ABSTRACT
We consider a relativistic spherical shell and calculate its spectral flux as received by a distant observer. Using two different methods, we derive a simple analytical expression of the observed spectral flux and show that the well-known relation
(between temporal index
and spectral index
) of the high-latitude emission is naturally achieved in our derivation but holds only when the shell moves with a constant Lorentz factor Γ. Presenting numerical models in which the shell is undergoing acceleration or deceleration, we show that the simple
relation does indeed deviate as long as Γ is not constant. For the models under acceleration, we find that the light curves produced purely by the high-latitude emission initially exhibit much steeper decay than in the constant Γ case and gradually resume the
relation in about one and a half orders of magnitude in observer time. For the models under deceleration, the trend is opposite. The light curves made purely by the high-latitude emission initially exhibit a shallower decay than in the constant Γ case and gradually resume the relation
in a similar order of magnitude in observer time. We also show that how fast the Lorentz factor Γ of the shell increases or decreases is the main ingredient determining the initial steepness or shallowness of the light curves.
Export citation and abstract BibTeX RIS
1. INTRODUCTION
In the astrophysical phenomena involving relativistic jets, such as gamma-ray bursts (GRBs), the relativistic beaming of radiation plays an important role and leads to an interesting effect, especially when combined with a non-planar geometry. For a jet with spherical geometry, the emission from a jet location that has higher latitude than the line of sight takes a longer time to reach an observer than the emission along the line of sight. Thus, although emitted simultaneously from the jet, this so-called "high-latitude emission" spreads out along the time axis as received by the observer. Also, due to the relativistic beaming effect, the emission from higher latitudes has a progressively smaller Doppler factor, so that the observed flux density decays rapidly with the observer time. These two aspects of the high-latitude emission are known as the "curvature effect" of a relativistic spherical shell.
If the photon spectrum has a power-law shape in the fluid frame, co-moving with the spherical shell, the high-latitude emission from the shell produces an observed spectral flux
at an observed frequency
, such that it satisfies a simple relation between the temporal index
and the spectral index
,

in the convention of
, where
is the observer time. This relation was first correctly derived by Kumar & Panaitescu (2000), and later verified by several authors both analytically (e.g., Dermer 2004) and numerically (e.g., Dyks et al. 2005).4
In reality, when the spherical shell emits continuously, the observed spectral flux
does not follow Equation (1) since the emission from higher latitudes has smaller Doppler boosting and is buried under the continuous emission from the jet emitted at later times. In this case, the temporal evolution of
is mainly determined by the time evolution of the jet power along the observer's line of sight. However, for the jets with rapid variability, such as in the GRB jets, one may consider a situation where the emission from the jet ceases abruptly. In such a case, the observed spectral flux can be purely produced by the high-latitude emission, and thus, the curvature effect of the spherical shell shapes the observed light curves. This effect has been invoked to interpret the steep decay phase of the early X-ray afterglow of GRBs (Zhang et al. 2006, 2009; Genet & Granot 2009) and the decay segment of the X-ray flares following GRBs (Liang et al. 2006).
In this paper, we present a simple analytical derivation of the observed spectral flux
from a relativistic spherical shell, for the case of an arbitrary shape of a photon spectrum in the fluid frame. We derive the same expression while employing two different approaches: (1) the emitted spectral power of the electrons in the shell and (2) the received spectral power of the electrons and an integration over the equal-arrival time surface (EATS). Then, we show that Equation (1) for the high-latitude emission is naturally satisfied in our derivation, but holds only in the case where the shell expands with a constant value of the bulk Lorentz factor. Presenting numerical models where the shell is under acceleration or deceleration, we show that the high-latitude emission indeed deviates from Equation (1) for an accelerating or decelerating shell. We also discuss its possible implications in the context of GRB observations. During the afterglow phase, the emission region is known to be under deceleration (Mészáros & Rees 1997; Sari et al. 1998). On the other hand, during the prompt emission phase, the emission region may undergo acceleration if the prompt emission is powered by dissipating magnetic energy in a Poynting flux dominated jet (e.g., Zhang & Yan 2011).
2. CURVATURE EFFECT OF A SPHERICAL SHELL
We first analytically derive the curvature effect of a spherical shell using two different methods.
Consider a thin spherical shell of radius r at time t expanding with a bulk Lorentz factor Γ in the lab frame, which was initially ejected at time t = 0 from a central explosion at radius r = 0. An observer located at a large cosmological distance from the shell sets the observer time
equal to zero upon receiving the very first photon emitted from the center at time t = 0. Then, a photon emitted from the shell at time t from a location of a polar angle θ with respect to the observer's line of sight will be detected by the observer at observer time

where
, c is the speed of light, and z is the redshift of the explosion.
Also, consider a total of N electrons uniformly distributed in the shell and assume that, in the fluid frame co-moving with the shell, an electron of a Lorentz factor
has its spectral power
at frequency
as5

so that the photon spectrum of the electron is shaped by the functional form of
and is located at a characteristic frequency
. At every location in the shell, the electrons form a spectrum
in their energy space. Thus, the photon spectrum emitted from those electrons needs to be evaluated as a convolution of Equation (3) with the electron spectrum
, which would then yield a spectral shape different from that of
. In order to describe this photon spectrum arising from a group or "ensemble" of electrons placed together, we introduce here a functional form
with
, which is then located at an ensemble frequency
. For instance, the function
may have a GRB "Band-function" shape (Band et al. 1993) or simply a power-law shape. Dividing the spectral luminosity emitted from all of the electrons within the ensemble by the number of electrons included there, we now assume that the spectral power of each electron within the ensemble may also, on average, be described by the same functional form. In other words, we propose

where
is a measure of the spectral power of a single electron in the fluid frame. Note that
and
here are not necessarily constant and can evolve in time. With the set-up depicted in Equation (4), we can efficiently investigate solely the relativistic curvature effect of a spherical shell as we proceed below, without invoking a detailed shape of the electron spectrum or a specific radiation process.
Consider again an electron located in the shell with a polar angle θ with respect to the observer's line of sight. Then, a photon emitted from the electron in the direction of the observer has the same angle θ with the radial bulk motion of the electron, and thus appears with a frequency ν in the lab frame,

while the same photon has a frequency
in the fluid frame. Here, β is given by
. Provided that the electron emits photons isotropically6
in the fluid frame, the spectral energy
emitted by the electron at frequency ν during a time interval
into a solid angle
in the direction of the observer is given in the lab frame as

where
.
Now consider a thin ring in the shell in a polar angle range between θ and
. Since the number of electrons contained in the ring is given by
, the spectral energy
emitted from the ring at frequency ν during
into
in the direction of the observer reads in the lab frame as

Here, the tilde indicates the ring. In reality, the electrons in the ring emit photons continuously as the shell expands. However, as described in Uhm et al. (2012), we may view the emission from the shell as a series of "flashes." We assume that the electrons in the ring accumulate their emission between any two consecutive flashes (separated by a time interval
) and emit all of the accumulated energy instantaneously like a flash at the end of each time interval.
When the spectral energy
of the ring is released into
as a flash, the ring's thickness (between θ and
) introduces a time interval
in the lab frame along the observer's line of sight (Uhm et al. 2012). Hence, the spectral luminosity of the ring at frequency ν, which is shone into
in the direction of the observer, reads in the lab frame as

where the ring's thickness, i.e.,
, cancels out, and thus we remove a tilde from
.
The photons emitted into
at frequency ν are redshifted while traveling and would be seen by the observer at an observed frequency

The observed spectral flux at frequency
is then given as

where DL is the luminosity distance to the shell from the observer and
. Note that the solid angle
also cancels out here. Finding μ from Equation (2),

we now have an integral for
in terms of
and
,

Here, we have used
. Note that the redshift factor z enters Equation (12) only through the combinations
and
as well as the overall normalization. Therefore, redshift only plays a global role in shaping the observed spectral flux
in a 3D space (
,
,
).
It is widely known that the high-latitude emission from a spherical shell satisfies Equation (1) for the convention
(Kumar & Panaitescu 2000). We point out that this relation
is naturally achieved in our derivation above. For
, Equation (12) gives

Consider now a constant value of Γ, which ensures that
is satisfied. Equation (2) then becomes

Combining Equations (13) and (14), we have

While the shell is still emitting, the integral in Equation (15) varies in time, but once the emission from the shell is turned off, the integral becomes a constant value. Therefore, the observed spectral flux
beyond the turn-off point, which is then produced purely by the high-latitude emission, satisfies the relation
. We stress, however, that this relation
does not hold any longer when Γ evolves in time because Equation (14) becomes invalid; see also Section 3.
We now present an alternative derivation of Equation (12) by making use of an EATS. Consider an electron located in the shell at time t with a polar angle θ with respect to the observer's line of sight. Its received spectral power at frequency ν into a solid angle
in the direction of the observer is given in the lab frame as

The photons emitted from this electron at time t will be received by the observer at an observer time
(given by Equation (2)). Now we integrate over the EATS of this
between t and
, by counting the number of electrons that contribute to the same
. During the time interval
, the shell travels a distance of
and has a radius of
at time
. The definition of EATS of this
reads

where
is the polar angle of EATS of this
at time
. Note that during the shell's expansion for
, the polar angle of EATS of this
decreases by an amount of
. Since
, Equation (17) gives

The number of electrons contained on the EATS of this
between r and
(or equivalently between θ and
) is equal to the number of electrons contained in the shell in the polar angle range between
and θ, which is given by

These electrons, contained on the EATS of this
in the time range between t and
, contribute to the same
and give the spectral luminosity
at frequency ν as follows.

Note that Equation (20) becomes identical to the result above, Equation (8), when Equation (16) is substituted in. Hence, we arrive at Equation (12) again.
3. NUMERICAL EXAMPLES
We consider a spherical shell at redshift z = 1. For its luminosity distance DL from the observer, we adopt a flat ΛCDM universe with the parameters
km
,
, and
(the concordance model). The number of electrons in the shell N is assumed to increase at a constant injection rate
from an initial value N = 0, where t' is the time measured in the co-moving fluid frame. For the functional form of
, we take a simple power-law shape
with a spectral index
. Regarding the choice of
and
, having the synchrotron radiation in mind, we adopt the following from the synchrotron theory (Rybicki & Lightman 1979).7

Here, me and qe are the mass and charge of the electron, respectively, and
is the Thomson cross section. The magnetic field strength B in the shell and the injection Lorentz factor
of the electrons are measured in the fluid frame. Choosing B = 30 G and
, we place the ensemble spectrum at around
keV in the fluid frame. Such a set of parameters are the correct ones to reproduce the observed prompt emission spectra of GRBs (Uhm & Zhang 2014; Zhang et al. 2015).
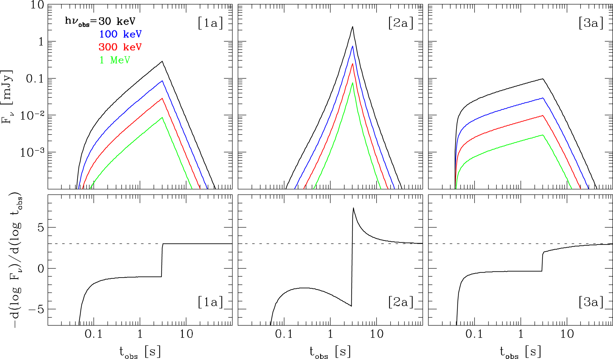
We present nine numerical models, for which everything given above remains the same. The first model we present (named [1a]) is under constant bulk motion with
, while the other eight models are under acceleration or deceleration with Γ in a power-law form in radius:
with
cm. The second model (named [2a]) is under acceleration with
and
, and the third model (named [3a]) is under deceleration with
and
. We begin our calculations at radius r0 (and at time
for
) and turn off the emission of the shell at
s. Here,
is defined by
, and measures the observed time of photons emitted with
along the observer's axis.8
Note that the same turn-off time (
s) corresponds to a different turn-off radius for each of these three models [1a], [2a], and [3a] since they have different
profiles.
Figure 1 shows the resulting light curves of models [1a], [2a], and [3a]. In the upper panels, we show the observed spectral flux
as a function of observer time
at
keV (black), 100 keV (blue), 300 keV (red), and 1 MeV (green), respectively, and in the lower panels, we show the temporal index
of these four light curves. The dotted line in the lower panels represents the relation
for the spectral index
. The light curves in all three models rise initially (since N increases with time), peak at the turn-off time of 3 s, and then subsequently decay beyond that time, displaying a high-latitude emission of the shell. For the model [1a] with a constant value of Γ, it is noted that the
curve agrees with the expected relation
beyond the turn-off time. However, for model [2a], under acceleration, the
curve beyond the turn-off time indicates that the light curves produced purely by the high-latitude emission initially exhibit a much steeper decay than in model [1a] and then gradually resume the relation
in about one and a half orders of magnitude in observer time. For model [3a], under deceleration, the trend is in the opposite direction. The light curves produced purely by the high-latitude emission beyond the turn-off time are initially shallower than in model [1a] and gradually resume the relation
in about one and a half orders of magnitude in observer time.
Figure 1. Light curves for models [1a], [2a], and [3a]. Top panels show the model light curves at 30 keV (black), 100 keV (blue), 300 keV (red), and 1 MeV (green), respectively, while the bottom panels show the temporal index
of these four light curves. We turn off the emission of the spherical shell at
s, so that the light curves beyond this turn-off time display the high-latitude emission from the shell. The dotted line in the bottom panels represents the relation
for the spectral index
. Model [1a] is under constant bulk motion, model [2a] is under acceleration, and model [3a] is under deceleration.
Download figure:
Standard image High-resolution imageWe also calculate the EATS (of contributing to
s) for these three models, [1a], [2a], and [3a], and show them in Figure 2. As compared to the ellipsoidal shape of EATS of the model [1a], the EATS of the model [2a] (under acceleration) is elongated along the line of sight further on the side of larger radii. On the other hand, the EATS of the model [3a] (under deceleration) is elongated less on the side of larger radii, as also shown in previous publications (e.g., Sari 1998). This difference in the shape of three EATS's can help visualize our finding in Figure 1.
Figure 2. Equal-arrival time surface (EATS) of models [1a], [2a], and [3a]. These EATS's correspond to the observer time
s.
Download figure:
Standard image High-resolution imageIn order to better understand this deviation from the expected relation
, we now make the following three variations on the model [2a] and another three variations on the model [3a]. First, we would like to see if the turn-off radius matters. Thus, for model [2ai], we take the same profile of
as in the model [2a] but turn off the emission of the shell at a smaller radius,
, than in model [2a]. For model [2aj], we keep everything the same as in model [2ai], but increase
by a factor of two. For model [2ak], everything is the same as in model [2ai], but s is changed to a higher value
. Three variations on model [3a] are made in the same way. Model [3ai] has the same profile of
as in model [3a], but has the turn-off radius
. Model [3aj] has a
that is smaller by a factor of two when compared to model [3ai]. Model [3ak] has a lower value of
as compared to model [3ai]. In Figure 3, we show all of these six variations, together with the previous models, [1a], [2a], and [3a].9
Figure 3. Lorentz factor Γ of the shell shown as a function of radius r for the nine numerical models presented.
Download figure:
Standard image High-resolution imageWe repeat our calculations for these new models and show the
curve of each model in Figure 4. From the left panel, we conclude that, in the case of an accelerating spherical shell, the steepness of the light curves beyond the turn-off point depends weakly on the turn-off radius and the value
, but responds most sensitively to the value of the acceleration index s. The higher the value s, the steeper the light curves. In the case of a decelerating spherical shell, the right panel shows that the shallowness of the light curves beyond the turn-off point is nearly insensitive to the turn-off radius and the value
, but depends weakly on the value of the deceleration index s. The lower the value s, the shallower the light curves.
Figure 4. Temporal index
shown as a function of observer time
for the four numerical models under acceleration (left) and for the four models under deceleration (right).
Download figure:
Standard image High-resolution image4. CONCLUSIONS AND DISCUSSION
In this paper, we consider a relativistic spherical shell expanding with a bulk Lorentz factor Γ and calculate the spectral flux received by a distant observer located at a large cosmological distance. Assuming an arbitrary shape of the photon spectrum in the fluid frame co-moving with the shell, we present a simple analytical derivation of the observed spectral flux
in terms of observer time
and observed frequency
. In particular, we derive the same expression while making use of two different approaches: (1) the emitted spectral power of the electrons and (2) the received spectral power of the electrons and an integration over the EATS. It is known that the high-latitude emission from a spherical shell satisfies a relation
between the temporal index
and the spectral index
. We show that this relation is naturally achieved in our derivation, but holds only in the case of a constant value of Γ.
We present nine numerical models: one model under constant bulk motion (named [1a]), four models under acceleration (named [2a], [2ai], [2aj], and [2ak]), and another four models under deceleration (named [3a], [3ai], [3aj], and [3ak]). Calculating the light curves at four different energy bands and finding the temporal index
of those light curves for each model, we show that the relation
is indeed satisfied only for the first model [1a]. For the models under acceleration, we find that the light curves produced purely by the high-latitude emission initially exhibit much steeper decay than in the model [1a] and gradually resume the relation
in about one and a half orders of magnitude in observer time. For the models under deceleration, the trend is opposite. We show that, in the case of a decelerating spherical shell, the light curves produced purely by the high-latitude emission initially exhibit a shallower decay than in model [1a] and gradually resume the relation
again in about one and a half orders of magnitude in observer time. More specifically, we find that, for a shell under acceleration, the initial steepness of the high-latitude emission depends most sensitively on how fast the Lorentz factor Γ increases, but also depends weakly on the value Γ itself and the radius where we turn off the emission of the shell. In the case of a decelerating shell, we show that the initial shallowness of the high-latitude emission depends weakly on how fast the Lorentz factor Γ decreases, but is nearly insensitive to the value Γ itself and the radius where the emission of the shell is turned off.
This departure from the relation
may find applications to many aspects of GRB observations. It is well known that during the afterglow phase, the emission region is under deceleration (Mészáros & Rees 1997; Sari et al. 1998). If the afterglow emission from the blast wave ceases abruptly, e.g., when the blast wave enters a density void as originally envisaged by Kumar & Panaitescu (2000), the observed light curves would be shaped by the high-latitude emission arising from the blast that has been decelerating. More interestingly, during the prompt emission phase, the emission region may be during an acceleration phase, if the prompt emission is powered by dissipating magnetic energy via internal collision-induced magnetic reconnection and turbulence (ICMART, Zhang & Yan 2011). This is because ICMART events are expected to happen when the bulk magnetization parameter σ (ratio between Poynting flux and matter flux) is above unity, so that the outflow is still during an acceleration phase (e.g., Komissarov et al. 2009; Granot et al. 2011). During the ICMART process, σ is expected to drop rapidly. Part of the dissipated magnetic energy would be converted to the kinetic energy of the outflow, giving rise to an extra acceleration to the outflow (e.g., Zhang & Zhang 2014). Identifying a deceleration signature in the afterglow emission can directly confirm the deceleration nature of the afterglow. Also, identifying an acceleration feature in the prompt emission would have profound implications for our understanding of the jet composition and energy dissipation mechanism of the prompt emission. An application of the theory presented here to GRB data will be presented in a future work (Z. L. Uhm & B. Zhang 2015, in preparation).
This work is supported by the China Postdoctoral Science Foundation through grant No. 2013M540813, and the National Basic Research Program ("973" Program) of China under grant No. 2014CB845800.
Footnotes
- 4
- 5
Our general approach described here applies to an unspecified nonthermal radiation mechanism. The curvature effect does not depend on the explicit radiation mechanism. We will, however, introduce the synchrotron radiation in Section 3 when presenting our numerical calculations.
- 6
A possible anisotropic emission in the fluid frame was considered in Beloborodov et al. (2011). The authors showed that the spreading effect in the light curves due to the high-latitude emission can be reduced if emission is anisotropic in the fluid frame. This effect may appear similar to what we show in the current paper in the case of an accelerating shell (see Section 3).
- 7
Assuming that the electrons have an isotropic distribution of their pitch-angle α in the fluid frame, we take an average over the distribution so that
. - 8
Since
, we have
, which is the same as the observer time
(in Equation (2)) for
. - 9
Here, we note again that the turn-off radius of the models [1a], [2a], and [3a] was determined individually by setting the turn-off time
s.










