Finally, an extension of this procedure to gravitational waves is briefly discussed in section 3.4.
3.1. Cosmology in static spacetime
The
-dimensional spatially homogeneous and isotropic expanding cosmological background is described by the Friedmann–Lemaître–Robertson–Walker (FLRW) line element

where t denotes cosmic time, a(t) is the scale factor and
with spatial curvature k. Cast in conformal time τ, equation (21) becomes

where
. Hence,
acts as a conformal factor in equation (22).
For simplicity briefly assuming the absence of spatial curvature (k = 0), the metric
for
in equation (22) becomes

where
is the Minkowski metric. Thus,
is a conformal metric transformation of Minkowski spacetime with conformal factor
. The inverse conformal transformation
can then be used to cast the Einstein–Hilbert action into Minkowski space. One may set
,
, and
in equation (16) to arrive at

with
.
It is worthwhile noting that action (24) also holds for k ≠ 0, in which case, however, ψ becomes both time and space dependent. This is due to the FLRW metric generally being conformally flat with vanishing Weyl tensor, and so
with k ≠ 0 for suitable coordinate choices T and R [17–20]. Section 3.2 will present a different approach to recovering the gravitational action and field equations in Minkowski space for scenarios with k ≠ 0.
Consider now the conformal transformation (7) of the metric
defined by the line element (21), allowing k ≠ 0, with
such that
is static. Importantly, as highlighted in section 2.1, given that this is merely a mathematical transformation, observed physical relations should remain unaffected by the transformation. Indeed, as shown in the following, despite the static cosmological spacetime, the Friedmann equations and the evolution of energy densities (section 3.1.1) as well as redshift of distant emissions (section 3.1.2) are recovered.
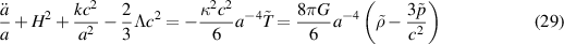
3.1.1. Friedmann equations and energy density.
Using equations (7) and (21) with
, one finds
,
and
from equations (11) and (12). Hence, for the 00 component in equation (18), one obtains


where
denotes the Hubble function and dots indicate derivatives with respect to cosmic time t throughout the article. The ii component and equation (26) imply


Hence, one recovers the first and second Friedmann equations.
Furthermore, equation (19) yields


which may also be obtained from combining equations (26) and (28). Finally, equation (20) yields


with equation of state
. Relations (31) and (32) provide evolution equations for the energy densities that are consistent between both frames such that the Friedmann equations and the evolution of the scale factor with cosmic time t remain invariant under the transformation.
Note that in the frame of
, the radiation energy density
is constant whereas the energy density associated with the cosmological constant
scales as a4 and that of matter
as a. Importantly, the relation of particle masses to the CMB radiation temperature remains invariant between the two frames due to the evolving masses in the Minkowski frame (see section 3.1.2), and particles become non-relativistic at the same time. Likewise, the relation of emitted photon energies to temperature remains invariant. Finally, it is also worthwhile noting that the evolution of
and the evolution of the energy densities can be recovered without the Einstein field equations and thus the metric variation of action (16), only using equations (19) and (20).
3.1.2. Redshift.
Importantly, as shown in the following, despite the static geometry of the Universe in section 3.1.1, cosmological observations are still redshifted. However, rather than due to the expanding space, redshift is caused here by evolving particle masses [21, 22] (also see [23]). Thus, a photon emitted in the past as the result of some atomic line transition will be redshifted with respect to the measured emission of the same transition in our local, present laboratories. Photons still follow null geodesics in the conformally transformed frame [22] and our detectors measure them at their emission frequencies.
To illustrate the evolution of masses, consider a matter field with the simple Lagrangian

which yields the field equation
. After conformal transformation, this becomes

and

where one may define the evolving mass
in this frame. This evolution of
is also more generally found for spinor fields interacting with a vector field in curved spacetime [21, 22] and has important implications for our observations.
Consider for example the transition lines from an ni state to an nf state of a hydrogen atom, for which one finds

The redshift
is given by the ratio between the energy emitted from this transition as observed in the laboratory
and the frequency observed from this transition occurring at a distant galaxy
. One finds

using that the photon frequency does not change with its propagation through Minkowski space,
. Inversely, one has

This implies that redshift is invariant between the two frames, as expected for an observable quantity, and is determined by the ratio between the generally spacetime dependent
evaluated at source and observer.
Specifically, for the spatially homogeneous and isotropic case,
and
, and thus

Note that redshift is also recovered for gravitational wave emissions, which is also attributed to the evolution of masses [22], where massless gravitons, like photons, still follow null geodesics in the conformally transformed frame.
3.2. Spatial curvature
As pointed out in section 3.1, spatially curved FLRW metrics have vanishing Weyl tensor and are thus conformally flat. They can therefore be written as
for suitable coordinate choices T and R [17–20]. In principle, one could thus directly apply the conformally reframed Einstein field equations of section 2.3. Another procedure to transform the gravitational action and field equations into Minkowski space is to perform a combination of dimensional reduction and conformal transformations.
Specifically, the static line element obtained after the conformal transformation in section 3.1.1 is given by



where hyperspherical coordinates are adopted in the second line and the coordinate change
is performed in the third. Note that for k = 0,
and hence
. To now cast the Einstein–Hilbert action (16) for
and
with k ≠ 0 into Minkowski space, one can apply equation (10) to perform the dimensional reduction of
to separate out the spatial Ricci scalar
in the action and subsequently perform a conformal transformation of
with
.
The procedure shall not be carried out for the metric sector here. Of interest is rather the transformation of the matter sector. Revisiting the toy matter Lagrangian (34), one finds in Minkowski space with Cartesian coordinates the scalar field equation


where
. Spatial curvature may thus be interpreted as a varying length scale
in Minkowski space. Note that for flat space k = 0,
and ξ = 1, so that
.
3.3. Cosmic structure
Our Universe is of course not perfectly spatially homogeneous and isotropic, and cosmological metric perturbations are typically not conformal (see sections 4.3 and 5.2 for conformal perturbations). But performing an analogous procedure to that of section 3.2, one may also recast the Einstein–Hilbert action for the perturbed Cosmos into Minkowski space.
For that, consider the metric
defined by the line element

which for
,
and
,
becomes the usual linearly perturbed FLRW line element in conformal Newtonian (or longitudinal) gauge and conformal time,

For the following discussion, the perturbations may not need to be linear, however. Note that
may not be flat (k ≠ 0), in which case a factor
from equation (44) can first be absorbed into eβ
. Next, one can apply the conformal transformation
, then perform the dimensional reduction to
and the conformal transformation of that with
such that the Einstein–Hilbert action is recast into Minkowski space.
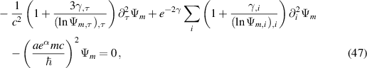
We shall again refrain from computing the resulting metric sector for this frame and instead focus on the scalar field equation for
. The transformations yield


in Cartesian coordinates, where
. Hence, one encounters a variation of time ι, length
, and mass scales m for the field
in Minkowski space. Note that one could also recast equation (48) as a varying speed of light
and/or a varying Planck constant
. Similarly, one would interpret the variation of
as a variation of Newton's gravitational constant.
Importantly, the same metric transformations performed on the metric part of the action (and on the other matter fields) will leave physics invariant. Predictions for observable quantities will remain the same, but interpretations may change such as for the redshift in section 3.1.2. For a loose analogy, consider the observed angular positions of planets in the sky, whose predicted motions are unaffected by whether we adopt a heliocentric view or an exact transformation of that into geocentric coordinates. The heliocentric system provides a much simpler and universal physical picture than the resulting epicycles, but one would not adopt heliocentric coordinates to describe a small-scale experiment in a laboratory on Earth. Similarly, the FLRW metric may not be optimal for describing small-scale physical processes in our nonlinear Universe, and a change of mathematical frame may become more suitable (see section 5).
It is worthwhile noting that if not performing the analogous transformations in the metric sector, or only performing them in the metric but not in the matter sector, one does modify physics. For instance, if not applying the conformal transformation for the matter sector in equation (16), one recovers a scalar-tensor modification of gravity. One may furthermore consider non-universal couplings of different matter species to this conformal factor, thereby breaking the weak equivalence principle [15] (see section 2.1). This multitude of possibilities motivates generally testing, across the vast spacetime, for phenomenological variations in the effective time, length and mass scales of the observed behaviour of different matter species as in equation (48), or likewise in the fundamental couplings. Note in this context that while the Minkowskian picture is physically equivalent to the standard cosmological picture both at the classical and quantum level [24] and observationally indistinguishable from it, it offers a different basis for theoretical extensions. These may appear more natural in one picture over the other and if verified, could favour one framework over the other.
3.4. Gravitational waves
Finally, consider the symmetric traceless tensor perturbation hij
of
in equation (45). This term will remain in
after the transformations of sections 3.2 and 3.3. To then cast the Einstein–Hilbert action into Minkowski space, one may perform a metric transformation of the form
. With suitable transformations and coordinates, this amounts to simply separating out the tensor field hij
in addition to the scalar fields from the three and four-dimensional conformal transformations. One can see from equation (48) that this will lead to oscillations in time and length scales. Since gravitational waves are not studied further in this article, a more detailed calculation is left to future work.
4. Casting cosmology into other backgrounds
The transformations of section 2 have been used in section 3 to cast cosmology into static spacetime and then further into Minkowski space. The target cosmological background may however not need to be Minkowski space. For illustration, in section 4.1, our Universe is cast into Einstein-de Sitter spacetime, which will provide room for a reinterpretation of dark energy. In section 4.2, it is cast into a de Sitter background, which will allow for a reinterpretation of dark matter. Section 4.3 then casts nonlinear inhomogeneities of the metric into a smooth spacetime with implications for the Hubble tension.
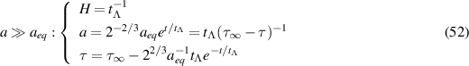
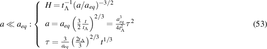
For simplicity, in the following, radiation will be neglected and a vanishing spatial curvature is assumed (k = 0), but results can be generalised for the presence of those. For a ΛCDM cosmology, one has


where aeq
denotes the scale factor at equality between the energy densities in matter and in the cosmological constant, and
is the time scale associated with the cosmological constant. Specifically,

where the matter density parameter is defined today t0 with
. Of interest here will be the two limits of Λ and matter domination,


for the late-time de Sitter and early-time Einstein-de Sitter eras, respectively.
Rather than transforming the FLRW metric with scale factor
into static spacetime, the conformal factor ψ−2 is now used to cast the Universe into another FLRW metric with different expansion
. Thus,
such that

Importantly, it follows from equation (35) that the mass of the matter field
is now evolving as

Furthermore, while conformal time τ remains the same, cosmic time changes due to the conformal transformation,
.
For convenience, in the following, the indices 'ΛCDM' and 'target' will be dropped.
4.1. Einstein-de Sitter background
In an Einstein-de Sitter Universe, the scale factor evolves as
. Since ΛCDM is Einstein-de Sitter at early times, in the limit of
, one has
and
. The scale factor can be normalised at aeq
as in equation (49). Given the absence of an era of Λ domination, in Einstein-de Sitter spacetime, aeq
can be thought of as a normalisation for when
falls below a given threshold Λ. It follows that at early times,
, and at late times,

approaching infinity in finite conformal time
.
Hence, cosmic acceleration can be interpreted in this frame as increasing and diverging particle masses that start to evolve once cosmic time approaches
set by the threshold Λ.
4.2. De Sitter background
In de Sitter spacetime, one has a constant Hubble function
, the scale factor evolves as
, and conformal and cosmic times relate as
. Normalising
by suitable choice of ψ, one finds that
at late times and

at early times.
Hence, similarly to interpreting dark energy as the late-time divergent increase of particle masses, in this frame, one may interpret dark matter as the effect of an early-time increase of particle masses with τ2 that converges to a constant mass m at late times.
4.3. Nonlinear inhomogeneities
Rather than casting the cosmic structure encompassed in the nonlinearly perturbed FLRW metric (45) into Minkowski space, one may cast it into smooth FLRW spacetime instead. This will lead to a similar interpretation of changing mass, length and time scales as in section 3.3, which vary locally with respect to the cosmological background.
The following discussion will focus on conformal inhomogeneities, which are a special type of nonlinear inhomogeneities that have not been studied in much detail. Particularly, in [25, 26], they were proposed as a simultaneous solution of cosmological tensions in the measured Hubble constant H0, the amplitude of matter fluctuations σ8, and the amplitude of CMB lensing AL , which would be found from residing in a local conformal void. The nonlinearly conformally perturbed FLRW metric has also been dubbed Conformal FLRW (CFLRW) cosmology in [27].
Consider the scenario where we occupy a local conformal inhomogeneity in a ΛCDM FLRW (or CFLRW) Universe such that
with conformal factor C2. Proceeding as in sections 4.1 and 4.2, let the target cosmology be a smooth ΛCDM FLRW metric,
. This implies the evolution of masses in this frame as

Equations (37) and (38) imply that redshifts relate as
, where the conformal factor
is defined at the spacetime location of the observer and
is the redshift one would obtain if both source and observer resided in the smooth background. Defining masses at the location of the observer, one has

For a simple application, one may adopt a top-hat inhomogeneity of radius R with
, where
. At the spacetime location of the observer,
, and for a source outside the top hat in the smooth background,
. In this case, masses evolve as
and redshifts relate as
.
This implies that if assuming particles, or larger massive objects, to be located in the smooth cosmological FLRW background, one ought to correct for the local evolution of their masses and adapt redshifts accordingly to correctly interpret observations.
Let us briefly consider the consequences of failing to do so. The matter contribution to the Hubble function in the background is given by

Importantly, as discussed in section 3.1.2, one observes the frame-invariant redshift
and not
. Thus, wrongly assuming
for a source outside the top hat with background density
will give
rather than the Hubble parameter
. Hence, if we reside in a conformal top-hat underdensity
and interpret our observations by placing ourselves into the smooth cosmological background instead, we infer an enhanced effective Hubble parameter. Specifically, a ∼10% enhancement of
requires a ∼20% conformal underdensity [25, 26]. Note that the size of the conformal void R does not need to be large to change the inferred Hubble parameter as opposed to that of conventional voids. A diameter of a few tens of megaparsecs may be sufficient [25, 26]. This scenario will be further investigated in section 5.2.
5. Applications
Casting cosmology into Minkowski space in section 3 has revealed a reinterpretation of cosmic expansion as an evolution of particle masses with time (also see [23]) and more generally, a variation of time, length and mass scales across spacetime for a perturbed and spatially curved Cosmos. Alternatively, adopting Einstein-de Sitter and de Sitter backgrounds in sections 4.1 and 4.2 suggested an interpretation of dark energy and dark matter as evolving particle masses that respectively diverge and converge with proceeding age of the Universe. As described in section 4.3, conformal inhomogeneities defined by a conformal factor separating them from the smooth cosmological background offer a potential solution to the Hubble tension (also see [25, 26]).
The applications of geometric transformations of the cosmic spacetime are manifold, and the following discussions will adumbrate a few particularly promising ones. In section 5.1, the cosmological constant problem is revisited in the cosmological Minkowski frame of section 3. Section 5.2 further examines the conformal inhomogeneities and in particular a local conformal cosmic void as a simultaneous solution of the H0, σ8, and AL tensions and identifies further observable implications of those. Finally, in section 5.3, candidates for dark matter, inflation and baryogenesis are identified that emerge from the formalism of section 3.1. It should be emphasised that the discussions provided here are far from exhaustive and should thus only serve as stimulus for further investigation.
5.1. Naturalness of the cosmological constant
In light of the importance of the cosmological constant problem (section 1), it is worthwhile revisiting it in the Minkowski frame of section 3 for a possible reinterpretation of the problem. Section 5.1.1 examines the naturalness of the value of the cosmological constant for the Universe cast into Minkowski space. Section 5.1.2 inspects the consistency with the gravitating ground state energy density from canonical quantisation in this frame. In this process, the scale factor of the metric will be treated as a scalar field and quantised. It should be emphasised, however, that one could instead proceed analogously with the quantisation of a matter field
as given by equation (33) to arrive at the same conclusions.
5.1.1. The scale factor as a scalar field.
For the following discussion, let us for simplicity assume
and
and redefine
in equation (16). Note that the new field ψ must not need to be imaginary as one may also take
, representing a rotation of metric signature, such that
remains real. This gives the scalar field action

where
. The scalar field equation becomes

where one may identify the effective mass
. More formally, consider a small perturbation δψ around
such that
. Additionally making the field redefinition
, the potential can be rewritten as
. Variation of the action with respect to χ yields the field equation
with the Klein–Gordan mass given by
. The mass associated with the field ψ thus varies as

This time dependence of m has important implications for the question of the naturalness of Λ as inferring its value from a mass scale,
, implies a choice of a.
Consider the Planck time tp
with
and the present t0 with
. Let us furthermore normalise the scale factor at Planck time,
(one could also normalise masses as
instead), and assume that the volume of our currently observable Universe originated from a Planck volume at Planck time
with Planck length
. Our observations imply
. For a Plank mass mp
of the field ψ today,
, one therefore finds

Thus, in this frame, Λ takes on a natural value set by the Planck scale and the size of the present Universe.
This may not seem surprising given that we are located at an era of equality between Λ and
, where the size of the Universe is set by the scale of Λ,
. Importantly, however, one should consider
as the fundamental mass scale whereas the field mass mχ
is subject to the time of evaluation of a(t) in equation (63) and only becomes mp
at a0. The fact that
is therefore attributed to the coincidence or Why now? problem of why
today whereas these energy densities differ by orders of magnitude in the past and future of the Universe. To make this connection, note that
. Matter domination implies
and when Λ dominates,
. Hence, at matter-Λ equality,
such that
.
A solution to the coincidence problem in turn is provided by anthropic considerations. This can simply be in the sense of an observer's bias on the observer's location in cosmic history without the need to invoke a multiverse. For that, assume a Universe configured by the fundamental mass scale given by
and the matter energy density ρm
at their observed values. As described in [28], this Universe produces a star formation peak at the age of
Gyr whereas terrestrial planet formation peaks at
Gyr, making Earth a typical sample from this distribution. If the time it took on Earth to develop observers can be considered typical, the most likely epoch for observers to emerge in the Universe is around the equality between Λ and
, setting
,
and
.
Thus, neither the observed value of Λ nor the comparable size of
today seem problematic in Minkowski space.
5.1.2. Canonical quantisation of the scale factor.
For completeness, let us compute Λ from the ground state energy density attributed to canonical quantisation of the field ψ. For the Lagrangian density
in equation (62), the canonical momentum and classical Hamiltonian are given by

where the model is quantised with the commutator

As in section 5.1.1, we shall define the Klein–Gordan field χ with mass mχ
for small perturbations around
. The ground state energy density for that is

Taking mχ as the ultraviolet cutoff, one obtains

For the gravitating vacuum energy density in Minkowski space, one therefore has

Since
(see section 3.1), one recovers

5.2. Observed cosmological tensions
A conformal transformation was used in section 4.3 to cast a Universe where we occupy a conformal top-hat inhomogeneity into one where we reside in the smooth cosmological FRLW background geometry. The implication of that was that masses of particles and larger objects as well as redshifts would rescale with the local density field. Failing to account for these modifications shifts inferred cosmological quantities such as the cosmic expansion rate. References [25, 26] showed that corrections from residing in a local conformal cosmic void of
underdensity of a few tens of megaparsecs in diameter simultaneously solves the current tensions between measurements of the Hubble constant H0 as well as of the amplitude of matter fluctuations σ8 and restores a preference for a consistent CMB lensing amplitude of
(section 1). Specifically, in the frame adopted in [26], the local CMB temperature T0 deviates from that of the cosmological background
as
, which changes parameters inferred from the CMB, particularly lowering σ8 and AL
and increasing H0. Allowing for spatial curvature, Planck, baryon acoustic oscillations and H0 data then prefer an open and hotter Universe at
[26].
The framework established in sections 2–4 can be used to study further properties and observable signatures of conformal inhomogeneities. In the following, section 5.2.1 will focus on their nonlinear evolution whereas section 5.2.2 will explore the linear limit, where observable signatures will be highlighted for both regimes.
5.2.1. Conformal cosmic void.
Consider a local conformal top-hat inhomogeneity with scale factor
of a smooth FLRW background metric with scale factor a. Following section 4.3, this defines the conformal factor
. Using the second Friedmann equation (28) both for
and a, one recovers the spherical collapse equation,

where dots denote derivatives with respect to the cosmic time t of the smooth FLRW background,
. Note that while conformal times between the two frames agree, cosmic times do not,
. The evolution of δ and thus of
can be solved for setting the initial conditions at
in the matter-dominated regime, where
. The interior of the conformal top-hat inhomogeneity thus evolves as a usual top-hat density contrast. This is not surprising in light of Birkhoff's theorem. Density perturbations can be viewed as separate universes with different background density and curvature. For a top-hat density perturbation this becomes manifest adopting Conformal Fermi Coordinates [29]. Also recall from section 3.1 that any smooth FLRW metric describing the interior of the top hat has vanishing Weyl tensor and is thus conformally flat.
Besides the impact of a local conformal void on currently measured cosmological parameter tensions, the presence of conformal perturbations can have further observable implications. Revisiting the relation of measured redshift z to its background counterpart
in section 4.3,

one can see that redshifts are not only impacted by the environment of the observer but also by that of the sources, where both satisfy the evolution equation (71). Particularly, this implies that photons emitted from galaxy clusters (
) and detected in our underdense environment (
) may be significantly more redshifted than expected from
. As a consequence, one may attribute larger distances and older ages to observed galaxies in clusters, and consequently find larger masses and population sizes for those than expected. This effect may offer an explanation for recent observations [30–32]. Of course, the local underdense environment may also lead to astronomical signatures in our immediate neighbourhood, and it is worthwhile noting that measurements of nearby galaxy groups [33], clusters [34] and peculiar velocities [35] indeed seem to indicate such an underdense local region.
In view of these effects, one may wonder about the nature of the coupling of matter fields with the local scale factor at a source
suggested by equations (16)–(20). After all, photon-emitting sources typically lie in virialised regions, which have decoupled from the cosmic expansion, or inside compact bodies, and so
at the immediate location of the emitting particle process. Likewise,
at the immediate position of our detectors. However, when observing sources from virialised regions that are detached from ours, an expansion takes place between them. In the non-expanding frame, the coupling hence corresponds to an effective coupling of the entire virialised region to the evolving scale factor of its environment and of that to the cosmological background or the space separating this region from ours. This coupling can then be viewed as acting on the individual particles composing those regions. Schematically, one has
, where
and
may represent a composition of environments,
.
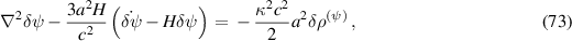
5.2.2. Linear cosmological perturbations.
To explore further observable signatures attributed to the presence of conformal inhomogeneities in the Cosmos, one may resort to linear perturbation theory. For that, consider the linearised conformal factor
, where
, acting in front of the linearly perturbed FLRW line element in conformal Newtonian (or longitudinal) gauge, equation (46). Operating in the linear regime, one may simply absorb the conformal factor by defining the new potentials
and
. The usual linearly perturbed Einstein field equations apply for
and
. Importantly, however, the notion of cosmic time may change with the absorption of the conformal factor,
. Given linearity, one may split the perturbed energy-momentum tensor as
, where
determines Ψ and Φ. Thus, the linearised field equations for δψ become




where the density perturbation
, the divergence of the fluid velocity
, the pressure perturbation
, and the shear (or anisotropic) stress
describe the fluid giving rise to the conformal inhomogeneity. Energy-momentum conservation implies


where
denotes the sound speed squared.
It should be emphasised again that dots represent here derivatives with respect to the cosmic time
rather than
, which can give rise to effective fluid perturbations. To illustrate this point, consider separating off a fraction of the scale factor of the smooth FLRW metric as
such that
and
everywhere. Equations (73) and (75) then directly follow from the linearised first and second Friedmann equations (26) and (28), respectively, under the transformations of the scale factor and of cosmic time, where
and
are the density and pressure perturbations attributed to
. For instance, one may separate out a different background matter density
(see section 2), giving rise to an effective density contrast
and
. As another example, given that spatially curved FRLW metrics are conformally flat (section 3.1), one may treat a small spatial curvature as a linear conformal perturbation
of a flat background.
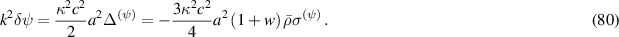
From the field equations (73)–(76), one can already identify some interesting observable implications of linear conformal perturbations without the need for solving the system of differential equations. Consider the fluid comoving density in Fourier space,

Note that for
, this density vanishes,
. Equations (73), (74) and (76) more generally imply

For a matter perturbation, one has
such that the total potential satisfies

Since
, the potentials relate as
and

For the lensing potential, one finds

Thus, lensing remains unaffected by the presence of the conformal inhomogeneity, as expected for a conformal factor, whereas dynamic, or kinematic, effects such as clustering are modified in equation (82). The conformal inhomogeneity acts like an effective modification of gravity with


Thus, for clusters with
and for
, this implies that cluster masses inferred dynamically, or kinematically, Mdyn
, are underestimated compared to masses inferred from lensing, Mlen
. This mass bias is indeed observed but typically associated with deviations from hydrostatic equilibrium affecting the estimations of Mdyn
[36]. The growth suppression µ < 1 in equation (84) may also act to lower σ8 as preferred by galaxy surveys [9]. Note that in contrast, modified gravity models typically produce µ > 1 as well as
[37] for theoretical stability reasons [38]. It is also worthwhile noting that for conformal inhomogeneities,
may also be negative, for example in voids, such that µ > 1 and
instead.
5.3. Dark matter, inflation and baryogenesis
In section 4.2, an interpretation of dark matter as the effect of an early-time convergent increase of particle masses was given. Similarly, as discussed in section 4.1, dark energy could be interpreted as the late-time divergent increase of particle masses. These interpretations were motivated by the change of the cosmic geometry into de Sitter and Einstein-de Sitter space, respectively. In the following, another candidate of geometric origin for dark matter as well as for inflation shall briefly be explored, which is motivated from treating the scale factor as a scalar field as in section 5.1.
Let us revisit the action (61), which for the field
becomes

where
and
. Instead of the Minkowski space in section 5.1, however,
shall describe an evolving smooth FLRW background obtained after a conformal transformation, for example, of a conformal inhomogeneity similar to section 4.3. Thus, δψ describes the perturbation of the relative scale factor around
. In the interior, the field is only time dependent such that the scalar field equation implies

Equation (87) suggests that χ may act as an axion [39]. Let us assume the initial condition
. For
, the axion field is overdamped and frozen to its initial value with an equation of state of
such that it may act as dark energy or drive inflation. For
, the axion field is underdamped, oscillating around
with energy density
. Hence, in this case, it may act as dark matter.
Finally, the transformed action (16) could also have implications for baryogenesis, irrespective of the axion treatment, where couplings could introduce a CP violation causing baryogenesis [39]. For this, consider quantum gravity corrections in the action such as the term R2. Besides being a potential source of inflation [40], this term can also provide a coupling relevant to baryogenesis in the conformally transformed action. Specifically, with equation (9) one finds from integration by parts the term

defining the current
with equation (20), where
can be non-vanishing with equation (19). This is reminiscent of the CP-violating coupling
for gravitational baryogenesis [41–43], where for a non-conserved baryon-lepton current
net B − L charge is generated.
A more detailed analysis of equations (87) and (88) is left for future work.
6. Conclusions
Despite the resounding success of the standard cosmological model (ΛCDM) in reproducing our wealth of cosmological observations, there remains a number of unexplained larger and smaller tensions among the cosmological model parameters inferred from our different data sets. Besides these observational tensions, significant gaps persist in our theoretical understanding of key ΛCDM ingredients. The cosmological constant problem, the nature of dark matter and inflation, or the origin of the matter-antimatter asymmetry in the Universe constitute particularly important and profound enigmas among them. Both these observational and theoretical challenges motivate the development and search for new physics. In contrast, a less radical approach to venturing beyond the Standard Model is the simple mathematical reformulation of our theoretical frameworks underlying it. This can offer reinterpretations and possibly even solutions of these problems.
This article explored the implications of casting cosmology into different spacetime geometries by a combination of conformal transformations and the dimensional reduction of the cosmological spacetime metric applied to the Einstein–Hilbert action and Einstein field equations. Although simply a mathematical manipulation that leaves physical measurements unaffected, new perspectives on the observational and theoretical challenges to ΛCDM were attained. A particular focus was thereby placed on casting cosmology into Minkowski space. Clearly, the Minkowski metric occupies a special place among the metrics one could transform the cosmic geometry into. It is static and flat as well as the spacetime of special relativity and quantum field theory or indeed of the entire Standard Model.
Applications of the formalism developed here are manifold, and the article has identified a number of those, which shall briefly be summarised in the following. It should be emphasised, however, that the discussions provided in this context were far from exhaustive and are meant to serve as inspiration for further work on Minkowskian cosmology.
- (1)Rather than due to an expanding Cosmos, observed redshifts to distant galaxies can be interpreted as the evolution of particle masses after conformal transformation of the FLRW metric into static or Minkowski space. This recovers the Friedmann equations and the evolution of energy densities, and importantly, leaves measurements such as redshifts invariant.
- (2)The transformation into Minkowski space can be performed even in the presence of spatial curvature. This can either be achieved with a conformal transformation adopting suitable coordinates in which the vanishing Weyl tensor and thus the conformal flatness of the spatially curved FLRW metric becomes apparent or through the combination of dimensional reduction and conformal transformations of the metric. In this case, spatial curvature can be interpreted as varying length scale. Alternatively, small spatial curvature may also be treated as an example of a linear conformal inhomogeneity.
- (3)Following a similar procedure to the decomposition of the spatially curved FLRW metric, cosmic structure and gravitational waves can be viewed as distortions and oscillations of mass, length, and time scales in the Minkowski frame. Alternatively, these distortions may be interpreted as the variation of the speed of light, the Planck constant and the gravitational coupling.
- (4)A particularly promising application of the framework was identified with casting the cosmological constant problem into Minkowskian cosmology. Specifically, in the Minkowski frame, Λ was found to take on a natural value set by the Planck scale and the size of the present Universe. This value is furthermore consistent with the gravitating vacuum ground state energy density obtained from canonical quantisation of the scale factor with cutoff at the evolving Planck mass. This reduces the cosmological constant to the Why Now? or coincidence problem, for which anthropic arguments can be invoked as remedy. This can be in form of a simple observer's bias for our location in cosmic history that does not necessitate a multiverse.
- (5)Geometric candidates for dark matter and dark energy also naturally emerge from the formalism. For example, adopting an Einstein-de Sitter and de Sitter background suggested an interpretation of dark energy and dark matter as evolving particle masses that respectively diverge and converge with proceeding age of the Universe. Another geometric dark matter candidate arises from treating conformal inhomogeneities in the scale factor as a scalar field. This field can behave as an axion and could act as dark matter or dark energy.
- (6)Geometric candidates for inflation and baryogenesis constitute another application. Besides serving as dark sector candidate, the geometric axion field also offers a promising candidate for inflation. Couplings to the field may furthermore introduce a CP violation that could give rise to baryogenesis. Another interesting candidate is found in the Minkowski frame of a possible R2 term in the Einstein–Hilbert action that can arise from quantum gravity corrections. Besides offering a source for inflation, the transformed action contains a term that resembles that of the CP-violating coupling of gravitational baryogenesis.
- (7)Finally, the presence of conformal inhomogeneities in our Universe can offer a simultaneous solution to the Hubble tension, the discrepant measurements in the amplitude of matter fluctuations as well as the preference for a non-standard lensing amplitude in CMB anisotropies, provided we are located in an underdense conformal region of space. Conformal inhomogeneities can furthermore enhance redshifts to distant galaxies, causing larger distances and older ages to be attributed to galaxies in clusters and consequently larger masses and population sizes than otherwise expected for those. Another effect is a mass bias for the inferred masses of galaxy clusters, where masses inferred from lensing are larger than those inferred dynamically or kinematically. It is worth highlighting that these predictions agree qualitatively with trends identified in current observations and may thus be worthwhile further investigating.
There is good reason to expect that this list of applications is far from exhaustive. For instance, one may also employ the formalism for the conformally flat interior of black holes and stars to gain a new perspective on the physical nature of those. Moreover, for a Schwarzschild or Schwarzschild-de Sitter black hole, one can perform the analogous change of coordinates to equations (40)–(42) such that their metrics assume the form of equation (45). From equation (47) it then follows that
for the mass of a test particle, which vanishes at the horizon rs
for
. The changes of time and length scales can be worked out accordingly. Further applications may include the exploration of the Minkowski picture in the Palatini formalism or its generalisation to teleparallel gravity [44, 45] and other extended theories of gravity [11, 15]. The discussion provided here on the applications of the formalism only served as brief adumbration of those, intended as a basis for further work on Minkowskian cosmology. The promising implications highlighted in this context certainly suggest that this will be a worthwhile endeavour.
Acknowledgments
The author thanks Charles Dalang and Gaëtan Brunetto for useful discussions. This work was supported by a Swiss National Science Foundation (SNSF) Professorship Grant (Nos. 170547 & 202671).
Data availability statement
No new data were created or analysed in this study.