ABSTRACT
Three giant flares have been detected so far from soft gamma-ray repeaters, each characterized by an initial short hard spike and a pulsating tail. The observed pulsating tails are characterized by a duration of ∼100 s, an isotropic energy of ∼1044 erg, and a pulse period of a few seconds. The pulsating tail emission likely originates from the residual energy after the intense energy release during the initial spike, which forms a trapped fireball composed of a photon-pair plasma in a closed-field-line region of the magnetars. Observationally the spectra of pulsating tails can be fitted by the superposition of a thermal component and a power-law component, with the thermal component dominating the emission in the early and late stages of the pulsating-tail observations. In this paper, assuming that the trapped fireball is from a closed-field-line region in the magnetosphere, we calculate the atmospheric structure of the optically thick trapped fireball and the polarization properties of the trapped fireball. By properly treating the photon propagation in a hot, highly magnetized, electron–positron pair plasma, we tally photons in two modes (O mode and E mode) at a certain observational angle through Monte Carlo simulations. Our results suggest that the polarization degree depends on the viewing angle with respect to the magnetic axis of the magnetar, and can be as high as Π ≃ 30% in the 1–30 keV band, and Π ≃ 10% in the 30–100 keV band, if the line of sight is perpendicular to the magnetic axis.
Export citation and abstract BibTeX RIS
1. INTRODUCTION
Magnetars are neutron stars with exceptionally strong magnetic fields. The typical magnetic strength of magnetars is of the order of 1014–1015 G, which is higher than the critical magnetic field
and is ∼102–103 times stronger than that of normal pulsars. Historically, they were discovered in two manifestations, i.e., anomalous X-ray pulsars (AXPs) and soft gamma-ray repeaters (SGRs), even though later observations suggested that there seems to be no clear distinction between the two sub-categories. SGRs are discovered in the hard X-ray/soft gamma-ray band characterized by repeating bursts. Eleven SGRs have been confirmed so far (Olausen & Kaspi 2014). Three of them each displayed one giant flare (SGR 0526–66 on 1979 March 5; SGR 1900+14 on 1998 August 27; SGR 1806–20 on 2004 December 27). These giant flares are characterized by an initial short hard spike followed by a pulsating tail (Mereghetti 2008). The initial spike has a duration of ∼0.1 s, and an isotropic energy of 1044–1046 erg. The pulsating tail, on the other hand, shows a decay pattern and is characterized by a typical duration of ∼100 s, an isotropic energy of ∼1044 erg, and a pulsating period of a few seconds (the magnetar spin period). The spectrum of the early spike is characterized by a temperature of T ∼ 100 keV, which is much harder than that of normal SGR bursts. The spectrum of the pulsating tail is softer than that of the initial spike, which may be fitted with the superposition of a thermal component with T ∼ 10–30 keV and a non-thermal power-law component. The decay light curves of the pulsating tail typically show time-evolving, complex pulse profiles.
As pointed out by Thompson & Duncan (1995, 2001), the tail emission likely originates from the residual energy of the explosion that gives rise to the initial spike. Owing to the large energy density and strong magnetic field pressure in the magnetar magnetosphere, the residual energy is confined in the magnetosphere in the form of an optically thick photon-pair plasma named a "trapped fireball." Such a trapped fireball would be the source of the thermal emission component observed in the pulsating tail. The power-law spectral component may be formed from the jets associated with the open field lines that are outside the trapped fireballs (Thompson & Duncan 2001). The structure of the trapped fireball may determine the pulse profile of the pulsating tail. In fact, the magnetars show more complicated pulse structure profiles during the decay phase of the giant flare than during the quiescent phase, the latter of which typically shows a single, broad-peak, nearly sinusoidal pulse shape. For example, the decay phase of the giant flare of SGR 0526–66 on 1979 March 5 showed a double-peak pulse profile (Mazets et al. 1982), the giant flare of SGR 1900+14 on 1998 August 27 showed a complex four-peak profile (Hurley et al. 1999; Feroci et al. 2001), and the giant flare of SGR 1806–20 on 2004 December 27 showed a roughly three-peak profile (Hurley et al. 2005; Boggs et al. 2007). On the other hand, the temperature of the phase-resolved spectra during the decay phase shows a different evolution pattern from the light curve: for SGR 1900+14, the phase-resolved temperature shows two peaks in each period, with the epoch of the highest thermal flux corresponding to the lowest count rate in the light curve (Feroci et al. 1999). For SGR 1806–20, on the other hand, the evolution of temperature seems to track the photon count in the light curve (Boggs et al. 2007). Therefore, the true structure of the trapped fireball is likely very complex. The effective blackbody radius inferred from the data suggests that the radius of the trapped fireball is a few times the magnetar radius (Boggs et al. 2007), which suggests that the trapped fireball should be in the magnetosphere rather than being a hot spot on the magnetar surface. A natural idea is that the trapped fireball is a closed-field region in the magnetosphere (and the non-thermal emission comes from the open-field-line regions). The multi-peak profile of the light curves might be the result of the inhomogeneous distribution of the plasmas within the trapped fireball and the non-thermal jets within the magnetosphere. Due to the complexity of the problem itself, it is not easy to fully understand the mechanism of the giant flares. Nonetheless, a simple model that assumes that the trapped fireball is from a closed-field region in the magnetosphere may catch the essence of the problem.
Polarization is a key element to test theoretical models of the physical processes and geometric structure of magnetars. Unfortunately, none of the three giant flares was detected with a polarimeter, so their polarization properties remain a mystery. Thanks to technological development and funding support, a few X-ray/γ-ray polarimeters are imminent, which would make ground-breaking discoveries to study the underlying physics in many astrophysical objects, such as isolated neutron stars, magnetars, X-ray pulsars, pulsar wind nebulae, rotation-powered pulsars, and millisecond X-ray pulsars (Feroci & Soffitta 2011). For example, in the conventional X-ray band (2–10 keV), polarimeters that are under construction include Imaging X-ray Polarimetry Explorer (IXPE, Weisskopf et al. 2014) and Polarimeter for Relativistic Astrophysical X-ray Sources (PRAXyS, Jahoda et al. 2015). Several detector concepts have been proposed for hard X-rays and soft γ-rays (above 10 keV). For example, there has been an extensive study of the POET (POlarimeters for Energetic Transients) mission concept (McConnell et al. 2014) as well as its extension LEAP (LargE Area Polarimeter). On the other hand, the POLAR detector (Produit et al. 2005; Xiao et al. 2015), a Compton polarimeter designed to measure linear polarization of gamma rays from gamma-ray bursts (GRBs), is scheduled to be launched with the Chinese Space Station Tiangong-2 in 2016. POLAR has a large effective area of 400 cm2 and a field of view covering about one third of the sky. Its energy band covers from 50 to 500 keV, which can cover part of the energy range of the pulsating tail of SGR giant flares. For a total flux larger than 10−5 erg cm−2, POLAR can perform a measure of polarization degree with a relative systematic error ∼10% (Xiong et al. 2009; Suarez-Garcia et al. 2010). It would be an ideal detector for giant flare polarization studies, should such a giant flare occur during its mission period.
Among the available detectors, the Reuven Ramaty High Energy Solar Spectroscopic Imager (RHESSI) is an instrument designed to study the brightest solar flares, which has a polarization-detecting capability (McConnell et al. 2007). Interestingly, the giant flare of SGR 1806–20 on 2004 December 27 was detected with RHESSI (Boggs et al. 2007). However, no polarization study of the pulsating tail emission of this event has been published.
Many authors have calculated the polarization properties of neutron stars. Pavlov & Zavlin (2000) calculated the polarization of thermal X-rays from isolated neutron stars with strong magnetic fields. Ho & Lai (2001, 2003) studied radiation spectra from the atmosphere of neutron stars and the effect of vacuum polarization. Heyl & Shaviv (2002) and Heyl et al. (2003) suggested that the birefringence of the magnetized QED vacuum decouples the polarization modes up to a large radius, so that the surface polarization of neutron stars can be sufficiently large to be observed. van Adelsberg & Lai (2006) and van Adelsberg & Perna (2009) calculated the soft X-ray polarization in thermal magnetar emission from a hot spot centered around the magnetic dipole axis. Fernández & Davis (2011) studied the X-ray polarization signature of the magnetosphere of quiescent magnetars. Taverna et al. (2014, 2015) studied how future X-ray polarization measurements by the next generation of detectors may be used to probe the magnetar magnetospheric structure.
In this paper, we study the atmospheric structure and polarization properties of trapped fireballs during the decay phase of giant flares. Since the radiation mechanism of the non-thermal component is still uncertain, we mainly consider the thermal emission component from the trapped fireball. Observationally, the thermal radiation component seems to dominate the observed emission during most phases in the decaying tail, and the flux level of the thermal component is higher than that of the power-law component between 10 and 100 keV (Boggs et al. 2007). The paper is organized as follows. In Section 2, we introduce a simple model of the atmospheric structure of the trapped fireball. In Section 3, the photon polarization properties are calculated by considering dielectric tensor of the electron–positron pair plasma as well as the effect of vacuum polarization, and the scattering opacities for the two photon modes are presented. In Section 4, we calculate the polarization degree of the trapped fireball using Monte Carlo simulations. The results are summarized in Section 5 with some discussion.
2. ATMOSPHERIC STRUCTURE OF THE TRAPPED FIREBALL
In this section, we calculate the atmospheric structure of the trapped fireball in a simplified model. We assume a dipolar configuration for the magnetar magnetic fields, and take the region enclosed by a closed field line (not necessarily the last closed field line) as the trapped fireball (Figure 1). Thanks to the extremely large optical depth of the trapped fireball, we only need to solve the equations in a relatively thin layer (the bisque layer shown in Figure 1), which corresponds to the radius range from an optical depth
(bottom of the atmosphere of the trapped fireball) to
The observed photons mostly come from this region. The structure of this thin atmosphere can be solved via a set of equations, including the magnetic dipole field equation, the equations of state, the hydrostatic equilibrium equation, the energy transport equation, and the optical depth equation.
Figure 1. Geometric structure of the trapped fireball. The gray circle represents the neutron star. The orange region represents the inner part of the trapped fireball. The thin bisque layer represents the atmosphere of the trapped fireball.
Download figure:
Standard image High-resolution imageThe total energy radiated in the pulsating tail of a giant flare is Etail ∼ 1044 erg (Mereghetti 2008). The requirement for the energy to be trapped by magnetic fields demands

where Rs is the radius of the neutron star and ΔR is the scale of the trapped fireball (Figure 1). The factor 1/3 comes from converting the internal energy density (both the thermal energy6
and the radiation energy) of the trapped fireball to pressure. For a dipolar field, one has
where B* is the characteristic surface magnetic field strength of the neutron star. Observations show that the effective radius of thermal emission is a few times the magnetar radius, ΔR ≳ Rs (Boggs et al. 2007). We therefore require that the magnetic field strength satisfies

which suggests that the neutron star is a magnetar. In the closed-field-line region, the electron–positron pair plasma is trapped, since transport of charged particles across field lines is suppressed by strong magnetic fields, and since gravity is no longer the dominant confining force. The critical trapping luminosity Lc can be estimated from the balance between the radiative energy density and the magnetic energy density
i.e.,

which is much larger than the luminosity of the giant flares.
For a magnetic dipole field, the strength of the magnetic field at a point (r, θ) is

where Bp is the magnetic field strength of the polar cap at the surface. The border of the closed magnetosphere field lines that enclose the trapped fireball is given by
where Rmax is the maximum radius.
Next, we consider the equation of state in such a trapped fireball. The deposition of Etail ∼ 1044 erg in the magnetosphere is sufficient to generate a hot photon-pair plasma. For the internal region of the trapped fireball, the electron–positron pairs are mildly relativistic. The total energy density of the photon-pair plasma is
(see Equation (88) in the
For the atmosphere of the trapped fireball, on the other hand, observations show that its effective temperature is
which is much less than the first Landau level energy
Therefore, this is a one-dimensional, magnetized, and non-relativistic electron–positron pair plasma, whose density is given by (see Equation (89) in the

We apply an ideal gas equation of state and assume that the gas is in local thermodynamic equilibrium (LTE) with the radiation field. The total pressure P is given by the sum of the gas pressure Pg, radiation pressure Pγ, and magnetic pressure PB, i.e.,

The giant flare pulsating tails are characterized by a duration of ∼100 s. We assume that the trapped fireball is in hydrostatic equilibrium during the pulsating tail phase:

where Φ is the gravitational potential. For the dipolar magnetic field, the magnetic stress in the radial direction (r direction) is given by

Therefore one has

where Ms is the mass of the neutron star (with the mass of the trapped fireball neglected) and
is the gravitational radius. Here, we neglect the term
in the general Oppenheimer–Volkoff equation because its contribution is always smaller than 10−4 in our atmosphere model. In order to solve the atmospheric structure, we also need the temperature gradient equation

where
is determined by the energy transport equation. As pointed out by Rajagopal & Romani (1996), convection is strongly suppressed by the strong magnetic fields of magnetars. We therefore only consider radiative transport in this paper. For simplicity of treatment and without losing generality, we use the result from the radiative transport in spherical symmetry (Thorne 1977; Paczyński & Anderson 1986), which is given by

where L is the luminosity of the photosphere (i.e., the observed luminosity of the pulsating tail) and κ is the Rosseland mean opacity, which is discussed in the next section. In order to obtain the scale length of the photosphere, one also needs the optical depth equation

Finally, we introduce the boundary of the bottom of the atmosphere that is defined by
where Rmax,0 is the maximum radius of the closed line of the bottom of the atmosphere, and T0 is the temperature at the bottom of the atmosphere. Using Equations (4)–(6) and Equations (8)–(12), we can then solve for the atmospheric structure of the trapped fireball.
We assume Ms = 1.44 M⊙, Rs = 106 cm, Bp = 1015 G, the rotation period of the magnetar P = 5 s, and the luminosity of the pulsating tail L = 1042 erg s−1. Since observations show that the effective radius of the thermal emission is a few times the radius of the magnetar, we assume that the maximum radius of the bottom of the atmosphere is
The corresponding temperature T0 at
should be less than the pair production temperature T± ≃ 6 × 109 K in order to reach a quasi-steady-state solution. In our model, we take T0 = 109 K. For
the temperature is so low that the thermal electron–positron pair density decreases exponentially with temperature, leading to a very low optical depth.
In Figures 2–5, we plot the temperature, optical depth, number density of electron–positron pairs, and pressure as functions of the radial distance from the bottom of the atmosphere
where
is the radial distance from the center of the neutron star to the bottom of the atmosphere (see Figure 1, with θ = π/6, π/3, and π/2 denoted by dotted, dashed, and solid lines). For the given boundary condition described above, the atmosphere is very thin, ∼103 cm, and the effective temperature at the photosphere (τ = 1) is Teff = 27 keV for θ = π/2. This is consistent with the observed temperature of the pulsating tail. The temperatures for different θ have little difference for τ > 1, and the temperature near the magnetosphere equator is higher than that near the pole for τ < 1. The optical depth from the direction near the pole is lower than that in the direction of the equator, which means that the flux near the pole might be higher. As shown in Figure 4, we find that the electron–positron pair number density decreases rapidly when τ < 1. Figure 5 shows pressure as a function of the radial distance to the bottom of the atmosphere
The electron–positron pairs, radiation, and magnetic pressures are denoted by black, red, and blue lines, respectively. One can see that the total pressure is dominated by the magnetic pressure, so that the pair plasma is trapped in the magnetosphere. Near the equator, one has
However, near the pole, the gas pressure could be larger than the radiation pressure at the bottom of the atmosphere. The result suggests that the pressure at the pole decreases more rapidly than that at the equator, since the temperature at the pole decreases from a smaller radius
Figure 2. Temperature as a function of the radial distance to the bottom of the atmosphere (
) for
,
, and T0 = 109 K. The dotted, dashed, and solid lines denote θ = π/6, π/3, and π/2, respectively.
Download figure:
Standard image High-resolution imageFigure 3. Optical depth as a function of the radial distance to the bottom of the atmosphere (
) for Bp = 1015 G,
, and T0 = 109 K. The dotted, dashed, and solid lines denote θ = π/6, π/3, and π/2, respectively.
Download figure:
Standard image High-resolution imageFigure 4. Number density of electron–positron pairs as a function of the radial distance to the bottom of the atmosphere (
) for Bp = 1015 G,
, and T0 = 109 K. The dotted, dashed, and solid lines denote θ = π/6, π/3, and π/2, respectively.
Download figure:
Standard image High-resolution imageFigure 5. Pressure as a function of the radial distance to the bottom of the atmosphere (
) for Bp = 1015 G,
, and T0 = 109 K. The dotted, dashed, and solid lines denote θ = π/6, π/3, and π/2, respectively. The electron–positron pairs, radiation, and magnetic pressures are denoted by black, red, and blue lines, respectively.
Download figure:
Standard image High-resolution image3. PHOTON POLARIZATION AND SCATTERING OPACITY OF PAIRS
Ho & Lai (2003) calculated the photon polarization modes in a magnetized electron–ion plasma. In this section, we calculate the photon polarization modes in a magnetized electron–positron pair plasma following the procedure introduced by Ho & Lai (2003). As shown below, because of the charge symmetry in a pair plasma, some noticeable differences from the case of an electron–ion plasma exist. For example, the photons are completely linearly polarized, and there is no vacuum resonance point or ion cyclotron absorption in the case of the pair plasma.
For the atmosphere of a trapped fireball, the pair plasma is non-relativistic (
). In the coordinate system
with
along
the dielectric tensor
contributed by the plasma is given by (Ho & Lai 2003)

Here



where s represents the charged particle species in the plasma,
and
For the charged particle s,
is the cyclotron frequency and
is the plasma frequency. The parameter
delineates damping of the particle motion, where
is the damping rate. In our calculation, we assume small damping (
). For electron–positron pairs,
we have



where


with
and ρ1 = ρ/(1 g cm−3). We note that the non-diagonal terms in the matrix are zero due to charge symmetry of pairs. On the other hand, in strong magnetic fields, vacuum polarization makes a corrected contribution to the dielectric tensor:

where
is the unit tensor and
is the unit vector along
Similarly, vacuum polarization also modifies the magnetic permeability tensor
as

where
and
are the magnetizing field and the magnetic field of an electromagnetic wave, respectively.
The vacuum polarization coefficients are given by (Harding & Lai 2006)



where
is the relevant dimensionless magnetic field parameter and α = 1/137 is the fine-structure constant.
If
(
), the vacuum polarization contribution,
could be added linearly to the dielectric tensor
In the frame with
along
one has

where
and
Using the Maxwell equations, the equation for a plane wave with
can be expressed as

which is (Ho & Lai 2003)

where
is the refractive index. In the coordinate system
with
along z-axis and
in the x–z plane, the dielectric tensor is given by

where
is the angle between
and
According to the z-component of Equation (29), one has

Then Equation (29) becomes

where
and


There are two solutions to Equation (32).
- If
then Ey = 0 and
The electric field vector of the wave is in the
plane. This is the ordinary mode (O mode). - If
then
and
The electric field vector of the wave is perpendicular to the
plane. This is the extraordinary mode (E mode).
Unlike the electron–ion plasma, we find that for electron–positron pairs one does not need to define the polarization ellipticity
(Ho & Lai 2003), and both modes are linearly polarized. In this case, there is no "vacuum resonance" point where E mode versus O mode classification becomes ambiguous and modes can convert from one to the other.
The mode eigenvector in the coordinate system with the wave vector
along the z-axis is

The scattering opacity depends on the polarization vector through its projection on the coordinate frame with the z-axis along the direction of the magnetic field
(Ho & Lai 2001, 2003). In this new coordinate system with
along the z-axis, the eigenvector is given by

The cyclic components of
read7

where j = 1 corresponds to the E mode and j = 2 corresponds to the O mode. Specifically, for the E mode, the cyclic components are given by

and for the O mode, they are given by

where we define
We note that the eigenvectors of the E mode are constants for the electron–positron plasma. This is different from the case of electron–ion plasma. The scattering opacity from mode j into mode i is given by (Ventura 1979; Ho & Lai 2001, 2003)

where
is the damping factor and
The electron scattering opacity from mode j (into both mode i and mode j) is

where
The scattering opacities for the two modes can be derived approximately (Mészáros 1992; Ulmer 1994; Miller 1995). For the E mode, one has

where the second equation is under the condition
For the O mode, one has

According to Equations (42) and (43), the probability of E-mode photons converting into O-mode photons is PEO ≃ 1/4 and the probability of O-mode photons converting into E-mode photons is
For the transverse-mode approximation (
), one has
Thus, the opacity is approximately

for the E mode, and

for the O mode. For radiation frequencies below the cyclotron frequency, i.e.,
and the damping factor
one has

where κT = σT me (σT is the Thomson cross section and me is the electron mass). Due to the absence of the ion cyclotron absorption and vacuum resonance absorption in the case of electron–positron plasma, the above equations could be approximately applied to calculate the opacities for
We then finally obtain the Rosseland mean opacity κ through

For electron energy
the contribution from electron–electron bremsstrahlung can be safely ignored (Haug 1975). We therefore ignore free–free absorption of electron pairs in the atmosphere of the trapped fireball.
We apply the full expressions of
and
in Equation (41) to perform the calculation. The scattering opacities
of the two modes as a function of energy for various angles θB, magnetic fields B, and electron–positron pair densities ne are presented in Figures 6–8, respectively. Unlike the case of electron–ion plasma (Ho & Lai 2001, 2003), for electron–positron pair plasma there is no ion cyclotron absorption or vacuum resonance absorption, so the opacities satisfy Equation (46) for
As shown in Figure 6, for a magnetic field B = 1014 G and electron–positron pair number density ne = 1025 cm−3, the O-mode opacity exhibits an angle dependence for θB, i.e.,
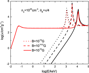
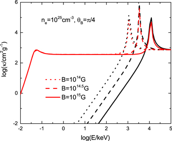
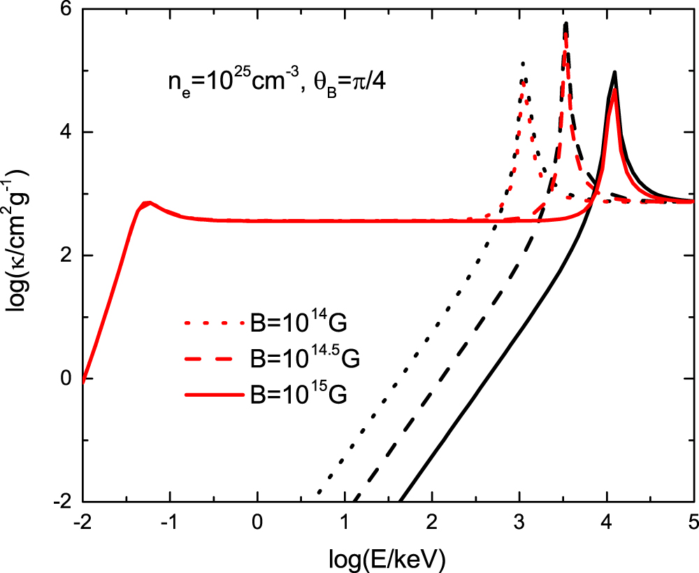
The E-mode opacity, on the other hand, is independent of θB (see Equations (38) and (46)). As shown in Figure 7, for ne = 1025 cm−3 and θB = π/4, the electron cyclotron peak EBe is proportional to the strength of magnetic field B and the E-mode opacity satisfies
for
As shown in Figure 8, for B = 1014 G and θB = π/4, the plasma peak Epe is proportional to
Figure 6. Scattering opacities κsc as a function of energy for various angles between
and
, θB, for B = 1014 G and ne = 1025 cm−3. The black curves represent the E-mode opacity and the red curves represent the O-mode opacity. The dotted, dashed, and solid curves denote θB = π/6, π/4, and π/3, respectively.
Download figure:
Standard image High-resolution imageFigure 7. Scattering opacities
as a function of energy for different magnetic field strengths B for ne = 1025 cm−3 and θB = π/4. The black curves represent the E-mode opacity and the red curves represent the O-mode opacity. The magnetic field strengths B = 1014, 1014.5, and 1015 G are denoted by dotted, dashed, and solid curves, respectively.
Download figure:
Standard image High-resolution imageFigure 8. Scattering opacities
as a function of energy for various electron–positron pair number densities ne for B = 1014 G and θB = π/4. The black curves represent the E-mode opacity and the red curves represent the O-mode opacity. The pair number densities ne = 1024, 1025, and 1026 cm−3 are denoted by dotted, dashed, and solid curves, respectively.
Download figure:
Standard image High-resolution image4. MONTE CARLO SIMULATIONS
In this section, we conduct Monte Carlo simulations to calculate the polarization properties of the X-ray photons emitted from the trapped fireball. To calculate the polarization signals, we set a coordinate system8
XYZ with the Z-axis along the line of sight
as shown in Figure 9. The spin angular velocity vector
is in the XZ plane. We define ζ as the angle between the magnetic dipole axis
and
Θ as the angle between
and the line of sight
and δ as the angle between
and
Figure 9. Angles and vectors introduced in Section 4.
Download figure:
Standard image High-resolution imageFor a dipolar field, in the coordinate system
with
along the
-axis, the magnetic field components in a spherical coordinate system are given by



Transforming from the spherical coordinate system to the Cartesian coordinate system, we have



where



In the coordinate system XYZ with the line of sight along the Z-axis, the magnetic field components can be calculated from

and the coordinate system transformation is given by

where



with ϕ being the azimuthal angle and
being the rotation phase (
is the initial rotation phase). We assume that the photon flux is same everywhere at the bottom of the atmosphere. In order to calculate the photon spatial distribution, we need to know the surface area of the magnetosphere
with θ. Because the border of the magnetosphere is given by
where Rmax is the maximum radius of the closed field lines, the length of the dipole field line is given by

Thus, the differential area of the magnetosphere is given by

Integrating over dS, we obtain the area of the closed magnetic field line within θ, i.e.,
The total area is
Using this information, we can apply the Monte Carlo method to assign the initial spatial distribution of the photons.
As we have discussed above, the observations show that the spectra of the pulsating tails are dominated by the thermal component. Therefore, in this paper, we only consider the thermal component contributed by the photon-pair trapped fireball. Because the optical depth of the trapped fireball is very large, the observed radiation comes from the atmosphere of the trapped fireball. We apply the atmosphere model described in Section 2 to calculate the photon polarization properties through Monte Carlo simulations. The procedure of our calculations is the following:
A. We assume that the boundary of the atmosphere of the trapped fireball satisfies the following conditions.
- The bottom of the atmosphere is a surface of closed magnetic field lines defined by
with the same temperature T0. - The radiative flux is the same everywhere at the bottom of the atmosphere. As a result, the initial photon spatial distribution can be simulated according to the coordinates (θ, ϕ), i.e.,
, where dS is given by Equation (63), ϕ = 2πξ, with ξ being a random number in the range (0, 1). The initial directional distribution (θv, ϕv) of the photons is isotropic, i.e.,
and ϕv = 2πξ. - The initial photon number in the E mode is equal to that in the O mode at the bottom of the atmosphere. However, the photons in one mode can be converted to the other mode due to the electron scattering in the atmosphere, leading to a change in the ratio between two modes.
B. We keep track of the propagation and transition of each photon through the medium.
- At each time step, we grid the atmosphere of the trapped fireball in three dimensions. The properties (e.g., density, temperature, pressure) in each cell are kept constant.
- The scattering optical depth τsc is given by
Each photon is allowed to travel along its trajectory in each time step. The optical depth in each cell is calculated until τ > τsc. Note that we need to use different opacities for different photon modes in this process. - Scattering would change the mode of the photons. The probability for the E mode converting into the O mode is PEO ≃ 1/4, whereas the probability for the O mode converting into the E mode is
- Due to the electrons' thermal motion, scattering would be isotropic. The direction (θ, ϕ) of a scattered photon is given by
and ϕv = 2πξ. - We assume that the atmosphere satisfies LTE. The energy distribution of the photons depends on the energy distribution of the electron–positron pairs, which have a thermal distribution.
- We repeat the above procedure for each time step. Based on the atmosphere model discussed above, we find that the photons are almost no longer scattered when r ≳ 10 Rs, since
C. We collect the photons along the line of sight within the solid angle ΔΩ = 0.15 and calculate the directional angle ϕB for both photon modes at
For E-mode photons, one has
where

and Bx and By are the magnetic field components perpendicular to the line of sight. For O-mode photons, one has
The Stokes parameters near the photosphere are given by




where the subscripts refer to different bases of the Jones vector space: (x, y) is the Cartesian basis, (a, b) is the Cartesian basis rotated by π/4, (l, r) is the circular basis, which is defined as
and
, and
are given by




where i represents each observed photon and αi represents the mode of photon i. Finally, the polarization degree near the photosphere is given by

and the polarization angle is

After a photon escapes the trapped fireball, it will propagate in the magnetic vacuum. The dielectric and inverse permeabilities are
and
respectively. A transverse electromagnetic wave emitted from a point in the atmosphere of the trapped fireball can be treated as a superposition of E-mode and O-mode photons, i.e.,

where

with the refractive indices for different modes being

One therefore has
The evolution of the mode amplitudes is given by (Lai & Ho 2002)

where s = ct represents the photon trajectory. The condition for adiabatic evolution of the photon modes is

so the non-diagonal elements in the matrix of Equation (78) are essentially zero, and the normal modes do not mix (Heyl & Shaviv 2000). As the photon propagates in the magnetosphere, the QED correction to the dielectric tensor falls off as
and non-diagonal components appear. Within the context of the neutron star atmosphere, Heyl & Shaviv (2002) first defined the QED polarization-limit radius rp (the distance from the star at which the adiabatic approximation breaks down) and found that the QED limit radius allows the surface polarization of the neutron star to be sufficiently large to be observed (see also Heyl et al. 2003). Here we perform a similar treatment for the trapped fireball. We approximately treat the adiabatic region as having a sharp edge at rp. Based on the adiabatic condition (79), we calculate the polarization-limit radius, rp, which is set by the condition
i.e. (van Adelsberg & Lai 2006),

where Rs is the neutron star radius, fϕ is a slowly varying function of phase and is of the order of unity, E is the photon energy, B is the strength of magnetic field, and Ω is the spin angular velocity. One can see that the adiabatic condition is safely satisfied in the trapped fireball and its atmosphere. Beyond rp, the magnetic field strength has dropped enough so that it no longer affects the state of photon polarization, i.e., the photon polarization state is "frozen." Because
the electric vectors of all the photons with a certain energy E emitted from the photosphere will rotate by the same angle
so that the polarization degree is no longer affected.
Since magnetars are slow rotators, the effect of magnetar spin is not important in the polarization calculations. For simplicity, in the Monte Carlo simulations, we assume an aligned rotator, i.e., the spin angular velocity vector
is parallel to the magnetic axis
so that ζ = 0. All the photons with a certain energy have almost the same rotation angle ϕ(rp) under the adiabatic condition. In this case, the Stokes parameter U = 0, so that the polarization degree is Π = Q/I and the polarization angle is χ = 0. We consider two energy bands, i.e., a soft band (1–30 keV) and a hard band (30–100 keV), and collect 5000 photons in each band within a solid angle ΔΩ = 0.15 along the line of sight. The E mode and O mode are defined by the direction of the magnetic field at
where the adiabatic condition is satisfied.
Our simulation results are displayed in Table 1. As shown in the table, there are more E-mode photons in the soft band than in the hard band, since the opacity of the E-mode photons κE ∝ ω2. The number ratio between the E-mode and O-mode photons, NE/NO, is higher for Θ = 0 than that for Θ = π/2. This is because the opacity of E-mode photons is suppressed in strong magnetic fields, i.e., κE ∝ B−2, and B is stronger near the pole. On the other hand, the polarization degree is close to zero for Θ = 0 and reaches its maximum value at Θ = π/2, i.e., 27.9% in the 1–30 keV band and 10.0% in the 30–100 keV band. This result could be qualitatively explained by the direction of the magnetic field and the photon number ratio between E mode and O mode. As shown in the left panel of Figure 10, if the line of sight is parallel to the magnetic axis, the directional angles of E mode and O mode are evenly distributed from 0 to π. Therefore, even though
has the maximum value, the polarization degree is still zero. On the other hand, as shown in the right panel of Figure 10, if the line of sight is perpendicular to the magnetic axis, the projected directions of the magnetic field lines are almost the same. In this case, the polarization degree depends on NE/NO. Since
is of the order of unity, the polarization degree is mainly determined by the direction of the magnetic fields, so that an ordered B-field configuration naturally results in a relatively large polarization degree.
Figure 10. Schematic pictures of the magnetar magnetosphere. The gray circle represents the neutron star. The black curves represent the magnetic field lines. The red arrows represent the electric vectors of the E-mode photons, whereas the blue arrows represent the electric vectors of the O-mode photons. The left panel corresponds to the case with the line of sight parallel to the magnetic axis, whereas the right panel corresponds to the case with the line of sight perpendicular to the magnetic axis.
Download figure:
Standard image High-resolution imageTable 1. The Polarization Degree of the Trapped Fireball
| Θa |
b
|
c
|
d
|
e
|
|---|---|---|---|---|
| 0 | 2.78 | 0.5% | 1.06 | 0.9% |
| π/4 | 2.33 | 12.7% | 0.84 | 2.7% |
| π/2 | 1.98 | 27.9% | 0.80 | 10.0% |
Notes. Note that E mode and O mode are defined by the direction of the magnetic field at
where they are under adiabatic conditions.
is the ratio of the numbers of E-mode and O-mode photons at 1–30 keV.
cΠS is the polarization degree at 1–30 keV.
d
is the ratio of the number of E-mode and O-mode photons at 30–100 keV.
eΠH is the polarization degree at 30–100 keV.
Download table as: ASCIITypeset image
5. CONCLUSIONS AND DISCUSSIONS
Polarization observations provide the key information to probe the structure of the magnetar magnetosphere during giant flares. After the initial spike, the residual energy forms an optically thick photon-pair plasma. This photon-pair plasma is trapped in the magnetar magnetosphere, forming a "trapped fireball." Observations show that the flux of the thermal component is much higher than that of the non-thermal component between 10 and 100 keV in the early and later stages (Boggs et al. 2007). In this paper, we assumed that the trapped fireball is enclosed by a set of closed field lines in the magnetosphere, and calculated the atmospheric structure and polarization degree of the trapped fireball. We have reached the following conclusions:
A. Regarding the atmosphere of the trapped fireball:
- The atmosphere of the trapped fireball is much thinner than the trapped fireball. The size of a trapped fireball is a few times Rs, which is determined by the requirement of the confinement of fireball energy within the magnetosphere, as shown in Equation (1). Observations show that the effective radius of the thermal component is a few times the radius of the neutron star, which is consistent with this requirement. We calculated the structure of the trapped fireball and its atmosphere. Our results show that the thickness of the atmosphere is ∼0.001Rs with a sharp temperature gradient.
- In the atmosphere, the electron–positron pairs are non-relativistic and the thermal pair density decreases with temperature (see Equation (5)). The pair gas pressure is lower than the radiative pressure at the photosphere, and the total pressure is dominated by the magnetic pressure. The atmosphere could be still in hydrostatic equilibrium due to the magnetic confinement. In the trapped fireball, gravity is not the dominant confining force, and the plasma is trapped due to the suppression of the transport of charged particles across the magnetic field lines.
- Opacity plays an important role in the structure of the trapped fireball. Unlike the surface of a neutron star (Ho & Lai 2001, 2003), the trapped fireball is dominated by the electron–positron pairs (Thompson & Duncan 1995, 2001). We assume that the atmosphere is baryon-free. For an electron–ion plasma, there is a vacuum resonance point where E-mode and O-mode photons can convert from one mode to another, and there are two peaks in the opacity–energy relation, e.g., the vacuum resonance absorption and the proton cyclotron absorption. However, for electron–positron pairs, both E-mode and O-mode photons are entirely linearly polarized. In this case, there is no vacuum resonance point where they can change mode during their propagation in the medium. Rather, for electron–positron pairs, there is only one electron cyclotron absorption peak with energy
which is much larger than that of the observed effective temperature
- The temperature distribution of the atmosphere is determined by the structure of the magnetosphere. For a specific angle θ, the greater the distance from the magnetar, the lower the temperature. For a specific distance r, the temperature of the equator is higher than that of the pole. (Note that the abscissa in Figures 2–5 is the logarithm of
rather than r.) The pair density and opacity are determined by the temperature, so that the photosphere is no longer a sphere. Observationally one could infer only the effective size of the trapped fireball and not its shape. - Our results show that the opacity of the E mode is independent of θB for electron–positron pairs, which is different from the case of the electron–ion plasma (Ho & Lai 2001, 2003).
B. Regarding the polarization properties of the trapped fireball:
- The opacity of the E-mode photons scales as κE ∝ ω2. As a result, there are more E-mode photons than O-mode photons in softer bands. Conversely, O-mode photons become more dominant in harder bands. The number ratio between E-mode and O-mode photons, NE/NO, is higher for Θ = 0 than for Θ = π/2, as a result of the suppression of the E-mode photon opacity in strong magnetic fields near the magnetic pole.
- The polarization degree is zero for Θ = 0 and reaches a maximum value for Θ = π/2. The maximum polarization degree from the trapped fireball is lower than that (∼100%) from a hot spot on the pole of the magnetar surface (van Adelsberg & Lai 2006; van Adelsberg & Perna 2009) or in the quiescent magnetar magnetosphere (Fernández & Davis 2011; Taverna et al. 2014). This is mostly due to the extended thermal emission from a trapped fireball and the wider collected band, e.g., 1–30 keV or 30–100 keV, considered in our work.
- During the photon propagation in the magnetic vacuum, due to the adiabatic condition (
), the direction of the electric vector of the electromagnetic wave continues to change according to the direction of the local magnetic field. Because the polarization-limit radius rp is much larger than the radius of the trapped fireball, the electric vectors of all the photons with a certain energy emitted from the photosphere rotate by the same angle
as they escape the magnetosphere. - The polarization degree at π/2 can be as large as ∼30% in 1–30 keV, and is ∼10% in 30–100 keV. Since giant flares typically have large fluxes, such a polarization degree would be detectable by future X-ray/γ-ray polarimeters such as POLAR and LEAP, and may have been detected by existing X-ray detectors such as RHESSI. We encourage a re-analysis of the possible polarization signal of the giant flare pulsating tail of SGR 1806–20 in the RHESSI data (Boggs et al. 2007).
C. Implications for detecting the predicted polarization signal:
Our calculations are based on the magnetar conjecture and robust QED physics. If future observations confirm the polarization signal at the predicted level, it would suggest the following.
- The magnetar hypothesis is correct. Even if the magnetar model is the leading model to interpret SGRs, some other scenarios have been proposed to interpret SGRs without introducing strong magnetic fields. For example, in the accretion models (Alpar 2001), the magnetic field is weak, i.e., B ≃ 1011 G. According to Equation (80), the QED polarization-limit radius would be
which is not much larger than the scale of the trapped fireball. This would give rise to a much smaller polarization degree. - QED is correct: a high polarization degree suggests that vacuum polarization indeed makes a corrected contribution to the dielectric tensor and the magnetic permeability tensor, and that the QED vacuum is birefringent. Otherwise the polarization degree would be less than ∼10% even for Θ = π/2.
- A polarization measurement would reveal the geometry of the system. Since
is of the order of unity, the polarization degree is mainly determined by the directions of the magnetic field lines. Therefore, a relatively large polarization degree corresponds to an ordered magnetic field configuration and a relatively large angle between the magnetic pole and line of sight. - The idea of the pair-plasma trapped fireball is correct: unlike the electron–ion plasma, the pair plasma has no vacuum resonance point or ion cyclotron absorption. Both E-mode and O-mode photons are entirely linearly polarized. The properties of pair opacity are also very different from those of electron–ion plasma. Therefore, an observed polarization degree at the predicted level would prove that the trapped fireball is indeed a photon-pair plasma.
In our Monte Carlo simulations, we have assumed an aligned rotator (the rotation axis and magnetic axis overlap), so that the angle Θ is constant for a particular observer. In reality, the two axes are misaligned. The slow rotation of the magnetars would not affect the Θ-dependent polarization degrees calculated in this paper. However, a certain observer would view the magnetosphere at a range of Θ values. The average polarization degree would be between the minimum and maximum Π values defined by the maximum and minimum Θ, which would usually be still ∼10% in the 1–30 keV band (or a few per cent at 30–100 keV), unless the two axes are nearly aligned and the line of sight is also very close to the pole.
We thank the anonymous referee for valuable and detailed suggestions that have allowed us to improve this manuscript significantly. We also thank Steve Boggs for communication regarding the possibility of detecting the polarization signature predicted in this paper with the RHESSI SGR 1806-20 giant flare data. This work is partially supported by National Basic Research Program (973 Program) of China under Grant No. 2014CB845800. Y.P.Y. is supported by China Scholarship Program to conduct research at UNLV.
APPENDIX: FREE ELECTRON GAS IN STRONG MAGNETIC FIELDS
In order to obtain the structure of a trapped fireball, we need to know the relation between the pair energy density and temperature. Here, we summarize the basic properties of a free electron gas in strong magnetic fields. The results are consistent with Thompson & Duncan (1995).
Consider an elementary cell in a phase space with a volume

and where (x, y, z) and (px, py, pz) are the position and momentum vectors of the electrons. The electron distribution function as a function of energy E is given by

where g is the degeneracy number and μ is the chemical potential. For 3D free electrons, the number density is given by

In strong magnetic fields, the electron distribution is in 1D (due to the strong Landau confinement) and is given by (Harding & Lai 2006)

where
is the cyclotron radius and gn is the degeneracy at energy level n (
and
). The Landau level in a strong magnetic field is given by

The first Landau level is

(i) If
electrons are in the non-magnetic limit and the higher Landau levels are occupied. Thus one should consider a 3D Fermi distribution.
a. For
(
) and
one has

b. For
and
one has

(ii) If
only the ground Landau level is occupied by electrons. One should consider a 1D magnetized Fermi distribution.
c. For
and
one has

d. For
(
) and
one has

Footnotes
- 6
Even though at the photosphere the electron temperature is tens of keV, in the bulk of the trapped fireball the electron temperature is higher than 511 keV, so that the fireball can be regarded as a relativistic gas. See detailed discussion below.
- 7
- 8
Notice that the coordinate systems XYZ and
introduced in this section are the global coordinate systems for the neutron star, and are very different from the "local" coordinate systems xyz and
introduced in Section 3. In the following derivations, the coordinate symbols are still kept in lower case for these global coordinate systems.








































